Has the Inter-Regional Power Transmission Promoted Economic Development? A Quantitative Assessment in China
Abstract
1. Introduction
2. Literature Reviews
2.1. Economic Effect of UHV Power Transmission
2.2. The Role of Differences-in-Differences Model in Policy Evaluation
3. Methodology and Data
3.1. Data and Variables
- (1)
- County-level data
- (2)
- UHV transmission project data
3.2. Methodology
4. Results and Discussion
4.1. The Economic Effect of UHV
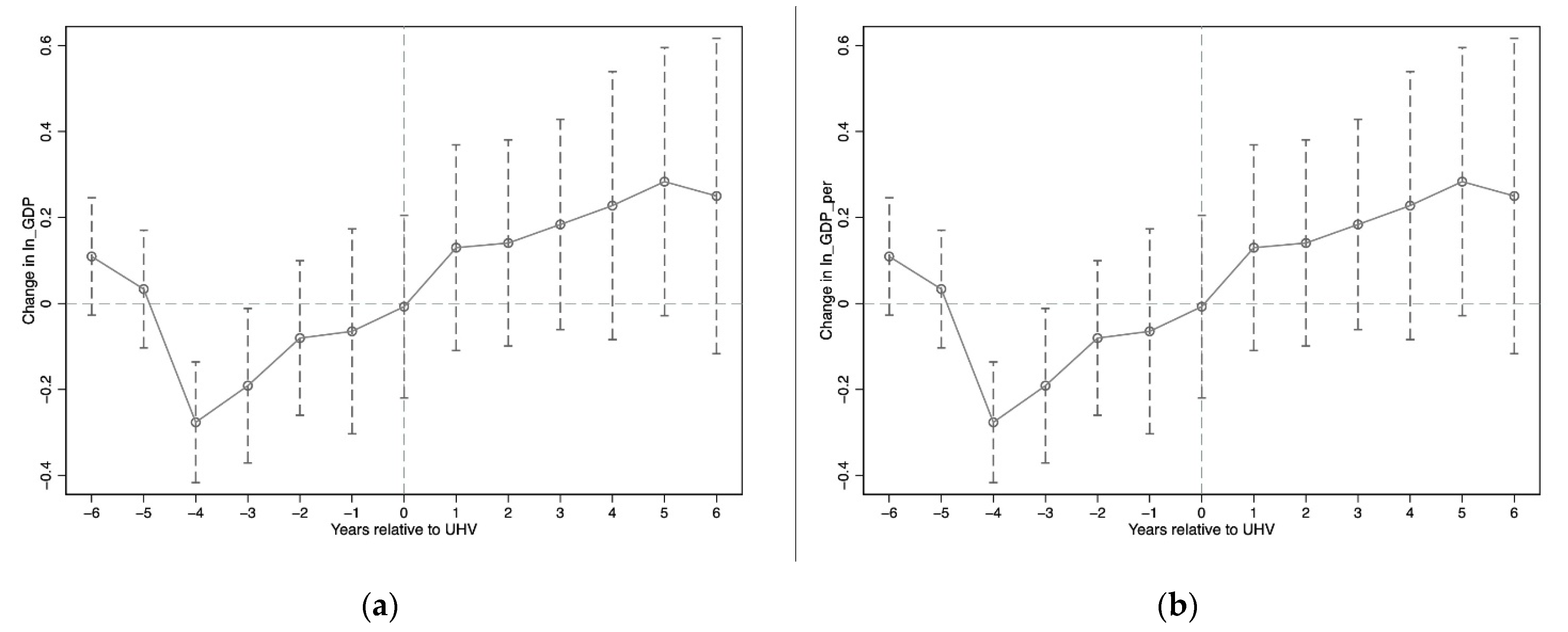
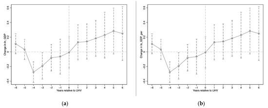
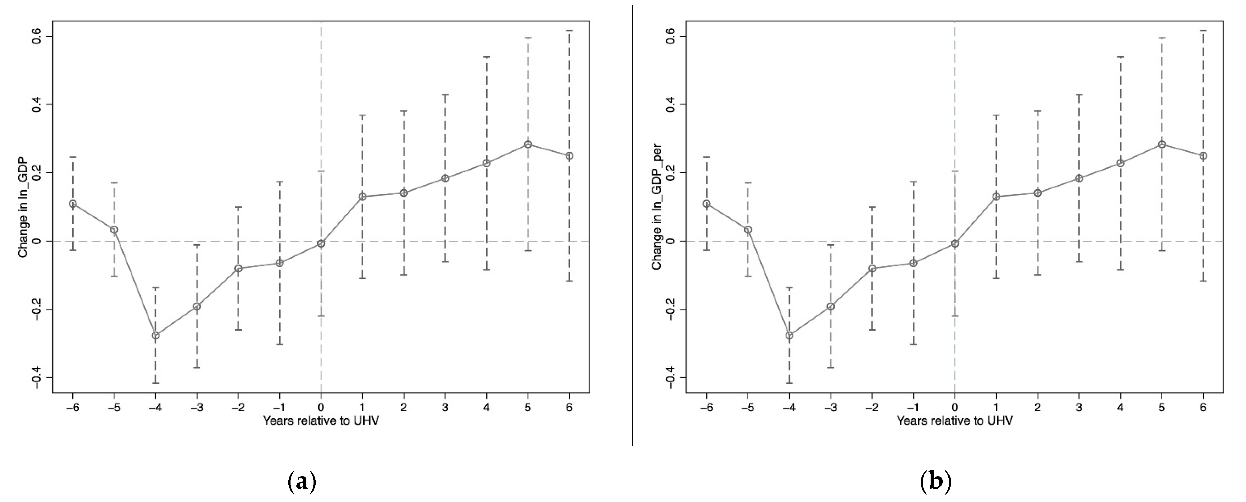
4.2. Parallel Trend Test and Dynamic Effect Estimation
4.3. Mechanism Analysis
4.4. Heterogeneity Discussion
4.5. Discussion
5. Conclusions and Policy Implications
5.1. Conclusions
- (1)
- The economic development of the regions along the UHV project is confirmed by the empirical data. This indicates that at this stage in China, the optimal allocation of the energy resources is beneficial to economic growth on a national scale;
- (2)
- The UHV projects have both immediate and far-reaching impacts on economic development. This shows that the construction and the integration of energy infrastructure access has a significant and far-reaching impact on national development. Therefore, when assessing the economic benefits of infrastructure development, a long-term economic perspective is recommended to be considered;
- (3)
- Enterprise development, employment enhancement, and economic structure changes are possible pathways of the economic effects of UHV projects. This shows that the construction of UHV provides sustainable power for the economic development of the regions along the route and reflects the organic role of infrastructure construction;
- (4)
