The Thermo-Mechanical and Dielectric Properties of Superhydrophobic Pbz/TiO2 Composites
Abstract
1. Introduction
2. Materials and Methods
2.1. Synthesis of Bzo-TA
2.2. Fabrication of Pbz-TA/TiO2 Composites
3. Results
3.1. Structure Analysis of Bzo-TA
3.2. Curing Behavior of Bzo-TA Blends
3.3. Morphological Studies
3.4. Water Contact Angle Analysis
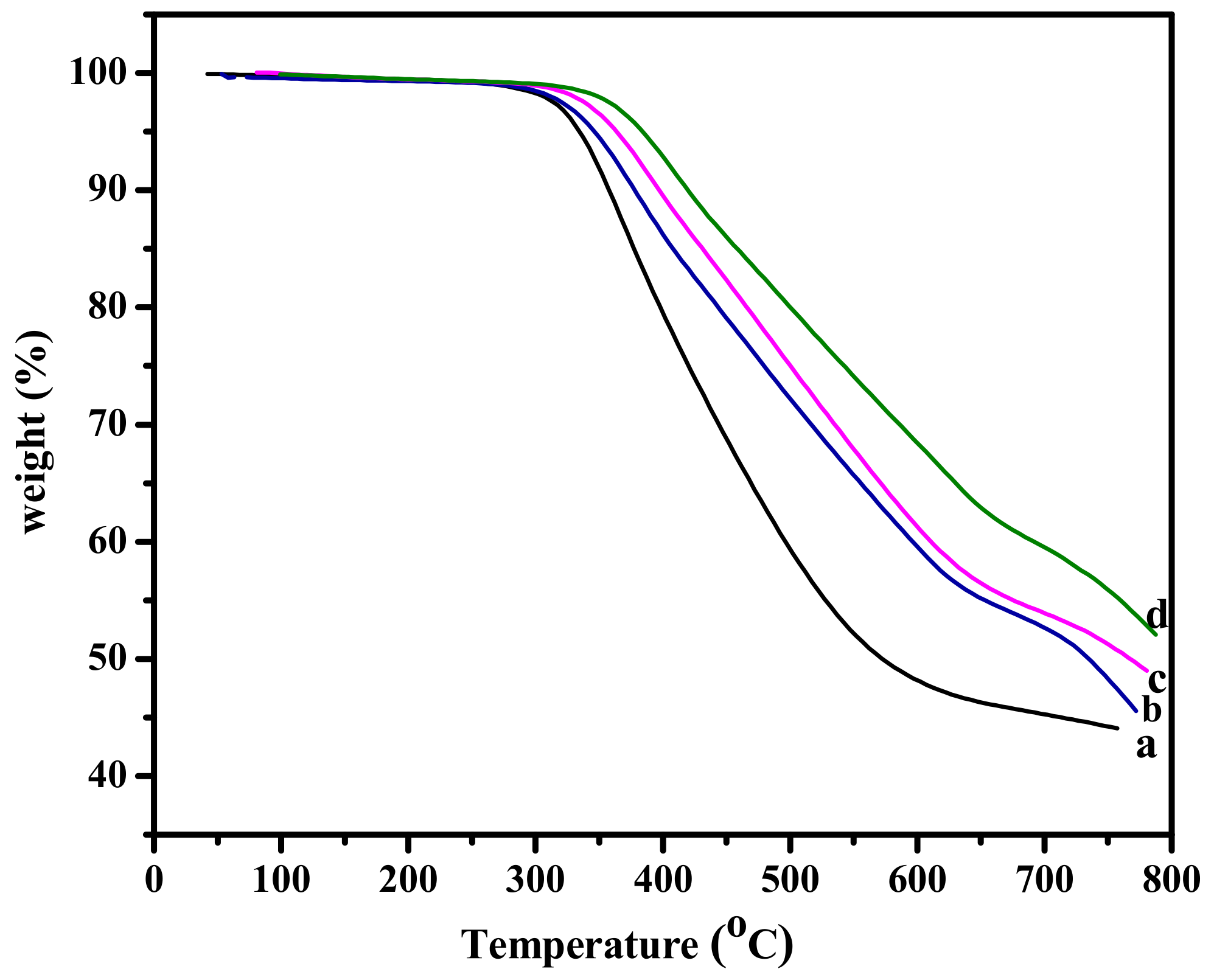
3.5. Thermo-Mechanical Behavior of Pbz-TA/TiO2 Composites
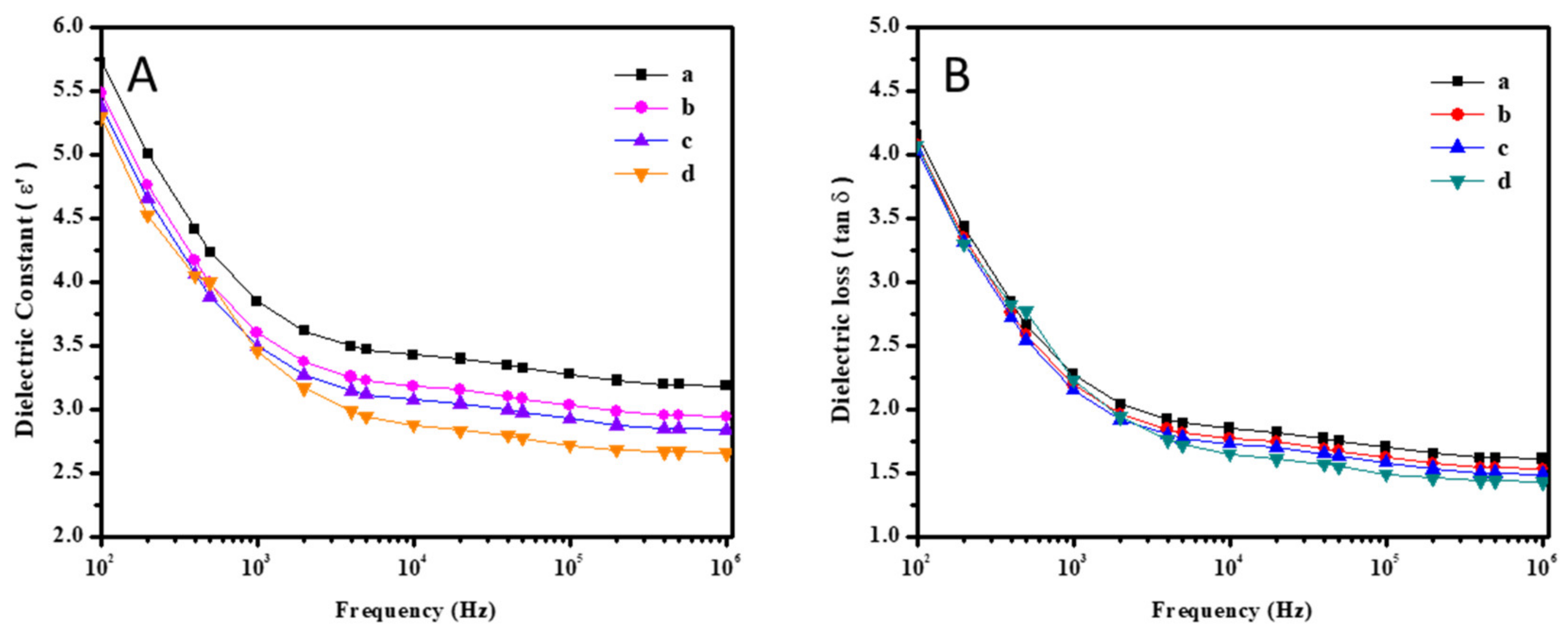
3.6. Dielectric Behavior of Pbz-TA/TiO2 Composites
4. Conclusions
Supplementary Materials
Author Contributions
Funding
Institutional Review Board Statement
Informed Consent Statement
Data Availability Statement
Conflicts of Interest
References
- Chen, J.-K.; Wang, J.-H.; Fan, S.-K.; Chang, J.-Y. Reversible Hydrophobic/Hydrophilic Adhesive of PS-b-PNIPAAm Copolymer Brush Nanopillar Arrays for Mimicking the Climbing Aptitude of Geckos. J. Phys. Chem. C 2012, 116, 6980–6992. [Google Scholar] [CrossRef]
- Chapman, J.; Regan, F. Nanofunctionalized Superhydrophobic Antifouling Coatings for Environmental Sensor Applications-Advancing Deployment with Answers from Nature. Adv. Eng. Mater. 2012, 14, B175–B184. [Google Scholar] [CrossRef]
- Chen, J.-K.; Wang, J.-H.; Cheng, C.-C.; Chang, J.-Y. Reversibly Thermoswitchable Two-Dimensional Periodic Gratings Prepared from Tethered Poly(N-isopropylacrylamide) on Silicon Surfaces. ACS Appl. Mater. Interfaces 2013, 5, 2959–2966. [Google Scholar] [CrossRef] [PubMed]
- Zou, H.; Lin, S.; Tu, Y.; Liu, G.; Hu, J.; Li, F.; Miao, L.; Zhang, G.; Luo, H.; Liu, F.; et al. Simple approach towards fabrication of highly durable and robust superhydrophobic cotton fabric from functional diblock copolymer. J. Mater. Chem. A 2013, 1, 11246. [Google Scholar] [CrossRef]
- Kommireddy, D.S.; Patel, A.A.; Shutava, T.G.; Mills, D.K.; Lvov, Y.M. Layer-by-Layer Assembly of TiO2 Nanoparticles for Stable Hydrophilic Biocompatible Coatings. J. Nanosci. Nanotechnol. 2005, 5, 1081–1087. [Google Scholar] [CrossRef]
