Abstract
Fish assemblages inhabiting the Taizi River basin have been severely degraded by anthropogenic disturbances, which weaken the basin’s ecological function and limited revitalization of the northeast industrial base. Long-term ecological rehabilitation has been conducted to restore the fish fauna and improve habitat conditions. To explore fish distribution patterns and key factors after this ecological rehabilitation, a comprehensive and detailed survey of fish fauna was conducted twice in 2021 at 33 sampling sites in the Taizi River. A total of 50 fish species from 13 families were collected, and the dominant species were P. lagowskii, Z. platypus, C. auratus and P. parva. Compared to results reported over the last decade, the increasing trend in fish richness and the change in the longitudinal fish organization were detected. The abundance variation for P. lagowskii, Z. platypus, C. auratus, P. parva, R. ocellatus and H. leucisculus along the upstream to downstream axis contributed most to the fish distribution pattern. Species replacement and addition might have jointly caused the longitudinal changes in the fish fauna, but species replacement was the main underlying mechanism. The canonical correspondence analysis (CCA) results show that the fish structure pattern was mainly shaped by cultivated land coverage and urban land coverage. Our study provides reference sites for future fish-based bioassessment and implications for region-specific management in the Taizi River.
1. Introduction
Freshwaters comprise only 0.01% of the water on Earth but represent substantial biodiversity. Nearly 18,000 freshwater fish species, accounting for a quarter of known vertebrates, have been reported [1,2,3]. They play important roles in maintaining ecosystem functions and structures by means of the production and cycling of materials, and the exchange of energy [4]. Freshwater fish can also satisfy human demand for animal protein and are an important aspect of freshwater recreational activities. Nevertheless, anthropogenic activities, such as water pollution, biological invasion, dam construction and overfishing, have caused a notable decline in freshwater fish biodiversity (e.g., 78.3% of the freshwater fish fauna experienced biodiversity changes) during the past few decades [1,2,5,6]. Furthermore, the degree of vulnerability is increased by the fact that freshwaters receive wastes, sediments and pollutants through run-off from the surrounding terrestrial landscape, and due to their limited volume, they lack the capacity to mitigate the corresponding impacts [7,8]. Understanding the organization of fish and their structuring factors, in addition to providing theoretical advances, is also fundamental requirement in order to facilitate immediate action for mitigating the freshwater fish biodiversity crisis.
To explain patterns in riverine fish assemblages, many general conceptual frameworks have been proposed since at least the middle of the 20th century [9,10,11,12,13,14,15,16]. For example, based on differences in environmental factors and dominant species, Huet (1959) [14] divided a river into different zones along the upstream to mouth axis. Subsequently, Vannote et al. (1980) [15] proposed the River Continuum Concept to explain fish community structure in a near-pristine river basin. However, few rivers remain undisturbed by human activities. Thus, Ward and Stanford (1995) [16] proposed the Serial Discontinuity Concept to elucidate how the fish assemblages were structured in anthropogenic water bodies. These frameworks focus on the extrinsic factors that determine fish organizations. Indeed, extrinsic descriptors can elucidate fish pattern changes by two different processes, i.e., natural fluctuations and human pressures [17]. Current work in this area is not as concerned with the factors acting on fish organizations, but with which factors are the key to fish organizations in river systems [18,19,20,21,22,23].
Longitudinal changes in fish assemblage structures can result from two different processes: biotic zonation or cumulative addition of species downstream [24]. Biotic zonation refers to longitudinal species replacement as a result of discontinuities in river conditions [14,25]. In contrast, a more complex community downstream is observed due to the cumulative addition of species downstream [26,27], where environmental gradients from upstream to downstream areas contain smoothing transitions of extrinsic factors [24,28]. Rather than the terms “replacement” and “addition”, some of the fish ecology literature instead uses “turnover” and “nestedness”, respectively, to describe the same processes [29,30,31].
Monitoring fish communities and understanding the key factors in structuring fish assemblages are critical for the establishment and evaluation of management strategies [32,33]. The Taizi River represents an excellent model for studying spatial distribution patterns along the longitudinal gradient, since the human pressure variation is detected along the longitudinal direction. Following industrial, agricultural and urban development, the health of the Taizi River has deteriorated severely since the 1980s, and biodiversity conservation is currently a major management concern in the basin. Effective rehabilitative measures (e.g., fishing ban and eco-regulation for reservoirs) need to be continuously adjusted according to current biodiversity situations assessed by conducting research. During the past two decades, huge investments have been made to improve the habitat conditions on which biodiversity depends, such as through water pollution control and treatment, and afforestation (Figure 1) [34,35]. Furthermore, the change in the land use was detected in the Taizi basin during the past two decades (Figure 1). For example, the cultivated land coverage rate declined from 38.84% to 33.82% during 2000 to 2020 while the vegetative and artificial land coverage rates increased from 52.69% to 55.36% and from 8.47% to 10.83%, respectively. In contrast, conclusions regarding fish biodiversity have been drawn based on investigations mainly conducted during the period 2008 to 2010 [34,36,37,38,39,40], which are limited to the timely evaluation and improvement of management strategies.
Figure 1.
Land use changes during the period 2000 to 2020 in the Taizi River.
In this study, updated baseline information on the diversity and longitudinal distribution of fish fauna in the Taizi River was obtained using a survey conducted at 33 sites in 2021. The specific objectives were to (1) explore the fish species composition and longitudinal fish assemblage patterns, as well as associated key environmental factors, after the ecological rehabilitation, (2) preliminarily analyze potential drivers causing changes in the longitudinal fish assemblage pattern, (3) explain the mechanism behind the shifts in the fish assemblage structure along the longitudinal gradient, and (4) suggest management implications accordingly.
2. Materials and Methods
2.1. Study Area
The Taizi River (40°29′–41°39′ N, 122°25′–124°55′ E), one of the two largest tributaries of the Liaohe River, is located in Liaoning province of northeast China, with a drainage area of approximately 13,880 km2 (Figure 2). The river originates in the Changbai Mountains and flows through important cities such as Benxi city, Liaoyang city, Anshan city and Haicheng city. The Taizi River is a typical temperate river with a length of 413 km. The annual average precipitation is 778.1 mm, and most of the precipitation occurred in the flood season from June to September. The average annual temperature ranges from 2.27 °C to 9.99 °C along the upstream to downstream axis, with a substantial temperature difference between winter (−9~−17 °C) and summer (22~24 °C). The Taizi River catchment has been spatially divided into three zones (upstream, midstream and downstream) along the longitudinal gradient based on biological and environmental data [41]. The obvious environmental interference gradient was observed in this basin. For example, three large reservoirs—Guanyinge (GYG) reservoir, Shenwo (SW) reservoir and Tanghe (TH) reservoir—were constructed in the last century (Figure 2). The geomorphological features of the basin include the upper–middle highland vegetation region and the lower-plain agricultural region. The highland region has a high percentage of natural vegetation cover with little human disturbance, whereas the plain region comprises mainly agricultural and urban land (Figure 1).
