Characteristics of Acoustic Emission Response during Granite Splitting after High Temperature-Water Cooling Cycles
Abstract
1. Introduction
2. Specimen Preparation and Test Program
2.1. Specimen Preparation
2.2. Specimen Handling and Loading Scheme
3. Analysis of Test Results
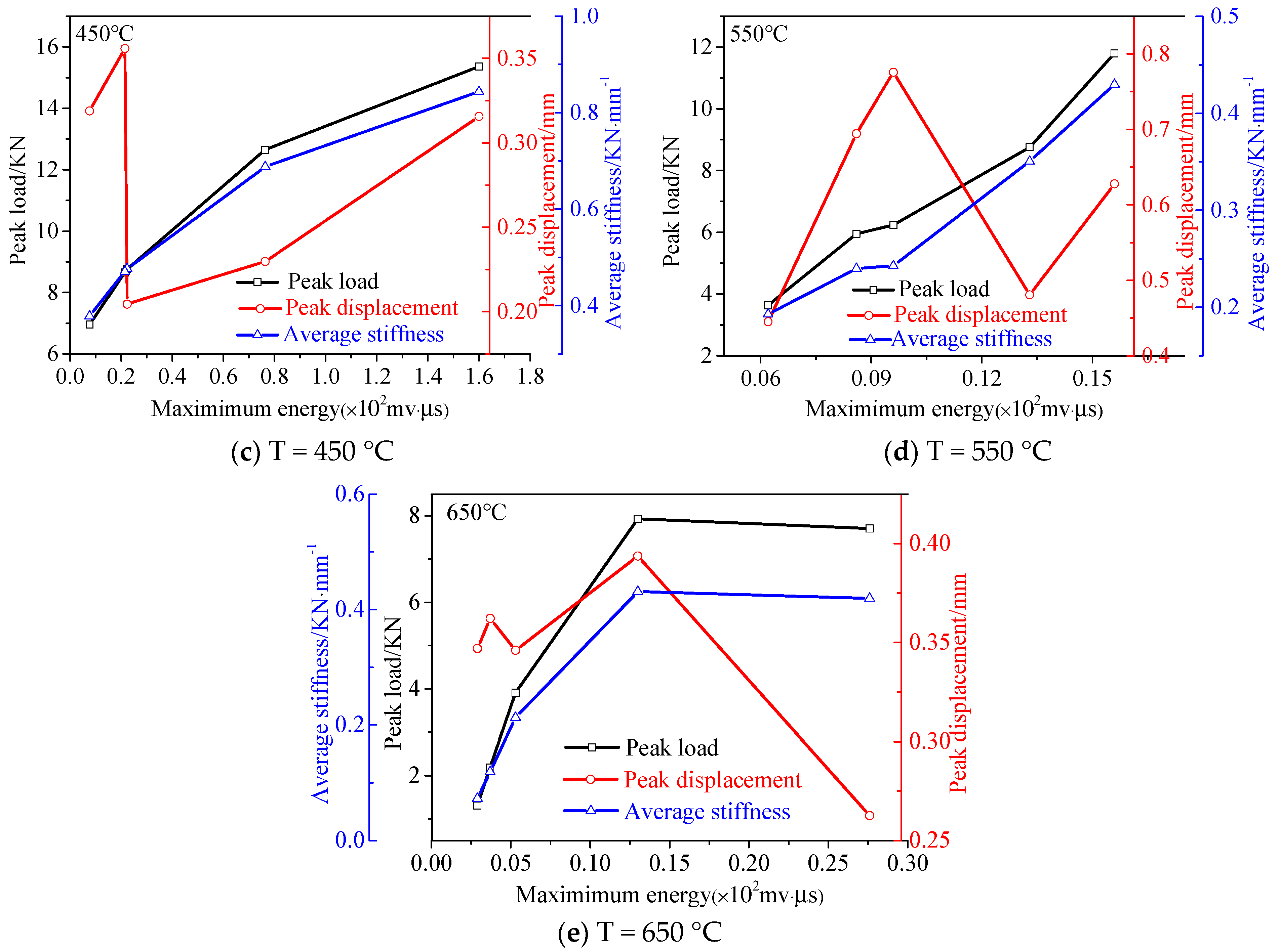
3.1. Tensile Load, Acoustic Emission Count, and Amplitude Variation Characteristics
3.2. Magnitude Distribution Characteristics
3.3. Acoustic Emission Energy Characteristics
4. Discussion
5. Conclusions
Author Contributions
Funding
Institutional Review Board Statement
Informed Consent Statement
Data Availability Statement
Conflicts of Interest
References
- Kumari, W.G.P.; Ranjith, P.G.; Perera, M.S.A.; Li, X.; Li, L.H.; Chen, B.K.; Avanthi Isaka, B.L.; De Silva, V.R.S. Hydraulic frac-turing under high temperature and pressure conditions with micro CT applications: Geothermal energy from hot dry rocks. Fuel 2018, 230, 138–154. [Google Scholar] [CrossRef]
- Zhao, Y.; Feng, Z.; Xi, B.; Zhao, J.; Wan, Z.; Zhou, A. Prospect of HDR geothermal energy exploitation in Yangbajing, Tibet, China, and experimental investigation of granite under high temperature and high pressure. J. Rock Mech. Geotech. Eng. 2011, 3, 260–269. [Google Scholar] [CrossRef]
- Zhang, W.; Guo, T.-K.; Qu, Z.-Q.; Wang, Z. Research of fracture initiation and propagation in HDR fracturing under thermal stress from meso-damage perspective. Energy 2019, 178, 508–521. [Google Scholar] [CrossRef]
- Pathiranagei, S.V.; Gratchev, I.; Kong, R. Engineering properties of four different rocks after heat treatment. Geéomeéch. Geophys. Geo-Energy Geo-Resour. 2021, 7, 16. [Google Scholar] [CrossRef]
- Asai, P.; Panja, P.; McLennan, J.; Moore, J. Efficient workflow for simulation of multifractured enhanced geothermal systems (EGS). Renew. Energy 2019, 131, 763–777. [Google Scholar] [CrossRef]
- Bertani, R. Geothermal power generation in the world 2010–2014 update report. Geothermics 2016, 60, 31–43. [Google Scholar] [CrossRef]
- Shi, X.; Jing, H.; Yin, Q.; Zhao, Z.; Han, G.; Gao, Y. Investigation on physical and mechanical properties of bedded sandstone after high-temperature exposure. Bull. Eng. Geol. Environ. 2020, 79, 2591–2606. [Google Scholar] [CrossRef]
- Zhao, F.; Sun, Q.; Zhang, W. Thermal damage analysis based on physical and mechanical indices of granodiorite. Géotech. Lett. 2020, 10, 250–255. [Google Scholar] [CrossRef]
- Yin, Q.; Jing, H.; Liu, R.; Su, H.; Yu, L.; Han, G. Pore characteristics and nonlinear flow behaviors of granite exposed to high temperature. Bull. Eng. Geol. Environ. 2020, 79, 1239–1257. [Google Scholar] [CrossRef]
- Yin, Q.; Wu, J.; Jiang, Z.; Zhu, C.; Su, H.; Jing, H.; Gu, X. Investigating the effect of water quenching cycles on mechanical behaviors for granites after conventional triaxial compression. Geomech. Geophys. Geo-Energy Geo-Resour. 2022, 8, 77. [Google Scholar] [CrossRef]