- The economic stimulus to the power exporting provinces is greater, which means that the UHV construction is inductive to the western regions that are richer in power resources in converting their resource endowments into economic advantages and, thus, can promote economic development.
5.2. Policy Implications
- (1)
- Economic and social development in developing countries could be promoted through infrastructure construction, which consists of different fields, such as energy, transportation, and communication. The UHV project, which is the subject of this paper, is just one example;
- (2)
- When assessing the economic benefits of infrastructure construction, developing countries are advised to consider the long-term economic perspective, to pay attention to the long-term planning of infrastructure construction, and to increase the financial support for the infrastructure construction in order to promote its steady development;
- (3)
- When developing countries have a territorial resource mismatch, cross-regional resource transfer is a necessary measure to alleviate inter-regional resource supply and demand conflicts. Through efficient energy-saving and labor-saving technological innovations, cross-regional resource transfer will enable the resource-rich regions to gain new economic growth points;
- (4)
- This paper provides quantitative support for post-pandemic China to vigorously develop new infrastructure construction. By allowing the infrastructure development to accelerate upgrading, integration, and innovative optimization, economic development could be stimulated and the problems of unemployment under the shadow of the epidemic could be alleviated to some extent, which is an example for many developing countries with slow economic growth after the epidemic of COVID-19.
