Study of the Influence of Different Clothing Materials for Mine Ventilation Clothing on Human Body and Microclimate under Clothing
Abstract
1. Introduction
2. Ventilation Clothing Cooling Principle
3. Three-Dimensional Physical Model Building and Parameter Setting
3.1. Physical Model Building and Simplification
3.2. Mesh Generation
3.3. Boundary Condition
3.4. Solution Methods and Parameter Settings
4. Simulation Results Analysis
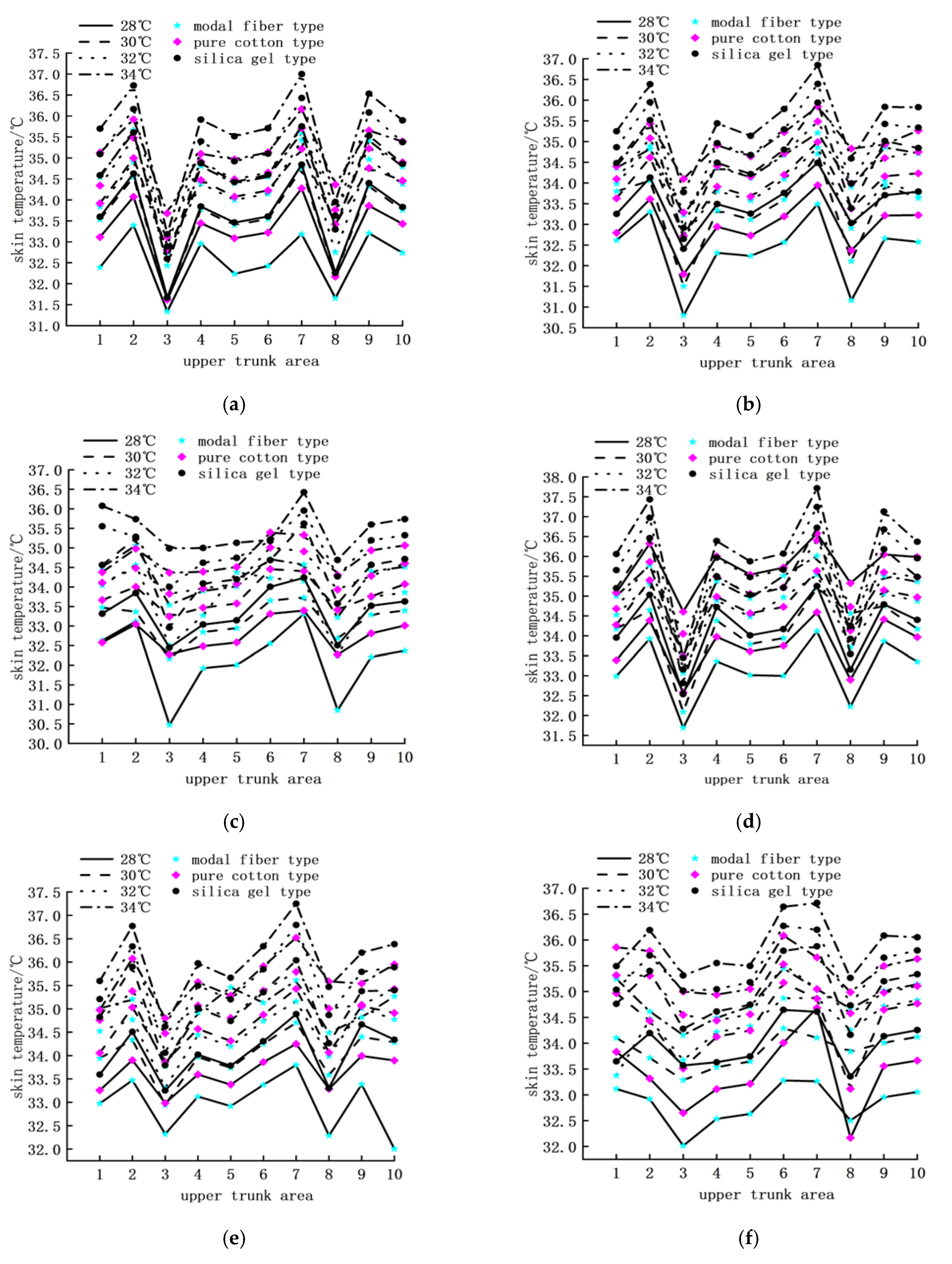
4.1. Analysis of Human Skin Temperature Distribution
4.2. Comparative Analysis of Human Skin Temperatures
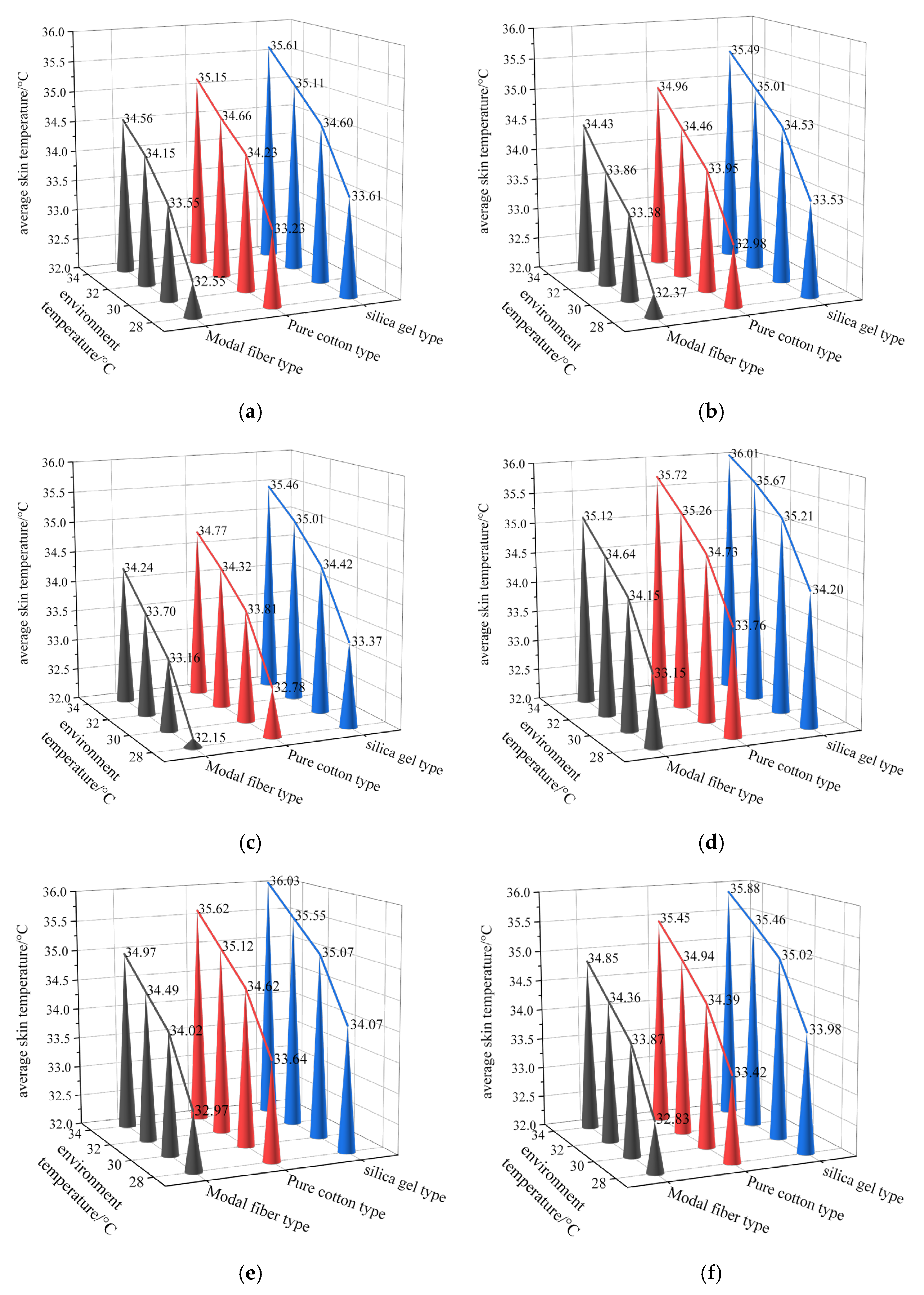
4.3. Comparative Analysis of Micro-Environment Temperatures
5. Reliability of Simulation Results
6. Conclusions
- (1)
- Through the analysis of the human skin temperature distribution map of the upper torso, it was found that the human skin temperature in the areas with ventilation pipe arrangement was much lower than that in the areas without ventilation pipe arrangement, and the human skin temperature near the entrance area was lower than that in the area away from the entrance;
- (2)
- Through the analysis of the simulation results, the skin temperature of the human body obtained with the modal fiber type was 0.4 °C lower than that obtained with the pure cotton type, and the value obtained with the cotton type was 0.6 °C lower than that obtained with the silica gel type. The cooling effect of the three types of mine ventilation suits was modal fiber type > pure cotton type > silica gel type. The cooling effects of the three different clothing materials for mine ventilation clothing were stable, indicating they can adapt to different ambient temperatures and cool down the human skin;
- (3)
- The micro-environment temperature obtained with the modal fiber type was lower than that obtained with the pure cotton type, and the value obtained with the pure cotton type was lower than that obtained with the silica gel type. Mine ventilation clothing had an impact on the microclimate, and the breathability and moisture permeability of clothing had the promoting effect of improving the microclimate.