Figure 2.
Sampling sites in the Taizi River.
2.2. Field Sampling
A total of 33 sampling sites, consisting of 12 sites in the main stream and 21 sites in the tributaries, were surveyed seasonally in May and October 2021 (Figure 2). Sampling sites were selected in the field considering the representativeness and accessibility of the habitat.
Fish specimens were caught by electrofishing (Susan 1030S, China; 12 V import, 250 V export) and multi-mesh gill netting (30~50 m long, 1.5~2 m height, 1~4 cm mesh size from innermost nets to outermost nets) in different habitat units. The most suitable sampling method was employed in relation to the actual environment. Specifically, electrofishing along a stretch of 200~400 m stretch was carried out in narrow, lotic and shallow (depth less than 1.5 m) waters for about 40 min, and three gillnets were deployed in wide, sluggish and deep (depth more than 1.5 m) waters for about 2 h. Further, the length and height of multi-mesh gillnets, employed in the field work, needed to be adjusted according to the size and depth of micro-habitats at each sampling site. The impact of different sampling methods on survey results was minimized by controlling the range (e.g., sampling distance) and intensity (e.g., fishing time and frequency) to maintain similar fishing efforts. Individual specimens were identified to the species level, measured (standard length, mm), weighed (body weight, g) and released back into the river. Unidentified fishes were photographed, fixed in buffered formaldehyde (7%), and transported back to the laboratory for identification.
Environmental factors were measured at the same time. Geographical coordinates and altitude (AL, m) were measured with the portable UniStrong G510. A YSI multi-parameter portable water quality analyzer was employed to detect water temperature (WT, °C), pH and dissolved oxygen (DO, mg/L) 3 times at each site. At least five measures were conducted in different transects for each site, and water depth (WD, m) and water width (WW, m) were estimated from the averages of these measures. Current velocity (CV, m/s) and water clarity (WC, cm) were measured using a Global Water FP211 current meter and a Sachs disk, respectively. In addition, water samples were collected, fixed with concentrated sulfuric acid (pH < 2) and immediately stored in a car freezer for laboratory determination of their chemical parameters. Hydro-chemical factors including chemical oxygen demand (CODMn, mg/L), total nitrogen (TN, mg/L), ammonium nitrogen (NH4+, mg/L), nitrite nitrogen (NO2−, mg/L), nitrate nitrogen (NO3−, mg/L), total phosphorus (TP, mg/L) and soluble reactive phosphorus (SRP, mg/L) were analyzed according to standard methods described in the Environmental Quality Standards for Surface Water (GB 3838-2002).
Since significant effects on riverine fish assemblages were reported as being a result of urban, grass, forest and cultivated land use [40,42,43], the GlobeLand30 map for 2020 was employed to extract these land use data for each site using ArcGIS 10.2 [44], and then analyzed the relationship between landscapes and fish assemblages.
2.3. Data Analysis
Frequency of occurrence (Fi%) and relative abundance (Ni%) were estimated for each fish species captured in this study. Fish species diversity was examined using the Margalef species richness index and the Shannon–Wiener diversity index [5]. These indices were calculated as follows:
where Fi% is the frequency of occurrence for species i, Li is the number of sampling sites where species i was collected, L is the total number of sampling sites, Ni% is the relative abundance for species i, Ni is the abundance of species i, N is the abundance of the total catch, H′ is the Shannon–Wiener diversity index, D is the Margalef species richness index, S is the species number and Pi is the ratio between the number of species i and the total number of species.
Fi% = Li/L × 100%,
Ni% = Ni/N × 100%,
D = (S − 1)/ln N,
H′ = −ΣPiln Pi,
To explore the longitudinal pattern in fish assemblages, the relative abundance data were adopted to establish a Bray–Curtis similarity matrix. Then, a cluster analysis was employed to clarify the degrees of similarity of fish communities among different sampling sites [45]. An analysis of similarity (ANOSIM) was used to test variations between different site-groups. The contribution of each species to differences between the assemblage groups was identified using similarity percentage analysis (SIMPER) [46]. All these analyses were carried out using the statistical program PRIMER V6.0 [47].
The variability in the corresponding fish abundance data in relation to potential environmental parameters was explored by canonical correspondence analysis (CCA), because the CANOCO Advisor suggested a unimodal model (gradient length = 4.1) would best fit our data. Before this analysis, differences in environmental factors between site-groups were tested using the Kruskal–Wallis nonparametric test. Furthermore, correlations among environmental variables were examined by Pearson correlation analysis. Environmental parameters that showed no significant spatial differences (p < 0.05) and had high correlation with other parameters (correlation coefficient > 0.7) were excluded from further analysis. Fish abundance data were transformed by square-root to meet the assumptions of multivariate normality and to moderate the influence of outliers. Forward selection was employed to further screen explanatory variables [48]. The statistical significance of the CCA gradients was assessed using the Monte Carlo permutation test (p < 0.05). Analysis of correlation and nonparametric testing were performed using OriginPro 2021, and the CCA was performed using the statistical program CANOCO 5.0.
3. Results
3.1. Fish Composition
A total of 9021 specimens belonging to 7 orders, 13 families and 50 species were captured during the study period (Table S1, Figure 3). The total species richness index and Shannon–Wiener diversity index were 5.29 and 2.59, respectively (Figure 4). The most diverse family was Cypriniformes with 34 species (66.67% of the total species), followed by Perciformes (9 species); Siluriformes (3 species); and Salmoniformes, Gasterosteiformes, Petromyzoniformes and Cyprinodontiformes (one species for each). The fish assemblage in the whole Taizi River basin was dominated by Phoxinus lagowskii (Ni% = 28.95%), Zacco platypus (Ni% = 13.74%), Carassius auratus (Ni% = 9.19%) and Pseudorasbora parva (Ni% = 7.85%), exhibiting high frequencies of occurrence (63.64%~96.97%). The common species were Hemiculter leucisculus (Ni% = 4.63%), Rhodeus ocellatus (Ni% = 4.58%), Oryzias latipes (Ni% = 3.70%), Rhinogobius cliffordpopei (Ni% = 3.29%), Huigobio chinssuensis (Ni% = 3.01%), Pungitius sinensis (Ni% = 2.45%), Acheilognathus macropterus (Ni% = 2.31%), Cobitis sibirica (Ni% = 2.27%) and Rhinogobius giurinus (Ni% = 2.11%), exhibiting moderate frequencies of occurrence (27.27%~54.55%). The remaining specimens (11.97% relative abundance) were classified into the rare species involving 37 species, and these species showed low relative abundance (less than 2.00%). Moreover, according to the Chinese Red List [49], Least Concern and Data Deficient fish species were the most common in abundance, accounting for 98.0% of the total. Only one vulnerable species, Lampetra reissneri, was collected in this study.
