Next Article in Journal
Culture-Led Regeneration of Industrial Brownfield Hosting Temporary Uses: A Post-Socialist Context–Case Study from Novi Sad, Serbia
Next Article in Special Issue
An Intelligent Recommendation for Intelligently Accessible Charging Stations: Electronic Vehicle Charging to Support a Sustainable Smart Tourism City
Previous Article in Journal
Impact of Energy-Biased Technological Progress on Inclusive Green Growth
Previous Article in Special Issue
Extensible Metaverse Implication for a Smart Tourism City
 
 
Font Type:
Arial Georgia Verdana
Font Size:
Aa Aa Aa
Line Spacing:
Column Width:
Background:
Article

When Being Large Is Not an Advantage: How Innovation Impacts the Sustainability of Firm Performance in Natural Resource Industries

1
Facultad de Economía y Negocios, Universidad del Desarrollo, Santiago 7610658, Chile
2
School of Engineering, Pontificia Universidad Católica de Chile, Santiago 7820436, Chile
3
IAE Business School, Universidad Austral, Pilar B1629WWA, Buenos Aires, Argentina
*
Author to whom correspondence should be addressed.
Sustainability 2022, 14(23), 16149; https://doi.org/10.3390/su142316149
Submission received: 26 October 2022 / Revised: 25 November 2022 / Accepted: 28 November 2022 / Published: 2 December 2022
(This article belongs to the Special Issue Sustainable Business Competitive Advantage and Business Performance)

Abstract

This paper provides an in-depth study of how incremental innovation, a ubiquitous factor, affects the sustainability of performance of small- and large-sized firms differently. Specifically, this work examines the sustainability of firm growth in natural resource industries. In these industries, innovation is mainly based on processes in the form of incremental changes, and the adoption of innovations has significant sunk costs. We argue that, before incremental process innovation, firm performance is directly proportional to firm size. However, in the presence of incremental innovation events, firm performance is inversely proportional to firm size since smaller firms pose higher strategic flexibility and can adopt innovations faster. Our empirical findings highlight the relevance of incremental innovation as an inflection point of firm performance, creating a competitive opportunity window for small firms and a sustainability threat for large firms.

1. Introduction

Sustainable firm performance involves sustaining and expanding economic growth, shareholder value, prestige, corporate reputation, customer relationships, and the quality of products and services [1,2,3,4], contributing to a more equitable and wealthy world [5,6]. An important part of the extant management literature considers growth as one of the main indicators of firm performance [7,8,9,10,11,12]. One area of interest receiving particular attention has been the relationship between performance and size. Indeed, a significant number of studies focused on testing whether firm growth is a random phenomenon independent of firm size [13,14,15,16], as stated by Gibrat [17]. Evidence on Gibrat’s Law, also known as Law of Proportionate Effect (LPE) or “random walk” [18], is still inconclusive. While several empirical studies suggest a negative relationship between firm size and growth [14,16,19,20,21], other studies have found a positive relationship [22,23,24], and still others report no significant relationship [23,25]. In a search for necessary mechanisms and contingent conditions for the sustainability of firm’s performance, scholars have also asked whether innovation events can influence performance experienced by firms of different types [14,26,27,28,29,30,31]. However, most of the research considers heterogeneous industries, and consequently, they do not account for the structural differences of markets and their influence on the sustainability of firm performance. Our work extends current knowledge to an underexplored area of management: natural resource industries, contrasting the validity of Gibrat’s Law and the impact of innovation on a firm’s performance.
Although natural resource industries represent between 25% and 35% of global exports [32], and more than 50% of countries in the world are commodity-dependent [33], including developing countries in Latin America, Africa, Asia, and several developed countries such as Australia, Canada, and the Northern European countries, these industries have received limited attention to date. Consequently, they represent a rich area for inquiry [34]. Natural resource industries are defined as those whose primary purpose is to reproduce, explore, and utilize nature, converting natural resources into useful resource commodities [35]. That is, natural resource industries depart from other industries because their products are and remain a commodity, in some cases remaining unaltered for decades or centuries, favoring competition strategies based on cost optimization, in contrast to product differentiation strategies commonly found in other industries. Therefore, production technology in natural resource industries is equipment-intensive (e.g., oil, pulp and paper, or mining industries), with significant economies of scale, focused on efficiency. This quest for cost reduction and productivity has led to the use of advanced technology, increasing the automation of processes, and the reduction of production buffers by manufacturing integration [36], with incremental process innovation as the most common form of process improvement [37].
Due to the existence of capital-intensive and highly integrated manufacturing processes, and the fact that most innovations emanate from suppliers, innovation adoption and competitive dynamics in natural resource industries diverge from those of differentiated product industries [38], offering a unique setting for analysis. For instance, in industries with product differentiation and rapid environmental changes, resources and processes rapidly become obsolete [39,40] as radical changes diminish the value of extant knowledge and render organizational structures, processes, and capabilities obsolete [41,42]. Thus, small, adaptable organizations with flexible technical and financial approaches have an edge on facing the diversity and uncertainty of performance requirements for disruptive innovations, and industry leaders may become laggards because they have difficulty managing disruptive changes [43,44,45]. However, in a context of undifferentiated products, a stable environment, and the absence of radical innovation, does incremental process innovation affect the sustainability of firm performance? More specifically, how does firm size influence the successful adoption of innovations? Do small firms have an advantage? Answering these research questions is paramount in light of the importance of natural resource industries in worldwide economic activity.
In doing so, we examine the last significant incremental innovation in the pulp and paper industry in the US from 1978 to 1987. (Significant incremental innovations are incremental innovations that are observable and cause a significant, measurable impact on firm performance [46]. Henceforth, we focus our attention on significant incremental innovation. Therefore, when using the term incremental innovation, we will refer to significant incremental innovation, even if it is not explicitly stated). We argue that, in natural resource industries, and contrary to previous research [47,48], just after an incremental innovation event, small firms grow faster than larger firms since they are nimble enough to adopt the innovation more rapidly. Large firms get no advantage of having superior resources and higher market share as incremental innovations come mostly from suppliers’ spillover knowledge and affect process efficiencies while products remain unaltered. Additionally, large firms need more time to adjust the high level of fixed assets to any innovation. Interestingly, in the time-window previous to process innovation, larger firms benefit from the isolation mechanisms that provide a competitive advantage [49] in mature industries by growing faster. Therefore, incremental innovations pose an inflection point in terms of firm performance in an industry, creating a competitive opportunity space for small firms and a sustainability threat for large firms. These results contradict Gibrat’s Law [17], which claims that firm growth is a random variable independent of firm size.
The main contributions of this paper are as follows. First, we identify incremental innovation as a central force in shaping the sustainability of performance: large firms undergo positive growth before incremental innovation and negative after the innovation, whereas small firms experience the opposite effect. Thus, our study untangles the contradictory results obtained by scholars when assessing the relationship between performance (growth) and firm size [20,50], recognizing incremental innovation as a distinctive environmental factor that shall be considered in the analysis. Second, given that incremental innovation is the norm and not the exception, understanding the environmental factors that influence the structural properties of the industry is of critical importance, not only for advancing theory on competitive dynamics but predominantly for practitioners when formulating and developing strategies to deal with a changing environment. In particular, in natural resource industries, where incremental process innovation is pervasive and product differentiation is almost non-existent, economies of scale or preemption of resources do not provide a safety shield for larger firms. This is because innovations create an opportunity for smaller, more flexible competitors to adopt innovations faster and to improve their efficiency much earlier than larger firms, and, as a consequence, to achieve higher growth, providing a temporary performance advantage. Finally, our manuscript contributes to the literature on competitive strategy in natural resources. We respond to a recent call for filling the knowledge gap by increasing investigation regarding needs in the field [34], providing empirical evidence from the pulp and paper industry.
The rest of the paper is organized as follows: We first develop the theoretical framework that supports our claim, building on the literature of firm growth and incremental process innovation. We then discuss our empirical strategy and report results. We conclude by discussing the study’s implications as well as its limitations.

2. Theoretical Framework and Hypotheses Development

2.1. Performance as Firm Growth: The Relationship between Size and Performance

Only through sustainable performance are organizations able to grow and progress. Although firms possess multiple dimensions and measurements of sustainable firm performance [51], firm growth is an essential sign and a key performance measure of a competitive and viable firm. Scholars in the management field have long studied sustainable firm growth in financial terms [2], social and business value creation [4], production [28], sales, employment, or net assets [52], among others. Specifically, the relationship between size and firm growth has been the subject of a large body of theoretical and empirical research [28,52,53,54,55,56,57,58,59]. One of the first and most significant contributions in this field is Gibrat’s Law [17], which states that the growth rate of an individual firm in a specific period is independent of the firm’s growth in previous periods. Consequently, there will be no convergence process within industries, and thus, no predictable differences in growth will exist. Instead, growth is regarded as a pure stochastic phenomenon resulting from the cumulative effects of many factors acting randomly. This implies that the chances of growth or shrinkage of individual firms depend on many factors, including the quality of firm management, efficient organizational structure, the economic environment of the firm, product diversification, successful innovation, level of profitability, technological opportunities, etc. Still, growth from these factors cannot be predicted ex-ante since they are distributed randomly across firms [60]. Gibrat’s Law has been a cornerstone in firm performance literature because of its ability to provide a compelling explanation of the observed heterogeneity in firm size within industries [57,61].
However, a large number of studies on the dynamics of firm size and performance have shown inconsistent conclusions. Early studies based on small samples of well-established, mature, and large firms tended to confirm the Law [53,62,63], in harmony with the prevailing dynamic growth pattern observable in most industrial sectors at that time. Later studies [52,56,57,64,65,66,67], using databases and more sophisticated statistical techniques, challenged the validity of previous results. Most of them concluded that Gibrat’s Law fails to hold because firm growth rates and variance tend to fall with size. Scholars agree that Gibrat’s Law is better suited to describing the growth process of relatively large and mature firms that have reached a minimum efficiency scale, not for the whole size distribution in which smaller firms operate just below this threshold [68,69].
More recent studies move from employing data and econometric corrections for explaining the varying results to a new strand of analysis where the basic Gibrat’s model is modified to validate Gibrat’s Law. One example is Lotti [20], who uncovered a convergence towards Gibrat’s behavior and reconciled the different results described above by considering the role of market selection and learning in reshaping a given population of firms through time. Fotopoulos and Giotopoulos [15] found that medium, large, and old Greek manufacturing firms exhibit growth patterns consistent with Gibrat’s Law. Daunfeldt and Elert [50] revealed that the more disaggregated the data analyzed, the more likely Gibrat’s Law was to be confirmed. Additional studies move beyond Gibrat’s Law to empirical studies of performance sustainability that incorporate firm-specific and environmental factors [59,70,71]. Our research expands this latter strand of research by proposing a characterization of firm growth dynamics wherein the sustainability of firm performance depends not only on current and past firm size but also on environmental shifts caused by innovation.

