Urban Expansion Assessment Based on Optimal Granularity in the Huaihe River Basin of China
Abstract
1. Introduction
2. Materials and Methods
2.1. Study Area
2.2. Data Acquisition and Processing
2.3. Selection of Landscape Indices
2.4. Calculation of the Optimal Granularity
2.5. Gradient Analysis
2.6. Urban Land Density Function
3. Results and Analysis
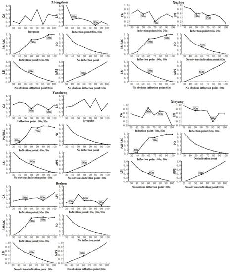
3.1. Calculation of the First Scale Domain and the Optimal Granularities of Differently Sized Cities
3.2. Variations in the Landscape Indices under Optimal Granularity
3.3. Urban Land Density in Concentric Rings at the Optimal Granularity
3.4. Landscape Patterns of Urban Expansion at Optimal Granularity
4. Discussion
4.1. Determination of Optimal Granularity for Urban Expansion Analysis
4.2. Urban Landscape Variation in Different Watershed Locations
4.3. Urban Land Density among Differently Sized Cities
4.4. Comparison of Different Datasets
4.5. Limitations and Uncertainties
5. Conclusions
Author Contributions
Funding
Data Availability Statement
Acknowledgments
Conflicts of Interest
Appendix A
| Zhengzhou | 1990 | 2000 | 2010 | 2017 | ||||||||
|---|---|---|---|---|---|---|---|---|---|---|---|---|
| Ring | NP | CONTIG_MN | MPS | NP | CONTIG_MN | MPS | NP | CONTIG_MN | MPS | NP | CONTIG_MN | MPS |
| 1 | 1 | 0.945 | 309.24 | 1 | 0.946 | 309.6 | 1 | 0.949 | 311.04 | 1 | 0.95 | 312.84 |
| 2 | 1 | 0.914 | 876.96 | 1 | 0.924 | 889.56 | 1 | 0.926 | 893.52 | 2 | 0.465 | 450.72 |
| 3 | 1 | 0.936 | 1518.84 | 1 | 0.948 | 1549.8 | 1 | 0.949 | 1553.04 | 1 | 0.952 | 1559.88 |
| 4 | 8 | 0.295 | 248.265 | 5 | 0.254 | 421.704 | 2 | 0.472 | 1079.46 | 2 | 0.474 | 1086.48 |
| 5 | 15 | 0.123 | 160.344 | 6 | 0.195 | 433.26 | 1 | 0.939 | 2744.64 | 1 | 0.945 | 2779.56 |
| 6 | 73 | 0.172 | 29.574 | 33 | 0.153 | 81.829 | 14 | 0.217 | 220.834 | 8 | 0.231 | 409.77 |
| 7 | 186 | 0.22 | 9.426 | 99 | 0.173 | 25.96 | 39 | 0.2 | 85.366 | 12 | 0.096 | 306.3 |
| 8 | 276 | 0.195 | 4.882 | 186 | 0.195 | 11.563 | 56 | 0.18 | 61.014 | 16 | 0.19 | 253.598 |
| 9 | 294 | 0.204 | 4.61 | 204 | 0.236 | 9.522 | 87 | 0.233 | 39.914 | 44 | 0.235 | 99.245 |
| 10 | 329 | 0.187 | 3.435 | 267 | 0.202 | 6.395 | 148 | 0.199 | 23.891 | 40 | 0.218 | 119.304 |
| 11 | 429 | 0.17 | 2.455 | 366 | 0.183 | 4.343 | 178 | 0.177 | 21.212 | 47 | 0.177 | 114.74 |
| 12 | 457 | 0.164 | 2.325 | 420 | 0.175 | 3.455 | 249 | 0.184 | 13.888 | 72 | 0.189 | 73.73 |
| 13 | 385 | 0.172 | 2.826 | 408 | 0.191 | 3.425 | 290 | 0.233 | 11.035 | 132 | 0.174 | 40.751 |
| 14 | 492 | 0.156 | 2.15 | 500 | 0.169 | 2.681 | 330 | 0.206 | 9.329 | 142 | 0.188 | 40.178 |
| 15 | 490 | 0.147 | 2.172 | 485 | 0.164 | 2.705 | 414 | 0.178 | 6.232 | 260 | 0.167 | 20.161 |
| 16 | 483 | 0.143 | 1.921 | 489 | 0.162 | 2.244 | 483 | 0.189 | 4.562 | 283 | 0.207 | 18.24 |
| 17 | 573 | 0.139 | 1.696 | 580 | 0.151 | 1.983 | 559 | 0.178 | 3.579 | 370 | 0.211 | 12.407 |
| 18 | 585 | 0.131 | 1.737 | 568 | 0.138 | 2.17 | 521 | 0.165 | 3.893 | 422 | 0.196 | 10.699 |
| 19 | 594 | 0.136 | 1.472 | 587 | 0.156 | 1.808 | 592 | 0.178 | 3.174 | 491 | 0.234 | 9.003 |
| 20 | 585 | 0.141 | 1.596 | 585 | 0.146 | 1.825 | 558 | 0.17 | 3.288 | 512 | 0.197 | 8.285 |
| Xuzhou | 1990 | 2000 | 2010 | 2017 | ||||||||
| Ring | NP | CONTIG_MN | MPS | NP | CONTIG_MN | MPS | NP | CONTIG_MN | MPS | NP | CONTIG_MN | MPS |
| 1 | 1 | 0.949 | 301.25 | 2 | 0.558 | 150.875 | 1 | 0.948 | 302 | 1 | 0.949 | 300.25 |
| 2 | 5 | 0.251 | 169.3 | 4 | 0.317 | 216.438 | 5 | 0.22 | 174.05 | 1 | 0.936 | 883 |
| 3 | 30 | 0.181 | 36.35 | 25 | 0.229 | 47.36 | 6 | 0.399 | 215.958 | 5 | 0.394 | 264.45 |
| 4 | 71 | 0.269 | 13.718 | 58 | 0.244 | 21.608 | 32 | 0.26 | 45.461 | 15 | 0.309 | 102.283 |
| 5 | 103 | 0.244 | 9.007 | 80 | 0.225 | 15.719 | 36 | 0.212 | 48.271 | 24 | 0.31 | 80.927 |
| 6 | 155 | 0.278 | 6.147 | 145 | 0.268 | 9.093 | 83 | 0.238 | 24.307 | 49 | 0.243 | 49.199 |
| 7 | 171 | 0.264 | 5.104 | 159 | 0.276 | 7.978 | 109 | 0.228 | 19.083 | 62 | 0.206 | 43.589 |
| 8 | 167 | 0.273 | 4.418 | 153 | 0.28 | 6.842 | 151 | 0.252 | 13.886 | 84 | 0.219 | 36.991 |
| 9 | 227 | 0.24 | 3.371 | 207 | 0.258 | 4.866 | 162 | 0.272 | 12.694 | 124 | 0.268 | 24.127 |
