Eastern Poland Consumer Awareness of Innovative Active and Intelligent Packaging in the Food Industry: Exploratory Studies
Abstract
1. Introduction
2. Literature Review
2.1. Intelligent Packaging
2.2. Active Packaging
3. Materials and Methods
3.1. Study Design: The Choice of the Research Method and Study Area
3.2. Survey Questionnaire as a Research Tool
3.3. Research Sample
3.4. Data Analysis
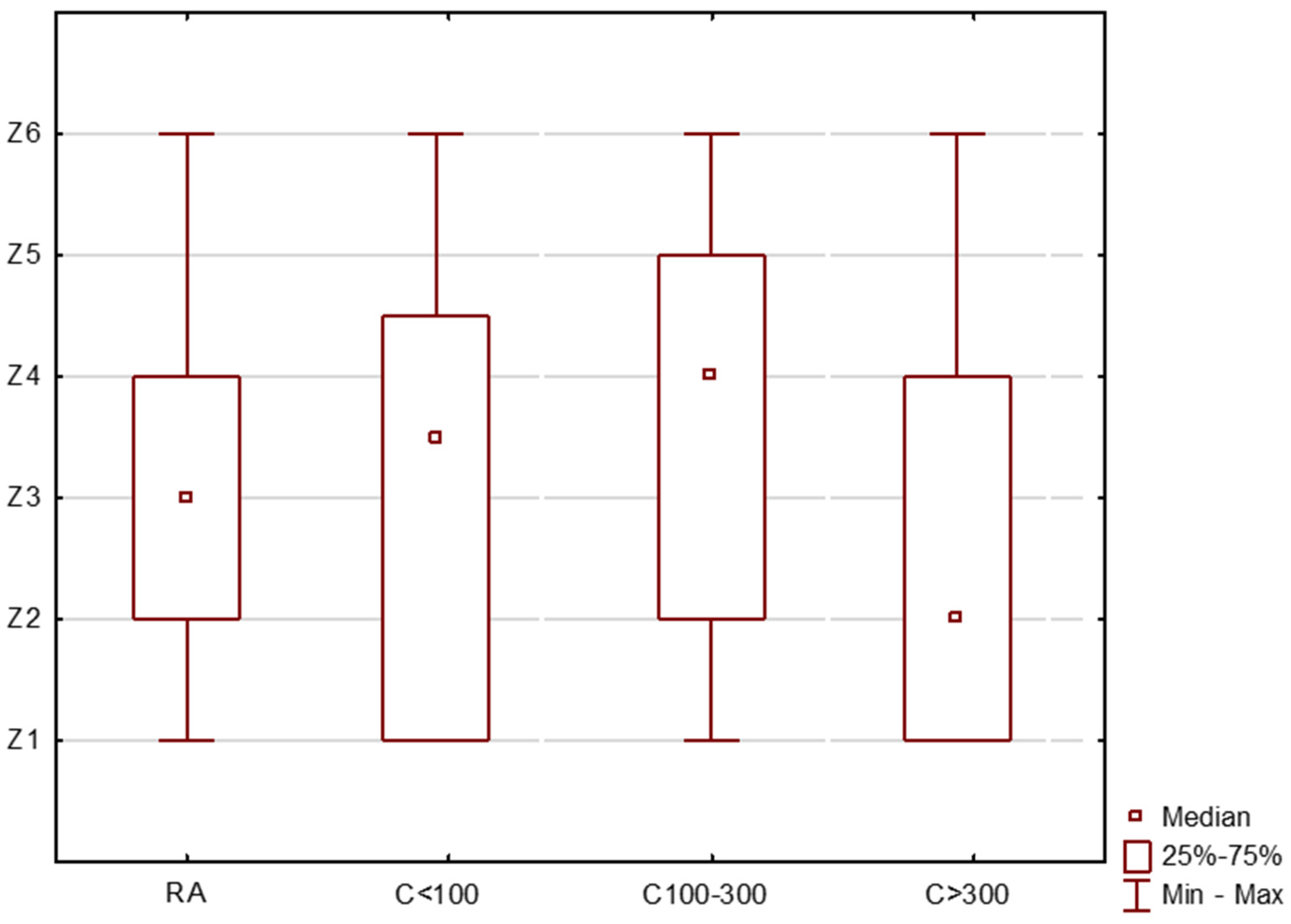
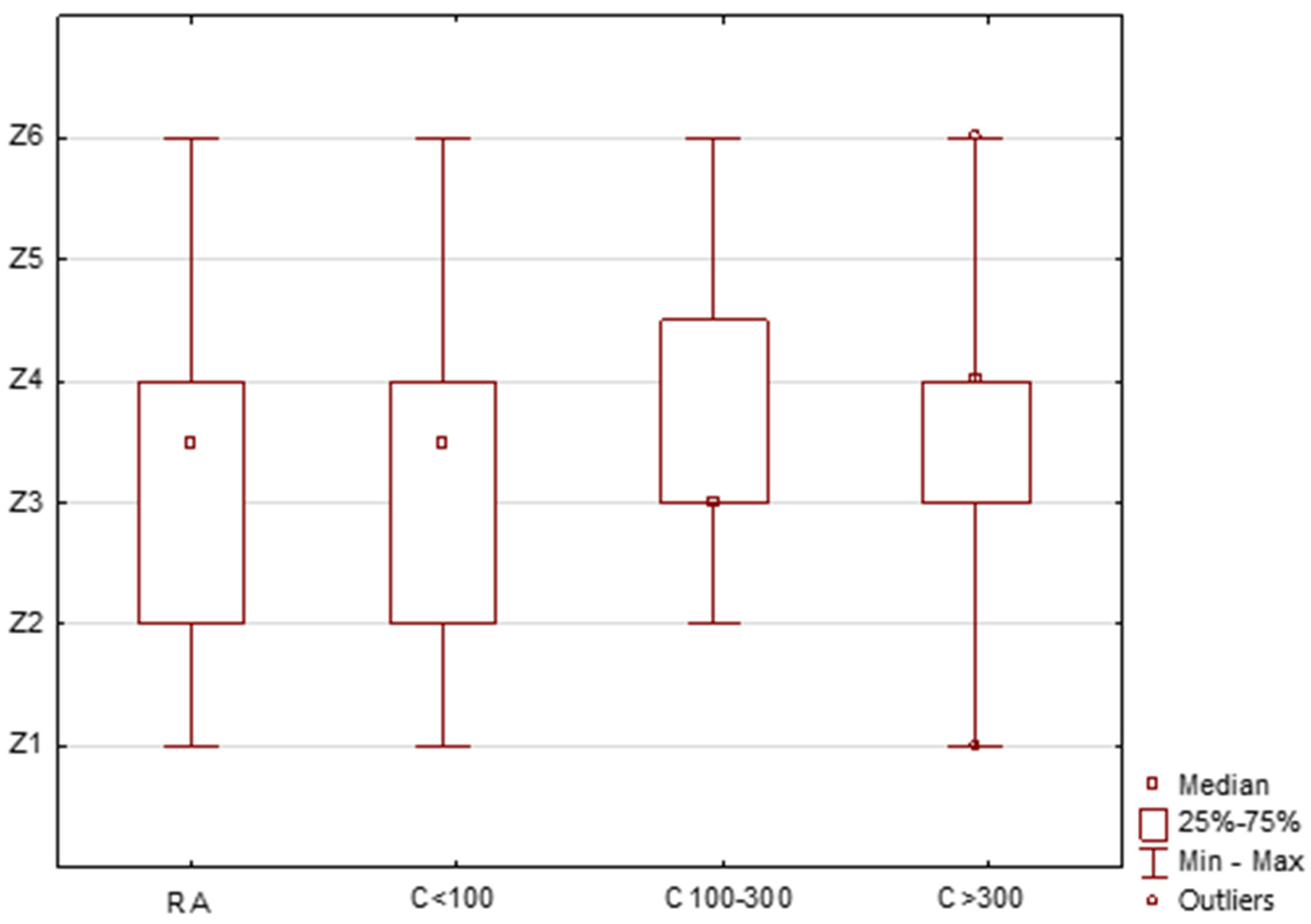
4. Results and Discussion
5. Conclusions
Author Contributions
Funding
Institutional Review Board Statement
Informed Consent Statement
Data Availability Statement
Conflicts of Interest
References
- Schaefer, D.; Cheung, W.M. Smart Packaging: Opportunities and Challenges. Procedia CIRP 2018, 72, 1022–1027. [Google Scholar] [CrossRef]
- Yildirim, S.; Röcker, B.; Pettersen, M.K.; Nilsen-Nygaard, J.; Ayhan, Z.; Rutkaite, R.; Radusin, T.; Suminska, P.; Marcos, B.; Coma, V. Active Packaging Applications for Food. Compr. Rev. Food Sci. Food Saf. 2018, 17, 165–199. [Google Scholar] [CrossRef]
- Vanderroost, M.; Ragaert, P.; Devlieghere, F.; De Meulenaer, B. Intelligent Food Packaging: The next Generation. Trends Food Sci. Technol. 2014, 39, 47–62. [Google Scholar] [CrossRef]
- Robertson, G.L. Food Packaging: Principles and Practice; CRC Press: Boca Raton, FL, USA, 2005. [Google Scholar]
- Han, J.-W.; Ruiz-Garcia, L.; Qian, J.-P.; Yang, X.-T. Food Packaging: A Comprehensive Review and Future Trends. Compr. Rev. Food Sci. Food Saf. 2018, 17, 860–877. [Google Scholar] [CrossRef]
- Sharma, R.; Ghoshal, G. Emerging Trends in Food Packaging. Nutr. Food Sci. 2018, 48, 764–779. [Google Scholar] [CrossRef]
- Santeramo, F.G.; Carlucci, D.; De Devitiis, B.; Seccia, A.; Stasi, A.; Viscecchia, R.; Nardone, G. Emerging Trends in European Food, Diets and Food Industry. Food Res. Int. 2018, 104, 39–47. [Google Scholar] [CrossRef] [PubMed]
- Kalpana, S.; Priyadarshini, S.R.; Leena, M.M.; Moses, J.A.; Anandharamakrishnan, C. Intelligent Packaging: Trends and Applications in Food Systems. Trends Food Sci. Technol. 2019, 93, 145–157. [Google Scholar] [CrossRef]
- Nile, S.H.; Baskar, V.; Selvaraj, D.; Nile, A.; Xiao, J.; Kai, G. Nanotechnologies in Food Science: Applications, Recent Trends, and Future Perspectives. Nano-Micro Lett. 2020, 12, 1–34. [Google Scholar] [CrossRef]
- Schumann, B.; Schmid, M. Packaging Concepts for Fresh and Processed Meat–Recent Progresses. Innov. Food Sci. Emerg. Technol. 2018, 47, 88–100. [Google Scholar] [CrossRef]
- Wu, D.; Zhang, M.; Chen, H.; Bhandari, B. Freshness Monitoring Technology of Fish Products in Intelligent Packaging. Crit. Rev. Food Sci. Nutr. 2021, 61, 1279–1292. [Google Scholar] [CrossRef]
