Abstract
Electricity inspection is important to support sustainable development and is core to the marketing of electric power. In addition, it contributes to the effective management of power companies and to their financial performance. Continuous improvement in the penetration rate of new energy generation can improve environmental standards and promote sustainable development, but creates challenges for electricity inspection. Traditional electricity inspection methods are time-consuming and quite inefficient, which hinders the sustainable development of power firms. In this paper, a load-forecasting model based on an improved moth-flame-algorithm-optimized extreme learning machine (IMFO-ELM) is proposed for use in electricity inspection. A chaotic map and improved linear decreasing weight are introduced to improve the convergence ability of the traditional moth-flame algorithm to obtain optimal parameters for the ELM. Abnormal data points are screened out to determine the causes of abnormal occurrences by analyzing the model prediction results and the user’s actual power consumption. The results show that, compared with existing PSO-ELM and MFO-ELM models, the root mean square error of the proposed model is reduced by at least 1.92% under the same conditions, which supports application of the IMFO-ELM model in electricity inspection. The proposed power-load-forecasting-based abnormal data detection method can improve the efficiency of electricity inspection, enhance user experience, contribute to the intelligence level of power firms and promote their sustainable development.
1. Introduction
New energy power generation has the advantages of being green, clean and sustainable, which is important for alleviating power shortages and protecting the environment. However, the high permeability of new energy generation has an impact on the stability of the power system, which increases the difficulty of abnormal load detection. An efficient power inspection method can improve the detection accuracy of abnormal conformity, reduce operating costs and promote the sustainable development of power firms. At the same time, improving the efficiency of electricity inspection can also improve service quality and enhance user experience. Many power firms have pursued ways of improving the sustainability of intelligent electricity inspection and reducing economic losses, such as by modifying lines, introducing high-tech power-stealing devices, and changing the performance of electric energy meters [1,2]. In addition, the costs of installing inspection equipment in some areas where electricity consumption is not concentrated, as well as the low efficiency of human inspection and waste of resources, have contributed to the challenges of electricity inspection [3]. Therefore, this study aims to improve the economy of electricity inspection and promote the sustainable development of power firms based on an improved moth-flame-algorithm-optimized extreme learning machine (ELM).
Information technology is being used to promote the development of power grids in the direction of digitization and informatization in contrast to the time-consuming and low-efficiency use of traditional manual meter-reading inspections [4]. At present, electricity inspection methods are usually based on the use of electric energy measurement technology with a high degree of automation. The measurement device converts electric power into an electric energy value to enable remote monitoring, which greatly reduces the use of human resources [5]. For example, England et al. [6] proposed a new Internet-based advanced measurement and control infrastructure, which enables real-time smart-grid load monitoring and control without delay. However, this method requires increase in the practical network bandwidth, which is expensive. To address this, Yip et al. [7] introduced loss factors and error terms in distribution lines and transformers, respectively, to estimate the extent of technical losses and capture measurement noise to identify potential energy fraud and the location of faulty meters at low cost. However, the system is difficult to operate. In addition, the volume of data collected by the power metering device is huge and the data diverse, which creates challenges for electricity inspection [8,9,10]. To solve this problem, it is argued here that the introduction of data analysis and data mining based on the application of electricity metering technique, intelligent analysis and monitoring of users’ electricity consumption data, can reduce difficulties in operation and improve detection accuracy.
A power-consumption load-analysis method based on the IMFO-ELM model is proposed to address the shortcomings of existing electricity inspection methods and ensure that abnormal data detection is carried out accordingly. First, an improved moth-flame optimization algorithm is used to optimize the parameters of the ELM to improve power-load forecasting. Second, the detection value is used as the inspection value and the discriminant condition is set according to the relative error value between the inspection value and the actual load. The abnormal points and suspected abnormal points of the data are screened out, which facilitates further detection by the power department. The validity of the proposed audit method was verified using real data on electricity load provided by the European Network on Intelligent Technology (EUNITE). The proposed method has many advantages compared with the traditional electricity inspection method. The load-forecasting-based electricity inspection method applies the non-linear mapping ability of a machine learning model and the superior convergence performance of an artificial intelligence algorithm to improve the efficiency of power inspection by improving the convergence performance of the IMFO algorithm. The application of machine learning and artificial intelligence algorithms to the field of electricity inspection has improved the intelligence and automation level of electric power inspection, which is conducive to reducing the operating costs of electric power firms. The original contributions of this study include the following:
- An electricity inspection method based on the IMFO-ELM model is proposed as, currently, the marketing inspection of power supply firms mainly relies on passive methods, such as manual inspection, and cannot identify abnormal users sufficiently quickly.
- A novel IMFO algorithm with enhanced optimization ability is proposed to improve the intelligence level of electricity inspection and to promote the sustainable development of power firms.
- The proposed electricity inspection method improves inspection efficiency, enhances user experience and reduces the operating cost of firms.
The remainder of the paper is organized as follows: Section 2 analyzes existing problems highlighted in the literature. Section 3 introduces the abnormal power load monitoring method. Section 4 presents the IMFO-ELM-based monitoring method. Evaluation of the effectiveness of the proposed electricity inspection method is covered in Section 5. The contributions of the study and its limitations are described in Section 6.
2. Literature Review
As an important part of electric power marketing, electricity inspection has great theoretical and application value for controlling marketing risks, improving the economic benefits of electric power firms, and promoting the sustainable development of electric power [10]. Electricity inspection methods have great theoretical and application value for: (1) improving the service quality of electricity inspection, (2) improving the reliability of electric power enterprise management, (3) improving power marketing systems, and (4) improving the standardization and efficiency of energy management in electric power firms. The development of new energy power generation techniques has brought many benefits but it has also changed the mode of operation of the power grid and increased the difficulty of abnormal load detection. Improving the economy and efficiency of electricity inspection is essential to improve the economic benefits, service quality and management performance of electric power firms. Efficient electricity inspection methods can reduce the operating costs of power firms, enhance user experience and promote the sustainable development of firms.
Cluster-analysis-based data-mining techniques are widely used in electricity inspection. For example, Viegas et al. [11] proposed a data-based method to detect sources of theft and other power losses, using the Gustafson–Kessel fuzzy clustering algorithm to cluster the data collected by smart meters to identify prototypes of typical consumption behavior and locate abnormal data points by comparing new data samples with consumption prototypes. Cheng et al. [12] proposed a power consumption detection method based on the power consumption information acquisition system of power firms. The K-means clustering algorithm was used to extract features and the random forest (RF) algorithm was used to classify the extracted features, being suitable for the processing of edge data. However, the performance of the K-means clustering algorithm requires improvement. Qu et al. [13] proposed an improved K-means clustering algorithm (K-SMOTE) for balancing the dataset and training the RF algorithm with the balanced dataset. Following classification, the trained RF algorithm was used for anomalous data detection. The abnormal data monitoring methods described can improve the accuracy of electricity inspection to a certain extent. However, the clustering method and the statistical analysis of power metering data requires significant quantities and high quality of data, so the computational cost is high, which reduces the applicability of the method.