| 10 | 235 | 0.245 | 3.211 | 223 | 0.26 | 4.436 | 212 | 0.226 | 9.075 | 170 | 0.244 | 16.649 |
| 11 | 242 | 0.251 | 3.217 | 272 | 0.246 | 3.41 | 278 | 0.268 | 5.973 | 240 | 0.249 | 11.943 |
| 12 | 235 | 0.255 | 2.934 | 229 | 0.28 | 3.778 | 302 | 0.245 | 5.217 | 247 | 0.252 | 11.867 |
| 13 | 217 | 0.245 | 3.431 | 221 | 0.266 | 4.337 | 267 | 0.262 | 6.155 | 324 | 0.239 | 8.378 |
| 14 | 233 | 0.253 | 2.643 | 251 | 0.281 | 3.27 | 310 | 0.269 | 3.838 | 422 | 0.246 | 5.242 |
| 15 | 194 | 0.25 | 2.999 | 212 | 0.246 | 3.406 | 251 | 0.259 | 4.284 | 343 | 0.221 | 5.754 |
| 16 | 192 | 0.258 | 3.322 | 181 | 0.314 | 4.435 | 216 | 0.297 | 4.753 | 358 | 0.253 | 5.026 |
| 17 | 179 | 0.25 | 2.856 | 199 | 0.225 | 3.206 | 224 | 0.258 | 3.732 | 327 | 0.255 | 4.657 |
| Yancheng | 1990 | 2000 | 2010 | 2017 | ||||||||
| Ring | NP | CONTIG_MN | MPS | NP | CONTIG_MN | MPS | NP | CONTIG_MN | MPS | NP | CONTIG_MN | MPS |
| 1 | 12 | 0.138 | 19.347 | 4 | 0.23 | 72.32 | 3 | 0.313 | 98.88 | 2 | 0.473 | 151.12 |
| 2 | 49 | 0.183 | 9.838 | 11 | 0.222 | 69.251 | 4 | 0.306 | 210.92 | 4 | 0.331 | 216.52 |
| 3 | 130 | 0.175 | 2.03 | 80 | 0.179 | 9.13 | 25 | 0.158 | 45.504 | 15 | 0.229 | 87.541 |
| 4 | 86 | 0.168 | 0.919 | 177 | 0.179 | 1.577 | 144 | 0.221 | 6.089 | 57 | 0.214 | 24.104 |
| 5 | 75 | 0.169 | 1.052 | 188 | 0.172 | 1.439 | 173 | 0.203 | 5.004 | 111 | 0.263 | 13.493 |
| 6 | 67 | 0.098 | 0.7 | 155 | 0.152 | 1.052 | 161 | 0.219 | 5.212 | 200 | 0.214 | 8.314 |
| 7 | 35 | 0.119 | 0.526 | 74 | 0.121 | 0.664 | 166 | 0.219 | 3.954 | 273 | 0.193 | 5.873 |
| 8 | 33 | 0.158 | 0.64 | 66 | 0.128 | 0.693 | 177 | 0.218 | 3.81 | 263 | 0.206 | 5.783 |
| 9 | 48 | 0.186 | 0.807 | 73 | 0.18 | 0.877 | 243 | 0.221 | 2.048 | 333 | 0.182 | 5.061 |
| 10 | 44 | 0.148 | 1.244 | 71 | 0.112 | 1.566 | 176 | 0.206 | 2.871 | 378 | 0.184 | 4.168 |
| 11 | 24 | 0.166 | 0.953 | 33 | 0.148 | 1.324 | 175 | 0.192 | 1.71 | 492 | 0.195 | 2.241 |
| 12 | 29 | 0.103 | 0.585 | 54 | 0.114 | 0.761 | 135 | 0.184 | 1.703 | 454 | 0.2 | 2.067 |
| 13 | 29 | 0.12 | 1.23 | 43 | 0.124 | 1.403 | 93 | 0.158 | 1.397 | 431 | 0.183 | 2.108 |
| 14 | 26 | 0.166 | 0.498 | 36 | 0.153 | 0.56 | 76 | 0.208 | 1.785 | 463 | 0.185 | 1.651 |
| 15 | 17 | 0.088 | 0.856 | 28 | 0.081 | 0.657 | 72 | 0.161 | 1.209 | 435 | 0.19 | 1.421 |
| 16 | 14 | 0.044 | 0.206 | 27 | 0.038 | 0.201 | 69 | 0.141 | 0.645 | 376 | 0.154 | 1.119 |
| 17 | 24 | 0.151 | 1 | 30 | 0.173 | 1.291 | 48 | 0.168 | 1.627 | 350 | 0.154 | 1.138 |
| 18 | 14 | 0.193 | 0.64 | 30 | 0.15 | 0.693 | 54 | 0.2 | 1.375 | 358 | 0.149 | 0.97 |
| Xinyang | 1990 | 2000 | 2010 | 2017 | ||||||||
| Ring | NP | CONTIG_MN | MPS | NP | CONTIG_MN | MPS | NP | CONTIG_MN | MPS | NP | CONTIG_MN | MPS |
| 1 | 1 | 0.968 | 297.44 | 1 | 0.968 | 298.24 | 1 | 0.968 | 298.72 | 1 | 0.968 | 299.2 |
| 2 | 4 | 0.221 | 188.2 | 2 | 0.455 | 396.72 | 2 | 0.565 | 406.48 | 1 | 0.928 | 835.84 |
| 3 | 77 | 0.194 | 11.684 | 63 | 0.19 | 15.743 | 14 | 0.23 | 86.389 | 13 | 0.254 | 102.572 |
| 4 | 280 | 0.168 | 2.074 | 263 | 0.174 | 2.393 | 121 | 0.176 | 8.169 | 64 | 0.213 | 20.765 |
| 5 | 265 | 0.18 | 1.567 | 246 | 0.181 | 1.911 | 147 | 0.188 | 4.716 | 152 | 0.213 | 6.945 |
| 6 | 268 | 0.162 | 1.799 | 262 | 0.159 | 2.037 | 192 | 0.187 | 3.734 | 190 | 0.202 | 5.799 |
| 7 | 236 | 0.168 | 2.043 | 220 | 0.167 | 2.398 | 182 | 0.165 | 3.78 | 183 | 0.175 | 5.863 |
| 8 | 207 | 0.162 | 1.594 | 200 | 0.164 | 1.756 | 177 | 0.174 | 2.434 | 132 | 0.218 | 5.673 |
| 9 | 180 | 0.156 | 0.95 | 174 | 0.16 | 1.041 | 115 | 0.207 | 2.387 | 124 | 0.198 | 3.614 |
| 10 | 189 | 0.169 | 0.782 | 186 | 0.172 | 0.819 | 150 | 0.191 | 1.636 | 124 | 0.223 | 3.52 |
| 11 | 158 | 0.156 | 0.687 | 158 | 0.156 | 0.693 | 143 | 0.158 | 1.328 | 123 | 0.207 | 3.148 |
| 12 | 212 | 0.122 | 0.69 | 210 | 0.122 | 0.709 | 145 | 0.136 | 1.834 | 91 | 0.195 | 6.082 |
| 13 | 153 | 0.154 | 0.656 | 152 | 0.155 | 0.681 | 139 | 0.166 | 1.275 | 94 | 0.243 | 4.294 |
| 14 | 111 | 0.19 | 0.817 | 112 | 0.191 | 0.826 | 112 | 0.184 | 1.007 | 87 | 0.217 | 3.062 |
| Bozhou | 1990 | 2000 | 2010 | 2017 | ||||||||
| Ring | NP | CONTIG_MN | MPS | NP | CONTIG_MN | MPS | NP | CONTIG_MN | MPS | NP | CONTIG_MN | MPS |
| 1 | 3 | 0.373 | 85.12 | 1 | 0.946 | 298.4 | 1 | 0.958 | 304.64 | 1 | 0.964 | 307.84 |