5.3. Further Work and Limitations
Author Contributions
Funding
Institutional Review Board Statement
Informed Consent Statement
Data Availability Statement
Acknowledgments
Conflicts of Interest
References
- Han, M.; Xiong, J.; Wang, S.; Yang, Y. Chinese photovoltaic poverty alleviation: Geographic distribution, economic benefits and emission mitigation. Energy Policy 2020, 144, 111685. [Google Scholar] [CrossRef]
- Cong, R.; Lo, A.Y.; Yu, W. The distribution and regional determinants of nationally financed emissions-reduction projects in China. Energy Policy 2021, 152, 112215. [Google Scholar] [CrossRef]
- Hu, Y.; Cheng, H. Displacement efficiency of alternative energy and trans-provincial imported electricity in China. Nat. Commun. 2017, 8, 14590. [Google Scholar] [CrossRef] [PubMed]
- Pasaribu, D.; Lahiri-Dutt, K. Coal reliance, human development, and gender equality: At what scale should we look for a relationship? Energy Res. Soc. Sci. 2022, 90, 102612. [Google Scholar] [CrossRef]
- Ai, H.; Guan, M.; Feng, W.; Li, K. Influence of classified coal consumption on PM2.5 pollution: Analysis based on the panel cointegration and error-correction model. Energy 2021, 215, 119108. [Google Scholar] [CrossRef]
- Wang, W.; Yang, F.; Guo, Y.; Chen, B.; Zou, X.; Zhou, S.; Li, J. The effects of the Promoting the Big and Quashing the Small Policy on pollutants from a coal power supply chain perspective. J. Environ. Manag. 2022, 313, 114960. [Google Scholar] [CrossRef] [PubMed]
- Fang, T.; Fang, D.; Yu, B. Carbon emission efficiency of thermal power generation in China: Empirical evidence from the micro-perspective of power plants. Energy Policy 2022, 165, 112955. [Google Scholar] [CrossRef]
- Ahmadi, B.; Ceylan, O.; Ozdemir, A. A multi-objective optimization evaluation framework for integration of distributed energy resources. J. Energy Storage 2021, 41, 103005. [Google Scholar] [CrossRef]
- Liu, Z. Construction of UHV Power Grids in China; Ultra-High Voltage Ac/dc Grids; Academic Press: Cambridge, MA, USA, 2015; pp. 533–585. [Google Scholar]
- Wang, Y.; Yan, W.; Zhuang, S.; Li, J. Does grid-connected clean power promote regional energy efficiency? An empirical analysis based on the upgrading grid infrastructure across China. J. Clean. Prod. 2018, 186, 736–747. [Google Scholar] [CrossRef]
- Liu, Z. Characteristics of UHV AC Transmission System; Ultra-High Voltage Ac/dc Grids; Academic Press: Cambridge, MA, USA, 2015; pp. 35–93. [Google Scholar]
- Wang, Y.; Li, M.; Wang, L.; Wang, H.; Zeng, M.; Zeng, B.; Qiu, F.; Sun, C. Can remotely delivered electricity really alleviate smog? An assessment of China’s use of ultra-high voltage transmission for air pollution prevention and control. J. Clean. Prod. 2019, 242, 118430. [Google Scholar] [CrossRef]