Figure 3.
Fish composition of the Taizi River.
Figure 4.
Spatial variances of species diversity for different groups. H’ and D represent the Shannon–Wiener diversity index and the Margalef species richness index, respectively.
3.2. Spatial Distribution Pattern of Fish Communities
The cluster analysis with the relative abundance of fish data showed that all sampling sites could be divided into two site-groups (Figure 5). An analysis of similarity (ANOSIM) further confirmed that there were significant differences between the two groups (R = 0.832, p < 0.01). Group I consisted of 14 sampling sites in the middle–upper reach belonging to the highland zone with high vegetation coverage and weak human disturbances, while Group II consisted of 19 sampling sites in the lower reach belonging to the plain zone with serious human disturbances (Figure 2). The boundary between the highland zone and the plain zone was at or near that between midstream and downstream. The average altitudes were 231.79 ± 111.20 m for the highland zone and 26.11 ± 12.93 m for the plain zone, respectively. The estimated species richness index and Shannon–Wiener diversity index for Group II were higher than those for Group I (Figure 4). The three large reservoirs were located at or near the splitting boundary of fish assemblages (Figure 1).
Figure 5.
Classification of fish assemblages in the Taizi River based on the Bray–Curtis similarity.
SIMPER analysis showed that the between-group dissimilarity reached 87.45%. Fifteen species contributed more than 90% of the observed dissimilarity in the fish assemblages (Table 1). Group I was dominated by intolerant fish species. Indicative species for Group I contained P. lagowskii, Z. plantypus, R. cliffordpopei, H. chinssuensis, P. sinensis, C. sibirica, O. obscurus and B. nuda, with average abundances from 7.71 to 221.86, while Group II was characterized by tolerant fish species. Indicative species for this group included C. auratus, P. parva, R. ocellatus, H. leucisculus, O. latipes and A. macropterus, with average abundances from 10.11 to 40.74.
Table 1.
The average abundances and percentage contributions of indicative species between site-groups.
3.3. Correlation between Fish Assemblage Structure and Environmental Factors
Fourteen of the selected environmental parameters, comprising altitude, water depth, current velocity, water temperature, dissolved oxygen, chemical oxygen demand, soluble reactive phosphorus, total nitrogen, ammonium nitrogen, nitrite nitrogen, nitrate nitrogen, forest land coverage, artificial land coverage and urban land coverage, showed significant differences between downstream and mid-upstream areas. Specifically, altitude, current velocity, dissolved oxygen and forest land coverage decreased downstream along the longitudinal gradient, while water depth, water temperature, chemical oxygen demand, soluble reactive phosphorus, total nitrogen, ammonium nitrogen, nitrite nitrogen, nitrate nitrogen, artificial land coverage and urban land coverage increased downstream. However, the remaining environmental parameters, including water clarity, water width, pH, total phosphorus and grass land coverage, did not vary significantly between downstream and mid-upstream areas (Table 2).
Table 2.
Mean values and standard errors of different environmental variables for the 33 sites in the downstream and mid-upstream Taizi River.
The Pearson correlation analysis identified seven factors (altitude, chemical oxygen demand, forest land, nitrite nitrogen, nitrate nitrogen, soluble reactive phosphorus and total nitrogen) that were strongly related with at least one other factor (Figure 6). Based on the significance test and correlation analysis, the seven factors were retained and used in the initial CCA, and eventually two variables (cultivated land and urban land) were recommended as the key factors (Table 3). 38.5% of the variation in fish assemblages was explained by these two factors, with cultivated land and urban land accounting for 28.3% and 10.2%, respectively.
Figure 6.
Correlation analysis among environmental factors. The boxes in different colors represent the color gradient for correlation coefficients, and the numbers in grey boxes represent the absolute values for the correlation coefficients are more than 0.7.
Table 3.
Percentage of variance explained by the environmental variables used in the CCA.
The ordination plot indicates that the tolerant species (e.g., C. auratus, P. parva, R. ocellatus, H. leucisculus, O. latipes and A. macropterus), dominant in the downstream reaches, preferred habitats with high cultivated and urban land coverage. In contrast, the intolerant fish species (e.g., P. lagowskii, Z. plantypus, H. chinssuensis, P. sinensis, C. sibirica, O. obscurus and B. nuda), prevailing in the middle–upper reaches, preferred habitats with low cultivated and urban land coverage (Figure 7 and Figure 8).
Figure 7.
The relationships between fish assemblages and environmental parameters shown by CCA ordination plots.
Figure 8.
The relationships between sampling sites and environmental parameters shown by CCA ordination plots. The red triangles represent the sites located mid-upstream, while the blue triangles represent the sites located downstream.
4. Discussion
4.1. Species Composition
This study provides a comprehensive update in respect of the fish fauna in the Taizi River over a decade. A total of 50 fish species belonging to 7 orders and 13 families were collected, and the fish fauna, dominated by P. lagowskii, Z. platypus, C. auratus and P. parva, was characterized by small fish. Compared with fish species richness indices (3.50~4.83) estimated from investigations during the period 2008 to 2010 [36,38,39,40], the increasing rates ranging from 9.5% to 51.1% were observed. Nevertheless, when examining the dominant fish species composition data, reductions in relative abundance and species number were detected for intolerant fish species, while the inverse situation was observed for tolerant fish species. Since the early 21st century, state and local governments have taken action (e.g., water pollution control, water pollution treatment, afforestation and seasonal fishing bans) to improve habitat conditions and mitigate the freshwater fish biodiversity crisis to some extent [34,38,50]. Although these actions have partially restored fish assemblages and habitats, they cannot effectively prevent the fish fauna from degradation, indicating that the current ecological rehabilitation framework needs to be urgently evaluated and improved based on new research data.
4.2. Shifts in Longitudinal Fish Assemblage Patterns
According to distinct fish organizations, a river basin can be divided into different fish zones, and each fish zone is considered a homogeneous spatial unit [51,52]. Compared with the three fish zones reported by most research in the last decade [36,39,53], the two fish zones, only concordant with the result of Wang et al. [38], were proposed along the upstream to downstream axis in the Taizi Basin. The longitudinal pattern change might be resulted from (1) the anthropogenic habitat alteration gradient, (2) the cumulative impacts of dams, and (3) the environmental homogeneity between the upstream and the midstream areas.