| 2 | 69 | 0.225 | 5.904 | 14 | 0.254 | 47.577 | 8 | 0.338 | 93.16 | 7 | 0.329 | 114.606 |
| 3 | 133 | 0.23 | 1.992 | 102 | 0.225 | 4.295 | 49 | 0.186 | 15.569 | 40 | 0.238 | 25.972 |
| 4 | 113 | 0.189 | 1.625 | 124 | 0.169 | 2.117 | 113 | 0.21 | 4.576 | 95 | 0.268 | 10.74 |
| 5 | 87 | 0.13 | 0.5 | 100 | 0.139 | 0.71 | 128 | 0.219 | 2.154 | 149 | 0.251 | 6.054 |
| 6 | 88 | 0.124 | 0.513 | 103 | 0.136 | 0.523 | 160 | 0.188 | 1.087 | 191 | 0.253 | 4.581 |
| 7 | 78 | 0.203 | 0.724 | 93 | 0.162 | 0.58 | 136 | 0.196 | 1.145 | 186 | 0.221 | 4.754 |
| 8 | 68 | 0.155 | 0.694 | 72 | 0.15 | 0.751 | 114 | 0.181 | 1.228 | 210 | 0.205 | 3.384 |
| 9 | 49 | 0.184 | 0.63 | 71 | 0.158 | 0.647 | 95 | 0.158 | 0.889 | 187 | 0.213 | 2.856 |
| 10 | 45 | 0.132 | 0.697 | 41 | 0.158 | 1.128 | 66 | 0.151 | 1.076 | 172 | 0.179 | 2.887 |
| 11 | 27 | 0.148 | 0.444 | 31 | 0.148 | 0.588 | 46 | 0.158 | 0.626 | 149 | 0.221 | 2.236 |
| 12 | 34 | 0.139 | 0.409 | 39 | 0.137 | 0.439 | 48 | 0.13 | 0.5 | 143 | 0.236 | 2.846 |
| 13 | 42 | 0.098 | 0.469 | 43 | 0.138 | 0.595 | 49 | 0.167 | 0.676 | 132 | 0.212 | 2.468 |
| 14 | 25 | 0.149 | 0.704 | 30 | 0.145 | 0.976 | 33 | 0.188 | 1.488 | 126 | 0.185 | 1.798 |
Appendix B
| Yancheng | 1990 | 2000 | 2010 | 2017 | ||||||||
|---|---|---|---|---|---|---|---|---|---|---|---|---|
| Ring | NP | CONTIG_MN | MPS | NP | CONTIG_MN | MPS | NP | CONTIG_MN | MPS | NP | CONTIG_MN | MPS |
| 1 | 1 | 0.967 | 310.720 | 1 | 0.969 | 313.280 | 1 | 0.967 | 312.000 | 1 | 0.966 | 311.360 |
| 2 | 6 | 0.264 | 128.320 | 3 | 0.314 | 290.507 | 3 | 0.318 | 301.333 | 2 | 0.477 | 451.440 |
| 3 | 97 | 0.222 | 6.037 | 33 | 0.269 | 31.433 | 15 | 0.293 | 86.656 | 8 | 0.360 | 173.400 |
| 4 | 174 | 0.202 | 1.528 | 155 | 0.285 | 4.087 | 74 | 0.300 | 15.840 | 47 | 0.307 | 30.557 |
| 5 | 173 | 0.175 | 1.383 | 166 | 0.244 | 3.897 | 130 | 0.294 | 9.077 | 121 | 0.309 | 12.517 |
| 6 | 181 | 0.162 | 1.115 | 201 | 0.236 | 2.298 | 170 | 0.243 | 6.369 | 142 | 0.297 | 11.367 |
| 7 | 209 | 0.117 | 0.589 | 240 | 0.179 | 0.992 | 264 | 0.236 | 3.196 | 234 | 0.252 | 6.371 |
| 8 | 164 | 0.134 | 0.803 | 196 | 0.183 | 1.194 | 232 | 0.215 | 3.550 | 229 | 0.226 | 6.165 |
| 9 | 217 | 0.128 | 0.882 | 231 | 0.184 | 1.259 | 332 | 0.205 | 1.947 | 286 | 0.245 | 4.991 |
| 10 | 206 | 0.152 | 1.348 | 219 | 0.177 | 1.862 | 292 | 0.223 | 2.485 | 315 | 0.245 | 4.462 |
| 11 | 258 | 0.154 | 0.736 | 245 | 0.198 | 1.151 | 325 | 0.236 | 1.487 | 399 | 0.270 | 2.635 |
| 12 | 293 | 0.148 | 0.805 | 280 | 0.175 | 1.291 | 350 | 0.195 | 1.548 | 425 | 0.236 | 2.217 |
| 13 | 278 | 0.150 | 0.962 | 286 | 0.165 | 1.249 | 327 | 0.185 | 1.394 | 388 | 0.230 | 2.191 |
| 14 | 304 | 0.132 | 0.597 | 308 | 0.183 | 0.850 | 340 | 0.205 | 1.143 | 434 | 0.239 | 1.681 |
| 15 | 307 | 0.132 | 0.663 | 316 | 0.167 | 0.890 | 344 | 0.181 | 1.052 | 451 | 0.208 | 1.530 |
| 16 | 384 | 0.122 | 0.493 | 393 | 0.146 | 0.614 | 419 | 0.160 | 0.720 | 485 | 0.193 | 1.124 |
| 17 | 417 | 0.130 | 0.596 | 407 | 0.150 | 0.802 | 450 | 0.158 | 0.891 | 511 | 0.195 | 1.361 |
| 18 | 436 | 0.121 | 0.575 | 432 | 0.171 | 0.796 | 458 | 0.194 | 1.055 | 520 | 0.221 | 1.409 |
References
- Zhang, Z.; Liu, F.; Zhao, X.; Wang, X.; Shi, L.; Xu, J.; Yu, S.; Wen, Q.; Zuo, L.; Yi, L.; et al. Urban Expansion in China Based on Remote Sensing Technology: A Review. Chin. Geogr. Sci. 2018, 28, 727–743. [Google Scholar] [CrossRef]
- Harvey, R.O.; Clark, W.A.V. The Nature and Economics of Urban Sprawl. Land Econ. 1965, 41, 1–9. [Google Scholar] [CrossRef]
- Qiu, G.; Wang, Y.; Guo, S.; Niu, Q.; Qin, L.; Zhu, D.; Gong, Y. Assessment and Spatial-Temporal Evolution Analysis of Land Use Conflict within Urban Spatial Zoning: Case of the Su-Xi-Chang Region. Sustainability 2022, 14, 2286. [Google Scholar] [CrossRef]
- Ewing, R. Counterpoint: Is Los Angeles-Style Sprawl Desirable? J. Am. Plann. Assoc. 1997, 63, 107. [Google Scholar] [CrossRef]
- Long, Y.; Han, H.; Tu, Y.; Shu, X. Evaluating the effectiveness of urban growth boundaries using human mobility and activity records. Cities 2015, 46, 76–84. [Google Scholar] [CrossRef]
- Bhatta, B.; Saraswati, S.; Bandyopadhyay, D. Urban sprawl measurement from remote sensing data. Appl. Geogr. 2010, 30, 731–740. [Google Scholar] [CrossRef]