2.2. Innovation and Firm Growth in Natural Resource Industries

Innovation is a determinant of firm growth that has received much attention [28,69,71,72,73]. Most studies suggest that small firms in innovative industries perform better than large firms. Those results are consistent with both Schumpeter’s early work [74], in which he argued that it was the entrepreneur who was the critical driver of innovation, and in industrial organization literature, in which smaller firms are considered to be more willing to challenge the status quo, and therefore, are more innovative [75,76].
However, the relationship between innovation and performance varies along the industry life cycle. Under the classical pattern of the relationship between innovation and a product’s stage of development proposed by Utterback and Abernathy [37], in mature industries, production processes become predominant over time. Large firms benefit from economies of scale and scope, implying that small firms are likely to exhibit lower performance [77,78]. Thus, while small firms may be able to occupy a niche, their expansion may be constrained by structural properties of the industry, such as high capital intensity.
Natural resource industries are mature markets based on commodities, offering scarce options for product differentiation and product innovation, so the path to growth that small firms have is severely curtailed [29]. Moreover, in natural resource industries, in-house innovation requires vast amounts of capital, while potential benefits are marginal, so suppliers often develop innovative strategies [79,80], as they have greater incentives to develop a solution for multiple customers. Additionally, the diffusion of process technology permeates all firms in the industry [81], and consequently, the state-of-the-art technology systems and equipment are available to small and large firms alike. In this context, technological knowledge and innovation capabilities are not likely to be a key feature affecting the sustainability of performance [82].
Similarly, other factors that determine the rate of innovation adoption and performance identified in the strategy literature, such as organizational routines [83], capabilities and internal resources [84,85], customer demand [45,86], network effects [87], and information contagion [88], are not considered in natural resource industries because there is little chance to offer differentiated products to customers. Thus, with some exceptions [89], the primary option to effectively compete in natural resource industries is to adopt incremental innovations and increase productivity strategically. In the next section, we uncover how incremental innovation alters firm performance.

2.3. The Effect of Incremental Innovation

Much of the literature on innovation and management focuses on radical, disruptive innovation [45,90,91,92]. Incremental innovation, by contrast, has received less attention, with few exceptions [47,48,93,94,95]. Contrary to the idea of radical and disruptive innovations, incremental innovation is a common and dominant form of innovation based on minor system refinements and extensions of established processes and designs [96,97]. Moreover, incremental innovation has significant effects [93,98], enhancing product and process performance and lowering costs, thus enabling capturing the value generated by radical innovations. Incremental changes are not only the most common form of innovation characterized by long and stable periods of incremental innovations [99,100], but the cumulative effect of numerous incremental innovations also accounts for the majority of technical progress in the industry [101,102].
Incremental innovations are defined as conscious, pre-defined concepts of creating and capturing continuous value, and are the most common form of innovation [103]. Synonyms of incremental innovation are technology regime [96], competence enhancing breakthroughs [99], sustaining technologies [104], and evolutionary change [105]. Disruptive and incremental innovations are intimately connected; they represent the two phases of the innovation cycle. The cycle starts with an era of ferment, characterized by high uncertainty, with numerous innovations trying to build demand. The era of ferment ends with the emergence of a dominant design, a single architecture that establishes dominance in a product class [106,107] and enables firms to design standardized and optimized parts and processes for volume and efficiency [106,108], creating learning economies and dramatic decreases in product and process costs. Once a dominant design is adopted, customers must incur switching costs, economies of scale are the determinant to gain efficiency, and future innovations consist of incremental improvements [101,103]. The focus of competition shifts from higher product performance to lower cost via standard operating procedures, mainly through incremental process innovation. The era of incremental innovation persists until it is ended by another disruptive innovation [99,106,109].
During periods of incremental innovation, firms use existing know-how as a platform for adopting small changes [99]; in contrast to adaptation processes observed in radical innovations, firms do not need to abandon existing know-how and acquire an entirely new set of capabilities [45,97,99,110]. In other words, incremental innovation primarily affects the efficiency of existing processes and not the array of new products and processes [111], as in radical and disruptive innovations. Thus, in the presence of incremental change, there is no dilemma in choosing the older or the new technology since advances always increase the innovation and efficiency of the existing technological order. According to this argument, the market leaders, the firms that possess the know-how and resources, usually larger firms, are most likely to build on that expertise [112] and have better performance. Larger firms are better able to acquire new knowledge, cope with incremental change [48,95,113], and are more likely to invest in incremental innovation [114,115]. It is worth noting that, additionally to the advantages large firms possess in the specific setting of incremental innovation, in a broader context, they do tend to have many competitive advantages over smaller firms just by their size, based on the possession of relevant resources and capabilities such as more extensive market connections, better access to capital markets, and more significant internal funds [116,117]. The larger firms also have the advantage of industry competitive isolating mechanisms as described by industrial organization literature, such as economies of scale and entry and exit barriers [118]. As a consequence, large firms may experience better performance than small firms. In this sense, we argue that large firms present better performance sustainability than small firms before an incremental innovation (Hypothesis 1):
Hypothesis 1 (H1).
In natural resource industries, large firms have better performance than small firms before an incremental innovation.
However, even if the skills, knowledge, and routines embedded in the organization that contribute to accountability and reliability are not completely rendered obsolete in the presence of incremental innovation [41,86,97,119], the physical assets associated with irreversible investment decisions in the form of exogenous sunk costs [120] may become outdated and inefficient, or just undermine the value of existing product lines [121], inhibiting adaptation. Natural resource firms, especially, face the dilemma of adopting incremental innovation in new processing technologies embracing more efficient processes at a high cost or staying with the current technology, eliminating the need for asset reconfiguration and capability adaptation activity. Furthermore, incumbent firms may suffer strategic myopia caused by the influence of complementary assets in perceiving the most promising technological direction [122], creating temporary strategic inertia. Therefore, smaller firms can enjoy higher strategic, technical, and financial flexibility due to lower assets and costs of output adjustment, even if their relative percentage of marginal costs are higher than those of larger firms [123,124]. They can also adopt incremental innovations faster and therefore, present higher performance. As such, we claim that small firms present better performance sustainability than large firms after an incremental innovation (Hypothesis 2):
Hypothesis 2 (H2).
In natural resource industries, small firms have better performance than large firms after an incremental innovation.
The apparent contradiction of these two divergent theories, one supporting the know-how and resources of larger firms as the key drivers for performance, and the other theory supporting the flexibility of smaller firms, is explained by taking as a reference an event of significant incremental innovations. We argue that before a significant incremental innovation, larger firms grow faster, taking advantage of their know-how and resources since the efficiency of their assets has not been affected. However, after a significant incremental innovation occurs, larger firms, due to the high integration of processes, may delay process adaptation at risk of process obsolescence and, therefore, efficiency loss and economic decay. By contrast, smaller firms can exploit their flexibility and adapt faster to the change, consequently generating higher growth rates.

3. Data and Research Methodology

3.1. Data: The Pulp and Paper Industry

For investigating the sustainability of firm performance and the forces behind it in an incremental innovation era, we chose the pulp and paper industry (P&P) in the United States during the period 1978–1987, around an incremental process innovation event: the development of integrated process control systems based on microprocessor technology. The P&P industry is based on three primary activities: cultivating forest resources, producing pulp (by extracting cellulose fibers), and producing paper and board products. Pulp is the primary raw material for paper production. Papermaking involves removing cellulose from the lignin matrix in wood and forming those fibers into a web of paper. Formally, pulping is the process by which the cellulose fiber is extracted from the wood, and papermaking is the process that transforms the pulp into paper. Several characteristics favor the selection of this empirical setting.
Paper is among the most capital-intensive manufacturing industries [125]. Producing pulp and paper competitively requires significant scale economies and, thus, large amounts of invested capital in physical assets, which are usually associated with irreversible investment decisions. This level of capital expenditure needed in these processes makes the pulp and paper industry an excellent context for studying the effect of incremental innovation on performance sustainability.
Pulp and paper are homogeneous products, characteristic of a natural resource industry where incremental process innovation is predominant in the search for process efficiency. Economies of scale are achieved through high sunk costs, as it is one of the world’s largest and most capital-intensive sectors when measured as average investment per employee [126]. Currently, its global annual revenue exceeds USD 500 billion on more than 300 million tons of products, a third of which is attributable to the United States, the ninth-largest manufacturing sector.
The P&P industry exhibits persistently high heterogeneity in size, with firms varying from small, single-product firms with less than 2000 tons/year capacity, to very large and diversified firms with an annual production capacity of more than 12 million tons (more than 6000 times larger than the smallest firm). However, the P&P industry has undergone a transformation that has changed its size distribution and increased its concentration at the global level [127,128]. While in 1978, the top 20 firms produced 25% of total output, in 2000, this had risen to almost 40%. In the US, the world’s largest P&P producer and consumer, the number of firms has decreased from 300 in 1970 to 234 in 2000, while average production capacity has increased from 187,000 to 434,000 tons.
Consumption in the P&P industry grows linearly [129], but productivity increases exponentially through continuous incremental process innovations. These technological changes enabled meaningful increases in production scale and productivity. Still, since the state-of-the-art of paper machines have become increasingly prominent, firms have incurred irreversible investments, resulting in substantial jumps in capacity [128] at increasingly high sunk costs, thus decreasing technological and financial flexibility.