- Li, F.; Xiao, X.; Xie, W.; Ma, D.; Song, Z.; Liu, K. Estimating air pollution transfer by interprovincial electricity transmissions: The case study of the Yangtze River Delta Region of China. J. Clean. Prod. 2018, 183, 56–66. [Google Scholar] [CrossRef]
- Tan, X.; Lin, S.; Liu, Y.-L.; Xie, B.-C. Has the inter-regional transmission grid promoted clean power development? A quantitative assessment on China’s electricity sector. J. Clean. Prod. 2020, 269, 122370. [Google Scholar] [CrossRef]
- Pei, W.; Chen, Y.; Sheng, K.; Deng, W.; Du, Y.; Qi, Z.; Kong, L. Temporal-spatial analysis and improvement measures of Chinese power system for wind power curtailment problem. Renew. Sustain. Energy Rev. 2015, 49, 148–168. [Google Scholar] [CrossRef]
- Ma, C.; Liu, L. Optimal capacity configuration of hydro-wind-PV hybrid system and its coordinative operation rules considering the UHV transmission and reservoir operation requirements. Renew. Energy 2022, 198, 637–653. [Google Scholar] [CrossRef]
- Xu, J.-H.; Yi, B.-W.; Fan, Y. Economic viability and regulation effects of infrastructure investments for inter-regional electricity transmission and trade in China. Energy Econ. 2020, 91, 104890. [Google Scholar] [CrossRef]
- Li, J.; Wang, Z.; Zhou, S.; Lu, B.; Dai, W.; Bao, H. Optimal planning energy storage for promoting renewable power consumption in the urgent situation of UHV systems. Int. J. Electr. Power Energy Syst. 2022, 143, 108453. [Google Scholar] [CrossRef]
- Liu, Z. UHV Engineering Practices in China; Ultra-High Voltage Ac/dc Grids; Academic Press: Cambridge, MA, USA, 2015; pp. 587–682. [Google Scholar]
- Wu, W.P.; Wu, K.X.; Zeng, W.K.; Yang, P.C. Optimization of long-distance and large-scale transmission of renewable hydrogen in China: Pipelines vs. UHV. Int. J. Hydrog. Energy Pergamon 2022, 47, 24635–24650. [Google Scholar] [CrossRef]
- UHV AC. Transmission Lines; UHV Transmission Technology; Academic Press: Cambridge, MA, USA, 2018; pp. 295–359. [Google Scholar]
- Power Grid Development and Its Comprehensive Social and Economic Benefits. Non-Fossil Energy Development in China; Academic Press: Cambridge, MA, USA, 2019; pp. 197–223.
- Tan, X.; Lin, S.; Liu, Y.-L.; Xie, B.-C. Has the inter-regional transmission expansion promoted the low-carbon transition of China’s power sector? Comput. Ind. Eng. 2022, 168, 108059. [Google Scholar] [CrossRef]
- Zhang, Q.; Chen, W. Modeling China’s interprovincial electricity transmission under low carbon transition. Appl. Energy 2020, 279, 115571. [Google Scholar] [CrossRef]
- Fan, H.; Gao, X.; Zhang, L. How China’s accession to the WTO affects global welfare? China Econ. Rev. 2021, 69, 101688. [Google Scholar] [CrossRef]
- Yu, X.; Wu, Z.; Wang, Q.; Sang, X.; Zhou, D. Exploring the investment strategy of power enterprises under the nationwide carbon emissions trading mechanism: A scenario-based system dynamics approach. Energy Policy 2020, 140, 111409. [Google Scholar] [CrossRef]