- Gao, B.; Huang, Q.; He, C.; Sun, Z.; Zhang, D. How does sprawl differ across cities in China? A multi-scale investigation using nighttime light and census data. Landsc. Urban Plan 2016, 148, 89–98. [Google Scholar] [CrossRef]
- Jiao, L.; Mao, L.; Liu, Y. Multi-order Landscape Expansion Index: Characterizing urban expansion dynamics. Landsc. Urban Plan 2015, 137, 30–39. [Google Scholar] [CrossRef]
- Frenkel, A.; Ashkenazi, M. Measuring Urban Sprawl: How Can We Deal with It? Environ. Plan. B Plan. Des. 2008, 35, 56–79. [Google Scholar] [CrossRef]
- Jaeger, J.A.G.; Bertiller, R.; Schwick, C.; Kienast, F. Suitability criteria for measures of urban sprawl. Ecol. Indic. 2010, 10, 397–406. [Google Scholar] [CrossRef]
- Wang, Y.; Li, M. Urban Impervious Surface Detection from Remote Sensing Images: A review of the methods and challenges. IEEE Geosc. Rem. Sen. Mag. 2019, 7, 64–93. [Google Scholar] [CrossRef]
- Feng, S.; Fan, F. Impervious surface extraction based on different methods from multiple spatial resolution images: A comprehensive comparison. Int. J. Digit. Earth 2021, 14, 1148–1174. [Google Scholar] [CrossRef]
- Liu, L.; Xiao, M.; Wen, Y.; Kuang, H.; Yang, Z. Research on Improvement of Landscape Expansion Index and Its Application based on GIS. GeoJournal 2022, 87, 2101–2123. [Google Scholar]
- Das, S.; Angadi, D.P. Land use land cover change detection and monitoring of urban growth using remote sensing and GIS techniques: A micro-level study. GeoJournal 2022, 87, 2101–2123. [Google Scholar] [CrossRef]
- Man, X.; Chen, Y. Fractal-Based Modeling and Spatial Analysis of Urban Form and Growth: A Case Study of Shenzhen in China. Isprs. Int. J. Geo-Inf. 2020, 9, 672. [Google Scholar] [CrossRef]
- Zhong, X.; Xu, Q.; Li, S. Analysis on the Characteristics and Spatial Pattern of Urban Expansion in Yuxi City. In Proceedings of the 2021 IEEE 4th Advanced Information Management, Communicates, Electronic and Automation Control Conference (IMCEC), Chongqing, China, 18–20 January 2021. [Google Scholar]
- Yang, J.; Li, S.; Lu, H. Quantitative Influence of Land-Use Changes and Urban Expansion Intensity on Landscape Pattern in Qingdao, China: Implications for Urban Sustainability. Sustainability 2019, 11, 6174. [Google Scholar] [CrossRef]
- Feng, X.; Xiu, C.; Bai, L.; Zhong, Y.; Wei, Y. Comprehensive evaluation of urban resilience based on the perspective of landscape pattern: A case study of Shenyang city. Cities 2020, 104, 102722. [Google Scholar] [CrossRef]
- Chettry, V.; Surawar, M. Delineating Urban Growth Boundary Using Remote sensing, ANN-MLP and CA model: A Case Study of Thiruvananthapuram Urban Agglomeration, India. J. Indian Soc. Remote 2021, 49, 2437–2450. [Google Scholar] [CrossRef]
- Das, S.; Jain, G.V. Assessment and Prediction of Urban Expansion Using CA-Based SLEUTH Urban Growth Model: A Case Study of Kolkata Metropolitan Area (KMA), West Bengal, India. J. Indian Soc. Remote 2022. [Google Scholar] [CrossRef]
- Nong, D.H.; Lepczyk, C.A.; Miura, T.; Fox, J.M. Quantifying urban growth patterns in Hanoi using landscape expansion modes and time series spatial metrics. PLoS ONE 2018, 13, e196940. [Google Scholar] [CrossRef]
- Jiao, L.; Liu, J.; Xu, G.; Dong, T.; Gu, Y.; Zhang, B.; Liu, Y.; Liu, X. Proximity Expansion Index: An improved approach to characterize evolution process of urban expansion. Comput. Environ. Urban Syst. 2018, 70, 102–112. [Google Scholar] [CrossRef]
- Xu, G.; Jiao, L.; Liu, J.; Shi, Z.; Zeng, C.; Liu, Y. Understanding urban expansion combining macro patterns and micro dynamics in three Southeast Asian megacities. Sci. Total Environ. 2019, 660, 375–383. [Google Scholar] [CrossRef]
- Bryan, B.A.; Gao, L.; Ye, Y.; Sun, X.; Connor, J.D.; Crossman, N.D.; Stafford-Smith, M.; Wu, J.; He, C.; Yu, D.; et al. China’s response to a national land-system sustainability emergency. Nature 2018, 559, 193–204. [Google Scholar] [CrossRef]
- Patias, N.; Rowe, F.; Cavazzi, S.; Arribas-Bel, D. Sustainable urban development indicators in Great Britain from 2001 to 2016. Landsc. Urban Plan 2021, 214, 104148. [Google Scholar] [CrossRef]