Author Contributions
Funding
Institutional Review Board Statement
Informed Consent Statement
Data Availability Statement
Conflicts of Interest
References
- Xie, C.; Nguyen, H.; Bui, X.N.; Nguyen, V.T.; Zhou, J. Predicting roof displacement of roadways in underground coal mines using adaptive neuro-fuzzy inference system optimized by various physic-based optimization algorithms. J. Rock Mech. Geotech. Eng. 2021, 13, 1452–1465. [Google Scholar] [CrossRef]
- Zhang, X.; Zou, J. Research on collaborative control technology of coal spontaneous combustion and gas coupling disaster in goaf based on dynamic isolation. Fuel 2022, 321, 124123. [Google Scholar] [CrossRef]
- Liu, H.Q. The Study of Heat and Mass Transfer Theory and Cooling Technology in the Shaft and Tunnel that in the High-Temperature Mine; Central South University: Chang Sha, China, 2010. [Google Scholar]
- State Administration of Work Safety. Safety Regulations in Coal Mine; Coal Industry Press: Beijing, China, 2016; pp. 278–279. [Google Scholar]
- QI, Y.D.; Cheng, W.M.; Yu, Y.B. Status summarization and progress of heat hazard control technology in coal mine of China. Saf. Coal Mines 2014, 45, 167–170. [Google Scholar] [CrossRef]
- You, B.; Liu, J.F.; Shi, S.L.; Liu, H.; Lu, Y.; Zhang, M. Experimental study on influence of harsh environment of deep well on safety human factor indexes. China Saf. Sci. J. 2020, 30, 52–61. [Google Scholar] [CrossRef]
- Qian, J.; Zhao, M.M.; Dang, T.H. Research progress on heat and moisture transfer model of clothing under forced ventilation. Wool Text. J. 2021, 49, 81–87. [Google Scholar] [CrossRef]
- Udayraj, T.; Prabal, D.; Apurba, A.; Ramasamy, A. Numerical modeling of heat transfer and fluid motion in air gap between clothing and human body: Effect of air gap orientation and body movement. Int. J. Heat. Mass. Tran. 2017, 108, 271–291. [Google Scholar] [CrossRef]
- Karim, N.; Afroj, S.; Lloyd, K.; Oaten, L.C.; Andreeva, D.V.; Carr, C.; Farmery, A.D.; Kim, I.-D.; Novoselov, K.S. Sustainable personal protective clothing for healthcare applications: A review. ACS Nano. 2020, 10, 12313–12340. [Google Scholar] [CrossRef]
- Liu, H.Q.; Gao, L.Y.; You, B. Experimental study on factors affecting thermal comfortability of air cooling garment. J. Xi’an Univ. Sci. Technol. 2018, 38, 910–918. [Google Scholar] [CrossRef]
- Guan, M.H.; Li, J. Garment size effect of thermal protective clothing on global and local evaporative cooling of walking manikin in a hot environment. Int. J. Biometeorol. 2020, 64, 485–499. [Google Scholar] [CrossRef]
- Talukdar, P.; Das, A.; Alagirusamy, R. Heat and mass transfer through thermal protective clothing–A review. Int. J. Therm. Sci. 2016, 106, 32–56. [Google Scholar] [CrossRef]
- Yang, Y.T.; Wang, C.; Tang, H.J.; Zheng, S.X.; Zhao, Y.X.; He, S.Y. Study on temperature field and velocity field of cooling T-shirt. J. Qingdao Univ. 2017, 32, 96–101. [Google Scholar] [CrossRef]
- Chen, S.X.; Wu, W.D.; Sheng, W.; Wu, R.Y.; Pang, C.W. Study of airflow and heat transfer in air cooling garment under different types of air inlet distribution. Cryog. Supercond. 2010, 38, 43–47. [Google Scholar] [CrossRef]
- Wang, Y.N.; Liu, G.; Huang, S.Y. Simulation Model of Microclimate under Clothing and Discuss about Factors Influencing Temperature and Humidity of Microclimate under Clothing. Build. Energy Environ. 2017, 36, 35–38. [Google Scholar]
- Xu, P.F. Research on the Flow and Heat Transfer in Air Cooling Garment Based on Thermoelectric Cooling; Nanjing University of Aeronautics and Astronautics: Nan Jing, China, 2018. [Google Scholar]
- Gao, R.X.; Tian, X.L. Simulation analysis of heat and moisture transfer laws in microclimate layers under different activity conditions of human body. Shandong Text. Sci. Technol. 2004, 6, 1–3. [Google Scholar]