- Salimzadeh, S.; Nick, H.M.; Zimmerman, R.W. Thermoporoelastic effects during heat extraction from low-permeability reservoirs. Energy 2018, 142, 546–558. [Google Scholar] [CrossRef]
- Pokhrel, S.; Sasmito, A.P.; Sainoki, A.; Tosha, T.; Tanaka, T.; Nagai, C.; Ghoreishi-Madiseh, S.A. Field-scale experimental and numerical analysis of a downhole coaxial heat exchanger for geothermal energy production. Renew. Energy 2022, 182, 521–535. [Google Scholar] [CrossRef]
- Su, H.; Jing, H.; Du, M.; Wang, C. Experimental investigation on tensile strength and its loading rate effect of sandstone after high temperature treatment. Arab. J. Geosci. 2016, 9, 616. [Google Scholar] [CrossRef]
- Ranjith, P.G.; Viete, D.R.; Chen, B.J.; Perera, M.S.A. Transformation plasticity and the effect of temperature on the mechanical behaviour of Hawkesbury sandstone at atmospheric pressure. Eng. Geol. 2012, 151, 120–127. [Google Scholar]
- Liu, S.; Xu, J. Mechanical properties of Qinling biotite granite after high temperature treatment. Int. J. Rock Mech. Min. Sci. 2014, 71, 188–193. [Google Scholar] [CrossRef]
- Gautam, P.; Verma, A.; Jha, M.; Sharma, P.; Singh, T. Effect of high temperature on physical and mechanical properties of Jalore granite. J. Appl. Geophys. 2018, 159, 460–474. [Google Scholar] [CrossRef]
- Zhang, Y.; Zhao, G.-F.; Li, Q. Acoustic emission uncovers thermal damage evolution of rock. Int. J. Rock Mech. Min. Sci. 2020, 132, 104388. [Google Scholar] [CrossRef]
- Yang, S.-Q.; Ranjith, P.; Jing, H.-W.; Tian, W.-L.; Ju, Y. An experimental investigation on thermal damage and failure mechanical behavior of granite after exposure to different high temperature treatments. Geothermics 2017, 65, 180–197. [Google Scholar] [CrossRef]
- Al-Shayea, N.; Khan, K.; Abduljauwad, S. Effects of confining pressure and temperature on mixed-mode (I–II) fracture toughness of a limestone rock. Int. J. Rock Mech. Min. Sci. 2000, 37, 629–643. [Google Scholar] [CrossRef]
- Chen, Y.L.; Wang, S.R.; Ni, J.; Azzam, R.; Fernandez-Steeger, T.M. An experimental study of the mechanical properties of granite after high temperature exposure based on mineral characteristics. Eng. Geol. 2017, 220, 234–242. [Google Scholar] [CrossRef]
- Kumari, W.G.P.; Ranjith, P.G.; Perera, M.S.A.; Chen, B.K. Experimental investigation of quenching effect on mechanical, microstructural and flow characteristics of reservoir rocks: Thermal stimulation method for geothermal energy extraction. J. Pet. Sci. Eng. 2018, 162, 419–433. [Google Scholar] [CrossRef]