Firstly, the environmental heterogeneity between downstream and mid-upstream areas, structuring the fish distribution pattern, was primarily induced by anthropogenic disturbances, which conclusion is supported by most of the environmental parameters with significant differences related to human interference (Table 2). For example, the CCA results show that cultivated land and urban land were the key factors shaping the spatial variations in fish communities in the Taizi River. Cultivated land coverage was higher in the downstream area, which indicates that intensive agricultural activities occurred there. Rivers in highly cultivated landscapes tend to have poor habitat quality due to higher inputs of sediments, nutrients and pesticides through surface run-off [42,54,55]. Furthermore, the lower basin is also an urban-, and industry-intensive area (Figure 1 and Figure 2) [56]. Urbanization and industrialization generally lead to habitat degradation through ways involving hydrological instability induced by high impervious surface coverage and run-off conveyance, pollutant inputs, stream channelization, water temperature fluctuations induced by riparian vegetation degradation, and untreated sewage inputs [42,54,57]. Since ecological conditions were systematically degraded in the downstream catchment, sensitive species gradually disappeared from local communities, resulting in the reduction of local biotic heterogeneity [42,58,59]. Secondly, factors, involving zoogeography, physicochemical and biological conditions, and human-induced factors, have coupling effects on river fish assemblages [31,60]. The significant impact of dams cannot be ignored, even though their role is small relative to other factors. Our results show that three large reservoirs are located at or near the boundary of the two fish zones (Figure 2), highlighting that a small amount of variance in fish organization might be explained by the cumulative impacts of dams involving habitat alteration and artificial barriers [22,61,62,63,64]. Thirdly, a significant difference in only one of the environmental factors between the upstream and the midstream areas was detected (Table S2). Therefore, an increasing trend in the environmental homogeneity might lead to a decline in the dissimilarity of fish assemblages between these two regions.
4.3. Suggestions for Shortcomings in the Use of Zonation Concepts
When zonation concepts are employed to explain the fish organization, some drawbacks have been identified. For example, zonation concepts are used for description rather than explanation of longitudinal changes. Another shortcoming of zonation concepts is that fish zones may be defined according to the appearance of local indicator species, which limits their widespread application [65,66,67]. For the lacking explanation for the longitudinal fish composition change, two processes, involving species addition and species replacement have been proposed [23,29,31,66]. Our SIMPER analysis showed that changes in the average abundances of P. lagowskii, C. auratus, P. parva, R. ocellatus, H. leucisculus, R. cliffordpopei, O. latipes, H. chinssuensis, P. sinensis, C. sibirica, A. macropterus, O. obscurus and B. nuda explained most of the variance in the longitudinal fish organization pattern (Table 2 and Table S1). In addition, species richness and diversity tended to be higher in the downstream zone (Figure 4). Thus, such a longitudinal pattern was probably due to a combination of species replacement and addition, but species replacement was the main underlying mechanism.
To overcome the dependence on the occurrence of indicator species, zonation concepts can be refined by a new classification system (e.g., general biocoenotic terms and the intensity of human activities) [65,66,67]. In the Taizi basin, anthropogenic disturbances were the key drivers in shaping the longitudinal fish organization pattern. The downstream region was severely disturbed, which was characterized by tolerant fish species, while the mid-upstream region was slightly disturbed, which was characterized by intolerant fish species. Therefore, we suggest that the downstream and mid-upstream regions could be classified as the disturbed fish zone and undisturbed fish zone, respectively, according to the degree of human-induced influences.
4.4. Implications for Protection and Rehabilitation
Since few rivers currently remain undisturbed by human activities [2,6,68], bioassessment has been increasingly conducted to detect human alterations to river systems at regional, national and global scales using extensive fish datasets [18,67,69,70,71]. The selection of reference sites is an essential issue in fish-based bioassessment [66,72], and our results reveal that reference sites can be selected in the near-pristine mid-upstream region. Furthermore, the health of the river ecosystem is crucial for social and economic development around the basin due to its ecological service function (e.g., water supply, food supply, power supply, habitat supply, pollutant degradation, recreation). As important components of the health of rivers, fish assemblages and associated habitats in the Taizi River basin have been severely degraded by anthropogenic disturbances, which weakens the basin’s ecological function and limits revitalization of the northeast industrial base. Consequently, the long-term ecological rehabilitation (e.g., water-quality improvement, fishing bans, afforestation and river management) has been conducted since the early 21st century. Nevertheless, relevant measures are not adjusted according to local conditions. In this study, distinct spatial structures in fish assemblages and environmental factors have been detected. The mid-upstream region is near-pristine, and the survival of sensitive fish species (e.g., vulnerable species) is heavily dependent on the habitat quality in this region. To protect this hotspot, we propose that the establishment of a conservation area, a long-term fishing ban, and comprehensive monitoring and assessment programs should be preferentially applied. In contrast, the human-induced impairment in the downstream region is severe, indicating that regional-scale ecological rehabilitation is urgently needed in this area. We suggest that priority should be given to measures including updating and improvement of fishery statutes, evaluation of coupling effects for multiple pressures, anthropogenic pressure regulation (e.g., water pollution control, eco-regulation for reservoirs, landscape regulation and river bed regulation), regional-scale habitat rehabilitation (e.g., riparian vegetation restoration, afforestation and water-quality improvement) and eco-compensation.