- Cheung, W.M.; Leong, J.T.; Vichare, P. Incorporating Lean Thinking and Life Cycle Assessment to Reduce Environmental Impacts of Plastic Injection Moulded Products. J. Clean. Prod. 2017, 167, 759–775. [Google Scholar] [CrossRef]
- Majid, I.; Nayik, G.A.; Dar, S.M.; Nanda, V. Novel Food Packaging Technologies: Innovations and Future Prospective. J. Saudi Soc. Agric. Sci. 2018, 17, 454–462. [Google Scholar] [CrossRef]
- Firouz, M.S.; Mohi-Alden, K.; Omid, M. A Critical Review on Intelligent and Active Packaging in the Food Industry: Research and Development. Food Res. Int. 2021, 141, 110113. [Google Scholar] [CrossRef]
- Yam, K.L.; Takhistov, P.T.; Miltz, J. Intelligent Packaging: Concepts and Applications. J. Food Sci. 2005, 70, R1–R10. [Google Scholar] [CrossRef]
- Otles, S.; Yalcin, B. Intelligent Food Packaging. LogForum 2008, 4, 3. [Google Scholar]
- Kerry, J.P.; O’grady, M.N.; Hogan, S.A. Past, Current and Potential Utilisation of Active and Intelligent Packaging Systems for Meat and Muscle-Based Products: A Review. Meat Sci. 2006, 74, 113–130. [Google Scholar] [CrossRef]
- Rooney, M.L. Overview of active food packaging. In Active Food Packaging; Springer: Berlin/Heidelberg, Germany, 1995; pp. 1–37. [Google Scholar]
- Miltz, J.; Passy, N.; Mannheim, C.H. Trends and Applications of Active Packaging Systems. Spec. Publ.-R. Soc. Chem. 1995, 162, 201. [Google Scholar]
- Ghaani, M.; Cozzolino, C.A.; Castelli, G.; Farris, S. An Overview of the Intelligent Packaging Technologies in the Food Sector. Trends Food Sci. Technol. 2016, 51, 1–11. [Google Scholar] [CrossRef]
- Commission, E. Commission Regulation (EC) No 450/2009 of 29 May 2009 on Active and Intelligent Materials and Articles Intended to Come into Contact with Food. J. Eur. Union. 2009, 135, 3–11. [Google Scholar]
- Pałkowska, A.; Steinka, I. Opakowania Aktywne i Inteligentne w Świadomości Konsumentów. Zesz. Nauk. Akad. Morskiej W Gdyni 2013, 80, 35–42. [Google Scholar]
- Dainelli, D.; Gontard, N.; Spyropoulos, D.; Zondervan-van den Beuken, E.; Tobback, P. Active and Intelligent Food Packaging: Legal Aspects and Safety Concerns. Trends Food Sci. Technol. 2008, 19, S103–S112. [Google Scholar] [CrossRef]
- Realini, C.E.; Marcos, B. Active and Intelligent Packaging Systems for a Modern Society. Meat Sci. 2014, 98, 404–419. [Google Scholar] [CrossRef]
- Kuswandi, B.; Wicaksono, Y.; Abdullah, A.; Heng, L.Y.; Ahmad, M. Smart Packaging: Sensors for Monitoring of Food Quality and Safety. Sens. Instrum. Food Qual. Saf. 2011, 5, 137–146. [Google Scholar] [CrossRef]
- Prasad, P.; Kochhar, A. Active Packaging in Food Industry: A Review. J. Environ. Sci. Toxicol. Food Technol. 2014, 8, 1–7. [Google Scholar] [CrossRef]