- Caroline, J.S.; George, H. Body mapping of sweating patterns in male athletes in mild exercise-induced hyperthermia. Eur. J. Appl. Physiol. 2011, 111, 1391–1404. [Google Scholar] [CrossRef]
- Caroline, J.S.; George, H. Body mapping of sweating patterns in athletes: A sex comparison. Med. Sci. Sport. Exerc. 2012, 44, 2350–2361. [Google Scholar] [CrossRef]
- Zhang, Y.; Dai, X.Q. The influence of fabric composition on the heat and moisture transmission performance of clothing. Mod. Silk Sci. Technol. 2021, 36, 32–36. [Google Scholar]
- You, B.; Yang, J.; Zhang, Y.; Li, G.; Zeng, X.; Wang, S.; Luo, X. Research on the Distribution Regularity of Air Volume in the Pipelines of Mining Ventilation Clothing. Geofluids 2022, 4117897. [Google Scholar] [CrossRef]
- Hu, H.M.; Chao, C.Z.; Zhao, C.Y. Research on the correlation of Chinese adult human body size data. Chin. J. Ergon. 2014, 20, 49–53. [Google Scholar] [CrossRef]
- Mao, C.; You, B.; Li, G. Research on the Influence of Ventilation Parameters of Mine Gas Cooling Suit on Human Skin Temperature. Miner. Eng. Res. 2021, 36, 67–73. [Google Scholar] [CrossRef]
- Sun, Y.; Warren, J. Numerical modeling of heat and moisture transfer in a wearable convective cooling system for human comfort. Build. Environ. 2015, 93, 50–62. [Google Scholar] [CrossRef]
- Mi, L.H. Simulation of Flow and Heat Transfer between Air Cooling Garment and Surface Space; Hunan University of Science and Technology: Xiangtan, China, 2019. [Google Scholar]
- Shao, X.; Han, S.Q.; Gao, L.B. ANSYS FLUNT 17.0 Flow Farm Analysis Example Tutorial; Beijing University of Aeronautics and Astronautics Press: Beijing, China, 2018. [Google Scholar]
- Mert, E.; Boehnisch, S.; Psikuta, A.; Bueno, M.A.; Rossi, R.M. Contribution of garment fit and style to thermal comfort at the lower body. Int. J. Biometeorol. 2016, 60, 1995–2004. [Google Scholar] [CrossRef]
- Cao, J.; Xie, C.; Hou, Z. Ecological evaluation of heavy metal pollution in the soil of Pb-Zn mines. Ecotoxicology 2022, 31, 259–270. [Google Scholar] [CrossRef]
- Xie, C.; Nguyen, H.; Choi, Y.; Armaghani, D.J. Optimized functional linked neural network for predicting diaphragm wall deflection induced by braced excavations in clays. Geosci. Front. 2022, 13, 101313. [Google Scholar] [CrossRef]












| Density (kg/m3) | Specific Heat J/(kg·K) | Thermal Conductivity W/(m·K) | |
|---|---|---|---|
| Silica Gel | 1400 | 1700 | 0.16 |
| Pure Cotton | 1550 | 1275 | 0.071 |
| Modal Fiber | 1520 | 1310 | 0.055 |
Publisher’s Note: MDPI stays neutral with regard to jurisdictional claims in published maps and institutional affiliations. |
© 2022 by the authors. Licensee MDPI, Basel, Switzerland. This article is an open access article distributed under the terms and conditions of the Creative Commons Attribution (CC BY) license (https://creativecommons.org/licenses/by/4.0/).
Share and Cite
You, B.; Yang, J.; Liu, J.; Liu, H.; Lu, Y.; Han, Q.; Zhang, Y. Study of the Influence of Different Clothing Materials for Mine Ventilation Clothing on Human Body and Microclimate under Clothing. Sustainability 2022, 14, 13460. https://doi.org/10.3390/su142013460
You B, Yang J, Liu J, Liu H, Lu Y, Han Q, Zhang Y. Study of the Influence of Different Clothing Materials for Mine Ventilation Clothing on Human Body and Microclimate under Clothing. Sustainability. 2022; 14(20):13460. https://doi.org/10.3390/su142013460
Chicago/Turabian StyleYou, Bo, Jiao Yang, Jianfeng Liu, Heqing Liu, Yi Lu, Qiaoyun Han, and Yixin Zhang. 2022. "Study of the Influence of Different Clothing Materials for Mine Ventilation Clothing on Human Body and Microclimate under Clothing" Sustainability 14, no. 20: 13460. https://doi.org/10.3390/su142013460
APA StyleYou, B., Yang, J., Liu, J., Liu, H., Lu, Y., Han, Q., & Zhang, Y. (2022). Study of the Influence of Different Clothing Materials for Mine Ventilation Clothing on Human Body and Microclimate under Clothing. Sustainability, 14(20), 13460. https://doi.org/10.3390/su142013460