A Significant Incremental Innovation in the Paper and Pulp Industry

The primary disruptive innovations that took place in the P&P industry were the invention of the first paper-making process in the first century AD in China, the creation of the first paper machine at the end of the 18th century, and the introduction of wood as raw material in substitution of other natural fiber products such as rags, straw, waste paper, and manila stock [130] at the end of the 19th century. Therefore, most of the evolution of the industry has been based on incremental process innovations, such as improving the effective utilization of wood fiber, installing more energy-efficient processes, and raising the unit size of the paper and board machine. When it was no longer feasible to augment the width of the machine, the increasing production could be achieved only by improving the P&P machines’ operating speed [131,132,133]. This improvement in machine speed was possible thanks to technological advances. In 1945–1955, instrumentation techniques and process indicators were developed. The first process computers were adopted in the 1960s, and in the 1970s, analogical differential drives were replaced by electric drives [82]. The most significant increase in machine speed occurred in the mid-1980s, with the development of integrated process control systems based on microprocessor technology (see Figure 1). The paper machine operation speed technology frontier represented in Figure 1 shows a discontinuity in 1982 due to the introduction of an incremental innovation: the integration of production control systems based on microprocessors. The structural discontinuity in 1982 was verified using a Chow test. The period under study, 1978–1987, considers five years before and five years after the innovation. Thus, the evolution of the P&P industry in the 1980s provides an optimal setting for testing our hypotheses.

3.2. Sample Design and Data Collection

We obtained our primary firm-level panel data for the US P&P industry from three sources. The first database was gathered from the Forest Products Laboratory (FPL) housed at the US Department of Agriculture in Madison, Wisconsin, in collaboration with the University of Wisconsin–Madison. This dataset contains estimates of the annual production capacity for all mill locations in the U.S., in which 13 principal paper, paperboard, and market pulp products were produced during our sample period. We complemented missing information from a second source containing company reports from the 100 largest U.S. P&P firms, published annually by Scandinavian Pulp & Paper Reports (https://www.fisheri.com, accessed on 7 March 2011). With the information gathered from these two sources, we built an unbalanced panel with 2801 firm-year observations for the 567 firms in the database. The third firm-level source included corporate and financial data from public P&P companies obtained from Compustat, also called S&P Capital IQ, a comprehensive market and corporate financial database covering mainly publicly traded companies worldwide. From Compustat, we collected 449 data files from 79 (large only) firms. The sampling process is summarized as follows: First, we identified the incremental innovation in the P&P industry (see Figure 1). It took place in 1982, with the integration of production control systems based on microprocessors in paper machine technology Second, we collected data from the mentioned data sources five years before and after the incremental innovation.
Aggregated economic data, gross domestic product growth (GDP), was obtained from the Maddison-Project dataset (Extracted on 21 October 2021 from https://www.rug.nl/ggdc/historicaldevelopment/maddison/releases/maddison-project-database-2020) described in Bolt and van Zanden [134]. Data on paper machine speed are based on the Beloit Paper Machine List (Extracted on 15 April 2019 from http://www.facetspro.com) containing the technical specifications of 968 machines manufactured by Beloit between 1862 and 1999. Beloit Corporation, previously Beloit Iron Works, was one of the world’s leading manufacturers of paper technology until it went bankrupt in 1999. Most of these innovations were developed by suppliers since the pay-off required to justify inside innovation is large while potential benefits are marginal.

3.2.1. Dependent Variable

We measure firm performance as firm growth. Firm growth is an essential performance measure of a competitive and sustainable firm [2,4,12,69]. Given the need for more agreement in the management literature about the measures that would unequivocally quantify and evaluate firm growth, we selected three different indicators: production capacity growth [28], sales growth [26], and number of employees growth [135]. All of them will serve to have three different performance measurements and test the effects of incremental innovation on firm performance sustainability in three different panel data. In the first panel data, we use three-year firm production capacity growth as the dependent variable, indicating a firm’s multiple-year capacity for growth. We define three-year growth as the three-year difference of the natural logarithm of total firm production capacity. In the second and third panel data, we use as dependent variables the three-year difference in firm sales and the three-year difference in the natural logarithm of total number of employees, respectively. Production Capacity is extracted from the FPL database, whereas sales and number of employees are extracted from Compustat.

3.2.2. Main Covariates

We use two variables for determining growth: size and age, lagged three periods, accounting for the setup time needed in natural resources industries from the decision to invest, to the adequate time when investments are implemented. We have, for each company, the number of years of existence (age) and the firm size. Size is measured through three different variables: production capacity, sales, and number of employees [26,28,135].
Firm age is an important covariate variable explaining firm growth [64,136]. Recent studies confirm a causal relationship between age and firm performance through intermediating mechanisms such as routinization, accumulated learning, reputation, and organizational rigidity [13,137]. We define age as the difference between the current year and the firm’s entry into the industry.

3.2.3. Control Variables

The level of diversification may influence the adoption of innovation in different manners. Chen [138] argues that firms with broader product lines are more sensitive to new opportunities and, for instance, to adopt various innovations. Opposing Chen, some scholars suggest that diversification creates information overload and loss of strategic control, so managers become shortsighted and risk-averse, reducing their incentives to adopt innovations. As a result of this factor, we control for the number of mutually exclusive products firms compete in (Diversification). We address product Diversification by counting the number of products in which the company competes.
Because rivalry levels affect competition and firm performance, we used a normalized Herfindahl index (Norm. Herfindahl) to capture the possible impact of industry concentration on firm growth. Additionally, the variable machine speed growth (M. Speed Growth) is designed to capture the potential impact of exogenous technological change in the P&P industry. It is computed as the triannual paper machine speed growth in 1970–2000 (we use triannual machine speed growth since technology jumps are discrete and last an average of 2–3 years in our sample).
Macroeconomic conditions also affect competitive and selection pressures since they alter resource munificence. Expansionary periods augment resource munificence, diminishing selection pressures, while recessions have the opposite effect. Therefore, we include the variable gross domestic product growth (GDP growth) as an additional control variable. GDP growth is computed as the annual growth rate of GDP per capita based on purchasing power parity in the United States. We expect this variable to be positively associated with growth.
We also control for the potential impact of the financial debt with the variable Leverage obtained from the Compustat database.
Finally, in the secondand third panel data, we introduce the dummy variable After Innovation, indicating those periods immediately after an innovation. This variable captures the effect of the innovation immediately after the event occurs. All control variables are lagged three periods, considering the implementation time of incremental innovation.
We summarize all the variables of the research model in Table 1.

3.2.4. Summary Statistics

Table 2, Table 3 and Table 4 show descriptive statistics for the variables, one for each different size measure. The tables are computed using panel data for firms with three or more size observations during the sample period (1978–1987).

3.3. Research Methodology

To expose the sustainability of firm performance, we analyze the temporal behavior of the dependent variable—firm growth. If the growth rate increases over time, we classify firm performance as sustainable. However, if firm growth decreases, then the performance is deemed unsustainable. To assess the sustainability of firm performance in an incremental innovation phase, we first fit a panel data linear model with production capacity growth (PCG) as the dependent variable and the following independent variables lagged three periods: production capacity (PC), age (AGE), normalized Herfindahl index (NHI), machine speed growth (MSG), diversification (DIV), GDP Growth (GDP), and the interaction term between production capacity and age. More specifically, we develop the following multifactorial regression model (Model 1):
P C G i , t = β 0 + β 1 P C i , t 3 + β 2 A G E i , t 3 + β 3 N H I i , t 3 + β 4 M S G i , t 3 + β 5 D I V i , t 3 + β 6 G D P i , t 3 + β 7 P C i , t 3 A G E i , t 3 + ε i , t
where β0, β1, …, β7 are the regression coefficients, and ε i , t denotes the measurement error term. This first panel data comprises data from the most extensive dataset, i.e., the FPL and Scandinavian P&P database, containing 567 large and small firms. We divide the sample into two periods, each of five years before and after an innovation, so that we can study the different behaviors of firm growth depending on size separately for each period.
One of the challenges of studying the sustainability of firm performance is the potential presence of several econometric problems that can bias the results, particularly heteroscedasticity and serial correlation. In our context, heteroscedasticity might arise from inequality in growth variances across firms of different sizes. Serial correlation might appear due to the overlapping multi-period growth, which may render least squares estimators inconsistent. We test for the presence of these potential problems with the Breusch–Pagan test for heteroscedasticity and a Wooldridge test for autocorrelation [139]. Since we observe evidence for both heteroscedasticity and autocorrelation of order one in all the panel data models, we follow Hansen [140] to fit the models using generalized least squares (GLS), accounting for the presence of AR (1) autocorrelation within panels and heteroscedasticity across firms [141].
Two more panel data linear models are analyzed. One of them uses sales growth (SLG) as the dependent variable, and the other, number of employees growth (EMG). These two last panel data employ the same independent variables as the first, but we substitute the size variable production capacity by sales (SL) in Model 2 and by Number of Employees (EM) in Model 3. The resulting balanced panel includes only 53 public, large firms. Because with this sample, there is no option to assess the differentiated effect of incremental innovation in small firms and the number of observations is small, we use the preferred method of adding the dummy variable After Innovation (AIN) instead of dividing the sample into two periods. We added one more variable from the Compustat database: leverage (LEV), lagged three periods, and the interaction terms between sales, number of employees, age, and after innovation. The resulting models are presented below:
Model 2:
S L G i , t = β 0 + β 1 S L i , t 3 + β 2 A G E i , t 3 + β 3 N H I i , t 3 + β 4 M S G i , t 3 + β 5 D I V i , t 3 + β 6 G D P i , t 3 + β 7 A I N i , t + β 8 L E V i , t 3 + β 9 S L i , t 3 A G E i , t 3 + β 10 A I N i , t A G E i , t 3 + β 11 S L i , t 3 A G E i , t 3 A I N i , t + ε i , t
Model 3:
E M G i , t = β 0 + β 1 E M i , t 3 + β 2 A G E i , t 3 + β 3 N H I i , t 3 + β 4 M S G i , t 3 + β 5 D I V i , t 3 + β 6 G D P i , t 3 + β 7 A I N i , t + β 8 L E V i , t 3 + β 9 E M i , t 3 A G E i , t 3 + β 10 A I N   i , t A G E i , t 3 + β 11 E M i , t 3 A G E i , t 3 A I N i , t + ε i , t
where β0, β1, …, β11 are the regression coefficients, and ε i , t denotes the measurement error term.