Several studies in the field of electricity inspection have used artificial intelligence algorithms to improve data utilization and make the analysis process simpler and more effective. For instance, neural networks (NNs), the autoregressive moving average (ARMA) model, ELM, and the support vector machine (SVM) algorithm have been used in electricity inspection and load detection [14,15,16]. The classic load curve of users is obtained by analyzing the load of users, and the load is monitored and analyzed based on the evaluation method. Hasan et al. [17] proposed a power-theft-detection system based on a convolutional neural network and the long- and short-term memory (LSTM) structure, which can classify most classes (normal users) and a small number of classes (power-theft users). This method has enhanced classification accuracy. Ding et al. [18] proposed a real-time anomaly-detection algorithm based on the LSTM approach and a Gaussian mixture model, which can perform high-quality real-time anomaly data detection.
In addition, Aslam et al. [19] proposed an LSTM-UNet-Adaboost power theft detection model composed of long short-term memory (LSTM), UNet and Adaboost, which combined the advantages of deep learning and ensemble learning to improve detection efficiency. Arif et al. [20] proposed an oversampling technique using a support vector machine and temporal convolutional network based on an enhanced multilayer perceptron. The former plays the role of balancing the data, and the latter undertakes classification. The model was found to perform better than a convolutional neural network and long-short-term memory network in electricity inspection. Akram et al. [21] introduced a RUSBoost technique and proposed the manta ray foraging model and the bird flocking algorithm model, which improved the accuracy of electricity theft detection. Taking account of imbalance in electricity consumption data, Banga et al. [22] designed a machine learning model which included six data-balancing techniques, and compared the performance of 12 classification algorithms, using the superposition ensemble algorithm to optimize the machine learning model to improve accuracy.
ELM has the advantages of simple structure, fast learning speed and better generalization performance compared with a traditional neural network and support vector machine. It only needs to specify the number of hidden neurons to obtain a unique optimal solution and has been widely used in electricity load analysis and inspection [23]. Shehzad et al. [24] combined a meta-heuristic algorithm and an automatic encoder technique and used the support vector machine to measure their ability to extract features and proposed a big data power system power-theft detection system, which can extract features with large variance from massive data. However, the prediction accuracy of the support vector machine was closely related to the selection of its parameters. Chen et al. [25] proposed a chicken swarm optimization algorithm to optimize the hyperparameters of the ELM, which can further improve the accuracy of the model. To improve the convergence speed, Fong et al. [26] proposed a hybrid algorithm combining the artificial bee colony and great deluge algorithm to solve the optimization problem to overcome the disadvantage of poor convergence ability in the later stage. The algorithm showed faster convergence speed, but its stability still requires improvement.
A new statistical analysis method, data envelopment analysis, is suitable for studying production systems with multiple inputs, and provides rich and useful information for decision-makers. Data envelopment analysis method is a quantitative analysis method that uses linear programming to evaluate the relative effectiveness of comparable units of the same type and is widely used to measure the efficiency of electric power inspection. For example, Mardani et al. [27] reviewed and summarized different data envelopment analysis models used to measure energy efficiency problems. The results obtained showed that data envelopment analysis methods were suitable for analyzing energy efficiency problems and have good application prospects. Zhao et al. [28] applied a three-stage data envelopment analysis method to measure the input-output efficiency of power generation companies in China. Tavassoli et al. [29] developed a network data envelopment analysis model to assess the sustainability of the electricity distribution network in Iran.
The characteristics of current research are summarized in Table 1.
Table 1.
The characteristics of current research.
This study presents a power load forecasting-based abnormal data detection method to improve the economy of electricity inspection and promote the sustainable development of electric power firms. First, an intelligent algorithm is used to optimize the parameters of ELM to improve the forecasting accuracy for the power load. Second, an improved moth-flame optimization method is proposed to improve the predictive power of ELM. Finally, the abnormal load is inspected based on the predicted power load.
3. Abnormal Power Load Monitoring
Electricity inspection, specifically, electricity consumption inspection, is an important part of current power marketing management and represents an important supervision and control link in the power supply marketing life cycle. Power theft and massive amounts of power consumption data generated by various metering devices and systems may appear abnormal in large quantities due to power grid fluctuations or equipment failures [30]. These abnormal data contain a large amount of important event information, which greatly affects the integrity and accuracy of power metering data. Traditional statistical methods are time-consuming, inefficient and inaccurate. The power sector is accelerating the transition to online inspection. Online monitoring includes machine-learning-based abnormal power load monitoring and empirical rule-based classification screening. Machine-learning-based abnormal power load monitoring has the advantages of being fast, accurate and adaptive. Monitoring data can come from various processes occurring in the power grid, such as maintenance, installation, measurement and so on.
The analysis and monitoring of load data in the power grid can provide important reference points for electricity inspection work. The abnormal data can be detected more accurately and the target range can be narrowed by comparing the actual data and the monitoring data. Without considering other load components, load changes in the distribution network also show a certain regularity, and the daily load curve can represent a kind of daily load change law due to the regularity of people’s activities. This study utilizes real power load data provided by the European Intelligent Technology Network as the original load data [31]. The network collected the load data of power plants in eastern Slovakia. Seven days data from a seven-month period were used as the experimental data. Data was collected every 0.5 h. The obtained load curve is shown in Figure 1.
Figure 1.
Time series curve of weekly load.
Figure 1 shows that, although the load sequence exhibits obvious randomness, the load peaks and valleys appear at roughly the same time in a similar period, and the daily overall trend and direction of change are consistent.
The power load is affected by various factors, including known factors and unknown factors. The known factors include the power supply units, the grid capacity, user conditions, production capacity, etc. The unknown factors include weather conditions, regional economic activities, policy changes, etc. Due to the influence of these uncertainties, the values of historical data and related variables are often inaccurate, resulting in random deviation between the load forecasting results and the actual load values; that is, there is obvious uncertainty in load forecasting. Improving the forecasting accuracy and stability of the model is necessary to deal with the uncertainty of power-load forecasting. Traditional power inspection methods have difficulty dealing with the randomness and uncertainty of loads. Taking advantage of the periodicity of load changes, a corresponding load monitoring model was established using machine-learning methods, and an intelligent optimization algorithm was introduced to optimize the model to improve monitoring accuracy. The established load-monitoring model was used for electricity inspection analysis and the abnormal load data was detected by comparing the inspection values with the actual values. This method has the advantages of fast monitoring speed and high precision and can significantly improve the automation and informatization level of electricity inspection.
4. Load-Monitoring Method Based on Improved Extreme Learning Machine
Power load monitoring approaches are divided into monitoring models based on time series analysis and machine learning [32]. The time series analysis method is relatively simple but detection accuracy is poor and it is only suitable for monitoring a small amount of data or data with low requirements for results. The machine learning model is associated with excellent non-linear monitoring outcomes and is suitable for complex scenarios.