- Gong, P.; Li, X.; Zhang, W. 40-Year (1978–2017) human settlement changes in China reflected by impervious surfaces from satellite remote sensing. Sci. Bull. 2019, 64, 756–763. [Google Scholar] [CrossRef]
- Jing, S.; Yan, Y.; Niu, F.; Song, W. Urban Expansion in China: Spatiotemporal Dynamics and Determinants. Land 2022, 11, 356. [Google Scholar] [CrossRef]
- Yin, C.; Meng, F.; Yang, X.; Yang, F.; Fu, P.; Yao, G.; Chen, R. Spatio-temporal evolution of urban built-up areas and analysis of driving factors —A comparison of typical cities in north and south China. Land Use Policy 2022, 117, 106114. [Google Scholar] [CrossRef]
- Wang, H.; Wu, Y.; Deng, Y.; Xu, S. Model construction of urban agglomeration expansion simulation considering urban flow and hierarchical characteristics. J. Geogr. Sci. 2022, 32, 499–516. [Google Scholar] [CrossRef]
- Shukla, A.; Jain, K.; Ramsankaran, R.; Rajasekaran, E. Understanding the macro-micro dynamics of urban densification: A case study of different sized Indian cities. Land Use Policy 2021, 107, 105469. [Google Scholar] [CrossRef]
- Keeratikasikorn, C. A comparative study on four major cities in Northeastern Thailand using urban land density function. Geo-Spat. Inf. Sci. 2018, 21, 93–101. [Google Scholar] [CrossRef]
- Jiao, L.; Dong, T. Inverse S-shaped rule of urban land density circle distribution and its application. J. Geomat. 2018, 43, 8–16. [Google Scholar]
- Huang, N.X.; Wei, C.Z.; Cheng, W.; Xue, D.S. A study on the spatial growth law of land use in 16 typical coastal cities in the South China Sea Region. Hum. Geogr. 2022, 37, 150–163. [Google Scholar]
- TV, R.; Aithal, B.H.; Sanna, D.D. Insights to urban dynamics through landscape spatial pattern analysis. Int. J. Appl. Earth Obs. 2012, 18, 329–343. [Google Scholar] [CrossRef]
- Jiao, L. Urban land density function: A new method to characterize urban expansion. Landsc. Urban Plan 2015, 139, 26–39. [Google Scholar] [CrossRef]
- Xu, G.; Dong, T.; Cobbinah, P.B.; Jiao, L.; Sumari, N.S.; Chai, B.; Liu, Y. Urban expansion and form changes across African cities with a global outlook: Spatiotemporal analysis of urban land densities. J. Clean Prod. 2019, 224, 802–810. [Google Scholar] [CrossRef]
- Mao, D.; Wang, Z.; Wu, J.; Wu, B.; Zeng, Y.; Song, K.; Yi, K.; Luo, L. China’s wetlands loss to urban expansion. Land Degrad. Dev. 2018, 29, 2644–2657. [Google Scholar] [CrossRef]
- Song, X.; Hansen, M.C.; Stehman, S.V.; Potapov, P.V.; Tyukavina, A.; Vermote, E.F.; Townshend, J.R. Global land change from 1982 to 2016. Nature 2018, 560, 639–643. [Google Scholar] [CrossRef]
- Gu, Y.; Qiao, X.; Xu, M.; Zou, C.; Liu, D.; Wu, D.; Wang, Y. Assessing the Impacts of Urban Expansion on Bundles of Ecosystem Services by Dmsp-Ols Nighttime Light Data. Sustainability 2019, 11, 5888. [Google Scholar] [CrossRef]
- Li, G.; Fang, C.; Li, Y.; Wang, Z.; Sun, S.; He, S.; Qi, W.; Bao, C.; Ma, H.; Fan, Y.; et al. Global impacts of future urban expansion on terrestrial vertebrate diversity. Nat. Commun. 2022, 13, 1–12. [Google Scholar] [CrossRef]
- He, X.; Bo, Y.; Du, J.; Li, K.; Wang, H.; Zhao, Z. Landscape pattern analysis based on GIS technology and index analysis. Clust. Comput. 2019, 22, 5749–5762. [Google Scholar] [CrossRef]
- Liang, B.P.; Lei, Y.; Qin, Y.N.; Liang, L.M. Comparison of changing landscape patterns in the rapidly urbanizing cities of Guangxi. Acta Ecol. Sin. 2018, 38, 4526–4536. [Google Scholar]
- Schneider, D.C. The Rise of the Concept of Scale in Ecology. Bioscience 2001, 51, 545–553. [Google Scholar] [CrossRef]
- Wu, J.; Shen, W.; Sun, W.; Tueller, P.T. Empirical patterns of the effects of changing scale on landscape metrics. Landsc. Ecol. 2002, 17, 761–782. [Google Scholar] [CrossRef]
- Ou, W.X.; Gan, Y.T.T. Grain size and landscape indices selection by coupling population dynamics and habitat pattern analysis: A case study of wintering Red⁃crowned crane and its habitat in Yancheng. Acta Ecol. Sin. 2016, 36, 2996–3004. [Google Scholar]
- Zhao, W.W.; Fu, B.J.; Chen, L.D. Some fundamental issues in scaling. Adv. Earth Sci. 2002, 17, 905–911. [Google Scholar]