4. Empirical Results

Table 5 and Table 6 report the results of the panel data model used to analyze the sustainability of firm performance using production capacity growth as the firm performance measure (Model 1). We compare two periods: the 1978–1982 period, five years before the innovation observed in 1982 (Table 5), and the 1983–1987 period, five years after the innovation (Table 6). They show the GLS parameter estimation of the model with three-year growth as the dependent variable and different sets of covariates. Therefore, the sign of an estimated coefficient indicates the direction of the variable effect on firm growth, with a positive coefficient being related to more significant growth in the following three-year period (results are robust to different length growth calculations, producing coefficients similar in sign and significance). Since an R-squared statistic computed from GLS does not correctly represent the percentage of the total variation in the dependent variable due to the model [142], we use the Wald chi-squared test as an approximation for the goodness of fit.
Results in Table 5 show that the estimated coefficient for production capacity before the incremental innovation is positive and significant at the 1% level. Additionally, the best-fitting model in Table 6 shows that for the time after the incremental innovation, the coefficient for production capacity is still significant at the 1% level, but it changes the sign, becoming negative. Thus, results strongly support significant incremental innovation affecting performance sustainability, giving a temporary advantage to small-sized companies relative to larger firms, confirming hypotheses 1 (H1) and 2 (H2).
Table 7 and Table 8 represent the results obtained from the panel data containing the Compustat variables sales (Model 2) and number of employees (Model 3) as size measurements. Because the Compustat database considers only publicly traded companies, Table 7 and Table 8 show the behavior of large firms exclusively. Results with the dependent variable Sales Growth are aligned with those obtained considering size as Production Capacity Growth, showing that large firms increase performance as they increase size (see Table 7). However, when we observe firm performance as the growth in the number of employees, large firms decrease performance as they increase size (see Table 8). A possible explanation for these mixed results is that measuring performance based on the number of employees takes into account additional effects, such as automatization, which could generate a misleading interpretation. Nevertheless, no matter which variable we use to measure firm growth, large firms show higher performance before than after innovation.
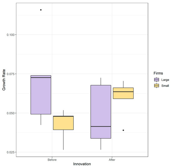
The empirical results are graphically displayed in Figure 2. Comparing firm performance before and after the significant process innovation, small firms show sustainable performance after the innovation event. In contrast, large firms exhibit sustainable performance before the incremental innovation. The effect is significantly stronger for small than large firms.

5. Discussion and Conclusions

Studies in the firm performance literature show inconsistent results explaining the relationship between size and growth. In just the P&P industry, we find investigations that affirm that larger pulp and paper mills perform better than their smaller counterparts because they take advantage of their scale to achieve higher productivity [143]. These studies argue that smaller plants tend to perform better than large ones [144,145], and finally, there are scholars that find no growth–size relationship, i.e., paper mills that grow according to Gibrat’s Law [146,147].
This paper contributes to clarify the mixed findings and to fill the gap in understanding the relationship between firm size and firm performance by introducing incremental innovation as a critical determinant of the forces affecting the sustainability of firm performance. Our study demonstrates that firm growth is not a “random walk” process and is not linear over time. Thus, even when Gibrat’s Law is not assumed, it is incorrect to suppose that a unique performance–size relationship applies to the whole industry at any time, as many studies claim. Incremental innovation generates a discontinuity beyond its influence on process improvement, affecting firm sustainability at an industry level, generating a competitive opportunity for small firms and a performance decline for large firms.
Incremental change is the most common kind of innovation, and size is a critical organizational dimension when analyzing growth. However, there are few studies on how incremental innovation affects performance in an industry, even though a large body of literature focuses on radical, disruptive innovation. In this study, we theoretically argue that before a significant incremental innovation takes place, larger firms’ performance is higher than that of smaller firms, supported by firms’ resources and the isolating mechanisms of the industry. Nevertheless, with the advent of significant incremental innovation, smaller firms adapt faster to changes because of their strategic flexibility, presenting higher performance than larger firms. Empirical findings provide support for our theoretical claim. Factors explaining this argument lie in the sunk costs, complementary assets, and irreversibility of capital-intensive investments required in natural resource industries. Once an investment is made, new incremental innovations will comparatively reduce the efficiency of the processes in place, thus affecting performance. Our research adds to the literature on incremental innovation by confirming that incremental change is a potential game-changer that can impact competitive dynamics and industry structure [148,149]. The novelty of our study lies in the consideration of incremental innovation as an environmental factor, not a consequence, and in the introduction of a specific setting: natural resource industries. In these, contrary to previous research, smaller firms bringing about incremental innovations raise their chances of success [48].
Our results also introduce a new question: since large firms will benefit from the industry’s competitive isolating mechanisms in the long term, how long does the temporary advantage small firms enjoy after an incremental change last? Data from the P&P industry suggests that large firms can catch up with small firms in seven years. However, we suspect that the length of the temporary advantage depends on the structural properties of the industry, such as the level of capital required for new investments, or the time needed to update specific internal capabilities and routines. Therefore, additional research is needed within P&P and in multiple industries to properly answer that question.
To achieve our results, we first had to overcome an important theoretical challenge since size generates alternative mechanisms of competitive dynamics. Size directly affects unit costs, providing a competitive advantage for larger competitors focusing on a single product. In natural resource industries, competitors are price takers: cost advantages are fundamental for performance. For instance, in periods of price volatility, which generates systematic cycles of excess capacity, size reduces unit cost and provides a competitive advantage, while excess capacity acts in the opposite direction. Periods of low prices particularly penalize those companies that have made the most significant investments. Therefore, size acts as a double-edged sword for larger competitors, producing cost advantages in good periods but cost disadvantages in periods of low prices.

Limitations and Implications

Although this study contributes to the understanding of firm competitive dynamics at the industry level and their effect on a firm’s performance, we point out several limitations. First, we make generalizable claims valid for natural resources industries like oil or mining. However, these findings may also apply to service industries or sectors where competition is high, political intervention or regulation is not essential, investments are capital-intensive, or products are commoditized. Second, our research focuses on incremental technological innovation, affecting processes. Other non-technological incremental innovations, such as organizational or marketing innovations, were not considered. Thus, our study opens avenues for further research exploring the sustainability of firm performance in the presence of different types of incremental innovation in other industries.
The managerial consequences of our study will be helpful in guiding the strategies of firms in capital-intensive industries when considering optimal size. Our results question the sustainability of a niche strategy and the convenience of being large. For small companies, the imperative is to grow. However, for large companies, this imperative should be a careful balance to avoid over-investments in scale and unnecessarily broad product portfolios.
Finally, for practitioners, we draw two final implications from this research. First, because incremental change does frequently happen, even in mature industries, managers should consider developing competencies that reduce the adaptation period, such as R&D capabilities or permanent support contracts with suppliers, especially in industries where the speed of technological change is high. In a world of fast technological evolution, the ability to direct incremental innovation affects profitability and the firm’s sustainability. Second, when evaluating a capacity increase, it is key to consider the relative productivity fall, compared to competitors, as a result of commitment to a particular technology. Therefore, strategic decisions should look for an equilibrium between obtaining economies of scale and the potential for consequent productivity loss over time.

Author Contributions

Conceptualization, A.S., A.C., T.R. and R.V.; Methodology, A.S., A.C., T.R. and R.V.; Software, A.S., A.C. and T.R.; Validation, A.S., A.C., T.R. and R.V.; Formal analysis, A.S., A.C., T.R. and R.V.; Investigation, A.S., A.C., T.R. and R.V.; Resources, A.S., A.C., T.R. and R.V.; Data curation, A.S., A.C., T.R. and R.V.; Writing—original draft, A.S., A.C., T.R. and R.V.; Writing—review and editing, A.S., A.C., T.R. and R.V.; Visualization, A.S. and R.V.; Supervision, A.S., A.C., T.R. and R.V.; Project administration, A.S.; Funding acquisition, A.S. All authors have read and agreed to the published version of the manuscript.

Funding

This work was supported by the Agencia Nacional de Investigación y Desarrollo (ANID, Chile). Programs: ANID/FONDECYT/11220210 and ANID/FONDECYT/1211367.

Institutional Review Board Statement

Not applicable.

Informed Consent Statement

Not applicable.

Conflicts of Interest

The authors declare no conflict of interest.