- Kumari, W.G.P.; Ranjith, P.G.; Perera, M.S.A.; Chen, B.K.; Abdulagatov, I.M. Temperature-dependent mechanical behaviour of Australian Strathbogie granite with different cooling treatments. Eng. Geol. 2017, 229, 31–34. [Google Scholar] [CrossRef]
- Siratovich, P.A.; Villeneuve, M.C.; Cole, J.W.; Kennedy, B.M.; Bégué, F. Saturated heating and quenching of three crustal rocks and implications for thermal stimulation of permeability in geothermal reservoirs. Int. J. Rock Mech. Min. Sci. 2015, 80, 265–280. [Google Scholar] [CrossRef]
- Yin, Q.; Wu, J.; Zhu, C.; Wang, Q.; Zhang, Q.; Jing, H.; Xie, J. The role of multiple heating and water cooling cycles on physical and mechanical responses of granite rocks. Geéomeéch. Geophys. Geo-Energy Geo-Resour. 2021, 7, 69. [Google Scholar] [CrossRef]
- Shen, Y.; Yuan, J.; Hou, X.; Hao, J.; Bai, Z.; Li, T. The strength changes and failure modes of high-temperature granite subjected to cooling shocks. Geéomeéch. Geophys. Geo-Energy Geo-Resour. 2021, 7, 23. [Google Scholar] [CrossRef]
- Rong, G.; Peng, J.; Cai, M.; Yao, M.; Zhou, C.; Sha, S. Experimental investigation of thermal cycling effect on physical and mechanical properties of bedrocks in geothermal fields. Appl. Therm. Eng. 2018, 141, 174–185. [Google Scholar] [CrossRef]
- Yu, P.; Pan, P.-Z.; Feng, G.; Wu, Z.; Zhao, S. Physico-mechanical properties of granite after cyclic thermal shock. J. Rock Mech. Geotech. Eng. 2020, 12, 693–706. [Google Scholar] [CrossRef]
- Zhu, D.; Jing, H.; Yin, Q.; Han, G. Experimental Study on the Damage of Granite by Acoustic Emission after Cyclic Heating and Cooling with Circulating Water. Processes 2018, 6, 101. [Google Scholar] [CrossRef]
- Ge, Z.; Sun, Q. Acoustic emission (AE) characteristics of granite after heating and cooling cycles. Eng. Fract. Mech. 2018, 200, 418–429. [Google Scholar] [CrossRef]
- Yin, T.B.; Li, X.B.; Cao, W.Z.; Xia, K.W. Effects of Thermal Treatment on Tensile Strength of Laurentian Granite Using Brazilian Test. Rock Mech. Rock Eng. 2015, 48, 2213–2223. [Google Scholar] [CrossRef]
- Sirdesai, N.N.; Singh, T.N.; Ranjith, P.G.; Singh, R. Effect of varied durations of thermal treatment on the tensile strength of red sandstone. Rock Mech. Rock Eng. 2017, 50, 205–213. [Google Scholar] [CrossRef]
- Vishal, V.; Pradhan, S.P.; Singh, T.N. Tensile strength of rock under elevated temperatures. Geotech. Geol. Eng. 2011, 29, 1127–1133. [Google Scholar] [CrossRef]
- Fairhurst, C.E.; Hudson, J.A. Draft ISRM suggested method for the complete stress-strain curve for intact rock in uniaxial compression. Int. J. Rock Mech. Min. Sci. Geomech. Abstr. 1999, 36, 281–289. [Google Scholar]
- Shao, G.; Wei, G.; Bin, S. Acoustic emission precursors of static and dynamic instability for coarse-grained hard rock. J. Cent. South Univ. 2020, 27, 2883–2898. [Google Scholar]