- Müller, P.; Schmid, M. Intelligent Packaging in the Food Sector: A Brief Overview. Foods 2019, 8, 16. [Google Scholar] [CrossRef]
- Ahmed, I.; Lin, H.; Zou, L.; Li, Z.; Brody, A.L.; Qazi, I.M.; Lv, L.; Pavase, T.R.; Khan, M.U.; Khan, S. An Overview of Smart Packaging Technologies for Monitoring Safety and Quality of Meat and Meat Products. Packag. Technol. Sci. 2018, 31, 449–471. [Google Scholar] [CrossRef]
- Fang, Z.; Zhao, Y.; Warner, R.D.; Johnson, S.K. Active and Intelligent Packaging in Meat Industry. Trends Food Sci. Technol. 2017, 61, 60–71. [Google Scholar] [CrossRef]
- Endoza, T.M.; Welt, B.A.; Otwell, S.; Teixeira, A.A.; Kristonsson, H.; Balaban, M.O. Kinetic Parameter Estimation of Time-Temperature Integrators Intended for Use with Packaged Fresh Seafood. J. Food Sci. 2004, 69, FMS90–FMS96. [Google Scholar] [CrossRef]
- Wang, S.; Liu, X.; Yang, M.; Zhang, Y.; Xiang, K.; Tang, R. Review of Time Temperature Indicators as Quality Monitors in Food Packaging. Packag. Technol. Sci. 2015, 28, 839–867. [Google Scholar] [CrossRef]
- Mohebi, E.; Marquez, L. Intelligent Packaging in Meat Industry: An Overview of Existing Solutions. J. Food Sci. Technol. 2015, 52, 3947–3964. [Google Scholar] [CrossRef]
- Pavelková, A. Time Temperature Indicators as Devices Intelligent Packaging. Acta Univ. Agric. Silvic. Mendel. Brun. 2013, 61, 245–251. [Google Scholar] [CrossRef]
- Meng, X.; Kim, S.; Puligundla, P.; Ko, S. Carbon Dioxide and Oxygen Gas Sensors-Possible Application for Monitoring Quality, Freshness, and Safety of Agricultural and Food Products with Emphasis on Importance of Analytical Signals and Their Transformation. J. Korean Soc. Appl. Biol. Chem. 2014, 57, 723–733. [Google Scholar] [CrossRef]
- Roberts, L.; Lines, R.; Reddy, S.; Hay, J. Investigation of Polyviologens as Oxygen Indicators in Food Packaging. Sens. Actuators B Chem. 2011, 152, 63–67. [Google Scholar] [CrossRef]
- Chowdhury, E.U.; Morey, A. Intelligent Packaging for Poultry Industry. J. Appl. Poult. Res. 2019, 28, 791–800. [Google Scholar] [CrossRef]
- Alizadeh, A.M.; Masoomian, M.; Shakooie, M.; Khajavi, M.Z.; Farhoodi, M. Trends and Applications of Intelligent Packaging in Dairy Products: A Review. Crit. Rev. Food Sci. Nutr. 2021, 62, 383–397. [Google Scholar] [CrossRef]
- Wang, Y.-C. 325 Biosensors and Intelligent Packaging to Improve Food Safety. J. Anim. Sci. 2020, 98, 64. [Google Scholar] [CrossRef]
- Vasilescu, A.; Polonschii, C.; Titoiu, A.M.; Mishra, R.; Peteu, S.; Marty, J.-L. Bioassays and biosensors for food analysis: Focus on allergens and food packaging. In Commercial Biosensors and Their Applications; Elsevier: Amsterdam, The Netherlands, 2020; pp. 217–258. [Google Scholar]