This study proposes an ELM model to predict load and the IMFO algorithm is employed to optimize the parameters of the ELM. The IMFO-ELM model has faster computing speed and better generalization ability compared with traditional methods.
4.1. Extreme Learning Machine
The classic ELM network structure consists of an input layer, a hidden layer and an output layer. The input layer contains n neurons, the hidden layer contains l neurons, and the output layer contains m neurons [33]. If there are P training samples (xi, yi) and a differentiable activation function f(x) in an arbitrary interval, the output of any hidden layer node is expressed as:
where is the connection weight between the input layer and the hidden layer; ei is the node threshold of the ith hidden layer, and is the weight between the hidden layer and the output layer; .
The above formula is transformed into:
where Q is the output matrix as follows:
Solve the least squares solution:
Obtain the least squares solution:
The weights and thresholds of the ELM model need to be initialized and maintained at a fixed value during training; however, random initialization affects the speed and accuracy of the calculation, so the initial parameters need to be optimized.
4.2. Improved MFO Algorithm
The MFO algorithm mimics the relationship between moths and flames [34,35]. The optimization flow is shown below:
- Initialize the position of the moth;
- Calculate the fitness of the population according to the current problem;
- Update the current moth and flame positions according to the fitness value and reor-der the positions;
- Select the space position with a better fitness value to update to the position of the next generation of flame;
- Gradually reduce the number of flames into the next generation until the number of iterations is satisfied;
- Output and display the optimization results.
In the MFO algorithm, the moth position is defined as the problem to be solved, and the flame is defined to search for the optimal solution by updating the moth position in the process. The position of the moth is expressed as:
where N represents the size of the moth population, D is the dimension of the problem represented by the moth and pmoN,D is the position of the Nth moth in the d-dimensional space.
In solving a problem, the position of the moth is substituted into the fitness function, and the fitness matrix of the moth is obtained as follows:
where is the fitness of the Nth moth.
Each moth in flight corresponds to a flame whose position and fitness matrices are as follows:
POSfla is the position matrix corresponding to the flame; flai,j is the first flame in the Jth dimension; Fitfla is the fitness matrix, where each vector is the fitness corresponding to the flame position.
With a number of moths constantly searching for the flames, the position of moths and flames is updated differently in each iteration, so the updating strategy is also different. The moth moves in a spiral towards the flame and cannot exceed the search space during its flight. The location root update is as follows:
where b is the defined spiral factor, flaj is the Jth flame corresponding position, Disi is the distance between the first moth and the fire; the distance between the moths and flames is defined by t.
In Equation (10), if t is 1, the moths are farthest from the flames. If t is −1, the moths are nearest to the flames. The mathematical model of t is as follows:
where, rand is used to represent a random number between 0 and 1. a decreases linearly with the number of iterations of the algorithm:
where It is the current number of iterations and max_It represents the maximum number of iterations.
Although the MFO algorithm has the advantage of fewer adjustable parameters, the optimization performance needs to be further improved. To make the algorithm converge to the optimal value faster, reduce the amount of calculation of the algorithm and avoid falling into local optimization, this study uses chaotic mapping to initialize the population, as follows:
where represents the maximum value of the search space, represents the minimum value of the search space, and is the chaos factor corresponding to the ith individual.
In addition, t is affected by parameter a that affects the position update of the moth and the flame. In the actual process, a is smaller and changes more slowly in the later stages of iteration to increase the local search ability. The mathematical model formula of a is modified as follows:
4.3. Performance Test of IMFO Algorithm
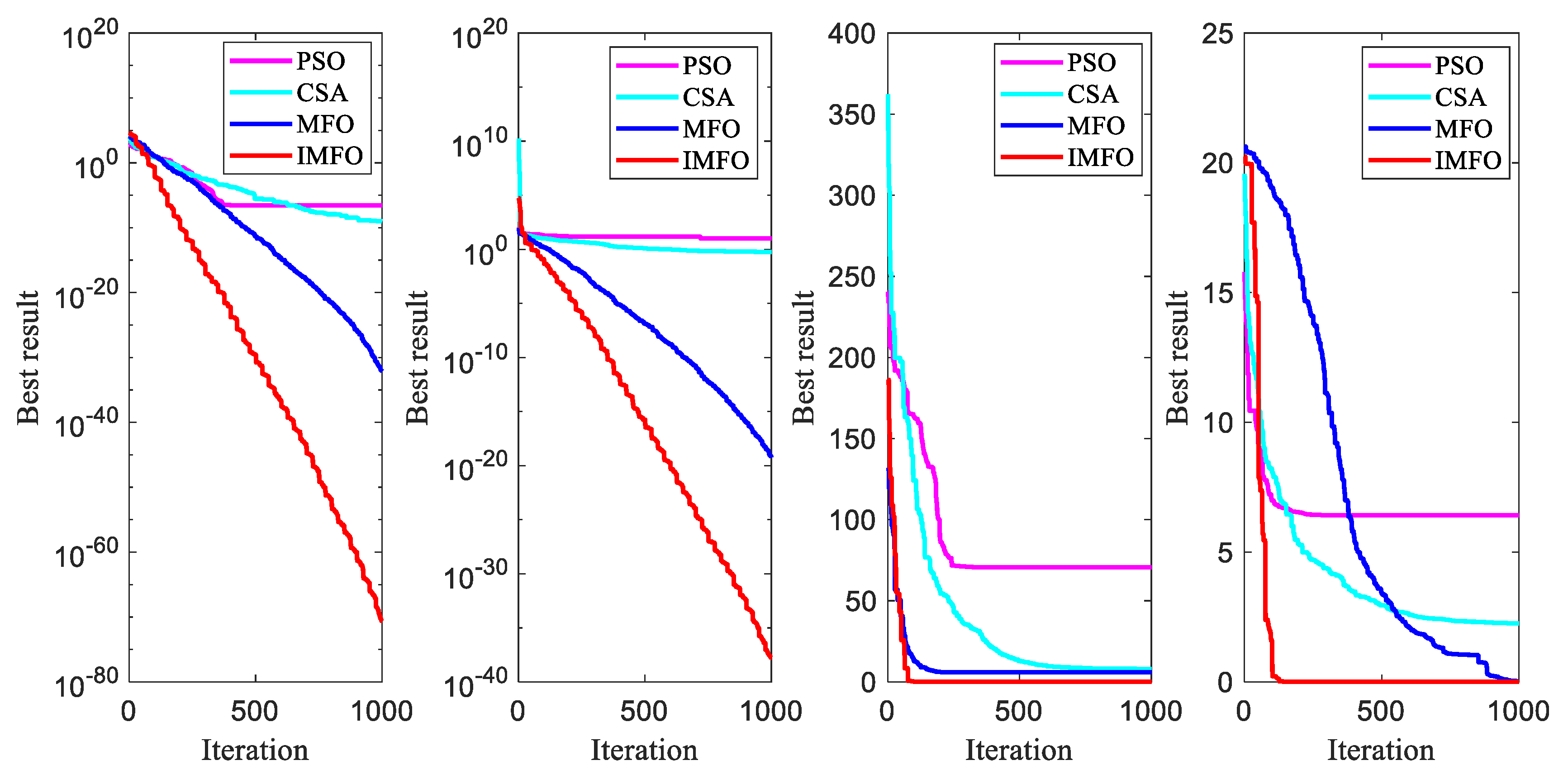
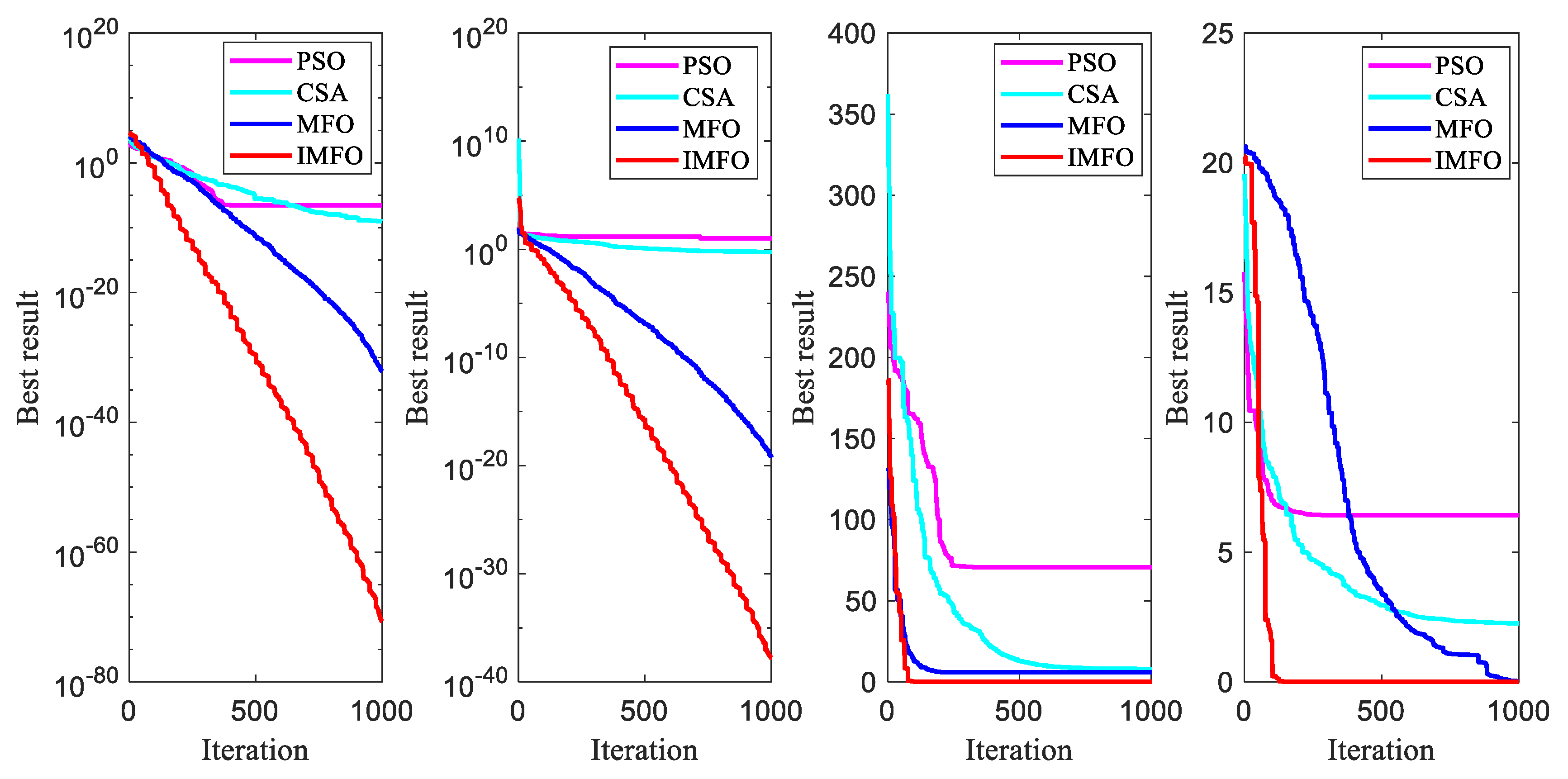
The convergence speed and accuracy of the algorithm are judged by the test functions. Two single-peak test functions and two multi-peak test functions are selected from to verify the convergence performance of the IMFO algorithm. The selected test functions are shown in Table 2 [36,37,38,39].
Table 2.
Benchmark functions.
In Table 2, f1(x) and f2(x) represent single-peak benchmark functions, f3(x) and f4(x) represent multi-peak benchmark functions. In addition, the search space of the benchmark functions is 10 dimensions.
To date, many artificial intelligence algorithms have been developed [40,41]. The PSO algorithm, crow search algorithm (CSA) and MFO algorithm were selected as the comparison algorithms [42,43]. To ensure reliability of the results, the population of each algorithm was set to 30 and the number of iterations was 1000. The relevant parameters for each algorithm are shown in Table 3.
Table 3.
Parameters of different algorithms.
Table 3 shows the parameters of different algorithms. For the PSO algorithm, c1 is the learning coefficient and its value is 1.5. c2 is the learning coefficient and its value is 1.2. w is the variable weight coefficient; its value varies from 0.4 to 0.9. For the CSA algorithm, AP represents the perception probability of the algorithm. fl represents the flight distance of the population. The local search ability of the population is strong when the flight distance is small; however, the global search ability of the population with large flight distance is strong. For the MFO algorithm, b is the spiral shape coefficient of the algorithm. For the IMFO algorithm, the same spiral coefficient is retained, but the parameter a that affects the value of distance parameter t changes with the number of iterations.
The computing environment was based on the Windows 10 system, MATLAB R2020a, with 8G memory and i5-6500 CPU. To prevent algorithm operation error affecting the experimental results, each algorithm was repeatedly run for 15 times to obtain the average value and deviation value for judgment; the test results obtained are shown in Table 4.
Table 4.
Comparison of test function results of different algorithms.
Table 4 presents a comparison of the results of the test functions produced by the different algorithms. The average value and standard deviation value of the final fitness value of the multiple results, as well as the best fitness value and the worst fitness value, were calculated as the evaluation indicators. According to the evaluation performance indicators, the MFO algorithm had a small fitness value in the operation results for single-peak test function compared with the PSO and CSA algorithms. The improved IMFO algorithm performed better in terms of optimization effect and standard deviation, which confirms the effectiveness of the MFO algorithm. For the multi-peak test function f3(x), the optimization performance and stability of the MFO algorithm were close to that of the CSA algorithm and the performance was better than that of the PSO algorithm. However, the proposed IMFO algorithm showed a significant optimization effect; the obtained optimal fitness was 0, and the standard deviation was relatively small. For the benchmark function f4(x), both the IMFO and MFO algorithms showed better search results, but the optimization results for the IMFO algorithm were better compared with the MFO algorithm. The optimization ability of the proposed IMFO algorithm was verified by the results for the multi-peak test functions and the single peak test functions.