4.5. Limitations
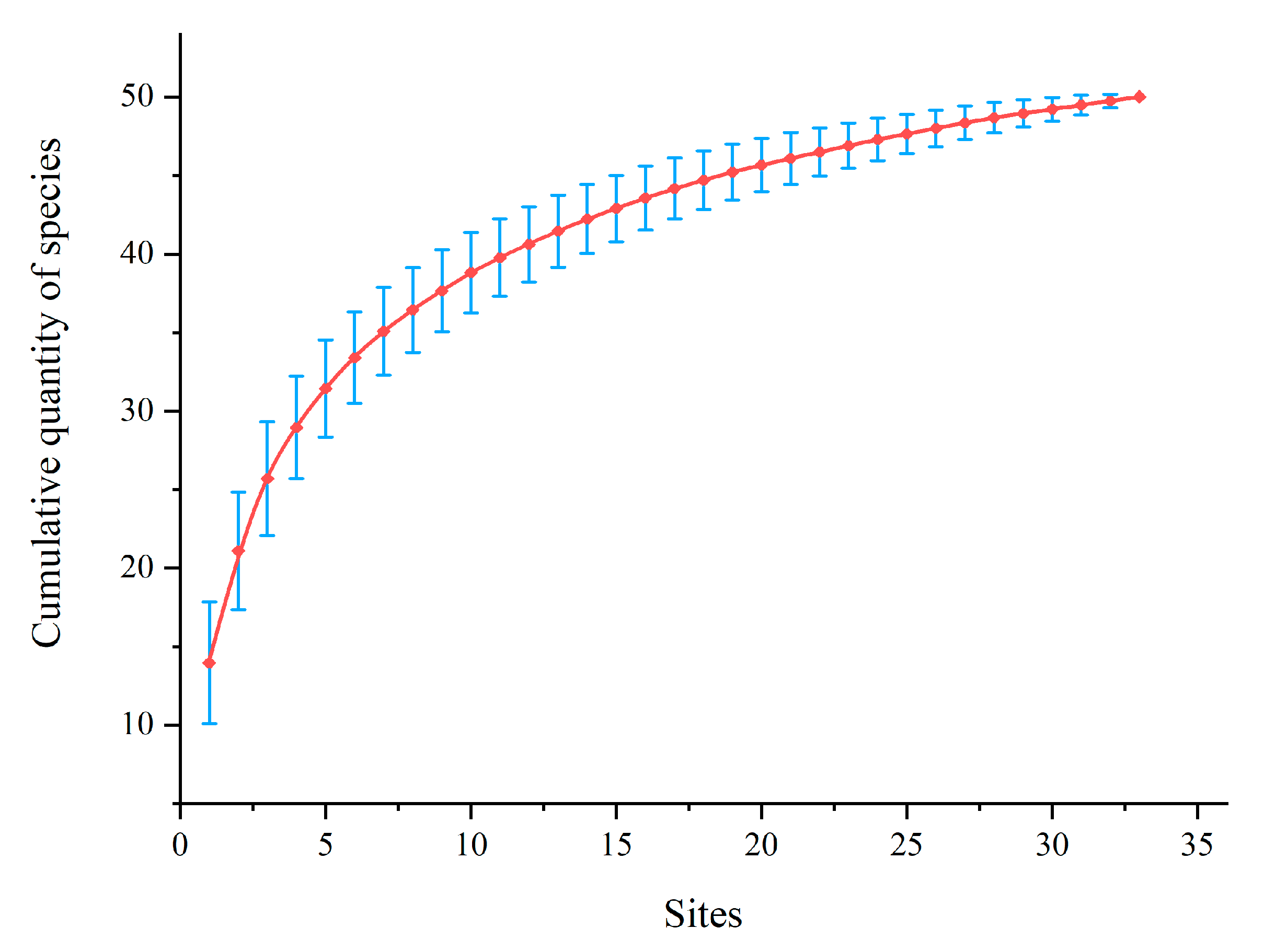
Due to the previous data deficiency, our results were solely contrasted with the data estimated from the published literature to preliminarily analyze the impact of the restoration. However, owing to not exact replication in the methods (e.g., sampling season and specific sampling site), our conclusions drawn from the comparison could be slightly biased. Moreover, although two fishing gears were used to collected the samples in our study, and each gear has its own sampling bias, the impact was minimized by maintaining similar fishing efforts and using multi-mesh gill nets. Further, the species cumulative curve was better represented by an asymptotic curve than by a linear relation, highlighting that our survey results are considered sufficient to describe the fish fauna in the Taizi River (Figure 9). Thus, sampling bias with regard to the type of fishing gears did not appear to drastically impact the investigation results. Nonetheless, the sampling bias for each fishing technique was not quantitatively evaluated.
Figure 9.
Fish species accumulative plot as an average of 999 curves based on different random orders of the sampling sites extracted (number of sites = 33). Vertical bars represent standard deviation.
5. Conclusions
The purpose of this study was to explore the changes in fish species composition and longitudinal fish assemblage patterns after long-term ecological rehabilitation in the Taizi River. A comprehensive survey of fish and environmental factors was conducted in 2021 and multivariate statistical analyses were performed on the relative abundances of fish and environmental parameters, to analyze the spatial organization of fish communities along the longitudinal gradient, determine key environmental drivers and provide implications for region-specific management accordingly. The main conclusions were as follows:
- (1)
- A total of 50 fish species were collected and the dominant species were P. lagowskii, Z. platypus, C. auratus and P. parva. Although long-term ecological rehabilitation has restored the fish fauna to some extent, it cannot effectively prevent fish assemblages from degradation, indicating that the current ecological rehabilitation framework needs to be urgently evaluated and improved based on new research data.
- (2)
- The fish assemblage could be divided into two fish zones along the longitudinal gradient. The spatial variance in fish assemblages was mainly determined by cultivated land coverage and urban land coverage. This fish organization pattern was probably due to a combination of species replacement and addition, but species replacement was the main underlying mechanism.
- (3)
- The shift from three fish zones to two fish zones was detected for the longitudinal fish distribution pattern in the Taizi River. This change might be attributed to a combination of the increasing anthropogenic habitat alterations from the upstream toward the downstream regions, the cumulative impacts of dams, and the environmental homogeneity between the upstream and the midstream regions.
- (4)
- A disturbed fish zone and an undisturbed fish zone were proposed according the degree of human-induced influences. The management objectives should focus on natural habitat protection in the mid-upstream region, while ecological rehabilitation should be the main goal in the downstream region.
Supplementary Materials
The following supporting information can be downloaded at: https://www.mdpi.com/article/10.3390/su142214973/s1, Table S1: Species composition in the Taizi River; Table S2: Mean values and standard errors of different environmental factors between the upstream, midstream and downstream regions.
Author Contributions
Conceptualization, C.W.; methodology, C.W. and J.X.; software, X.L.; formal analysis, C.W.; investigation, C.W., B.M., J.X. and X.L.; data curation, X.L.; writing—original draft preparation, C.W.; writing—review and editing, B.H.; visualization, B.M.; project administration, B.H.; funding acquisition, J.S. and D.L. All authors have read and agreed to the published version of the manuscript.
Funding
This research was funded by the Finance Special Fund of the Ministry of Agriculture and Rural Affairs—“Fisheries Resources and Environment Survey in the Key Water Areas of Northeast China”, and by the Science and Technology Project of Guizhou Province, China ([2020]4Y027).
Institutional Review Board Statement
Not applicable.
Informed Consent Statement
Not applicable.
Data Availability Statement
Not applicable.
Acknowledgments
The authors are grateful to Xuan Liu, Jiacheng She, Lu Liu and Shiqi Gou for their help with the field work.
Conflicts of Interest
The authors declare that they have no known competing financial interest or personal relationship that could have appeared to influence the work reported in this paper.