- Kumar, P.; Reinitz, H.W.; Simunovic, J.; Sandeep, K.P.; Franzon, P.D. Overview of RFID Technology and Its Applications in the Food Industry. J. Food Sci. 2009, 74, R101–R106. [Google Scholar] [CrossRef]
- McFarlane, D.; Sheffi, Y. The Impact of Automatic Identification on Supply Chain Operations; University of Cambridge, Department of Engineering: Cambridge, UK, 2003. [Google Scholar]
- Brockgreitens, J.; Abbas, A. Responsive Food Packaging: Recent Progress and Technological Prospects. Compr. Rev. Food Sci. Food Saf. 2016, 15, 3–15. [Google Scholar] [CrossRef]
- Sivertsvik, M. Lessons from other commodities: Fish and meat. In Intelligent and Active Packaging for Fruits and Vegetables; Wilson, C.L., Ed.; CRC Press: Boca Raton, FL, USA, 2007; pp. 151–161. [Google Scholar]
- Biji, K.B.; Ravishankar, C.N.; Mohan, C.O.; Gopal, T.K.S. Smart Packaging Systems for Food Applications: A Review. J. Food Sci. Technol. 2015, 52, 6125–6135. [Google Scholar] [CrossRef]
- Arvanitoyannis, I.S.; Stratakos, A.C. Application of Modified Atmosphere Packaging and Active/Smart Technologies to Red Meat and Poultry: A Review. Food Bioprocess Technol. 2012, 5, 1423–1446. [Google Scholar] [CrossRef]
- Restuccia, D.; Spizzirri, U.G.; Parisi, O.I.; Cirillo, G.; Curcio, M.; Iemma, F.; Puoci, F.; Vinci, G.; Picci, N. New EU Regulation Aspects and Global Market of Active and Intelligent Packaging for Food Industry Applications. Food Control. 2010, 21, 1425–1435. [Google Scholar] [CrossRef]
- Bolumar, T.; Andersen, M.L.; Orlien, V. Antioxidant Active Packaging for Chicken Meat Processed by High Pressure Treatment. Food Chem. 2011, 129, 1406–1412. [Google Scholar] [CrossRef]
- Alves, J.; Gaspar, P.D.; Lima, T.M.; Silva, P.D. What Is the Role of Active Packaging in the Future of Food Sustainability? A Systematic Review. J. Sci. Food Agric. 2022. [Google Scholar] [CrossRef]
- Azevedo, S.; Cunha, L.M.; Mahajan, P.V.; Fonseca, S.C. Application of Simplex Lattice Design for Development of Moisture Absorber for Oyster Mushrooms. Procedia Food Sci. 2011, 1, 184–189. [Google Scholar] [CrossRef][Green Version]
- Llorens, A.; Lloret, E.; Picouet, P.A.; Trbojevich, R.; Fernandez, A. Metallic-Based Micro and Nanocomposites in Food Contact Materials and Active Food Packaging. Trends Food Sci. Technol. 2012, 24, 19–29. [Google Scholar] [CrossRef]
- Álvarez-Hernández, M.H.; Martínez-Hernández, G.B.; Avalos-Belmontes, F.; Castillo-Campohermoso, M.A.; Contreras-Esquivel, J.C.; Artés-Hernández, F. Potassium Permanganate-Based Ethylene Scavengers for Fresh Horticultural Produce as an Active Packaging. Food Eng. Rev. 2019, 11, 159–183. [Google Scholar] [CrossRef]