Figure 2 shows the iteration curves of the four algorithms. The IMFO algorithm showed the best search ability and the fastest decline speed. The analysis results for the test function indicated that the IMFO algorithm improved the monitoring of the abnormal power load.
Figure 2.
Comparison of iteration curves for solving test functions.
4.4. Power Load Monitoring Based on IMFO-ELM Model
The proposed method for electricity inspection proposed in this paper primarily involves two elements: one is electric power load forecasting based on the IMFO-ELM model, and the other is assessment of the abnormal load based on forecasting the electric power load. The IMFO algorithm is used to optimize the parameters of the ELM model, and the IMFO-ELM-model-based load-monitoring method is constructed based on this. The machine-learning-based electricity inspection method modeling process is as follows:
- Determine test samples and training samples of the IMFO-ELM model;
- Initialize algorithm parameters;
- Use the IMFO algorithm to optimize the parameters of the ELM;
- Train the IMFO-ELM model and test the model according to the test sample set;
- Denormalize the monitored load data.
- Inspect abnormal load based on forecast load.
The modeling process for the machine-learning-based electricity inspection method is shown in Figure 3.
Figure 3.
The modeling process of machine-learning-based electricity inspection method.
5. Abnormal Power Load Inspection Method and Test Analysis
5.1. Abnormal Power Load Inspection Method
The MFO algorithm has a stronger ability to identify energy losses compared with the PSO, DE, GA and other existing algorithms. However, the MFO algorithm also has the defect of easily falling into local extreme values and suffers from the problem of poor population diversity. This study involved modification of the MFO algorithm to produce an alternative IMFO algorithm to improve optimization ability. The convergence performance test results show that the IMFO algorithm had stronger solving ability and was suitable for optimizing unimodal and multi-modal test functions in comparison with existing algorithms. Existing machine learning models, such as SVM, BPNN and the ELM model have strong non-linear mapping and generalization ability and can better adapt to uncertainty in the power load. The mapping ability of ELM is affected by the super parameters. The superior optimization ability of the IMFO algorithm was used to explore the mapping ability of the ELM model. The IMFO-ELM method has several advantages compared to existing machine learning models.
With the continuous development of smart power distribution networks, multiple types and large volumes of data are generated. In addition, much abnormal data may be generated due to the influence of uncertain factors, such as power grid fluctuation, communication failure and the abnormal power consumption of users. A load inspection method based on the IMFO-ELM model is proposed. The inspection method using the IMFO-ELM model can more reliably predict users’ electric power consumption. The predicted electric power consumption obtained by the IMFO-ELM model is compared with actual electric power consumption to quickly and efficiently screen out abnormal data points. The abnormal data points are determined by the relative error percentage (RE) between the predicted value and the actual value. Next, the electric power consumption inspection value is used to replace the predicted value for electric power consumption for analysis. The relative error percentage is defined as follows:
In Equation (15), abnormal points and suspected abnormal points are identified quickly and efficiently from massive power consumption data and the users associated with abnormal points are marked for consideration by the electric power department. There are many reasons for the occurrence of abnormal data, the most important of which is the abnormal power consumption behavior of users, such as using electricity theft devices, changing the structure of electricity meters, etc. Abnormal data detection can help the power department to identify suspicious users in time and reduce property losses. Power equipment failures in the system at certain times can lead to sudden changes in power. The proposed electricity inspection method is designed to identify the problem in time and to give warnings to improve the security and stability of the system. A flowchart of the electricity inspection method based on load monitoring is shown in Figure 4.
Figure 4.
Flowchart of electricity inspection method based on load monitoring.
Figure 4 shows the stages of the electricity inspection method. First, the pre-acquired dataset is input to the system. The constructed IMFO-ELM model is then used to predict the user’s electricity consumption data. Second, the predicted electricity consumption data and the actual situation of users are compared and analyzed and the results of the comparison are assessed according to the set conditions. Finally, users with large error points are selected and marked and are identified as targets for abnormal electricity inspection.
5.2. Test and Analysis of the Inspection Method for Abnormal Electricity Load
The experimental data were obtained from EUNITE load test samples. The power load data for the week from January 1st to January 6th were selected, including 336 sample points in total. The data for the first five days were used as the training sample and the data for the sixth day were used as the test sample. The relative error (RE), root mean square error (RMSE) and mean absolute percentage error (MAPE) were used to verify the test effect of the model, as shown below:
where Num is the number of samples; Vi and Ui are the actual value and the inspection value, respectively.
The test indexes RMSE and MAPE simply and directly reflect the inspection accuracy of the model. To determine the validity of the IMFO_ELM model for abnormal electric power load inspection, the MFO_ELM and PSO_ELM models were used as comparison models. The test index values obtained by the three load inspection models under the same conditions are shown in Table 5.
Table 5.
Model test index values.
Table 5 shows that the RMSE value for the IMFO_ELM model was 16.3630, which was 1.92% and 21.98% lower, respectively, compared to the other two models, indicating that the deviation in the inspection results for the IMFO_ELM model was smaller. In addition, the MAPE for the IMFO_ELM model was 0.021%, which was lower by 8.70% and 15.38%, respectively, compared to the other two models, indicating that there were fewer points with large error values for the test results of the IMFO_ELM model. The PSO algorithm exhibited the worst optimization effect on the ELM model, while the optimization effect of the IMFO algorithm was significantly improved. The test results showed that the IMFO_ELM model was more accurate for load inspection. The test results and relative error curves of the three load inspection models are shown in Figure 5 and Figure 6.
Figure 5.
Power load test results.
Figure 6.
Relative error curves of load test.
Figure 5 presents a comparison between the inspection results and actual values of the PSO_ELM, MFO_ELM and IMFO_ELM load inspection models. The test results for the three inspection models were similar in terms of overall trend. However, the overall test results obtained by the IMFO_ELM load inspection model were closest to the original value compared with the PSO_ELM model and the MFO_ELM model. In addition, the degree of fitting was higher. The test results show that the proposed method can effectively deal with non-linearity and uncertainty in the power load because of the superior convergence performance of the IMFO algorithm, resulting in improvement in the stability of prediction of the ELM model. The power inspection method based on load forecasting improves the ability to deal with uncertainty in the power load, thereby improving the ability to detect abnormal loads and, thus, enhancing the efficiency and sustainability of power inspection.
Figure 6 presents the relative error curves of the test values and the actual values for the three monitoring models. The relative errors of the PSO_ELM load inspection model fluctuated the most, followed by those for the MFO_ELM model. The relative errors of the IMFO_ELM model were smaller than those of the other two models at most points and its curves fluctuated slightly nearer to the zero value. Figure 5 and Figure 6 show that the IMFO_ELM load inspection model proposed in this study demonstrated higher accuracy and stability during testing, supporting its use for abnormal data monitoring in electricity inspection.