References

  1. Székely, F.; Knirsch, M. Responsible leadership and corporate social responsibility: Metrics for sustainable performance. Eur. Manag. J. 2005, 23, 628–647. [Google Scholar] [CrossRef]
  2. Xu, J.; Wang, B. Intellectual Capital, Financial Performance and Companies’ Sustainable Growth: Evidence from the Korean Manufacturing Industry. Sustainability 2018, 10, 4651. [Google Scholar] [CrossRef]
  3. Hajar, M.A.; Alkahtani, A.A.; Ibrahim, D.N.; Al-Sharafi, M.A.; Alkawsi, G.; Iahad, N.A.; Darun, M.R.; Tiong, S.K. The Effect of Value Innovation in the Superior Performance and Sustainable Growth of Telecommunications Sector: Mediation Effect of Customer Satisfaction and Loyalty. Sustainability 2022, 14, 6342. [Google Scholar] [CrossRef]
  4. Rubio-andrés, M.; del Mar Ramos-González, M.; Sastre-Castillo, M.Á. Driving innovation management to create shared value and sustainable growth. Rev. Manag. Sci. 2022, 16, 2181–2211. [Google Scholar] [CrossRef]
  5. Dyllick, T.; Hockerts, K. Beyond the business case for corporate sustainability. Bus. Strategy Environ. 2022, 11, 130–141. [Google Scholar] [CrossRef]
  6. Oprean-Stan, C.; Oncioiu, I.; Iuga, I.C.; Stan, S. Impact of Sustainability Reporting and Inadequate Management of ESG Factors on Corporate Performance and Sustainable Growth. Sustainability 2020, 12, 8536. [Google Scholar] [CrossRef]
  7. Ang, S.H. Competitive intensity and collaboration: Impact on firm growth across technological environments. Strateg. Manag. J. 2008, 29, 1057–1075. [Google Scholar] [CrossRef]
  8. Certo, S.T.; Lester, R.H.; Dalton, C.M.; Dalton, D.R. Top Management Teams, Strategy and Financial Performance: A Meta-Analytic Examination. J. Manag. Stud. 2006, 43, 813–839. [Google Scholar] [CrossRef]
  9. Coad, A.; Segarra, A.; Teruel, M. Innovation and firm growth: Does firm age play a role? Res. Policy 2016, 45, 387–400. [Google Scholar] [CrossRef]
  10. Fernando, Y.; Jabbour, C.J.C.; Wah, W.-X. Pursuing green growth in technology firms through the connections between environmental innovation and sustainable business performance: Does service capability matter? Resour. Conserv. Recycl. 2019, 141, 8–20. [Google Scholar] [CrossRef]
  11. Bogner, W.C.; Bansal, P. Knowledge Management as the Basis of Sustained High Performance. J. Manag. Stud. 2007, 44, 165–188. [Google Scholar] [CrossRef]
  12. Sapienza, H.J.; Autio, E.; George, G.; Zahra, S.A. A Capabilities Perspective on the Effects of Early Internationalization on Firm Survival and Growth. Acad. Manag. Rev. 2006, 31, 914–933. [Google Scholar] [CrossRef]
  13. Correa Rodríguez, A.; Acosta Molina, M.; González Pérez, A.L.; Medina Hernández, U. Size, Age and Activity Sector on the Growth of the Small and Medium Firm Size. Small Bus. Econ. 2003, 21, 289–307. [Google Scholar] [CrossRef]
  14. Calvo, J.L. Testing Gibrat’s Law for Small, Young and Innovating Firms. Small Bus. Econ. 2006, 26, 117–123. [Google Scholar] [CrossRef]
  15. Fotopoulos, G.; Giotopoulos, Æ.I. Gibrat’s Law and Persistence of Growth in Greek Manufacturing. Small Bus. Econ. 2010, 35, 191–202. [Google Scholar] [CrossRef]
  16. Petrunia, R. Does Gibrat’s Law Hold? Evidence from Canadian Retail and Manufacturing Firms. Small Bus. Econ. 2007, 30, 201–214. [Google Scholar] [CrossRef]
  17. Gibrat, R. Les Inégalités Économiques; Recueil Sirey: Paris, France, 1931. [Google Scholar]
  18. Geroski, P.A. The Growth of Firms in Theory and in Practice; CEPR Discussion Paper No. 2092; Center for Economic Policy Research: London, UK, 1999. [Google Scholar]
  19. Evans, D.S. Tests of Alternative Theories of Firm Growth. J. Polit. Econ. 1987, 95, 657–674. [Google Scholar] [CrossRef]
  20. Lotti, F.; Santarelli, E.; Vivarelli, M. Defending Gibrat’s Law as a long-run regularity. Small Bus. Econ. 2009, 32, 31–44. [Google Scholar] [CrossRef]
  21. Audretsch, D.B. New-Firm Survival and the Technological Regime. Rev. Econ. Stat. 1991, 73, 441–450. [Google Scholar] [CrossRef]
  22. Samuels, J. Size and the Growth of Firms. Rev. Econ. Stud. 1965, 32, 105–112. [Google Scholar] [CrossRef]
  23. Samuels, J.; Chesher, A. Growth, Survival and Size of Companies: 1960–1969. In Market Structure and Corporate Behavior; Cowling, K., Ed.; Gray-Mills: London, UK, 1972. [Google Scholar]
  24. Bentzen, J.; Madsen, E.S.; Smith, V. Do Firms’ Growth Rates Depend on Firm Size? Small Bus. Econ. 2012, 39, 937–947. [Google Scholar] [CrossRef]
  25. Dunne, P.; Hughes, A. Age, Size, Growth and Survival: UK Companies in the 1980s. J. Ind. Econ. 1994, 42, 115–140. [Google Scholar] [CrossRef]
  26. Coad, A.; Rao, R. Innovation and Firm Growth in High-Tech Sectors: A Quantile Regression Approach. Res. Policy 2008, 37, 633–648. [Google Scholar] [CrossRef]
  27. Rosenbusch, N.; Brinckmann, J.; Bausch, A. Is innovation always beneficial? A meta-analysis of the relationship between innovation and performance in SMEs. J. Bus. Ventur. 2011, 26, 441–457. [Google Scholar] [CrossRef]
  28. Mansfield, E. Entry, Gibrat’s Law, Innovation, and the Growth of Firms. Am. Econ. Rev. 1962, 52, 1023–1051. [Google Scholar]
  29. Acs, Z.J.; Audretsch, D.B. The determinants of small-firm growth in US manufacturing. Appl. Econ. 1990, 22, 143–153. [Google Scholar] [CrossRef]
  30. Audretsch, D.B. Innovation, Growth and Survival. Int. J. Ind. Organ. 1995, 13, 441–457. [Google Scholar] [CrossRef]
  31. Choi, Y.R.; Ha, S.; Kim, Y. Innovation Ambidexterity, Resource Configuration and Firm Growth: Is Smallness a Liability or an Asset? Small Bus. Econ. 2022, 58, 2183–2209. [Google Scholar] [CrossRef]
  32. World Trade Organization. WTO Stats. 2015. Available online: https://stats.wto.org/ (accessed on 23 August 2017).
  33. Cárcamo-Díaz, R. Commodity Dependence: A Twenty-Year Perspective; United Nations Publications: New York, NY, USA, 2019. [Google Scholar]
  34. George, G.; Schillebeeckx, S.J.D.; Liak, T.L. From the Editors—The Management of Natural Resources: An overview and research agenda. Acad. Manag. J. 2015, 58, 1595–1613. [Google Scholar] [CrossRef]
  35. Wu, S.L. The Definition and Identification of Natural Resources Industries. Adv. Mater. Res. 2014, 962–965, 1965–1972. [Google Scholar] [CrossRef]
  36. Dean, J.W.; Snell, S.A. Integrated Manufacturing and Job Design: Moderating Effects of Organizational Inertia. Acad. Manag. J. 1991, 34, 776–804. [Google Scholar] [CrossRef]
  37. Utterback, J.M.; Abernathy, W.J. A dynamic model of process and product innovation. Omega 1975, 3, 639–656. [Google Scholar] [CrossRef]
  38. Casarin, A.A.; Lazzarini, S.G.; Vassolo, R.S. The Forgotten Competitive Arena: Strategy in Natural Resource Industries. Acad. Manag. Perspect. 2020, 34, 378–399. [Google Scholar] [CrossRef]
  39. Tilton, J.E. International Diffusion of Technology: The Case of Semiconductors; Brookings Institution Press: Washington, DC, USA, 1971; Volume 4. [Google Scholar]
  40. Suárez, F.F.; Lanzolla, G. The role of environmental dynamics in building a first mover advantage theory. Acad. Manag. Rev. 2007, 32, 377–392. [Google Scholar] [CrossRef]
  41. Abernathy, W.J.; Clark, K. Innovation: Mapping the winds of creative destruction. Res. Policy 1985, 14, 3–22. [Google Scholar] [CrossRef]
  42. Teece, D.D.; Pisano, G.; Shuen, A. Dynamic capabilities and strategic management. Strateg. Manag. J. 1997, 18, 509–533. [Google Scholar] [CrossRef]
  43. Bright, J.R. Research, Development, and Technological Innovation: An Introduction; R.D. Irwin: Homewood, IL, USA, 1964. [Google Scholar]
  44. Foster, R. Innovation: The Attacker’s Advantage; Summit Books: New York, NY, USA, 1986. [Google Scholar]
  45. Christensen, C.M. The Innovator’s Dilemma; Harvard Business School Press: Boston, MA, USA, 1997. [Google Scholar]
  46. Abetti, P.A. Critical Success Factors for Radical Technological Innovation: A Five Case Study. Creat. Innov. Manag. 2000, 9, 208–221. [Google Scholar] [CrossRef]
  47. Dewar, R.D.; Dutton, J.E. The Adoption of Radical and Incremental Innovations: An Empirical Analysis. Manag. Sci. 1986, 32, 1422–1433. [Google Scholar] [CrossRef]
  48. Banbury, C.M.; Mitchell, W. The Effect of Introducing Important Incremental Innovations on Market Share and Business Survival. Strateg. Manag. J. 1995, 16, 161–182. [Google Scholar] [CrossRef]
  49. Rumelt, R.P. Towards a strategic theory of the firm. Compet. Strateg. Manag. 1984, 26, 556–570. [Google Scholar]
  50. Daunfeldt, S.-O.; Elert, N. When Is Gibrat’s Law a Law? Small Bus. Econ. 2013, 41, 133–147. [Google Scholar] [CrossRef]
  51. Fauzi, H.; Svensson, G.; Rahman, A.A. ‘Triple Bottom Line’ as ‘Sustainable Corporate Performance’: A Proposition for the Future. Sustainability 2010, 2, 1345–1360. [Google Scholar] [CrossRef]
  52. Hart, P.E.; Oulton, N. Growth and size of firms. Econ. J. 1996, 106, 1242–1252. [Google Scholar] [CrossRef]
  53. Simon, H.A.; Bonini, C.P. The Size Distribution of Business Firms. Am. Econ. Rev. 1958, 48, 607–617. [Google Scholar]
  54. Ijiri, Y.; Simon, H.A. Interpretations of Departures from the Pareto Curve Firm-Size Distributions. J. Polit. Econ. 1974, 82, 315–331. [Google Scholar] [CrossRef]
  55. Foss, N.J.; Hallberg, N.L. How Symmetrical Assumptions Advance Strategic Management Research. Strateg. Manag. J. 2014, 35, 903–913. [Google Scholar] [CrossRef]
  56. Hall, B.H. The Relationship between Firm Size and Firm Growth in the US Manufacturing Sector. J. Ind. Econ. 1987, 35, 583–606. [Google Scholar] [CrossRef]
  57. Sutton, J. Gibrat’s Legacy. J. Econ. Lit. 1997, 35, 40–59. [Google Scholar]
  58. Lotti, F.; Santarelli, E. Industry Dynamics and the Distribution of Firm Sizes: A Nonparametric Approach. South. Econ. J. 2004, 70, 443–466. [Google Scholar]
  59. Bottazzi, G.; Secchi, A. Growth and Diversification Patterns of the Worldwide Pharmaceutical Industry. Rev. Ind. Organ. 2005, 26, 195–216. [Google Scholar] [CrossRef]
  60. Goddard, J.; Mcmillan, D.; Wilson, J.O.S. Do Firm Sizes and Profit Rates Converge? Evidence on Gibrat’s Law and the Persistence of Profits in The Long Run. Appl. Econ. 2006, 38, 267–278. [Google Scholar] [CrossRef]
  61. Goddard, J.; Wilson, J.; Blandon, P. Panel Tests of Gibrat’s Law for Japanese Manufacturing. Int. J. Ind. Organ. 2002, 20, 415–433. [Google Scholar] [CrossRef]
  62. Hart, P.E.; Prais, S.J. The Analysis of Business Concentration: A Statistical Approach. J.R. Stat. Soc. 1956, 119, 150–191. [Google Scholar] [CrossRef]
  63. Hymer, S.; Pashigian, P. Firm Size and rate of Growth. J. Polit. Econ. 1962, 70, 556–569. [Google Scholar] [CrossRef]
  64. Evans, D.S. The Relationship between Firm Growth, Size and Age: Estimates for 100 Manufacturing Industries. J. Ind. Econ. 1987, 35, 567–581. [Google Scholar] [CrossRef]
  65. Dunne, T.; Roberts, M.J.; Samuelson, L. The Growth and Failure of U.S. Manufacturing Plants. Q. J. Econ. 1989, 104, 671–698. [Google Scholar] [CrossRef]
  66. Mata, J. Firm growth during infancy. Small Bus. Econ. 1994, 6, 27–39. [Google Scholar] [CrossRef]
  67. Almus, M.; Nerlinger, E.A. Testing ‘Gibrat’s Law’ for Young Firms—Empirical Results for West Germany. Small Bus. Econ. 2000, 15, 1–12. [Google Scholar] [CrossRef]
  68. Geroski, P.A. What Do We Know About Entry? Int. J. Ind. Organ. 1995, 13, 421–440. [Google Scholar] [CrossRef]
  69. Geroski, P.A.; Machin, S. The Dynamics of Corporate Growth; Department of Economics, University College London: London, UK, 1992. [Google Scholar]