References
- Reid, A.J.; Carlson, A.K.; Creed, I.F.; Eliason, E.J.; Gell, P.A.; Johnson, P.T.J.; Kidd, K.A.; MacCormack, T.J.; Olden, J.D.; Ormerod, S.J.; et al. Emerging threats and persistent conservation challenges for freshwater biodiversity. Biol. Rev. 2019, 94, 849–873. [Google Scholar] [CrossRef] [PubMed]
- Su, G.; Logez, M.; Xu, J.; Tao, S.; Villéger, S.; Brosse, S. Human impacts on global freshwater fish biodiversity. Science 2021, 371, 835–838. [Google Scholar] [CrossRef] [PubMed]
- Van der Laan, R. Freshwater Fish List, 35th ed.; Richard van der Laan ALMERE: Amsterdam, The Netherlands, 2022. [Google Scholar]
- Villéger, S.; Brosse, S.; Mouchet, M.; Mouillot, D.; Vanni, M.J. Functional ecology of fish: Current approaches and future challenges. Aquat. Sci. 2017, 79, 783–801. [Google Scholar] [CrossRef]
- Magurran, A.E. Ecological Diversity and Its Measurement; Princeton University Press: Princeton, NJ, USA, 1988. [Google Scholar]
- Vörösmarty, C.J.; McIntyre, P.B.; Gessner, M.O.; Dudgeon, D.; Prusevich, A.; Green, P.; Glidden, S.; Bunn, S.E.; Sullivan, C.A.; Liermann, C.R.; et al. Global threats to human water security and river biodiversity. Nature 2010, 467, 555–561. [Google Scholar] [CrossRef]
- Gerbersdorf, S.U.; Hollert, H.; Brinkmann, M.; Wieprecht, S.; Schüttrumpf, H.; Manz, W. Anthropogenic pollutants affect ecosystem services of freshwater sediments: The need for a “triad plus x” approach. J. Soils Sediments 2011, 11, 1099–1114. [Google Scholar] [CrossRef]
- Williams-Subiza, E.A.; Epele, L.B. Drivers of biodiversity loss in freshwater environments: A bibliometric analysis of the recent literature. Aquat. Conserv. Mar. Freshw. Ecosyst. 2021, 31, 2469–2480. [Google Scholar] [CrossRef]
- Humphries, P.; Keckeis, H.; Finlayson, B. The River Wave Concept: Integrating River Ecosystem Models. BioScience 2014, 64, 870–882. [Google Scholar] [CrossRef]
- Leibold, M.A.; Holyoak, M.; Mouquet, N.; Amarasekare, P.; Chase, J.M.; Hoopes, M.F.; Holt, R.D.; Shurin, J.B.; Law, R.; Tilman, D.; et al. The metacommunity concept: A framework for multi-scale community ecology. Ecol. Lett. 2004, 7, 601–613. [Google Scholar] [CrossRef]
- Lorenz, C.M.; Dijk, G.M.V.; Hattum, A.G.M.V.; Cofino, W.P. Concepts in river ecology implications for indicatior development. Regul. River 1997, 13, 501–516. [Google Scholar]
- Melles, S.J.; Jones, N.E.; Schmidt, B. Review of theoretical developments in stream ecology and their influence on stream classification and conservation planning. Freshw. Biol. 2012, 57, 415–434. [Google Scholar] [CrossRef]
- Poole, G.C. Fluvial landscape ecology addressing uniqueness within the river discontinuum. Freshw. Biol. 2002, 47, 641–660. [Google Scholar]
- Huet, M. Profiles and Biology of Western European Streams as Related to Fish Management. Trans. Am. Fish. Soc. 1959, 88, 155–163. [Google Scholar] [CrossRef]
- Vannote, R.L.; Minshall, G.W.; Cummmins, K.W.; Sedell, J.R.; Cushing, A.C.E. The River Continuum Concept. Can. J. Fish. Aquat. Sci. 1980, 37, 130–137. [Google Scholar]
- Ward, J.V.; Stanford, J.A. The serial discontinuity concept: Extending the model to floodplain rivers. Regul. Rivers Res. Manag. 1995, 10, 159–168. [Google Scholar] [CrossRef]
- Roset, N.; Grenouillet, G.; Goffaux, D.; Pont, D.; Kestemont, P. A review of existing fish assemblage indicators and methodologies. Fish. Manag. Ecol. 2007, 14, 393–405. [Google Scholar] [CrossRef]
- Araújo, F.G.; Pinto, B.C.T.; Teixeira, T.P. Longitudinal patterns of fish assemblages in a large tropical river in southeastern Brazil: Evaluating environmental influences and some concepts in river ecology. Hydrobiologia 2009, 618, 89–107. [Google Scholar] [CrossRef]
- Liu, F.; Li, M.; Wang, J.; Gong, Z.; Liu, M.; Liu, H.; Lin, P. Species composition and longitudinal patterns of fish assemblages in the middle and lower Yarlung Zangbo River, Tibetan Plateau, China. Ecol. Indic. 2021, 125, 107542. [Google Scholar] [CrossRef]
- Suvarnaraksha, A.; Lek, S.; Lek-Ang, S.; Jutagate, T. Fish diversity and assemblage patterns along the longitudinal gradient of a tropical river in the Indo-Burma hotspot region (Ping-Wang River Basin, Thailand). Hydrobiologia 2012, 694, 153–169. [Google Scholar] [CrossRef]
- Wang, X.; Li, S.; Price, M.; Lei, Y.; Wu, B.; Liu, K.; Song, Z. Longitudinal and seasonal patterns of fish assemblage structure in the Zhougong River, Sichuan Province, southwest China. Ecol. Indic. 2019, 107, 105656. [Google Scholar] [CrossRef]
- Zare-Shahraki, M.; Ebrahimi-Dorche, E.; Bruder, A.; Flotemersch, J.; Blocksom, K.; Bănăduc, D. Fish Species Composition, Distribution and Community Structure in Relation to Environmental Variation in a Semi-Arid Mountainous River Basin, Iran. Water 2022, 14, 2226. [Google Scholar] [CrossRef]
- Zeng, L.; Zhou, L.; Guo, D.-L.; Fu, D.-H.; Xu, P.; Zeng, S.; Tang, Q.-D.; Chen, A.-L.; Chen, F.-Q.; Luo, Y.; et al. Ecological effects of dams, alien fish, and physiochemical environmental factors on homogeneity/heterogeneity of fish community in four tributaries of the Pearl River in China. Ecol. Evol. 2017, 7, 3904–3915. [Google Scholar] [CrossRef] [PubMed]
- Rahel, F.J.; Hubert, W.A. Fish Assemblages and Habitat Gradients in a Rocky Mountain–Great Plains Stream: Biotic Zonation and Additive Patterns of Community Change. Trans. Am. Fish. Soc. 1991, 120, 319–332. [Google Scholar] [CrossRef]