- Wang, L.; Zhang, X.; Fu, Y.; Li, B.; Liu, Y. Bioinspired Preparation of Ultrathin SiO2 Shell on ZnO Nanowire Array for Ultraviolet-Durable Superhydrophobicity. Langmuir 2009, 25, 13619–13624. [Google Scholar] [CrossRef]
- Xu, Q.F.; Liu, Y.; Lin, F.-J.; Mondal, B.; Lyons, A.M. Superhydrophobic TiO2–Polymer Nanocomposite Surface with UV-Induced Reversible Wettability and Self-Cleaning Properties. ACS Appl. Mater. Interfaces 2013, 5, 8915–8924. [Google Scholar] [CrossRef]
- Fu, Q.; Rao, G.V.R.; Basame, S.B.; Keller, D.J.; Artyushkova, K.; Fulghum, J.E.; López, G.P. Reversible Control of Free Energy and Topography of Nanostructured Surfaces. J. Am. Chem. Soc. 2004, 126, 8904–8905. [Google Scholar] [CrossRef]
- Kamegawa, T.; Shimizu, Y.; Yamashita, H. Superhydrophobic Surfaces with Photocatalytic Self-Cleaning Properties by Nanocomposite Coating of TiO2 and Polytetrafluoroethylene. Adv. Mater. 2012, 24, 3697–3700. [Google Scholar] [CrossRef]
- Zhu, Y.-P.; Li, M.; Liu, Y.-L.; Ren, T.-Z.; Yuan, Z.-Y. Carbon-Doped ZnO Hybridized Homogeneously with Graphitic Carbon Nitride Nanocomposites for Photocatalysis. J. Phys. Chem. C 2014, 118, 10963–10971. [Google Scholar] [CrossRef]
- Feng, X.; Zhai, J.; Jiang, L. The Fabrication and Switchable Superhydrophobicity of TiO2 Nanorod Films. Angew. Chem. Int. Ed. 2005, 44, 5115–5118. [Google Scholar] [CrossRef] [PubMed]
- Qing, Y.; Yang, C.; Yu, N.; Shang, Y.; Sun, Y.; Wang, L.; Liu, C. Superhydrophobic TiO2/polyvinylidene fluoride composite surface with reversible wettability switching and corrosion resistance. Chem. Eng. J. 2016, 290, 37–44. [Google Scholar] [CrossRef]
- Lai, Y.; Pan, F.; Xu, C.; Fuchs, H.; Chi, L. In Situ Surface-Modification-Induced Superhydrophobic Patterns with Reversible Wettability and Adhesion. Adv. Mater. 2013, 25, 1682–1686. [Google Scholar] [CrossRef] [PubMed]