- Wu, J.; Hobbs, R. Key issues and research priorities in landscape ecology: An idiosyncratic synthesis. Landsc. Ecol. 2002, 17, 355–365. [Google Scholar] [CrossRef]
- Li, Z.; Gao, P.; Xu, Z. Information Theory of Cartography: An Information-theoretic Framework for Cartographic Communication. J. Geod. Geoinf. Sci. 2021, 4, 1–16. [Google Scholar]
- Hassan, M.M. Monitoring land use/land cover change, urban growth dynamics and landscape pattern analysis in five fastest urbanized cities in Bangladesh. Remote Sens. Appl. Soc. Environ. 2017, 7, 69–83. [Google Scholar] [CrossRef]
- Shen, S.; Yue, P.; Fan, C. Quantitative assessment of land use dynamic variation using remote sensing data and landscape pattern in the Yangtze River Delta, China. Sustain. Comput. Inform. Syst. 2019, 23, 111–119. [Google Scholar] [CrossRef]
- Wang, J.; Liu, H.; Zemin, W.; Li, Y. Landscape pattern analysis of the urban forest and green network structure in the Pudong district of Shanghai, China. Rev. Chapingo Ser. Cie. 2017, 23, 457–473. [Google Scholar] [CrossRef]
- Fu, B.; Lu, Y. The progress and perspectives of landscape ecology in China. Prog. Phys. Geogr. Earth Environ. 2006, 30, 232–244. [Google Scholar] [CrossRef]
- Cao, Q.; Hao, Z.; Yuan, F.; Berndtsson, R.; Xu, S.; Gao, H.; Hao, J. On the Predictability of Daily Rainfall during Rainy Season over the Huaihe River Basin. Water-Sui 2019, 11, 916. [Google Scholar] [CrossRef]
- Chen, Y.; Feng, Y.; Zhang, F.; Wang, L. Assessing Water Resources Vulnerability by Using a Rough Set Cloud Model: A Case Study of the Huai River Basin, China. Entropy 2019, 21, 14. [Google Scholar] [CrossRef]
- Yang, J.; Huang, X. The 30 m annual land cover and its dynamics in China from 1990 to 2019. Earth Syst. Sci. Data 2021, 13, 3907–3925. [Google Scholar] [CrossRef]
- Wu, J. Effects of changing scale on landscape pattern analysis: Scaling relations. Landsc. Ecol. 2004, 19, 125–138. [Google Scholar] [CrossRef]
- Buyantuyev, A.; Wu, J.; Gries, C. Multiscale analysis of the urbanization pattern of the Phoenix metropolitan landscape of USA: Time, space and thematic resolution. Landsc. Urban Plan 2010, 94, 206–217. [Google Scholar] [CrossRef]
- Liding, C.; Yang, L.; Yihe, L.; Xiaoming, F.; Bojie, F. Pattern analysis in landscape ecology: Progress, challenges and outlook. Acta Ecol. Sin. 2008, 28, 5521–5531. [Google Scholar] [CrossRef]
- Zhao, W.W.; Fu, B.J.; Chen, L.D. The effects of grain change on landscape indices. Quat. Sci. 2003, 23, 326–333. [Google Scholar]
- Fang, S.; Zhao, Y.; Han, L.; Ma, C. Analysis of Landscape Patterns of Arid Valleys in China, Based on Grain Size Effect. Sustainability 2017, 9, 2263. [Google Scholar] [CrossRef]
- Xu, Z.; Hu, Y.; Liu, Y. Criteria and methods for accuracy evaluation of spatial scale conversion data. Adv. Geogr. Sci. 2012, 31, 1574–1582. [Google Scholar]
- Li, B.; Qu, A.; Ji, Y. Analysis of mining area landscape pattern based on optimal analysis granularity. J. Wuhan Univ. 2016, 41, 939–945. [Google Scholar]
- Tian, P.; Cao, L.; Li, J.; Pu, R.; Shi, X.; Wang, L.; Liu, R.; Xu, H.; Tong, C.; Zhou, Z.; et al. Landscape Grain Effect in Yancheng Coastal Wetland and Its Response to Landscape Changes. Int. J. Environ. Res. Public Health 2019, 16, 2225. [Google Scholar] [CrossRef] [PubMed]
- Liu, Y.; Liu, Y.; Li, J.; Lu, W.; Wei, X.; Sun, C. Evolution of Landscape Ecological Risk at the Optimal Scale: A Case Study of the Open Coastal Wetlands in Jiangsu, China. Int. J. Environ. Res. Public Health 2018, 15, 1691. [Google Scholar] [CrossRef] [PubMed]
- Liu, C.; Zhang, Z.; Zhang, X.; Ren, H.; Liu, B.; Bao, Z.; Xiaoxiang, Z. Coastal development history and tidal flat ecosystem conservation along the coast of Jiangsu Province, China. J. Coast. Conserv. 2019, 23, 857–867. [Google Scholar] [CrossRef]
- Zhang, Y.; Qu, J.; Li, D. Evolution and Prediction of Coastal Wetland Landscape Pattern: An Exploratory Study. J. Coast. Res. 2020, 106, 553. [Google Scholar] [CrossRef]
- Tian, Z.; Yang, W. Research on the Highway Traffic Location of Zhengzhou. In Proceedings of the ICEEM2011, Macao, China, 5 March 2011. [Google Scholar]
- Wang, D.; Ji, X.; Li, C.; Gong, Y. Spatiotemporal Variations of Landscape Ecological Risks in a Resource-Based City under Transformation. Sustainability 2021, 13, 5297. [Google Scholar] [CrossRef]