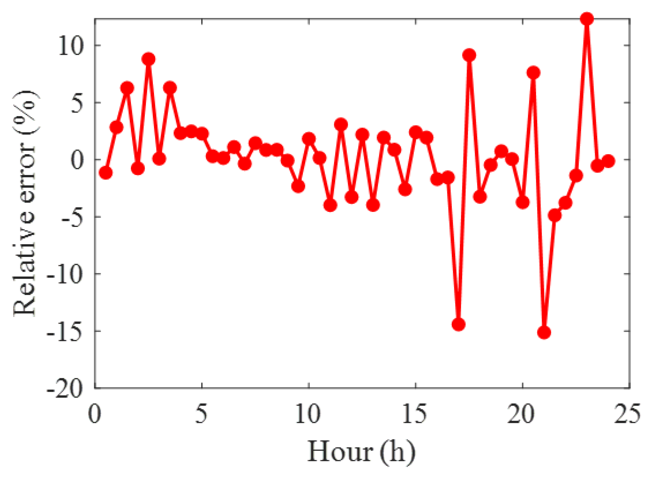
The 24-h load data from the EUNITE competition from 1 January to 6 January were selected as training data, and the load data of 7 January were selected as inspection test data. The IMFO-ELM model was used for load inspection and the inspection values were compared with the actual values. The results of a comparison between the inspection curve obtained and the actual data curve are shown in Figure 7.
Figure 7.
Comparison between inspection curve and actual data curve.
Figure 7 presents a comparison between the load inspection curve obtained by the IMFO_ELM load inspection model and the actual power consumption curve on 7 January. The proposed IMFO_ELM model showed high monitoring accuracy and reliability in load auditing and the overall trend in inspection values and actual power values was consistent. However, there were individual instances where the actual values were very high or low and samples at these moments were used as focal points for electricity inspection for further screening. The proposed approach represents a simple and efficient method based on load inspection for the detection of abnormal data in electricity inspection. To facilitate electricity inspection, the relative errors between the inspection values and the actual values are shown in Figure 8.
Figure 8.
Relative error curve of load inspection.
Figure 8 shows that the relative error between the inspection values and the actual values exceeded ±10% at 17:00, 17:30, 21:00 and 23:30, which were determined to be abnormal datapoints. At 1:00, 2:00, 3:00 and 20:30, the relative errors between the inspection values and the actual values were between ±5% and ±10% and were assessed as suspected abnormal points. The reasons for these anomalies included abnormal data collection by the power department and abnormal power consumption of users. The model and method proposed in this study can screen out abnormal instances in electricity consumption data. This is beneficial for later troubleshooting by the power department and detection of abnormal electricity consumption behavior and can effectively reduce electricity consumption inspection requirements. The abnormal data was identified directly and effectively from massive power consumption data by comparing the relative errors between the inspection values and the actual values, which enabled rapid and efficient execution of electricity inspection.
6. Discussion
The development of new energy generation techniques has, to a great extent, alleviated the problem of power shortages. Such techniques have been developed due to the industrialization and systematization of new energy power generation and its green, clean and sustainable attributes. However, new energy power generation, such as photovoltaic power generation and wind power generation, entails high levels of randomness and volatility, which significantly increases the difficulty of electricity inspection. Electricity inspection is an important part of electric power marketing. Traditional electric power inspection methods have the disadvantages of low efficiency, high fault levels and lengthy procedures, which hinders the sustainable development of electric power firms and reduces their financial returns. Therefore, improving the efficiency of electricity inspection is necessary. An efficient electricity inspection method cannot only improve the management performance of power firms and user experience but can also promote the sustainable development of power marketing businesses, thereby improving their economic benefits.
Electric power marketing has a significant impact on the development of firms, and the effectiveness of marketing determines the overall development level of electric power firms. As an important part of electric power marketing, electricity inspection has a significant impact on the development of electric power firms. The study of electricity inspection methods is of great practical value. To improve the efficiency of electricity inspection and to promote the sustainable development of power firms, this study proposes a load-forecasting-based abnormal load detection method. By analyzing the difference between inspection results and the actual power consumption of users, abnormal data points are screened out quickly and efficiently. Abnormal users can be marked to further determine the cause of abnormalities, which assists electric power departments in investigation and improves user experience. The proposed method contributes to the theoretical development of electricity inspection, improves the economics of electricity inspection and the intelligence available to electric power enterprise management, and promotes the sustainable development of electric power marketing business. The practical usefulness and significance of the proposed method is summarized as follows:
- Economic losses caused by electricity inspection are reduced by improving the efficiency of electricity inspection.
- The efficient electricity inspection method improves the intelligence and informatization level of power enterprise management and promotes the sustainable development of power marketing businesses.
- Improvement in abnormal load data detection accuracy improves user experience and the service level of power firms.
The proposed power inspection method based on IMFO-ELM can deal with uncertainty in the power load. The proposed model and the results are generalizable to other contexts and can help improve the sustainability of power marketing and the economic benefits of power firms. It can be used not only in the field of electricity inspection, but also in other fields, such as pattern recognition, graphic classification, life prediction, etc.
In addition to research on power inspection methods, future research directions and objectives may include effective electricity theft inspection, improvement in inspection business frameworks and the detection of malicious fraud in electrical energy consumption. For example, Kong et al. [44] developed a novel electricity theft inspection method to reduce economic losses of power companies. To improve inspection business frameworks, Xia et al. [45] devised a suspicion-assessment-based inspection algorithm to detect malicious users in a smart grid. Santos et al. [46] developed an effective and scalable system to predict fraud and detect abnormal electricity use.
7. Concluding Remarks
Electricity inspection is key to electric power marketing and has a significant impact on regulating users’ electricity consumption behavior and improving the economic benefits of electric power firms. Efficient electricity inspection methods can not only improve user experience, but can also improve economic efficiency and the availability of intelligence to power firms. A load-monitoring-based electricity inspection method was proposed to improve inspection efficiency and to promote the sustainable development of power firms. The contributions of this study are as follows:
- An IMFO algorithm with strong convergence capability was developed. For different types of test function, the convergence results of the IMFO algorithm were closest to the global optimal solution of 0, indicating that the IMFO algorithm has strong convergence ability.
- The IMFO-ELM load inspection model was constructed by combination with the ELM model. Experimental results showed that, compared with the existing PSO-ELM and MFO-ELM models, the proposed load inspection model had higher monitoring accuracy with inspection error reduced by about 2%, thus, improving the efficiency of electricity inspection and supporting the sustainable development of power firms.
- Abnormal data points were screened out quickly and efficiently by analyzing the difference between the inspection results of the IMFO-ELM model and the actual power consumption of users. Abnormal users were marked to further determine the causes of abnormalities. This can assist electric power departments to improve user experience.
Some limitations of the approach remain. The abnormal data monitoring method based on load forecasting proposed in this study can improve the efficiency and sustainability of electricity inspection to a certain extent. However, the ability of the IMFO-ELM monitoring model to describe load uncertainty requires improvement. In addition, the efficiency of inspection of abnormal data needs to be improved to ensure an intelligent and systematic approach to electricity inspection.