- Belliard, J.; Boët, P.; Tales, E. Regional and longitudinal patterns of fish community structure in the Seine River basin, France. J. Appl. Phycol. 1997, 50, 133–147. [Google Scholar] [CrossRef]
- Jenkins, R.E.; Freeman, C.A. Longitudinal distribution and habitat of the fishes of Mason Creek, an upper Roanoke River drainage tributary, Virginia. Science 1972, 23, 194–202. [Google Scholar]
- Sheldon, A.L. Species Diversity and Longitudinal Succession in Stream Fishes. Ecology 1968, 49, 193–198. [Google Scholar] [CrossRef]
- Park, Y.S.; Oberdorff, T.; Lek, S. Patterning riverine fish assemblages using an unsupervised neural network. In Modelling Community Structure in Freshwater Ecosystems; Springer: Berlin/Heidelberg, Germany, 2005; pp. 43–53. [Google Scholar] [CrossRef]
- Baselga, A. Partitioning the turnover and nestedness components of beta diversity. Glob. Ecol. Biogeogr. 2010, 19, 134–143. [Google Scholar] [CrossRef]
- Taylor, C.M.; Warren, M.L., Jr. Dynamics in species composition of stream fishassemblages environmental variability and nestedsubsets. Ecology 2001, 82, 2320–2330. [Google Scholar] [CrossRef]
- Zbinden, Z.D.; Matthews, W.J. Beta diversity of stream fish assemblages: Partitioning variation between spatial and environmental factors. Freshw. Biol. 2017, 62, 1460–1471. [Google Scholar] [CrossRef]
- Chen, W.; Liu, L.; Wang, J.; Zhou, L. Threatened freshwater fish need protection. Science 2021, 374, 164. [Google Scholar] [CrossRef]
- Foubert, A.; Lecomte, F.; Legendre, P.; Cusson, M. Spatial organisation of fish communities in the St. Lawrence River: A test for longitudinal gradients and spatial heterogeneities in a large river system. Hydrobiologia 2018, 809, 155–173. [Google Scholar] [CrossRef]
- Qu, X.; Peng, W.; Liu, Y.; Zhang, M.; Ren, Z.; Wu, N.; Liu, X. Networks and ordination analyses reveal the stream community structures of fish, macroinvertebrate and benthic algae, and their responses to nutrient enrichment. Ecol. Indic. 2019, 101, 501–511. [Google Scholar] [CrossRef]
- Wan, J.; Bu, H.; Zhang, Y.; Meng, W. Classification of rivers based on water quality assessment using factor analysis in Taizi River basin, northeast China. Environ. Earth Sci. 2013, 69, 909–919. [Google Scholar] [CrossRef]
- Ding, S.; Zhang, Y.; Qu, X.-D.; Kong, W.-J.; Liu, S.-S.; Meng, W. Influence on the spatial distribution of fish in Taizi River basin by environmental factors at multiple scales. Huan Jing Ke Xue = Huanjing Kexue 2012, 33, 2272–2280. [Google Scholar]
- Ding, S.; Zhang, Y.; Liu, B.; Kong, W.; Meng, W. Effects of riparian land use on water quality and fish communities in the headwater stream of the Taizi River in China. Front. Environ. Sci. Eng. 2013, 7, 699–708. (In Chinese) [Google Scholar] [CrossRef]
- Wang, W.; Wang, B.; He, X.; Qu, X.; Zhang, Y. Study of zoning and distribution characteristics of fish in Taizi River. Res. Environ. Sci. 2013, 26, 494–501. (In Chinese) [Google Scholar]
- Zhang, Y.; Ding, S.; Bentsen, C.N.; Ma, S.; Jia, X.; Meng, W. Differences in stream fish assemblages subjected to different levels of anthropogenic pressure in the Taizi River catchment, China. Ichthyol. Res. 2015, 62, 450–462. [Google Scholar] [CrossRef]
- Zhang, Y.; Wang, X.-N.; Ding, H.-Y.; Dai, Y.; Ding, S.; Gao, X. Threshold Responses in the Taxonomic and Functional Structure of Fish Assemblages to Land Use and Water Quality: A Case Study from the Taizi River. Water 2019, 11, 661. [Google Scholar] [CrossRef]
- Kong, W.; Meng, W.; Zhang, Y.; Gippel, C.; Qu, X. A freshwater ecoregion delineation approach based on freshwater macroinvertebrate community features and spatial environmental data in Taizi River Basin, northeastern China. Ecol. Res. 2013, 28, 581–592. [Google Scholar] [CrossRef]
- Allan, J.D. Landscapes and Riverscapes: The Influence of Land Use on Stream Ecosystems. Annu. Rev. Ecol. Evol. Syst. 2004, 35, 257–284. [Google Scholar] [CrossRef]
- Tóth, R.; Czeglédi, I.; Kern, B.; Erős, T. Land use effects in riverscapes: Diversity and environmental drivers of stream fish communities in protected, agricultural and urban landscapes. Ecol. Indic. 2019, 101, 742–748. [Google Scholar] [CrossRef]
- Jun, C.; Ban, Y.; Li, S. Open access to Earth land-cover map. Nature 2014, 514, 434. [Google Scholar] [CrossRef] [PubMed]
- Clarke, K.R. Non-parametric multivariate analyses of changes in community structure. Aust. J. Ecol. 1993, 18, 117–143. [Google Scholar] [CrossRef]
- Clarke, K.R.; Warwick, R.M. Change in Marine Communities: An Approach to Statistical Analysis and Interpretation; Primer-E Ltd.: Plymouth, UK, 2001. [Google Scholar]
- Clarke, K.; Gorley, R. PRIMER v6: User Manual/Tutorial (Plymouth Routines in Multivariate Ecological Research); Primer-E Ltd.: Plymouth, UK, 2006. [Google Scholar]
- Milauer, P.; Lepš, J. Multivariate Analysis of Ecological Data Using CANOCO 5; Cambridge University Press: Cambridge, UK, 2014. [Google Scholar]
- Jiang, Z.; Jiang, J.; Wang, Y.; Zhang, E.; Zhang, Y.; Li, L.; Xie, F.; Cai, B.; Cao, L.; Zheng, G.; et al. Red List of China’s Vertebrates. Biodivers. Sci. 2016, 24, 500–551. [Google Scholar]
- Chen, Y.; Qu, X.; Xiong, F.; Lu, Y.; Wang, L.; Hughes, R.M. Challenges to saving China’s freshwater biodiversity: Fishery exploitation and landscape pressures. Ambio 2020, 49, 926–938. [Google Scholar] [CrossRef] [PubMed]