  70. Reichstein, T.; Jensen, M.B. Firm size and firm growth rate distributions—The case of Denmark. Ind. Corp. Change 2005, 14, 1145–1166. [Google Scholar] [CrossRef]
  71. Bottazzi, G.; Dosi, G.; Lippi, M.; Pammolli, F.; Riccaboni, M. Innovation and corporate growth in the evolution of the drug industry. Int. J. Ind. Organ. 2001, 19, 1161–1187. [Google Scholar] [CrossRef]
  72. Scherer, F.M. Firm Size, Market Structure, Opportunity, and the Output of Patented Inventions. Am. Econ. Rev. 1965, 55, 1097–1125. [Google Scholar]
  73. Cefis, E.; Marsili, O. Survivor: The Role of Innovation in Firms’ Survival. Res. Policy 2006, 35, 626–641. [Google Scholar] [CrossRef]
  74. Schumpeter, J.A. The Theory of Economic Development; Harvard University Press: Cambridge, MA, USA, 1934. [Google Scholar]
  75. Porter, M.E. Technology and Competitive Advantage. J. Bus. Strategy 1985, 5, 60–78. [Google Scholar] [CrossRef]
  76. Acs, Z.J.; Yeung, B. Small and Medium-Size Enterprises in the Global Economy. Glob. Focus 1999, 11, 63–72. [Google Scholar]
  77. Klepper, S. Industry Life Cycles. Ind. Corp. Change 1997, 6, 145–182. [Google Scholar] [CrossRef]
  78. Mueller, D.C.; Tilton, J.E. Research and Development Costs as a Barrier to Entry. Can. J. Econ. 1969, 2, 570–579. [Google Scholar] [CrossRef]
  79. Pavitt, K. Sectoral patterns of technical change: Towards a taxonomy and a theory. Res. Policy 1984, 13, 343–373. [Google Scholar] [CrossRef]
  80. Harhoff, D. Strategic spillovers and incentives for research and development. Manag. Sci. 1996, 42, 907–925. [Google Scholar] [CrossRef]
  81. Lieberman, M.B. The learning curve, Technology Barriers to Entry and Competitive Survival in the Chemical Processing Industries. Strateg. Manag. J. 1989, 10, 431–447. [Google Scholar] [CrossRef]
  82. Lehtoranta, O. Technology Diffusion and the Lifetimes of Paper Machines. Res. Inst. Finn. Econ. ETLA 1994, 430, 1–30. [Google Scholar]
  83. Feldman, M.S.; Pentland, B.T. Reconceptualizing Organizational Routines as a Source of Flexibility and Change. Adm. Sci. Q. 2003, 48, 94–118. [Google Scholar] [CrossRef]
  84. Pfeffer, J.; Salancik, G.R. The External Control of Organizations: A Resource Dependence Perspective; Harper & Row: New York, NY, USA, 1978. [Google Scholar]
  85. Teece, D.J. Towards an Economic Theory of the Multiproduct Firm. J. Econ. Behav. Organ. 1982, 3, 39–63. [Google Scholar] [CrossRef]
  86. Christensen, C.M.; Rosenbloom, R.S. Explaining the attacker’s advantage: Technological paradigms, organizational dynamics, and the value network. Res. Policy 1995, 24, 233–257. [Google Scholar] [CrossRef]
  87. Stremersch, S.; Tellis, G.J.; Franses, P.H.; Binken, J.L.G. Indirect Network Effects in New Product Growth. J. Mark. 2007, 71, 52–74. [Google Scholar] [CrossRef]
  88. Iyengar, R.; van den Bulte, C.; Valente, T.W. Opinion Leadership and Social Contagion in New Product Diffusion. Mark. Sci. 2011, 30, 195–212. [Google Scholar] [CrossRef]
  89. Radnejad, A.B.; Osiyevskyy, O.; Vredenburg, H. Barriers to Radical Process Innovation: A Case of Environmental Technology in the Oil Industry. J. Strategy Manag. 2020, 13, 453–476. [Google Scholar] [CrossRef]
  90. Herbig, P.A. The Innovation Matrix: Culture and Structure Prerequisites to Innovation; Praeger Pub Tex: Westport, CT, USA, 1994. [Google Scholar]
  91. Markides, C. Disruptive Innovation: In Need of Better Theory. J. Prod. Innov. Manag. 2006, 23, 19–25. [Google Scholar] [CrossRef]
  92. Schumpeter, J.A. Business Cycles; McGraw-Hill Book Company: New York, NY, USA, 1939; Volume 1. [Google Scholar]
  93. Lawless, M.W.; Anderson, P.C. Generational Technological Change: Effects of Innovation and Local Rivalry on Performance. Acad. Manag. 1996, 39, 1185–1217. [Google Scholar] [CrossRef]
  94. Verhaal, J.C.; Dobrev, S.D.; Bigelow, L. When Incremental Is Imperative: Tactical Innovation in The In-Vitro Fertilization Industry. Ind. Corp. Change 2017, 26, 709–726. [Google Scholar] [CrossRef]
  95. Mckendrick, D.G.; Wade, J.B. Frequent Incremental Change, Organizational Size, and Mortality in High-Technology Competition. Ind. Corp. Change 2009, 19, 613–639. [Google Scholar] [CrossRef]
  96. Dosi, G. Technological paradigms and technological trajectories. A suggested interpretation of the determinants and directions of technical change. Res. Policy 1982, 11, 147–162. [Google Scholar] [CrossRef]
  97. Henderson, R.M.; Clark, K.B. Architectural innovation: The reconfiguration of existing product technologies and the failure of established firms. Adm. Sci. Q. 1990, 35, 9–30. [Google Scholar] [CrossRef]
  98. Hollander, S. The Sources of Increased Efficiency: A Study of DuPont Rayon Plants, 1st ed.; MIT Press Books: Cambridge, MA, USA, 1965. [Google Scholar]
  99. Tushman, M.L.; Anderson, P. Technological Discontinuities and Organizational Environments. Adm. Sci. Q. 1986, 31, 439–465. [Google Scholar] [CrossRef]
  100. Utterback, J.M. Innovation in industry and the diffusion of technology. Science 1974, 183, 620–626. [Google Scholar] [CrossRef]
  101. Myers, S.; Marquis, D.G. Successful Industrial Innovations: A Study of Factors Underlying Innovation in Selected Firms; National Science Foundation: Alexandria, VA, USA, 1969.
  102. Rosenberg, N. Perspectives on Technology; Cambridge University Press: New York, NY, USA, 1976. [Google Scholar]
  103. Anderson, P.; Tushman, M.L. Technological Discontinuities and Dominant Designs: A Cyclical Model of Technological Change. Adm. Sci. Q. 1990, 35, 604–633. [Google Scholar] [CrossRef]
  104. Bower, J.L.; Christensen, C.M. Disruptive Technologies: Catching the Wave. Harv. Bus. Rev. 1995, 73, 43–53. [Google Scholar] [CrossRef]
  105. Tushman, M.L.; O’Reilly, C.A. Ambidextrous organizations: Managing evolutionary and revolutionary change. Calif. Manage. Rev. 1996, 38, 8–30. [Google Scholar] [CrossRef]
  106. Abernathy, W.J. The Productivity Dilemma. Roadblock to Innovation in the Automobile Industry; Johns Hopkins University Press: Baltimore, MD, USA, 1978. [Google Scholar]
  107. Sahal, D. Patterns of Technological Innovation; Addison-Wesley: New York, NY, USA, 1981. [Google Scholar]
  108. Hounshell, D. From the American System to Mass Production, 1800–1932: The Development of Manufacturing Technology in the United States; Johns Hopkins University Press: Baltimore, MD, USA, 1985. [Google Scholar]
  109. Landau, R. The Nature of Technological Knowledge; Reidel: Boston, MA, USA, 1984. [Google Scholar]
  110. Henderson, R. The Innovator’s Dilemma as a Problem of Organizational Competence. J. Prod. Innov. Manag. 2006, 23, 5–11. [Google Scholar] [CrossRef]
  111. Freeman, C. Innovation, Changes of Techno-Economic Paradigm and Biological Analogies in Economics. Rev. Econ. 1991, 42, 211–231. [Google Scholar]
  112. Anderson, P.; Tushman, M.L. Managing Through Cycles of Technological Change. Res.-Technol. Manag. 1991, 34, 26–31. [Google Scholar] [CrossRef]
  113. Agarwal, R.; Audretsch, D.B. Does Entry Size Matter? The Impact the Life Cycle and Technology on Firm Survival. J. Ind. Econ. 2001, 49, 21–43. [Google Scholar] [CrossRef]
  114. Henderson, R. Underinvestment and Incompetence as Responses to Radical Innovation: Evidence from the Photolithographic Alignment Equipment Industry. RAND J. Econ. 1993, 24, 248–270. [Google Scholar] [CrossRef]
  115. de Bresson, C.; Townsend, J. Multivariate models for innovation—Looking at the Abernathy-Utterback model with other data. Omega 1981, 9, 429–436. [Google Scholar] [CrossRef]
  116. Penrose, E. The Theory of the Growth of the Firm; Blackwell: Oxford, UK, 1959. [Google Scholar]
  117. Barney, J.B. Firm Resources and Sustained Competitive Advantage. J. Manag. 1991, 17, 99–120. [Google Scholar] [CrossRef]
  118. Porter, M.E. Competitive Strategy: Techniques for Analyzing Industries and Competition; Free Press: New York, NY, USA, 1980. [Google Scholar]
  119. Nelson, R.R.; Winter, S.G. An Evolutionary Theory of Economic Change; Harvard University Press: Boston, MA, USA, 1982. [Google Scholar]
  120. Sutton, J. Sunk Costs and Market Structure; MIT Press: Cambridge, MA, USA, 1991. [Google Scholar]
  121. Aggarwal, V.A.; Posen, H.E.; Workiewicz, M. Adaptive Capacity to Technological Change: A Microfoundational Approach. Strateg. Manag. J. 2017, 38, 1212–1231. [Google Scholar] [CrossRef]
  122. Wu, B.; Wan, Z.; Levinthal, D. Complementary Assets as Pipes and Prisms: Innovation Incentives and Trajectory Choices. Strateg. Manag. J. 2014, 35, 1257–1278. [Google Scholar] [CrossRef]
  123. Fiegenbaum, A.; Karnani, A. Output Flexibility—A Competitive Advantage for Small Firms. Strateg. Manag. J. 1991, 12, 101–114. [Google Scholar] [CrossRef]
  124. Brock, W.A.; Evans, D.S. Small business economics. Small Bus. Econ. 1989, 1, 7–20. [Google Scholar] [CrossRef]
  125. Maritan, C.A. Capital Investment as Investing in Organizational Capabilities: An Empirically Grounded Process Model. Acad. Manag. J. 2001, 44, 513–531. [Google Scholar] [CrossRef]
  126. USEPA. Manufacturing Profile: Paper and Allied Products; United States Environmental Protection Agency: Washington, DC, USA, 2000.
  127. Zavatta, R. The pulp and paper industry. In The Structure of European Industry; Jong, H.W., Shepherd, W.G., Eds.; Kluwer Academic Publishers: Dordrecht, The Netherlands, 1993. [Google Scholar]
  128. Diesen, M. Economics of the Pulp and Paper Industry; Fapet: Helsinki, Finland, 1998. [Google Scholar]
  129. Ince, P.J. Long-Range Outlook for U.S. Paper and Paperboard Demand, Technology and Fiber Supply-Demand Equilibria. In Proceedings of the Society of American Foresters 1998 National Convention, Traverse City, MI, USA, 19–23 September 1998; pp. 330–344. [Google Scholar]
  130. Hunter, H. Innovation, competition, and locational changes in the pulp and paper industry: 1880–1950. Land Econ. 1955, 31, 314–327. [Google Scholar] [CrossRef]
  131. Davy, M. Expected Considerable Growth in Paper Machine Design Speed, Width, and Production Capacity. Pulp Pap. Can. 1997, 98, 20–24. [Google Scholar]
  132. Haunreiter, K. The 200th Anniversary of the Paper Machine, part II: The Second 100 years. Tappi J. 1997, 80, 12. [Google Scholar]
  133. Haunreiter, K. The 200th Anniversary of the Paper Machine, part 1: The First 100 Years. Tappi J. 1997, 80, 10. [Google Scholar]
  134. Bolt, J.; van Zanden, J.L. The Maddison Project: Collaborative research on historical national accounts. Econ. Hist. Rev. 2014, 67, 627–651. [Google Scholar] [CrossRef]
  135. Freel, M.S.; Robson, P.J.A. Small Firm Innovation, Growth and Performance: Evidence from Scotland and Northern England. Int. Small Bus. J. Res. Entrep. 2004, 22, 561–575. [Google Scholar] [CrossRef]
  136. Freeman, J.; Carroll, G.R.; Hannan, M.T.; Richard, D.; Miller, J.C.; Stephen, D. The Liability of Newness: Age Dependence in Organizational Death Rates. Am. Sociol. Rev. 1983, 48, 692–710. [Google Scholar] [CrossRef]
  137. Coad, A.; Holm, J.R.; Krafft, J.; Quatraro, F. Firm age and performance. J. Evol. Econ. 2018, 28, 1–11. [Google Scholar] [CrossRef]
  138. Chen, R. Technological expansion: The interaction between diversification strategy and organizational capability. J. Manag. Stud. 1996, 33, 649–666. [Google Scholar] [CrossRef]
  139. Wooldridge, J.M. Econometric Analysis of Cross Section and Panel Data; The MIT Press: Cambridge, MA, USA, 2002. [Google Scholar]
  140. Hansen, C.B. Generalized least squares inference in panel and multilevel models with serial correlation and fixed effects. J. Econom. 2007, 140, 670–694. [Google Scholar] [CrossRef]