- Li, Q.; Liang, Y.; Zou, Q.; Li, Q. Acoustic Emission and Energy Dissipation Characteristics of Gas-Bearing Coal Samples Under Different Cyclic Loading Paths. Nat. Resour. Res. 2020, 29, 1397–1412. [Google Scholar] [CrossRef]
- Wang, H.; Liu, D.; Cui, Z.; Cheng, C.; Jian, Z. Investigation of the fracture modes of red sandstone using XFEM and acoustic emissions. Theor. Appl. Fract. Mech. 2016, 85, 283–293. [Google Scholar] [CrossRef]
- Lin, Q.; Wang, S.; Wan, B.; Lu, Y.; Wang, Y. Characterization of Fracture Process in Sandstone: A Linear Correspondence Between Acoustic Emission Energy Density and Opening Displacement Gradient. Rock Mech. Rock Eng. 2020, 53, 975–981. [Google Scholar] [CrossRef]
- Li, P.; Ren, F.-H.; Cai, M.-F.; Guo, Q.-F.; Wang, H.-F.; Liu, K. Investigating the mechanical and acoustic emission characteristics of brittle failure around a circular opening under uniaxial loading. Int. J. Miner. Met. Mater. 2019, 26, 1217–1230. [Google Scholar] [CrossRef]
- Moradian, O.; Wu, R.; Li, Y.; Leith, K.; Loew, S. Acoustic emission and digital image correlation for damage evolution in brittle rocks under time-dependent tensile loading. IOP Conf. Ser. Earth Environ. Sci. 2021, 833, 012090. [Google Scholar] [CrossRef]
- Nozawa, T.; Koyanagi, T.; Katoh, Y.; Tanigawa, H. Failure evaluation of neutron-irradiated SiC/SiC composites by underwater acoustic emission. J. Nucl. Mater. 2022, 566, 153787. [Google Scholar] [CrossRef]











Publisher’s Note: MDPI stays neutral with regard to jurisdictional claims in published maps and institutional affiliations. |
© 2022 by the authors. Licensee MDPI, Basel, Switzerland. This article is an open access article distributed under the terms and conditions of the Creative Commons Attribution (CC BY) license (https://creativecommons.org/licenses/by/4.0/).
Share and Cite
Zhu, D.; Fan, Y.; Liu, X.; Tao, X.; Miao, L.; Jin, H. Characteristics of Acoustic Emission Response during Granite Splitting after High Temperature-Water Cooling Cycles. Sustainability 2022, 14, 13601. https://doi.org/10.3390/su142013601
Zhu D, Fan Y, Liu X, Tao X, Miao L, Jin H. Characteristics of Acoustic Emission Response during Granite Splitting after High Temperature-Water Cooling Cycles. Sustainability. 2022; 14(20):13601. https://doi.org/10.3390/su142013601
Chicago/Turabian StyleZhu, Dong, Yuqing Fan, Xiaofei Liu, Xiangling Tao, Liegang Miao, and Huiwu Jin. 2022. "Characteristics of Acoustic Emission Response during Granite Splitting after High Temperature-Water Cooling Cycles" Sustainability 14, no. 20: 13601. https://doi.org/10.3390/su142013601
APA StyleZhu, D., Fan, Y., Liu, X., Tao, X., Miao, L., & Jin, H. (2022). Characteristics of Acoustic Emission Response during Granite Splitting after High Temperature-Water Cooling Cycles. Sustainability, 14(20), 13601. https://doi.org/10.3390/su142013601