- Tang, B.; Li, R.; Yu, B.; An, R.; Wei, Y.-M. How to peak carbon emissions in China’s power sector: A regional perspective. Energy Policy 2018, 120, 365–381. [Google Scholar] [CrossRef]
- Lin, J.; Kahrl, F.; Liu, X. A regional analysis of excess capacity in China’s power systems. Resour. Conserv. Recycl. 2017, 129, 93–101. [Google Scholar] [CrossRef]
- Li, Y.; Lukszo, Z.; Weijnen, M. The impact of inter-regional transmission grid expansion on China’s power sector decarbonization. Appl. Energy 2016, 183, 853–873. [Google Scholar] [CrossRef]
- Li, T.; Liu, P.; Li, Z. Quantifying cross-provincial power transmission barriers in China, based on a computable general equilibrium approach. Energy Procedia 2019, 158, 465–470. [Google Scholar] [CrossRef]
- Brown, P.R.; Botterud, A. The Value of Inter-Regional Coordination and Transmission in Decarbonizing the US Electricity System. Joule 2021, 5, 115–134. [Google Scholar] [CrossRef]
- Wang, J.; Cang, M.; Zhai, X.; Wu, S.; Cheng, X.; Zhu, L. Research on power-supply cost of regional power system under carbon-peak target. Glob. Energy Interconnect. 2022, 5, 31–43. [Google Scholar] [CrossRef]
- Niftiyev, I. China’s Interests in the Industrialization of the South Caucasus: Comparative Analysis of Labor Productivity in the Manufacturing Sector. Econ. Soc. Chang. Facts Trends Forecast 2022, 15, 205–222. [Google Scholar] [CrossRef]
- Niftiyev, I. Dutch Disease Symptoms in Azerbaijan Economy. J. Econ. Coop. Dev. 2020, 41, 33–67. [Google Scholar]
- Sadik-Zada, E.R. Addressing the growth and employment effects of the extractive industries: White and black box illustrations from Kazakhstan. Post-Communist Econ. 2021, 33, 402–434. [Google Scholar] [CrossRef]
- Sadik-Zada, E.R.; Loewenstein, W.; Hasanli, Y. Production linkages and dynamic fiscal employment effects of the extractive industries: Input-output and nonlinear ARDL analyses of Azerbaijani economy. Miner. Econ. 2021, 34, 3–18. [Google Scholar] [CrossRef]
- Ashenfelter, O. Estimating the Effect of Training Programs on Earnings. Rev. Econ. Stat. 1978, 60, 47. [Google Scholar] [CrossRef]
- Zheng, Q.; Wan, L.; Wang, S.; Wang, C.; Fang, W. Does ecological compensation have a spillover effect on industrial structure upgrading? Evidence from China based on a multi-stage dynamic DID approach. J. Environ. Manag. 2021, 294, 112934. [Google Scholar] [CrossRef] [PubMed]
- Trinh, H.H.; Nguyen, C.P.; Hao, W.; Wongchoti, U. Does stock liquidity affect bankruptcy risk? DID analysis from Vietnam. Pac. Basin Financ. J. 2021, 69, 101634. [Google Scholar] [CrossRef]
- Miller, K.; Hyodo, T. Impact of the Panama Canal expansion on Latin American and Caribbean ports: Difference in difference (DID) method. J. Shipp. Trade 2021, 6, 1–23. [Google Scholar] [CrossRef]