  141. Sheth-Voss, P.A.; Willemain, T.R.; Haddock, J. Estimating the steady-state mean from short transient simulations. Eur. J. Oper. Res. 2005, 162, 403–417. [Google Scholar] [CrossRef]
  142. Buse, A. Goodness of fit in generalized least squares estimation. Am. Stat. 1973, 27, 106–108. [Google Scholar] [CrossRef]
  143. Sutton, W.R.J. The Importance of Size and Scale in Forestry and The Forest Industries. J. For. 1973, 18, 63–80. [Google Scholar]
  144. Harris, R.; Trainor, M. Capital Subsidies and Their Impact on total Factor Productivity: Firm-Level Evidence from Northern Ireland. J. Reg. Sci. 2005, 45, 49–74. [Google Scholar] [CrossRef]
  145. Shanmugam, K.R.; Bhaduri, S.N. Size, Age and Firm Growth in the Indian Manufacturing Sector. Appl. Econ. Lett. 2002, 9, 607–613. [Google Scholar] [CrossRef]
  146. Li, X.; Buongiorno, J.; Ince, P.J. Effects of Size and Age on the Survival and Growth of Pulp and Paper Mills. J. For. Econ. 2004, 10, 3–19. [Google Scholar] [CrossRef]
  147. Chen, J.; Lu, W. Panel Unit Root Tests of Firm Size and Its Growth. Appl. Econ. Lett. 2010, 10, 343–345. [Google Scholar] [CrossRef]
  148. Abernathy, W.J.; Clark, K.B. Industrial Renaissance; Basic Books, Inc.: New York, NY, USA, 1983. [Google Scholar]
  149. Baldwin, W.L.; Scott, J.T. Market Structure and Technological Change; Hardwood Academic Publishers: London, UK, 1987. [Google Scholar]
Figure 1. Paper Machine Operation Speed Technology Frontier, 1860–2000. Source: Author’s elaboration from Beloit Paper Machine List. The red lines’ cross point indicates a significant change in paper machine operation speed, i.e., a significant incremental innovation.
Figure 1. Paper Machine Operation Speed Technology Frontier, 1860–2000. Source: Author’s elaboration from Beloit Paper Machine List. The red lines’ cross point indicates a significant change in paper machine operation speed, i.e., a significant incremental innovation.
Sustainability 14 16149 g001
Figure 2. Growth Rate (Production Capacity Growth), Large and Small Firms, 1978–1987 (Box plot). Size Classification Criterium: public firms are considered large firms. The smallest public firm in terms of number of employees and production capacity is Badger Paper, with a manufacturing capacity of 72,700 annual metric tons of paper. Thus, all firms with a smaller production capacity are considered small firms; the rest are large firms.
Figure 2. Growth Rate (Production Capacity Growth), Large and Small Firms, 1978–1987 (Box plot). Size Classification Criterium: public firms are considered large firms. The smallest public firm in terms of number of employees and production capacity is Badger Paper, with a manufacturing capacity of 72,700 annual metric tons of paper. Thus, all firms with a smaller production capacity are considered small firms; the rest are large firms.
Sustainability 14 16149 g002
Table 1. Sources of Information and Variable Descriptions.
Table 1. Sources of Information and Variable Descriptions.
Variable NameVariable TypeSource of Information
Production Capacity GrowthDependentThe Forest Products Laboratory (FPL) and Scandinavian Pulp & Paper Reports
Sales GrowthDependentCompustat
Employees GrowthDependentCompustat
Production CapacityMain CovariateThe Forest Products Laboratory (FPL) and Scandinavian Pulp & Paper Reports
SalesMain CovariateCompustat
Number of EmployeesMain CovariateCompustat
AgeMain CovariateThe Forest Products Laboratory (FPL) and Scandinavian Pulp & Paper Reports
DiversificationControlThe Forest Products Laboratory (FPL) and Scandinavian Pulp & Paper Reports
Norm. Herfindahl indexControlThe Forest Products Laboratory (FPL) and Scandinavian Pulp & Paper Reports, Compustat
Machine Speed GrowthControlBeloit Paper Machine List
GDP GrowthControlMaddison-Project dataset
LeverageControlCompustat
After InnovationControlCalculated: value of 1 if the observation occurs after 1982, 0 otherwise
Table 2. Size variable: Production Capacity, gathered from FPL & Scandinavian P&P database.
Table 2. Size variable: Production Capacity, gathered from FPL & Scandinavian P&P database.
VariablesNMeanSDMinMaxCorrelations
(a)(b)(c)(d)(e)(f)
(a)Production Capacity Growth23270.05930.258−1.9891.9521
(b)Production Capacity23274.3081.6720.6428.7090.157 ***1
(c)Age23273.6171.0341.3865.056−0.0993 ***0.0320 ***1
(d)Diversification23271.8511.6941120.112 ***0.627 ***0.135 ***1
(e)Norm. Herfindahl23270.01860.001190.01640.0207−0.0354 ***0.118 ***−0.0666 ***−0.01391
(f)M. Speed Growth23270.08450.070100.150−0.0268 **0.0358 ***−0.0128−0.008390.375 ***1
(g)GDP Growth23270.02220.0250−0.02810.0636−0.0230 *0.0195 *−0.006780.001420.0587 ***−0.231 ***
*** p < 0.01, ** p < 0.05, * p < 0.1. All firms with three or more size observations, 1978–1987.
Table 3. Size variable: Sales, gathered from Compustat database.
Table 3. Size variable: Sales, gathered from Compustat database.
VariablesNMeanSDMinMaxCorrelations
(a)(b)(c)(d)(e)(f)(g)
(a)Sales Growth335296.9469.7−685.830471
(b)Sales33513891754086030.732 ***1
(c)Age3353.9200.8221.3864.9490.117 ***0.144 ***1
(d)Diversification3353.7282.7701120.390 ***0.528 ***0.135 ***1
(e)Norm. Herfindahl3350.01850.001180.01640.02070.122 ***0.354 ***−0.0666 ***−0.01391
(f)M. Speed Growth3350.08220.070400.1500.03430.139 ***−0.0128−0.008390.375 ***1
(g)GDP Growth3350.02130.0255−0.02810.06360.01890.0514 *−0.006780.001420.0587 ***−0.231 ***1
(h)Leverage3351.0210.5110.1483.7950.001070.005700.00433−0.00713−0.0890 ***−0.0337−0.0111
*** p < 0.01, * p < 0.1. All firms with three or more size observations, 1978–1987.
Table 4. Size variable: Number of Employees, gathered from Compustat databasebase.
Table 4. Size variable: Number of Employees, gathered from Compustat databasebase.
VariablesNMeanSDMinMaxCorrelations
(a)(b)(c)(d)(e)(f)(g)
(a)Employees Growth314−0.2450.158−0.7560.6831
(b)Number of Employees314−4.6420.299−5.325−3.768−0.217 ***1
(c)Age3143.9050.8131.3864.949−0.04500.115 ***1
(d)Diversification3143.7872.832112−0.0390−0.104 ***0.135 ***1
(e)Norm. Herfindahl3140.01860.001170.01640.02070.463 ***−0.751 ***−0.0666 ***−0.01391
(f)M. Speed Growth3140.08130.070500.1500.238 ***−0.438 ***−0.0128−0.008390.375 ***1
(g)GDP Growth3140.02130.0256−0.02810.06360.0592 *−0.101 ***−0.006780.001420.0587 ***−0.231 ***1
(h)Leverage3140.9970.4800.1482.6370.03850.03510.00433−0.00713−0.0890 ***−0.0337−0.0111
*** p < 0.01, * p < 0.1. All firms with three or more size observations, 1978–1987.
Table 5. Pre-Incremental Innovation Period (1978–1982). Dependent Variable: Production Capacity Growth. Size as Production Capacity.
Table 5. Pre-Incremental Innovation Period (1978–1982). Dependent Variable: Production Capacity Growth. Size as Production Capacity.
Variables(1)(2)(3)
Production Capacity Growth
L3.Norm. Herfindahl2.679 ***2.316 ***4.632 ***
(0.467)(0.532)(0.708)
L3.GDP Growth0.0246 **0.0220 **0.0107
(0.0101)(0.0112)(0.0122)
L3.M. Speed Growth0.0541 ***0.0473 ***0.0922 ***
(0.00684)(0.00793)(0.0125)
L3.Diversification0.00490 ***0.000299−0.00523 ***
(0.00129)(0.00194)(0.00164)
L3.Age 0.0220 ***
(0.00434)
L3.Production Capacity × L3.Age −0.00894 ***
(0.00125)
L3.Production Capacity 0.00795 ***0.0486 ***
(0.00192)(0.00497)
Constant−0.00411−0.0259 ***−0.160 ***
(0.00765)(0.00941)(0.0215)
Observations121212121075
Number of Firms261261231
Degrees of Freedom Person Chi2685684605
Wald Chi2114.2117.1347.5
Standard errors in parentheses, *** p < 0.01, ** p < 0.05, GLS with Panel-specific AR(1) correlation and heteroskedatic. All firms with 3 or more observations.
Table 6. Post-Incremental Innovation Period (1983–1987). Dependent Variable: Production Capacity Growth. Size as Production Capacity.
Table 6. Post-Incremental Innovation Period (1983–1987). Dependent Variable: Production Capacity Growth. Size as Production Capacity.
Variables(1)(2)(3)
Production Capacity Growth
L3.Norm. Herfindahl−2.418−2.431−3.329 **
(1.774)(1.737)(1.614)
L3.GDP Growth0.233 ***0.238 ***0.225 ***
(0.0294)(0.0297)(0.0271)
L3.M. Speed Growth−0.145 ***−0.149 ***−0.141 ***
(0.0219)(0.0218)(0.0206)
L3.Diversification0.0007600.001570.00304 ***
(0.00113)(0.00129)(0.000919)
L3.Age −0.0500 ***
(0.00727)
L3.Production Capacity × L3.Age 0.00539 ***
(0.00138)
L3.Production Capacity −0.00195−0.0223 ***
(0.00233)(0.00612)
Constant0.0973 ***0.105 ***0.303 ***
(0.0340)(0.0344)(0.0499)
Observations114211421054
Number of Firms247247227
Degrees of Freedom Person Chi2643642592
Wald Chi288.0891.42588.1
Standard errors in parentheses, *** p < 0.01, ** p < 0.05, GLS with Panel-specific AR(1) correlation and heteroskedatic. All firms with 3 or more observations.
Table 7. Full Period 1978–1987. Large Firms only. Dependent Variable: Sales Growth. Size as Sales.
Table 7. Full Period 1978–1987. Large Firms only. Dependent Variable: Sales Growth. Size as Sales.
Variables(1)(2)(3)(4)
Sales Growth
L3.Norm. Herfindahl16,456 ***−4694−6686−6673
(6378)(8264)(9119)(9007)
L3.GDP Growth336.9 ***200.6 **192.9195.1
(124.6)(95.42)(148.6)(144.8)
L3.M. Speed Growth−513.0 ***−619.4 ***−673.7 ***−678.5 ***
(86.42)(108.6)(119.5)(118.2)
L3.Diversification77.57 ***16.62 **13.99 *14.55 *
(7.540)(7.444)(8.348)(8.257)
L3.Leverage−0.0348−0.045911.1013.43
(0.108)(0.114)(17.27)(16.74)
After Innovation 10.819.2485.535
(22.53)(25.38)(25.03)
L3.Age −0.0229−4.949
(18.68)(17.31)
L3.Sales × L3.Age −0.0401−0.00932
(0.0407)(0.0210)
L3.Sales 0.265 ***0.429 ***0.302 ***
(0.0296)(0.166)(0.0811)
After Innovation × L3.Sales −0.0762 ***−0.193−0.0701 **
(0.0268)(0.144)(0.0277)
After Innovation × L3.Sales × L3.Age 0.0297
(0.0341)
Constant−301.1 ***94.60131.7150.3
(116.1)(144.0)(172.9)(168.6)
Observations339339324324
Number of Firms41413939
Degrees of Freedom Person Chi2251248234235
Wald Chi2213.4428.8283.8289.9
Standard errors in parentheses, *** p < 0.01, ** p < 0.05, * p < 0.1, GLS with Panel-specific AR(1) correlation and heteroskedatic. All firms with 3 or more observations.
Table 8. Full Period 1978–1987. Large Firms only. Dependent Variable: Employees Growth. Size as Number of Employees.
Table 8. Full Period 1978–1987. Large Firms only. Dependent Variable: Employees Growth. Size as Number of Employees.
Variables(1)(2)(3)(4)
Employees Growth
L3.Norm. Herfindahl28.30 ***−49.98 ***−43.77 ***−39.70 ***
(4.713)(7.975)(7.680)(7.387)
L3.GDP Growth−0.244 *−0.533 ***−0.502 ***−0.484 ***
(0.137)(0.150)(0.157)(0.155)
L3.M. Speed Growth0.988 ***0.1090.1530.191 **
(0.0679)(0.0968)(0.0954)(0.0922)
L3.Diversification−0.00292 **−0.00827 ***−0.00906 ***−0.00812 ***
(0.00134)(0.00309)(0.00297)(0.00285)
L3.Leverage−0.00483−0.00839−0.0962 ***−0.0986 ***
(0.00764)(0.00603)(0.0130)(0.0126)
After Innovation −0.190−0.191−0.166
(0.221)(0.215)(0.215)
L3.Age 0.223 *0.0353
(0.116)(0.0874)
L3.Number of Employees x L3.Age 0.0548 *0.00706
(0.0280)(0.0199)
L3.Number of Employees −0.342 ***−0.525 ***−0.330 ***
(0.0273)(0.117)(0.0856)
After Innovation × L3.Number of Employees −0.0498−0.0142−0.0458
(0.0485)(0.0498)(0.0474)
After Innovation × L3.Number of Employees × L3.Age −0.00985 **
(0.00393)
Constant−0.772 ***−0.851 ***−1.602 ***−0.906 **
(0.0831)(0.152)(0.481)(0.387)
Observations316316304304
Number of Firms40403838
Degrees of Freedom Person Chi2230227216217
Wald Chi2240.4408.3411.9449
Standard errors in parentheses, *** p < 0.01, ** p < 0.05, * p < 0.1, GLS with Panel-specific AR(1) correlation and heteroskedatic. All firms with 3 or more observations.
Publisher’s Note: MDPI stays neutral with regard to jurisdictional claims in published maps and institutional affiliations.