- Zhang, W. High-performance impedimetric genosensor based on biocompatible TiO2 nanoparticles supported carbon ionic liquid electrode. Sens. Actuators B Chem. 2013, 176, 386–389. [Google Scholar] [CrossRef]
- Wu, Q.; Li, S. Synthesis of TiO2/Al-MCM-41 Composites with Coal-Measure Kaolin and Performance in Its Photocatalysis. Mater. Sci. Appl. 2011, 2, 14–19. [Google Scholar]
- Nakata, K.; Kimura, H.; Sakai, M.; Ochiai, T.; Sakai, H.; Murakami, T.; Abe, M.; Fujishima, A. UV/Thermally Driven Rewritable Wettability Patterns on TiO2−PDMS Composite Films. ACS Appl. Mater. Interfaces 2010, 2, 2485–2488. [Google Scholar] [CrossRef]
- Thirukumaran, P.; Shakila, A.; Muthusamy, S. Synthesis and characterization of novel bio-based benzoxazines from eugenol. RSC Adv. 2014, 4, 7959–7966. [Google Scholar] [CrossRef]
- Thirukumaran, P.; Parveen, A.S.; Sarojadevi, M. Synthesis and Copolymerization of Fully Biobased Benzoxazines from Renewable Resources. ACS Sustain. Chem. Eng. 2014, 2, 2790–2801. [Google Scholar] [CrossRef]
- Periyasamy, T.; Asrafali, S.P.; Muthusamy, S. New benzoxazines containing polyhedral oligomeric silsesquioxane from eugenol, guaiacol and vanillin. New J. Chem. 2015, 39, 1691–1702. [Google Scholar] [CrossRef]
- Thirukumaran, P.; Shakila Parveen, A.; Kim, S.C. Functionalized MWCNTs, an efficient reinforcement for the preparation of eugenol based high performance PBz/BMI/CNT nanocomposites exhibiting outstanding thermo-mechanical properties. New J. Chem. 2017, 41, 6607–6615. [Google Scholar]
- Agag, T.; Takeichi, T. Synthesis and Characterization of Novel Benzoxazine Monomers Containing Allyl Groups and Their High Performance Thermosets. Macromolecules 2003, 36, 6010–6017. [Google Scholar] [CrossRef]
- Wang, C.F.; Su, Y.; Kuo, S.; Huang, C.; Sheen, Y.; Chang, F. Low-Surface-Free-Energy Materials Based on Polybenzoxazines. Angew. Chem. Int. Ed. 2006, 45, 2248–2251. [Google Scholar] [CrossRef]