- Dey, A.; Neogi, S. Oxygen Scavengers for Food Packaging Applications: A Review. Trends Food Sci. Technol. 2019, 90, 26–34. [Google Scholar] [CrossRef]
- Lee, D.S. Carbon Dioxide Absorbers for Food Packaging Applications. Trends Food Sci. Technol. 2016, 57, 146–155. [Google Scholar] [CrossRef]
- Drago, E.; Campardelli, R.; Pettinato, M.; Perego, P. Innovations in Smart Packaging Concepts for Food: An Extensive Review. Foods 2020, 9, 1628. [Google Scholar] [CrossRef]
- de Abreu, D.A.P.; Cruz, J.M.; Losada, P.P. Active and Intelligent Packaging for the Food Industry. Food Rev. Int. 2012, 28, 146–187. [Google Scholar] [CrossRef]
- Suppakul, P.; Miltz, J.; Sonneveld, K.; Bigger, S.W. Active Packaging Technologies with an Emphasis on Antimicrobial Packaging and Its Applications. J. Food Sci. 2003, 68, 408–420. [Google Scholar] [CrossRef]
- Haghighi-Manesh, S.; Azizi, M.H. Active Packaging Systems with Emphasis on Its Applications in Dairy Products. J. Food Process Eng. 2017, 40, e12542. [Google Scholar] [CrossRef]
- Davies, M.B.; Hughes, N. Doing a Successful Research Project: Using Qualitative or Quantitative Methods; Bloomsbury Publishing: London, UK, 2014. [Google Scholar]
- Merriam, S.B.; Tisdell, E.J. Qualitative Research: A Guide to Design and Implementation; John and Wiley and Sons: Hoboken, NJ, USA, 2015. [Google Scholar]
- Rosner, A.; Stanny, M. Monitoring Rozwoju Obszarów Wiejskich. Etap I. Przestrzenne Zróżnicowanie Rozwoju Spo\leczno-Gospodarczego Obszarów Wiejskich w 2010; Roku: San Jose, CA, USA, 2014. [Google Scholar]
- Patton, M.Q. Qualitative Evaluation and Research Methods; SAGE Publications, Inc.: Thousand Oaks, CA, USA, 1990. [Google Scholar]
- Creswell, J.W.; Creswell, J.D. Research Design: Qualitative, Quantitative, and Mixed Methods Approaches; Sage Publications: Thousand Oaks, CA, USA, 2017. [Google Scholar]
- Andersen, E.B. Introduction to the Statistical Analysis of Categorical Data; Springer Science & Business Media: Berlin/Heidelberg, Germany, 1997; ISBN 3-540-62399-X. [Google Scholar]
- Greenacre, M.; Blasius, J. Multiple Correspondence Analysis and Related Methods; Chapman and Hall/CRC: London, UK; Boca Raton, FL, USA, 2006; ISBN 0-429-14196-3. [Google Scholar]
- Greenacre, M.J. Theory and Applications of Correspondence Analysis; Academic Press: London, UK, 1984. [Google Scholar]
- Stanimir, A. Analiza Korespondencji Jako Narzędzie Do Badania Zjawisk Ekonomicznych (Correspondence Analysis as a Tool for the Study Economic Factors); Wydawnictwo AE we Wrocławiu: Wrocław, Poland, 2005. [Google Scholar]
- Brennan, J.G.; Grandison, A.S. Food Processing Handbook; John Wiley and Sons: London, UK, 2012. [Google Scholar]