As a novel and popular mathematical programming approach in the performance measurement field, data envelopment analysis has been widely used in electric power and type energy analysis. In future research, stochastic data envelopment analysis, fuzzy data envelopment analysis, and robust data envelopment analysis will be considered to address uncertainty in electric loads.
Author Contributions
Conceptualization, X.T. and Y.Z.; methodology, X.W.; original draft preparation and final version editing, M.T.; software, H.L. and H.Z. All authors have read and agreed to the published version of the manuscript.
Funding
This research received no external funding.
Institutional Review Board Statement
Not applicable.
Informed Consent Statement
Informed consent was obtained from all subjects involved in the study.
Data Availability Statement
Data available on request.
Conflicts of Interest
The authors declare no conflict of interest.
References
- Calamaro, N.; Beck, Y.; Ben Melech, R.; Shmilovitz, D. An Energy-Fraud Detection-System Capable of Distinguishing Frauds from Other Energy Flow Anomalies in an Urban Environment. Sustainability 2021, 13, 10696. [Google Scholar] [CrossRef]
- Xia, X.F.; Xiao, Y.; Liang, W.; Cui, J.T. Detection Methods in Smart Meters for Electricity Thefts: A Survey. Proc. IEEE 2022, 110, 273–319. [Google Scholar] [CrossRef]
- Yan, Z.Z.; Wen, H. Performance Analysis of Electricity Theft Detection for the Smart Grid: An Overview. IEEE Trans. Instrum. Meas. 2022, 71, 2502928. [Google Scholar] [CrossRef]
- Maamar, A.; Benahmed, K. A Hybrid Model for Anomalies Detection in AMI System Combining K-means Clustering and Deep Neural Network. CMC Comput. Mater. Contin. 2019, 60, 15–39. [Google Scholar] [CrossRef]
- Gerasopoulos, S.I.; Manousakis, N.M.; Psomopoulos, C.S. Smart metering in EU and the energy theft problem. Energy Effic. 2022, 15, 12. [Google Scholar] [CrossRef]
- England, B.S.; Alouani, A.T. Internet-based advanced metering and control infrastructure of smart grid. Electr. Eng. 2021, 103, 2989–2996. [Google Scholar] [CrossRef]
- Yip, S.C.; Tan, W.N.; Tan, C.; Gan, M.T.; Wong, K. An anomaly detection framework for identifying energy theft and defective meters in smart grids. Int. J. Electr. Power Energy Syst. 2018, 101, 189–203. [Google Scholar] [CrossRef]
- Wang, Y.; Chen, Q.X.; Kang, C.Q.; Zhang, M.M.; Wang, K.; Zhao, Y. Load Profiling and Its Application to Demand Response: A Review. Tsinghua Sci. Technol. 2015, 20, 117–129. [Google Scholar] [CrossRef]
- Hussain, S.; Mustafa, M.W.; Al-Shqeerat, K.H.A.; Saeed, F.; Al-rimy, B.A.S. A Novel Feature-Engineered-NGBoost Machine-Learning Framework for Fraud Detection in Electric Power Consumption Data. Sensors 2021, 21, 8423. [Google Scholar] [CrossRef]
- Feng, Z.Y.; Huang, J.J.; Tang, W.H.; Shahidehpour, M. Data mining for abnormal power consumption pattern detection based on local matrix reconstruction. Int. J. Electr. Power Energy Syst. 2020, 123, 106315. [Google Scholar] [CrossRef]
- Viegas, J.L.; Esteves, P.R.; Vieira, S.M. Clustering-based novelty detection for identification of non-technical losses. Int. J. Electr. Power Energy Syst. 2018, 101, 301–310. [Google Scholar] [CrossRef]
- Cheng, G.X.; Zhang, Z.M.; Li, Q.L.; Li, Y.; Jin, W.X. Energy Theft Detection in an Edge Data Center Using Deep Learning. Math. Probl. Eng. 2021, 2021, 9938475. [Google Scholar] [CrossRef]
- Qu, Z.W.; Li, H.W.; Wang, Y.J.; Zhang, J.X.; Abu-Siada, A.; Yao, Y.X. Detection of Electricity Theft Behavior Based on Improved Synthetic Minority Oversampling Technique and Random Forest Classifier. Energies 2020, 13, 2039. [Google Scholar] [CrossRef]
- Dai, X.Q.; Sheng, K.C.; Shu, F.Z. Ship power load forecasting based on PSO-SVM. Math. Biosci. Eng. 2022, 19, 4547–4567. [Google Scholar] [CrossRef] [PubMed]
- Rafi, S.H.; Nahid Al, M.; Deeba, S.R.; Hossain, E. A Short-Term Load Forecasting Method Using Integrated CNN and LSTM Network. IEEE Access 2021, 9, 32436–32448. [Google Scholar] [CrossRef]
- Mangat, G.; Divya, D.; Gupta, V.; Sambyal, N. Power Theft Detection Using Deep Neural Networks. Electr. Power Compon. Syst. 2021, 49, 458–473. [Google Scholar] [CrossRef]
- Hasan, M.N.; Toma, R.N.; Abdullah-Al, N.; Islam, M.M.M.; Kim, J.M. Electricity Theft Detection in Smart Grid Systems: A CNN-LSTM Based Approach. Energies 2019, 12, 3310. [Google Scholar] [CrossRef]
- Ding, N.; Ma, H.X.; Gao, H.B.; Ma, Y.H.; Tan, G.Z. Real-time anomaly detection based on long short-Term memory and Gaussian Mixture Model. Comput. Electr. Eng. 2019, 79, 106458. [Google Scholar] [CrossRef]
- Aslam, Z.; Javaid, N.; Ahmad, A.; Ahmed, A.; Gulfam, S.M. A Combined Deep Learning and Ensemble Learning Methodology to Avoid Electricity Theft in Smart Grids. Energies 2020, 13, 5599. [Google Scholar] [CrossRef]
- Arif, A.; Alghamdi, T.A.; Khan, Z.A.; Javaid, N. Towards Efficient Energy Utilization Using Big Data Analytics in Smart Cities for Electricity Theft Detection. Big Data Res. 2022, 27, 100285. [Google Scholar] [CrossRef]
- Akram, R.; Ayub, N.; Khan, I.; Albogamy, F.R.; Rukh, G.; Khan, S.; Rizwan, K. Towards Big Data Electricity Theft Detection Based on Improved RUSBoost Classifiers in Smart Grid. Energies 2021, 14, 8029. [Google Scholar] [CrossRef]
- Banga, A.; Ahuja, R.; Sharma, S.C. Accurate Detection of Electricity Theft Using Classification Algorithms and Internet of Things in Smart Grid. Arab. J. Sci. Eng. 2021, 47, 9583–9599. [Google Scholar] [CrossRef]