- Yan, C.; Chen, W.; Yang, Y.; Dong, J.; Qiao, R. Empirical Study on Urban Waterlogging Data Governance Model Based on DID. In IOP Conference Series: Earth and Environmental Science; IOP Publishing: Bristol, UK, 2021; Volume 781. [Google Scholar]
- Zhou, G.; Liu, C.; Luo, S. Resource Allocation Effect of Green Credit Policy: Based on DID Model. Mathematics 2021, 9, 159. [Google Scholar] [CrossRef]

| Variables | Obs | Mean | SD | Min | Median | Max |
|---|---|---|---|---|---|---|
| ln_gdp | 34,891 | 2.221 | 1.401 | −5.838 | 2.274 | 9.279 |
| ln_gdp_per | 31,357 | 3.209 | 1.169 | −3.944 | 3.214 | 11.038 |
| ln_popu | 34,709 | −1.003 | 0.874 | −6.645 | −0.882 | 2.424 |
| ln_area_farm | 29,074 | 10.083 | 1.427 | −0.562 | 10.289 | 13.471 |
| ln_finance | 26,745 | −0.708 | 1.536 | −9.646 | −0.773 | 5.086 |
| ln_constru | 11,621 | −0.481 | 2.245 | −9.249 | −0.479 | 6.861 |
| ln_K | 33,731 | 1.063 | 1.595 | −7.331 | 1.260 | 6.180 |
| ln_firm | 19,223 | 3.785 | 1.326 | 0.000 | 3.807 | 8.214 |
| ln_labor | 15,805 | −1.504 | 1.013 | −7.013 | −1.317 | 1.196 |
| ln_gdp_tertiary | 34,475 | 1.142 | 1.480 | −6.812 | 1.142 | 8.067 |
| ln_stru | 34,548 | −1.067 | 0.371 | −6.083 | −1.058 | 6.197 |
| Time for Service | Name of UHV Line | Provinces Involved |
|---|---|---|
| January 2009 | South-eastern Shanxi-Nanyang-Jingmen 1000 KV (AC) | Shanxi, Henan, Hubei |
| June 2010 | Yunnan-Guangzhou ±800 KV (DC) | Yunnan, Guangdong |
| July 2010 | Xiangjiaba-Shanghai ±800 KV (DC) | Sichuan, Shanghai |
| December 2012 | Jinping-Southern Jiangsu ±800 KV (DC) | Sichuan, Jiangsu |
| September 2013 | Huainan-Northern Zhejiang-Shanghai 1000 KV (AC) | Anhui, Zhejiang, Jiangsu, Shanghai |
| September 2013 | Pu’er-Jiangmen ±800 KV (DC) | Yunnan, Guangdong |
| January 2014 | Southern Hami-Zhengzhou ±800 KV (DC) | Xinjiang, Henan |
| July 2014 | Xiluodu-Western Zhejiang ±800 KV (DC) | Sichuan, Zhejiang |
| December 2014 | Northern Zhejiang-Fuzhou 1000 KV (AC) | Zhejiang, Fujian |
| May 2015 | Nuozadu-Guangdong ±800 KV (DC) | Yunnan, Guangdong |
| July 2016 | Ximeng-Shandong 1000 KV (AC) | Inner Mongolia, Hebei, Beijing, Tianjin, Shandong |
| September 2016 | Ningdong-Zhejiang ±800 KV (DC) | Ningxia, Zhejiang |
| November 2016 | Huainan-Nanjing-Shanghai 1000 KV (AC) | Anhui, Jiangsu, Shanghai |
| November 2016 | Western Inner Mongolia-Southern Tianjin 1000 KV (AC) | Inner Mongolia, Shanxi, Hebei, Tianjin |
| June 2017 | Jiuquan-Hunan ±800 KV (DC) | Gansu, Hunan |
| June 2017 | Northern Shanxi-Nanjing ±800 KV (DC) | Shanxi, Jiangsu |
| August 2017 | Yuheng-Weifang 1000 KV (AC) | Shaanxi, Shanxi, Hebei, Shandong |
| August 2017 | Ximeng-Shengli 1000 KV (AC) | Inner Mongolia |
| October 2017 | Ximeng-Taizhou ±800 KV (DC) | Inner Mongolia, Jiangsu |
| December 2017 | Zhalute-Qingzhou ±800 KV (DC) | Inner Mongolia, Shandong |
| May 2018 | Northwestern Yunnan-Guangdong ±800 KV (DC) | Yunnan, Guangdong |