- Zhou, S.; Chang, J.; Hu, T.; Luo, P.; Zhou, H. Spatiotemporal Variations of Land Use and Landscape Ecological Risk in a Resource-Based City, from Rapid Development to Recession. Pol. J. Env. Stud. 2020, 29, 475–490. [Google Scholar] [CrossRef]
- Hai, K.; Wang, S.; Ma, Y. Analysis of urban expansion and morphological changes in areas along the Belt and Road. Geography 2020, 75, 2092–2108. [Google Scholar]
- Wang, D.G.; Dou, Y.J.; Shi, A.Q.; Cheng, J.; Lv, D.A. Research on the Evolution of Island Coastal Wetland Landscape Pattern. IOP Conf. Series. Earth Environ. Sci. 2021, 787, 12053. [Google Scholar] [CrossRef]
- Zhang, D.; Zhang, L. Land Cover Change in the Central Region of the Lower Yangtze River Based on Landsat Imagery and the Google Earth Engine: A Case Study in Nanjing, China. Sensors 2020, 20, 2091. [Google Scholar] [CrossRef]
- Li, H.; Wu, J. Use and misuse of landscape indices. Landsc. Ecol. 2004, 19, 389–399. [Google Scholar] [CrossRef]
- Zhang, Q.; Chen, C.; Wang, J.; Yang, D.; Zhang, Y.; Wang, Z.; Gao, M. The spatial granularity effect, changing landscape patterns, and suitable landscape metrics in the Three Gorges Reservoir Area, 1995–2015. Ecol. Indic. 2020, 114, 106259. [Google Scholar] [CrossRef]
- Joyce, M.F.; Jeffrey, M.K. Multiscale Effects of Grain Size on Landscape Pattern Analysis. Geogr. Inf. Sci. 2009, 6, 27–37. [Google Scholar]










| City | Size/Location | Function Description |
|---|---|---|
| Zhengzhou | Large city Middle reaches | An important city in central China and a national transportation hub. |
| Xuzhou | Large city Yishusi River region | Mining transformation and the central city in the Huaihai Economic Zone. |
| Yancheng | Large city Lower reaches | Eastern coastal city at the intersection of two national coastal development strategies and the Yangtze River Delta integration. |
| Xinyang | Medium-sized city Upper reaches | Located at the junction of Hubei, Henan, and Anhui provinces, Huaihe River’s main hub city. |
| Bozhou | Small city Middle reaches | The core development area of the Central Plains Urban Agglomeration with member cities of the Yangtze River Delta Urban Agglomeration. |
| Data Name | Data Specification | Scale | Data Source |
|---|---|---|---|
| The global land cover dataset with a resolution of 30 m from 1978 to 2017 | The urban impervious surface data are obtained using a reliable impervious surface mapping algorithm and the Google Earth Engine platform. | 30 m | Published by Gong et al., (2019) [26], Tsinghua University “40-Year (1978-2017) human settlement changes in China reflected by impervious surfaces from satellite remote sensing. Available online: http://data.ess.tsinghua.edu.cn (accessed on 3 December 2021)” |
| The 30 m annual land cover and its dynamics in China from 1990 to 2019 | The land cover data are obtained by using the random forest classification method through spatiotemporal filtering and logical reasoning. | 30 m | Published by Yang et al., (2021) [55], Wuhan University https://doi.org/10.5281/zenodo.4417810 |
| Basic geographic information data | Vector data of provincial and municipal administrative boundaries, water systems, and road networks in the Huaihe River Basin. | National Basic Geographic Information Center “National Basic Geographic Information Database. Available online: http://www.ngcc.cn/ngcc/ (accessed on 3 December 2021)” | |
| DEM | The spatial resolution of digital terrain elevation data is 30 m. | 30 m | Geospatial Data Cloud “GDEMV3 30M DEM. Available online: http://www.gscloud.cn (accessed on 3 December 2021)” |
| Socioeconomic Statistics | Population and GDP in Socioeconomic Statistics | China City Statistical Yearbook “Available online: https://data.cnki.net (accessed on 3 December 2021)” |
| Metric | Abbr. | Data Range | Unit |
|---|---|---|---|
| Class area | CA | CA > 0 | ha |
| Largest patch index | LPI | 0 < LPI <= 100 | % |
| Perimeter-area fractal dimension | PAF-RAC | 1 <= PAF-RAC <= 2 | --- |
| Mean patch size | MPS | MPS > 0 | ha |
| Landscape shape index | LSI | LSI >= 1 | --- |
| Patch density | PD | PD > 0 | 1 #/100 ha |