- Pennanen, K.; Focas, C.; Kumpusalo-Sanna, V.; Keskitalo-Vuokko, K.; Matullat, I.; Ellouze, M.; Pentikäinen, S.; Smolander, M.; Korhonen, V.; Ollila, M. European Consumers’ Perceptions of Time–Temperature Indicators in Food Packaging. Packag. Technol. Sci. 2015, 28, 303–323. [Google Scholar] [CrossRef]
- Erdem, S. Consumers’ Preferences for Nanotechnology in Food Packaging: A Discrete Choice Experiment. J. Agric. Econ. 2015, 66, 259–279. [Google Scholar] [CrossRef]
- Loucanova, E.; Kalamarova, M.; Parobek, J. The Innovative Approaches to Packaging–Comparison Analysis of Intelligent and Active Packaging Perceptions in Slovakia. Stud. Univ. Vasile Goldiș Arad Ser. Științe Econ. 2017, 27, 33–44. [Google Scholar] [CrossRef]
- Kocetkovs, V.; Muizniece-Brasava, S.; Kirse-Ozolina, A. Consumer awareness and attitudes towards active and intelligent packaging systems in the Latvian market. In Proceedings of the Baltic Conference on Food Science and Technology: Conference proceedings, Jelgava, Latvia, 2–3 May 2019; pp. 222–226. [Google Scholar]
- Dopico, A. The consumer perceived value: Development of a measurement scale for package functions. In Proceedings of the Proceedings of the ActInPak Conference Application & Communication, Tzuba, Israel, 7–9 November 2017; pp. 7–9. [Google Scholar]
- Barska, A.; Wyrwa, J. Consumer Perception of Active Intelligent Food Packaging. Probl. Agric. Econ. 2016, 4, 139–159. [Google Scholar]
- Nosalova, M.; Loucanova, E.; Parobek, J. Perception of Packaging Functions and the Interest in Intelligent and Active Packaging. Probl. Agric. Econ. Ekon. Rolnej 2018, 4, 141–152. [Google Scholar]
- O’Callaghan, K.A.; Kerry, J.P. Consumer Attitudes towards the Application of Smart Packaging Technologies to Cheese Products. Food Packag. Shelf Life 2016, 9, 1–9. [Google Scholar] [CrossRef]
- Licciardello, F. Packaging, Blessing in Disguise. Review on Its Diverse Contribution to Food Sustainability. Trends Food Sci. Technol. 2017, 65, 32–39. [Google Scholar] [CrossRef]
- Boz, Z.; Korhonen, V.; Sand, C.K. Consumer Considerations for the Implementation of Sustainable Packaging: A Review. Sustainability 2020, 12, 2192. [Google Scholar] [CrossRef]
- Tiekstra, S.; Dopico-Parada, A.; Koivula, H.; Lahti, J.; Buntinx, M. Holistic Approach to a Successful Market Implementation of Active and Intelligent Food Packaging. Foods 2021, 10, 465. [Google Scholar] [CrossRef]
- Silayoi, P.; Speece, M. Packaging and Purchase Decisions: An Exploratory Study on the Impact of Involvement Level and Time Pressure. Br. Food J. 2004, 106, 607–628. [Google Scholar] [CrossRef]
- Wyrwa, J.; Barska, A. Innovations in the Food Packaging Market: Active Packaging. Eur. Food Res. Technol. 2017, 243, 1681–1692. [Google Scholar] [CrossRef]