| January 2019 | Shanghai Temple-Linyi ±800 KV (DC) | Inner Mongolia, Shandong |
| June 2019 | Western Beijing-Shijiazhuang 1000 KV (AC) | Beijing, Hebei |
| (1) | (2) | (3) | (4) | (5) | (6) | (7) | (8) | |
|---|---|---|---|---|---|---|---|---|
| gdp | gdp | gdp | gdp | gdp_per | gdp_per | gdp_per | gdp_per | |
| Dit | 0.058 *** | 0.023 *** | 0.159 *** | 0.788 *** | 0.012 ** | 0.023 *** | 0.159 *** | 0.788 *** |
| (10.47) | (4.30) | (15.14) | (13.32) | (2.03) | (4.30) | (15.14) | (13.32) | |
| ln_popu | 0.064 *** | 0.015 | 0.051 *** | −0.936 *** | −0.985 *** | −0.949 *** | ||
| (5.62) | (0.87) | (3.86) | (−82.79) | (−55.22) | (−71.93) | |||
| ln_K | 0.103 *** | 0.144 *** | 0.148 *** | 0.103 *** | 0.144 *** | 0.148 *** | ||
| (33.21) | (21.97) | (26.76) | (33.21) | (21.97) | (26.76) | |||
| ln_finance | 0.218 *** | 0.092 *** | 0.144 *** | 0.218 *** | 0.092 *** | 0.144 *** | ||
| (54.88) | (15.34) | (25.68) | (54.88) | (15.34) | (25.68) | |||
| ln_area_farm | −0.002 | −0.015 * | −0.002 | −0.015 * | ||||
| (−0.30) | (−1.85) | (−0.30) | (−1.85) | |||||
| ln_constru | 0.044 *** | 0.022 *** | 0.044 *** | 0.022 *** | ||||
| (12.82) | (7.80) | (12.82) | (7.80) | |||||
| _cons | 0.544 *** | 1.496 *** | 1.175 *** | 0.457 *** | 1.700 *** | 1.496 *** | 1.175 *** | 0.457 *** |
| (48.23) | (84.45) | (13.47) | (3.53) | (133.91) | (84.45) | (13.47) | (3.53) | |
| FE-Year | yes | yes | yes | yes | yes | yes | yes | yes |
| FE-County | yes | yes | yes | yes | yes | yes | yes | yes |
| Year × Province | no | no | no | yes | no | no | no | yes |
| N | 34,891 | 21,854 | 8395 | 8395 | 31,357 | 21,854 | 8395 | 8395 |
| r2 | 0.894 | 0.923 | 0.895 | 0.945 | 0.872 | 0.920 | 0.893 | 0.944 |
| r2_a | 0.89 | 0.92 | 0.89 | 0.94 | 0.86 | 0.91 | 0.88 | 0.94 |
| (1) | (2) | (3) | (4) | (5) | (6) | (7) | (8) | |
|---|---|---|---|---|---|---|---|---|
| firm | firm | labor | labor | gdp_ter | gdp_ter | structure | structure | |
| Dit | −0.086 | 1.037 *** | 0.376 *** | 0.305 *** | 1.939 *** | 2.067 *** | 0.431 *** | 0.433 *** |
| (−1.08) | (6.02) | (8.40) | (5.67) | (48.52) | (23.03) | (16.87) | (6.09) | |
| ln_popu | −0.079 ** | 0.023 | 0.032 *** | 0.038 *** | 0.041 ** | 0.070 *** | 0.031 *** | 0.019 * |
| (−2.57) | (0.85) | (3.66) | (4.56) | (2.22) | (4.95) | (2.67) | (1.68) | |
| ln_area_farm | 0.066 *** | 0.016 | 0.007 | −0.003 | −0.002 | −0.008 | −0.007 | 0.006 |
| (5.05) | (0.97) | (0.96) | (−0.39) | (−0.22) | (−0.98) | (−1.46) | (0.95) | |
| ln_finance | −0.021 | 0.015 | 0.021 *** | 0.019 *** | 0.090 *** | 0.135 *** | −0.005 | −0.009 * |
| (−1.53) | (1.06) | (4.39) | (3.85) | (14.59) | (22.59) | (−1.35) | (−1.86) | |
| ln_constru | 0.021 *** | −0.009 | −0.012 *** | −0.001 | 0.050 *** | 0.022 *** | 0.006 ** | −0.001 |
| (3.47) | (−1.53) | (−5.81) | (−0.11) | (14.00) | (7.29) | (2.43) | (−0.04) | |