- Kong, Z.M.; Xia, Z.; Cui, Y.D.; Lv, H. Probabilistic Forecasting of Short-Term Electric Load Demand: An Integration Scheme Based on Correlation Analysis and Improved Weighted Extreme Learning Machine. Appl. Sci. 2019, 9, 4215. [Google Scholar] [CrossRef]
- Shehzad, F.; Javaid, N.; Aslam, S.; Javed, M.U. Electricity theft detection using big data and genetic algorithm in electric power systems. Electr. Power Syst. Res. 2022, 209, 107975. [Google Scholar] [CrossRef]
- Chen, X.D.; Hai-Yue, Y.; Wun, J.S.; Wu, C.H.; Wang, C.H.; Li, L.L. Power load forecasting in energy system based on improved extreme learning machine. Energy Explor. Exploit. 2020, 38, 1194–1211. [Google Scholar] [CrossRef]
- Fong, C.W.; Asmuni, H.; McCollum, B.; McMullan, P.; Omatu, S. A new hybrid imperialist swarm-based optimization algorithm for university timetabling problems. Inf. Sci. 2014, 283, 1–21. [Google Scholar] [CrossRef]
- Mardani, A.; Zavadskas, E.K.; Streimikiene, D.; Jusoh, A.; Khoshnoudi, M. A comprehensive review of data envelopment analysis (DEA) approach in energy efficiency. Renew. Sustain. Energy Rev. 2017, 70, 1298–1322. [Google Scholar] [CrossRef]
- Zhao, W.; Qiu, Y.; Lu, W.; Yuan, P. Input–output efficiency of Chinese power generation firms and its improvement direction-based on three-stage DEA model. Sustainability 2022, 14, 7421. [Google Scholar] [CrossRef]
- Tavassoli, M.; Ketabi, S.; Ghandehari, M. Developing a network DEA model for sustainability analysis of Iran’s electricity distribution network. Int. J. Electr. Power Energy Syst. 2020, 122, 106187. [Google Scholar] [CrossRef]
- Jiang, R.; Lu, R.X.; Wang, Y.; Luo, J.; Shen, C.X.; Shen, X.M. Energy-Theft Detection Issues for Advanced Metering Infrastructure in Smart Grid. Tsinghua Sci. Technol. 2014, 19, 105–120. [Google Scholar] [CrossRef]
- Chang, M.W.; Chen, B.J.; Lin, C.J. EUNITE Network Competition: Electricity Load Forecasting; National Taiwan University: Taipei, China, 2001. [Google Scholar]
- Wang, Y.; Chen, Q.X.; Hong, T.; Kang, C.Q. Review of Smart Meter Data Analytics: Applications, Methodologies, and Challenges. IEEE Trans. Smart Grid 2019, 10, 3125–3148. [Google Scholar] [CrossRef]
- Wang, Z.; Hong, T.Z.; Piette, M.A. Building thermal load prediction through shallow machine learning and deep learning. Appl. Energy 2020, 263, 114683. [Google Scholar] [CrossRef]
- Mirijalili, S. Moth-flame optimization algorithm: A novel nature-inspired heuristic paradigm. Knowl.-Based Syst. 2015, 89, 228–249. [Google Scholar] [CrossRef]
- Liu, Z.F.; Li, L.L.; Liu, Y.W.; Liu, J.Q.; Li, H.Y.; Shen, Q. Dynamic economic emission dispatch considering renewable energy generation: A novel multi-objective optimization approach. Energy 2021, 235, 121407. [Google Scholar] [CrossRef]
- Li, L.L.; Liu, Z.F.; Tseng, M.L.; Zheng, S.J.; Lim, M.K. Improved tunicate swarm algorithm: Solving the dynamic economic emission dispatch problems. Appl. Soft Comput. 2021, 108, 107504. [Google Scholar] [CrossRef]
- Abdalla, A.N.; Ju, Y.; Nazir, M.S.; Tao, H.A. Robust Economic Framework for Integrated Energy Systems Based on Hybrid Shuffled Frog-Leaping and Local Search Algorithm. Sustainability 2022, 14, 10660. [Google Scholar] [CrossRef]
- Hassan, M.H.; Kamel, S.; Domínguez-García, J.L.; El-Naggar, M.F. MSSA-DEED: A Multi-Objective Salp Swarm Algorithm for Solving Dynamic Economic Emission Dispatch Problems. Sustainability 2022, 14, 9785. [Google Scholar] [CrossRef]
- Lee, O.; Joo, H.; Choi, H.; Cheon, M. Proposing an Integrated Approach to Analyzing ESG Data via Machine Learning and Deep Learning Algorithms. Sustainability 2022, 14, 8745. [Google Scholar] [CrossRef]
- Gao, S.; Sun, H.; Wang, J.; Liu, W. Evaluation and Countermeasures of High-Quality Development of China’s Marine Economy Based on PSO-SVM. Sustainability 2022, 14, 10749. [Google Scholar] [CrossRef]
- Zhao, Y.; Qin, X.; Shi, X. A Comprehensive Evaluation Model on Optimal Operational Schedules for Battery Energy Storage System by Maximizing Self-Consumption Strategy and Genetic Algorithm. Sustainability 2022, 14, 8821. [Google Scholar] [CrossRef]
- Coello, C.A.C.; Pulido, G.T.; Lechuga, M.S. Handling multiple objectives with particle swarm optimization. IEEE Trans. Evol. Comput. 2004, 8, 256–279. [Google Scholar] [CrossRef]
- Askarzadeh, A. A novel metaheuristic method for solving constrained engineering optimization problems: Crow search algorithm. Comput. Struct. 2016, 169, 1–12. [Google Scholar] [CrossRef]
- Kong, X.Y.; Zhao, X.; Liu, C.; Li, Q.S.; Dong, D.L.; Li, Y. Electricity theft detection in low-voltage stations based on similarity measure and DT-KSVM. Int. J. Electr. Power Energy Syst. 2021, 125, 106544. [Google Scholar] [CrossRef]
- Xia, X.F.; Xiao, Y.; Liang, W. SAI: A Suspicion Assessment-Based Inspection Algorithm to Detect Malicious Users in Smart Grid. IEEE Trans. Inf. Forensics Secur. 2020, 15, 361–374. [Google Scholar] [CrossRef]
- Santos, R.N.; Yamouni, S.; Albiero, B.; Vicente, R.; Silva, J.A.; Souza, T.F.B.; Souza, M.C.M.F.; Lei, Z. Gradient boosting and Shapley additive explanations for fraud detection in electricity distribution grids. Int. Trans. Electr. Energy Syst. 2021, 31, e13046. [Google Scholar] [CrossRef]
Publisher’s Note: MDPI stays neutral with regard to jurisdictional claims in published maps and institutional affiliations. |
© 2022 by the authors. Licensee MDPI, Basel, Switzerland. This article is an open access article distributed under the terms and conditions of the Creative Commons Attribution (CC BY) license (https://creativecommons.org/licenses/by/4.0/).