- Thorp, J.H.; Thoms, M.C.; Delong, M.D. The riverine ecosystem synthesis: Biocomplexity in river networks across space and time. River Res. Appl. 2006, 22, 123–147. [Google Scholar] [CrossRef]
- Welcomme, R.L.; Winemiller, K.O.; Cowx, I.G. Fish environmental guilds as a tool for assessment of ecological condition of rivers. River Res. Appl. 2006, 22, 377–396. [Google Scholar] [CrossRef]
- Wang, Y.; Zhang, Y.; Gao, X.; Ma, S.; Yin, X.; Ding, S. Analysis of fish community distribution and its relationship with environmental factors in different freshwater eco-regions of Taizi River Basin. Res. Environ. Sci. 2016, 29, 192–201. (In Chinese) [Google Scholar]
- Bierschenk, A.M.; Mueller, M.; Pander, J.; Geist, J. Impact of catchment land use on fish community composition in the headwater areas of Elbe, Danube and Main. Sci. Total Environ. 2019, 652, 66–74. [Google Scholar] [CrossRef]
- Nazeer, S.; Hashmi, M.Z.; Malik, R.N. Spatial and seasonal dynamics of fish assemblage along river Soan, Pakistan and its relationship with environmental conditions. Ecol. Indic. 2016, 69, 780–791. [Google Scholar] [CrossRef]
- Cao, Y.; Tang, C.; Cao, G.; Wang, X. Hydrochemical zoning: Natural and anthropogenic origins of the major elements in the surface water of Taizi River Basin, Northeast China. Environ. Earth Sci. 2016, 75, 811. [Google Scholar] [CrossRef]
- Ortega, J.C.G.; Bacani, I.; Dorado-Rodrigues, T.F.; Strüssmann, C.; Fernandes, I.M.; Morales, J.; Mateus, L.; da Silva, H.P.; Penha, J. Effects of urbanization and environmental heterogeneity on fish assemblages in small streams. Neotrop. Ichthyol. 2021, 19. [Google Scholar] [CrossRef]
- Borges, P.P.; Dias, M.; Carvalho, F.R.; Casatti, L.; Pompeu, P.S.; Cetra, M.; Garro, F.L.T.; Súarez, Y.R.; Nabout, J.C.; Teresa, F.B. Stream fish metacommunity organisation across a Neotropical ecoregion: The role of environment, anthropogenic impact and dispersal-based processes. PLoS ONE 2020, 15, e0233733. [Google Scholar] [CrossRef]
- Hewitt, J.; Thrush, S.; Lohrer, A.M.; Townsend, M. A latent threat to biodiversity: Consequences of small-scale heterogeneity loss. Biodivers. Conserv. 2010, 19, 1315–1323. [Google Scholar] [CrossRef]
- Wang, L.; Seelbach, P.W.; Hughes, R.M. Introduction to Landscape Influences on Stream Habitats and Biological Assemblages. Am. Fish. Soc. Symp. 2006, 48, 1–23. [Google Scholar]
- Cooper, A.R.; Infante, D.M.; Wehrly, K.E.; Wang, L.; Brenden, T.O. Identifying indicators and quantifying large-scale effects of dams on fishes. Ecol. Indic. 2016, 61, 646–657. [Google Scholar] [CrossRef]
- Ngor, P.B.; Legendre, P.; Oberdorff, T.; Lek, S. Flow alterations by dams shaped fish assemblage dynamics in the complex Mekong-3S river system. Ecol. Indic. 2018, 88, 103–114. [Google Scholar] [CrossRef]
- Wang, L.; Infante, D.; Lyons, J.; Stewart, J.; Cooper, A. Effects of dams in river networks on fish assemblages in non-impoundment sections of rivers in Michigan and Wisconsin, USA. River Res. Appl. 2011, 27, 473–487. [Google Scholar] [CrossRef]
- Wu, H.; Chen, J.; Xu, J.; Zeng, G.; Sang, L.; Liu, Q.; Yin, Z.; Dai, J.; Yin, D.; Liang, J.; et al. Effects of dam construction on biodiversity: A review. J. Clean. Prod. 2019, 221, 480–489. [Google Scholar] [CrossRef]
- Aarts, B.G.; Nienhuis, P.H. Fish zonations and guilds as the basis for assessment of ecological integrity of large rivers. Hydrobiologia 2003, 500, 157–178. [Google Scholar] [CrossRef]
- Lasne, E.; Bergerot, B.; Lek, S.; Laffaille, P. Fish zonation and indicator species for the evaluation of the ecological status of rivers: Example of the Loire basin (France). River Res. Appl. 2007, 23, 877–890. [Google Scholar] [CrossRef]
- Sutela, T.; Vehanen, T.; Jounela, P. Longitudinal patterns of fish assemblages in European boreal streams. Hydrobiologia 2020, 847, 3277–3290. [Google Scholar] [CrossRef]
- Albert, J.S.; Destouni, G.; Duke-Sylvester, S.M.; Magurran, A.E.; Oberdorff, T.; Reis, R.E.; Winemiller, K.O.; Ripple, W.J. Scientists’ warning to humanity on the freshwater biodiversity crisis. Ambio 2021, 50, 85–94. [Google Scholar] [CrossRef] [PubMed]
- Gao, X.; Zhang, Y.; Ding, S.; Zhao, R.; Meng, W. Response of fish communities to environmental changes in an agriculturally dominated watershed (Liao River Basin) in northeastern China. Ecol. Eng. 2015, 76, 130–141. [Google Scholar] [CrossRef]
- Esselman, P.C.; Infante, D.M.; Wang, L.; Cooper, A.R.; Wieferich, D.; Tsang, Y.-P.; Thornbrugh, D.J.; Taylor, W.W. Regional fish community indicators of landscape disturbance to catchments of the conterminous United States. Ecol. Indic. 2013, 26, 163–173. [Google Scholar] [CrossRef]
- Feio, M.J.; Hughes, R.M.; Callisto, M.; Nichols, S.J.; Odume, O.N.; Quintella, B.R.; Kuemmerlen, M.; Aguiar, F.C.; Almeida, S.F.; Alonso-Eguíalis, P.; et al. The Biological Assessment and Rehabilitation of the World’s Rivers: An Overview. Water 2021, 13, 371. [Google Scholar] [CrossRef]
- Yates, A.G.; Bailey, R.C. Selecting objectively defined reference sites for stream bioassessment programs. Environ. Monit. Assess. 2010, 170, 129–140. [Google Scholar] [CrossRef]
Publisher’s Note: MDPI stays neutral with regard to jurisdictional claims in published maps and institutional affiliations. |
© 2022 by the authors. Licensee MDPI, Basel, Switzerland. This article is an open access article distributed under the terms and conditions of the Creative Commons Attribution (CC BY) license (https://creativecommons.org/licenses/by/4.0/).