- Liao, C.-S.; Wang, C.-F.; Lin, H.-C.; Chou, H.-Y.; Chang, F.-C. Fabrication of Patterned Superhydrophobic Polybenzoxazine Hybrid Surfaces. Langmuir 2009, 25, 3359–3362. [Google Scholar] [CrossRef] [PubMed]
- Isimjan, T.T.; Wang, T.; Rohani, S. A novel method to prepare superhydrophobic, UV resistance and anti-corrosion steel surface. Chem. Eng. J. 2012, 210, 182–187. [Google Scholar] [CrossRef]
- Wenzel, R.N. Resistance of solid surfaces to wetting by water. Ind. Eng. Chem. 1936, 28, 988–994. [Google Scholar] [CrossRef]
- Cassie, A.B.D.; Baxter, S. Wettability of porous surfaces. Trans. Faraday Soc. 1944, 40, 546–551. [Google Scholar] [CrossRef]
- Murakami, D.; Jinnai, H.; Takahara, A. Wetting Transition from the Cassie–Baxter State to the Wenzel State on Textured Polymer Surfaces. Langmuir 2014, 30, 2061–2067. [Google Scholar] [CrossRef] [PubMed]
- Liao, C.-S.; Wang, C.-F.; Lin, H.-C.; Chou, H.-Y.; Chang, F.-C. Tuning the Surface Free Energy of Polybenzoxazine Thin Films. J. Phys. Chem. C 2008, 112, 16189–16191. [Google Scholar] [CrossRef]
- Schmitt, M. Synthesis and testing of ZnO nanoparticles for photo-initiation: Experimental observation of two different non-migration initiators for bulk polymerization. Nanoscale 2015, 7, 9532–9544. [Google Scholar] [CrossRef]
- Parveen, A.S.; Thirukumaran, P.; Sarojadevi, M. Low dielectric materials from fluorinated polybenzoxazines. Polym. Adv. Technol. 2014, 25, 1538–1545. [Google Scholar] [CrossRef]











| Sr. No. | Sample | TiO2 Ratio | Tonset (°C) | Tmax (°C) | Tfinal (°C) |
|---|---|---|---|---|---|
| 1 | Bzo-TA/TiO | 0 | 130 | 163 | 175 |
| 2 | 1 | 137 | 164 | 192 | |
| 3 | 3 | 143 | 174 | 218 | |
| 4 | 5 | 151 | 176 | 216 |
| Sr. No. | Sample | TiO2 Ratio | DMA | ||
|---|---|---|---|---|---|
| Storage Modulus | Tg (°C) | CLD ×105 mol/m3 | |||
| 1 | PBz- TA/TiO2 | 0 | 2.62 | 136 | 3.4 |
| 2 | 1 | 2.66 | 149 | 3.5 | |