- Konstantoglou, A.; Folinas, D.; Fotiadis, T. Investigating Food Packaging Elements from a Consumer’s Perspective. Foods 2020, 9, 1097. [Google Scholar] [CrossRef]
- Bahrainizad, M.; Rajabi, A. Consumers’ Perception of Usability of Product Packaging and Impulse Buying: Considering Consumers’ Mood and Time Pressure as Moderating Variables. J. Islam. Mark. 2018, 9, 262–282. [Google Scholar] [CrossRef]
- Rundh, B. Linking Packaging to Marketing: How Packaging Is Influencing the Marketing Strategy. Br. Food J. 2013, 115, 1547–1563. [Google Scholar] [CrossRef]
- Spence, C.; Motoki, K.; Petit, O. Factors Influencing the Visual Deliciousness/Eye-Appeal of Food. Food Qual. Prefer. 2022, 102, 104672. [Google Scholar] [CrossRef]
- Peters-Texeira, A.; Badrie, N. Consumers’ Perception of Food Packaging in Trinidad, West Indies and Its Related Impact on Food Choices. Int. J. Consum. Stud. 2005, 29, 508–514. [Google Scholar] [CrossRef]
- Beardsworth, A.; Bryman, A.; Keil, T.; Goode, J.; Haslam, C.; Lancashire, E. Women, Men and Food: The Significance of Gender for Nutritional Attitudes and Choices. Br. Food J. 2002, 104, 470–491. [Google Scholar] [CrossRef]
- Vila-Lopez, N.; Kuster-Boluda, I. Adolescents’ Food Packaging Perceptions. Does Gender Matter When Weight Control and Health Motivations Are Considered? Food Qual. Prefer. 2016, 52, 179–187. [Google Scholar] [CrossRef]
- Machiels, C.J.; Karnal, N. See How Tasty It Is? Effects of Symbolic Cues on Product Evaluation and Taste. Food Qual. Prefer. 2016, 52, 195–202. [Google Scholar] [CrossRef]
- Bimler, D.L.; Kirkland, J.; Jameson, K.A. Quantifying Variations in Personal Color Spaces: Are There Sex Differences in Color Vision? Color Res. Appl. 2004, 29, 128–134. [Google Scholar] [CrossRef]
- Rodríguez-Carmona, M.; Sharpe, L.T.; Harlow, J.A.; Barbur, J.L. Sex-Related Differences in Chromatic Sensitivity. Vis. Neurosci. 2008, 25, 433–440. [Google Scholar] [CrossRef] [PubMed]
- Popovic, I.; Bossink, B.A.; van der Sijde, P.C. Factors Influencing Consumers’ Decision to Purchase Food in Environmentally Friendly Packaging: What Do We Know and Where Do We Go from Here? Sustainability 2019, 11, 7197. [Google Scholar] [CrossRef]
- Löfgren, M.; Witell, L. Kano’s Theory of Attractive Quality and Packaging. Qual. Manag. J. 2005, 12, 7–20. [Google Scholar] [CrossRef]
- Loučanová, E.; Nosálová, M.; Parobek, J.; Dopico, A. The Kano Model Use to Evaluate the Perception of Intelligent and Active Packaging of Slovak Customers. Stud. Univ. Vasile Goldiș Arad Ser. Științe Econ. 2018, 28, 35–45. [Google Scholar]
- Chen, Q.; Anders, S.; An, H. Measuring Consumer Resistance to a New Food Technology: A Choice Experiment in Meat Packaging. Food Qual. Prefer. 2013, 28, 419–428. [Google Scholar] [CrossRef]