Share and Cite

MDPI and ACS Style

Sevil, A.; Cruz, A.; Reyes, T.; Vassolo, R. When Being Large Is Not an Advantage: How Innovation Impacts the Sustainability of Firm Performance in Natural Resource Industries. Sustainability 2022, 14, 16149. https://doi.org/10.3390/su142316149

AMA Style

Sevil A, Cruz A, Reyes T, Vassolo R. When Being Large Is Not an Advantage: How Innovation Impacts the Sustainability of Firm Performance in Natural Resource Industries. Sustainability. 2022; 14(23):16149. https://doi.org/10.3390/su142316149

Chicago/Turabian Style

Sevil, Angel, Alfonso Cruz, Tomas Reyes, and Roberto Vassolo. 2022. "When Being Large Is Not an Advantage: How Innovation Impacts the Sustainability of Firm Performance in Natural Resource Industries" Sustainability 14, no. 23: 16149. https://doi.org/10.3390/su142316149

APA Style

Sevil, A., Cruz, A., Reyes, T., & Vassolo, R. (2022). When Being Large Is Not an Advantage: How Innovation Impacts the Sustainability of Firm Performance in Natural Resource Industries. Sustainability, 14(23), 16149. https://doi.org/10.3390/su142316149

Note that from the first issue of 2016, this journal uses article numbers instead of page numbers. See further details here.

Article Metrics

Back to TopTop