| 2 Number of patches | NP | NP >= 1 | --- |
| 2 Mean contiguity index | CONTIG_MN | CONTIG_MN >= 0 | % |
| City | CA | LPI | PAF–RAC | MPS | LSI | PD |
|---|---|---|---|---|---|---|
| Zhengzhou | Irregular | 30~40 | 30~60 | 30~60 | 30~60 | No inflection points |
| Xuzhou | 30~50 | 30~50 | 30~60 | 30~60 | 30~60 | 30~60 |
| Yancheng | 30~60 | Irregular | 30~40 | 30~60 | 30~60 | No inflection points |
| Xinyang | 30~60 | 30~50 | 30~40 | 30~60 | 30~60 | No inflection points |
| Bozhou | 30~50 | 30~40 | 30~60 | 30~60 | 30~60 | No inflection points |
| City | Landscape Index | Function | Fitting Model | 1 R2 |
|---|---|---|---|---|
| Zhengzhou | NP | Sigmoid | y = (6.72 − 688.98)/(1 + x/16.75)6.35 + 688.98 | 0.975–0.994 |
| CONTIG_MN | Inverse S-shaped | y = (1 − 0.17)/(1 + e(17.33 ∗ (2x/7.09) − 1)) + 0.17 | 0.633–0.983 | |
| Xuzhou | NP | Sigmoid function | y = (14.51 − 383.51)/(1 + x/10.26)6.26 + 383.51 | 0.914–0.959 |
| CONTIG_MN | Inverse S-shaped | y = (1 − 0.25)/(1 + e(11.95 ∗ (2x/2.56) − 1)) + 0.25 | 0.889–0.983 | |
| Yancheng | CONTIG_MN | Inverse S-shaped | y = (1 − 0.19)/(1 + e(0.23 ∗ (2x/0.54) − 1)) + 0.19 | 0.892 (2017) 2 |
| Xinyang | CONTIG_MN | Inverse S-shaped | y = (1 − 0.21)/(1 + e(12.54 ∗ (2x/4.9) − 1)) + 0.21 | 0.992–0.995 |
| Bozhou | CONTIG_MN | Inverse S-shaped | y = (1 − 0.16)/(1 + e(7.3 ∗ (2x/3.14) − 1)) + 0.16 | 0.781–0.987 |
| MPS | Power | y = 85.1 ∗ x(−3.74) | 0.984–0.999 |
| City | Period | α | c | D | R2 |
|---|---|---|---|---|---|
| Zhengzhou | 1990 | 5.273 | 0.116 | 13.059 | 0.994 |
| 2000 | 5.158 | 0.130 | 15.376 | 0.994 | |
| 2010 | 4.233 | 0.144 | 21.804 | 0.992 | |
| 2017 | 4.106 | 0.244 | 28.311 | 0.987 | |
| Mean | 4.693 | 0.159 | 19.638 | 0.992 | |
| Xuzhou | 1990 | 3.498 | 0.103 | 8.087 | 0.986 |
| 2000 | 3.239 | 0.113 | 9.753 | 0.989 | |
| 2010 | 2.807 | 0.110 | 13.837 | 0.985 | |
| 2017 | 2.764 | 0.083 | 19.145 | 0.981 | |
| Mean | 3.077 | 0.102 | 12.706 | 0.985 | |
| Yangcheng | 1990 | 2.943 | 0.003 | 4.028 | 0.995 |
| 2000 | 5.090 | 0.012 | 5.947 | 0.997 | |
| 2010 | 3.656 | 0.043 | 8.1528 | 0.978 | |
| 2017 | 2.834 | 0.068 | 11.958 | 0.971 | |
| Mean | 3.631 | 0.032 | 7.521 | 0.985 | |
| Xinyang | 1990 | 4.189 | 0.047 | 6.466 | 0.989 |
| 2000 | 4.529 | 0.051 | 6.786 | 0.987 | |
| 2010 | 4.163 | 0.055 | 7.921 | 0.987 | |
| 2017 | 3.779 | 0.074 | 9.357 | 0.983 | |
| Mean | 4.165 | 0.057 | 7.633 | 0.987 | |
| Bozhou | 1990 | 2.961 | 0.010 | 3.770 | 0.996 |
| 2000 | 4.417 | 0.011 | 5.009 | 0.998 | |
| 2010 | 4.013 | 0.017 | 6.049 | 0.998 | |
| 2017 | 3.084 | 0.071 | 7.825 | 0.985 | |
| Mean | 3.619 | 0.027 | 5.663 | 0.994 |
| City | Period | α | c | D | R2 |
|---|---|---|---|---|---|
| Yancheng | 1990 | 5.402 | 0.034 | 5.434 | 0.998 |
| 2000 | 4.744 | 0.050 | 6.880 | 0.991 | |
| 2010 | 3.624 | 0.066 | 9.045 | 0.985 | |
| 2017 | 3.017 | 0.091 | 11.083 | 0.979 | |
| Mean | 4.197 | 0.060 | 8.111 | 0.988 |
Publisher’s Note: MDPI stays neutral with regard to jurisdictional claims in published maps and institutional affiliations. |
© 2022 by the authors. Licensee MDPI, Basel, Switzerland. This article is an open access article distributed under the terms and conditions of the Creative Commons Attribution (CC BY) license (https://creativecommons.org/licenses/by/4.0/).
Share and Cite
Qiao, X.; Liu, L.; Yang, Y.; Gu, Y.; Zheng, J. Urban Expansion Assessment Based on Optimal Granularity in the Huaihe River Basin of China. Sustainability 2022, 14, 13382. https://doi.org/10.3390/su142013382
Qiao X, Liu L, Yang Y, Gu Y, Zheng J. Urban Expansion Assessment Based on Optimal Granularity in the Huaihe River Basin of China. Sustainability. 2022; 14(20):13382. https://doi.org/10.3390/su142013382
Chicago/Turabian StyleQiao, Xuning, Liang Liu, Yongju Yang, Yangyang Gu, and Jinchan Zheng. 2022. "Urban Expansion Assessment Based on Optimal Granularity in the Huaihe River Basin of China" Sustainability 14, no. 20: 13382. https://doi.org/10.3390/su142013382
APA StyleQiao, X., Liu, L., Yang, Y., Gu, Y., & Zheng, J. (2022). Urban Expansion Assessment Based on Optimal Granularity in the Huaihe River Basin of China. Sustainability, 14(20), 13382. https://doi.org/10.3390/su142013382