- Aday, M.S.; Yener, U. Assessing Consumers’ Adoption of Active and Intelligent Packaging. Br. Food J. 2015, 117, 157–177. [Google Scholar] [CrossRef]





| Description | Characteristic |
|---|---|
| Research objectives |
|
| Research object | Individual food consumers |
| Type of research | Qualitative research |
| Research method and technique | Online survey |
| Research tools | Proprietary survey questionnaire posted on the Google platform |
| Selection of units for research | Nonrandom, targeted |
| Sample selection criteria | Individual food consumers, a group differentiated by gender, age, place of residence |
| Sample size | 488 people |
| Spatial scope | Eastern Poland |
| Time range | May–September 2022 |
| Number of Dimensions | Eigenvalues and Inertia, Total Inertia = 0.15987 χ2 = 75.30 df = 56 p = 0.04384 | ||||
|---|---|---|---|---|---|
| Singular Value | Eigenvalues | Percentage of Inertia | Cumulative Percentage | χ 2 | |
| 1 | 0.319847 | 0.102302 | 63.98960 | 63.9896 | 48.18442 |
| 2 | 0.183407 | 0.033638 | 21.04038 | 85.0300 | 15.84349 |
| 3 | 0.122652 | 0.015044 | 9.40967 | 94.4397 | 7.08551 |
| 4 | 0.081764 | 0.006685 | 4.18163 | 98.6213 | 3.14878 |
| 5 | 0.033719 | 0.001137 | 0.71119 | 99.3325 | 0.53553 |
| 6 | 0.029574 | 0.000875 | 0.54706 | 99.8795 | 0.41194 |
| 7 | 0.013878 | 0.000193 | 0.12047 | 100.0000 | 0.09071 |
Publisher’s Note: MDPI stays neutral with regard to jurisdictional claims in published maps and institutional affiliations. |
© 2022 by the authors. Licensee MDPI, Basel, Switzerland. This article is an open access article distributed under the terms and conditions of the Creative Commons Attribution (CC BY) license (https://creativecommons.org/licenses/by/4.0/).
Share and Cite
Stoma, M.; Dudziak, A. Eastern Poland Consumer Awareness of Innovative Active and Intelligent Packaging in the Food Industry: Exploratory Studies. Sustainability 2022, 14, 13691. https://doi.org/10.3390/su142013691
Stoma M, Dudziak A. Eastern Poland Consumer Awareness of Innovative Active and Intelligent Packaging in the Food Industry: Exploratory Studies. Sustainability. 2022; 14(20):13691. https://doi.org/10.3390/su142013691
Chicago/Turabian StyleStoma, Monika, and Agnieszka Dudziak. 2022. "Eastern Poland Consumer Awareness of Innovative Active and Intelligent Packaging in the Food Industry: Exploratory Studies" Sustainability 14, no. 20: 13691. https://doi.org/10.3390/su142013691
APA StyleStoma, M., & Dudziak, A. (2022). Eastern Poland Consumer Awareness of Innovative Active and Intelligent Packaging in the Food Industry: Exploratory Studies. Sustainability, 14(20), 13691. https://doi.org/10.3390/su142013691