| 3 | 3 | 2.74 | 155 | 3.6 | |
| 4 | 5 | 2.83 | 161 | 3.7 | |
| Sr. No. | Sample | TiO2 Ratio | Ti (°C) | T5 (°C) | T10 (°C) | CY | LOI |
|---|---|---|---|---|---|---|---|
| 1 | PBz- TA/TiO2 | 0 | 297 | 331 | 394 | 43.2 | 34.8 |
| 2 | 1 | 308 | 354 | 403 | 49.6 | 37.3 | |
| 3 | 3 | 324 | 368 | 422 | 54.3 | 39.2 | |
| 4 | 5 | 344 | 391 | 441 | 57.5 | 40.5 |
| Sr. No. | Sample | TiO2 Ratio | Dielectric | |
|---|---|---|---|---|
| Constant | Loss | |||
| 1 | PBz- TA/TiO2 | 0 | 3.3 | 1.32 |
| 2 | 1 | 3.1 | 1.22 | |
| 3 | 3 | 2.7 | 1.17 | |
| 4 | 5 | 2.6 | 0.99 | |
Publisher’s Note: MDPI stays neutral with regard to jurisdictional claims in published maps and institutional affiliations. |
© 2022 by the authors. Licensee MDPI, Basel, Switzerland. This article is an open access article distributed under the terms and conditions of the Creative Commons Attribution (CC BY) license (https://creativecommons.org/licenses/by/4.0/).
Share and Cite
Asrafali, S.P.; Periyasamy, T.; Raorane, C.J.; Raj, V.; Kim, S.C. The Thermo-Mechanical and Dielectric Properties of Superhydrophobic Pbz/TiO2 Composites. Sustainability 2022, 14, 13401. https://doi.org/10.3390/su142013401
Asrafali SP, Periyasamy T, Raorane CJ, Raj V, Kim SC. The Thermo-Mechanical and Dielectric Properties of Superhydrophobic Pbz/TiO2 Composites. Sustainability. 2022; 14(20):13401. https://doi.org/10.3390/su142013401
Chicago/Turabian StyleAsrafali, Shakila Parveen, Thirukumaran Periyasamy, Chaitany Jayprakash Raorane, Vinit Raj, and Seong Cheol Kim. 2022. "The Thermo-Mechanical and Dielectric Properties of Superhydrophobic Pbz/TiO2 Composites" Sustainability 14, no. 20: 13401. https://doi.org/10.3390/su142013401
APA StyleAsrafali, S. P., Periyasamy, T., Raorane, C. J., Raj, V., & Kim, S. C. (2022). The Thermo-Mechanical and Dielectric Properties of Superhydrophobic Pbz/TiO2 Composites. Sustainability, 14(20), 13401. https://doi.org/10.3390/su142013401