| ln_K | 0.100 *** | 0.044 *** | −0.003 | 0.027 *** | 0.135 *** | 0.127 *** | −0.005 | −0.021 *** |
| _cons | 3.074 *** | 2.699 *** | −1.858 *** | −1.756 *** | 0.089 | 0.065 | −1.144 *** | −1.265 *** |
| (19.85) | (11.36) | (−22.63) | (−19.27) | (0.99) | (0.53) | (−19.97) | (−13.01) | |
| FE-Year | yes | yes | yes | yes | yes | yes | yes | yes |
| FE-County | yes | yes | yes | yes | yes | yes | yes | yes |
| Year × Province | no | yes | no | yes | no | yes | no | yes |
| N | 7319 | 7319 | 4786 | 4786 | 8395 | 8395 | 8395 | 8395 |
| r2 | 0.099 | 0.315 | 0.372 | 0.445 | 0.910 | 0.949 | 0.453 | 0.525 |
| r2_a | 0.02 | 0.25 | 0.31 | 0.38 | 0.90 | 0.94 | 0.41 | 0.48 |
| gdp | gdp | gdp_per | gdp_per | |
|---|---|---|---|---|
| Dit | 1.697 *** | 1.825 *** | 1.697 *** | 1.825 *** |
| (64.33) | (20.93) | (64.33) | (20.93) | |
| ln_popu | 0.103 *** | 0.064 *** | −0.897 *** | −0.936 *** |
| (7.53) | (4.74) | (−65.42) | (−68.94) | |
| ln_K | 0.090 *** | 0.128 *** | 0.090 *** | 0.128 *** |
| (20.13) | (18.20) | (20.13) | (18.20) | |
| ln_finance | 0.194 *** | 0.112 *** | 0.194 *** | 0.112 *** |
| (37.91) | (17.38) | (37.91) | (17.38) | |
| ln_area_farm | −0.001 | −0.001 | ||
| (−0.03) | (−0.03) | |||
| ln_constru | 0.019 *** | 0.019 *** | ||
| (5.27) | (5.27) | |||
| _cons | 1.245 *** | 0.988 *** | 1.245 *** | 0.988 *** |
| (45.48) | (7.08) | (45.48) | (7.08) | |
| N | 11,408 | 4581 | 11,408 | 4581 |
| r2 | 0.910 | 0.948 | 0.908 | 0.950 |
| r2_a | 0.90 | 0.94 | 0.90 | 0.94 |
Publisher’s Note: MDPI stays neutral with regard to jurisdictional claims in published maps and institutional affiliations. |
© 2022 by the authors. Licensee MDPI, Basel, Switzerland. This article is an open access article distributed under the terms and conditions of the Creative Commons Attribution (CC BY) license (https://creativecommons.org/licenses/by/4.0/).
Share and Cite
Yang, H.; Shi, C.; Li, J.; Liu, T.; Li, Y.; Wang, Y.; Yang, Y. Has the Inter-Regional Power Transmission Promoted Economic Development? A Quantitative Assessment in China. Sustainability 2022, 14, 13402. https://doi.org/10.3390/su142013402
Yang H, Shi C, Li J, Liu T, Li Y, Wang Y, Yang Y. Has the Inter-Regional Power Transmission Promoted Economic Development? A Quantitative Assessment in China. Sustainability. 2022; 14(20):13402. https://doi.org/10.3390/su142013402
Chicago/Turabian StyleYang, Huaibo, Chao Shi, Jianbo Li, Tianran Liu, Youwei Li, Yao Wang, and Yueying Yang. 2022. "Has the Inter-Regional Power Transmission Promoted Economic Development? A Quantitative Assessment in China" Sustainability 14, no. 20: 13402. https://doi.org/10.3390/su142013402
APA StyleYang, H., Shi, C., Li, J., Liu, T., Li, Y., Wang, Y., & Yang, Y. (2022). Has the Inter-Regional Power Transmission Promoted Economic Development? A Quantitative Assessment in China. Sustainability, 14(20), 13402. https://doi.org/10.3390/su142013402

