Historical Trends Associated with Annual Temperature and Precipitation in Aegean Turkey, Where Are We Heading?
Abstract
1. Introduction
2. Materials (Study Area and Data)
3. Methods
3.1. Mann-Kendall Test (MK)
3.2. Spearman’s Rho Test (SR)
3.3. Sen’s Innovative Trend Detection Test (ST)
3.4. Thiel-Sen Approach (TS)
3.5. Pettitt’s Test (PT)
4. Results
5. Discussion
6. Conclusions
- Changes in temperature between 1973 and 2020 occurred and can be considered as a sign for regional warming.
- The temperature shows an increase of about 0.20–0.35 °C/decade. Therefore, the next decade is expected to be warmer.
- Abrupt temperature changes are also observed in 2007 for most of the stations but are also observed in the 2010s for some stations.
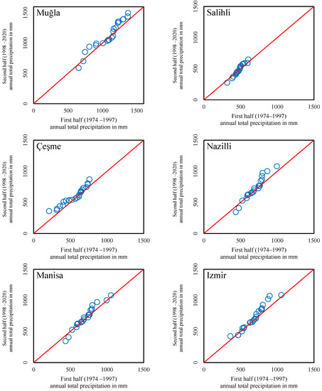
- When considering the precipitation time series, a positive trend (increase in precipitation amount) is detected, being low for some stations and severe for some stations (ranging between 4.2–7.9 mm/year). In addition, it has been determined that these abrupt changes in the precipitation time series have occurred in 1998.
Author Contributions
Funding
Institutional Review Board Statement
Informed Consent Statement
Data Availability Statement
Acknowledgments
Conflicts of Interest
Ethical Statement
References
- Lettenmaier, D.P.; Wood, E.F.; Wallis, J.R. Hydroclimatological trends in the continental United States, 1948–1988. J. Clim. 1994, 7, 586–607. [Google Scholar] [CrossRef]
- Jones, P.D.; New, M.; Parker, D.E.; Martin, S.; Rigor, I.G. Surface air temperature and its changes over the past 150 years. Rev. Geophys. 1999, 37, 173–199. [Google Scholar] [CrossRef]
- New, M.; Todd, M.; Hulme, M.; Jones, P. Rainfall measurements and trends in the twentieth century. Int. J. Climatol. 2001, 21, 1889–1922. [Google Scholar] [CrossRef]
- Kwarteng, A.Y.; Dorvlo, A.S.; Kumar, G.T.V. Analysis of a 27-Year Rainfall Data (1977–2003) in the Sultanate of Oman. Int. J. Climatol. 2009, 29, 605–617. [Google Scholar] [CrossRef]
- Fathian, F.; Morid, S.; Kahya, E. Identification of trends in hydrological and climatic variables in Urmia Lake basin, Iran. Theor. Appl. Climatol. 2015, 119, 443–464. [Google Scholar] [CrossRef]
- Beusekom, V.; González, G.; Rivera, M.M. Short-term rainfall and temperature trends along an elevation gradient in northeastern Puerto Rico. Sci. J. Earth Interact. 2015, 19, 1–33. [Google Scholar] [CrossRef]
- Chen, Z.; Grasby, S.E. Impact of decadal and century-scale oscillations on hydroclimate trend analyses. J. Hydrol. 2009, 365, 122–133. [Google Scholar] [CrossRef]
- Vaheddoost, B. A comparison of several methods in tracking short-term trends associated with the rainfall time series. Uludağ Üniversitesi Mühendislik Fakültesi Derg. 2020, 25, 153–168. [Google Scholar]
- Shadmani, M.; Marofi, S.; Roknian, M. Trend analysis about evapotranspiration using Mann-Kendall and Spearman’s Rho tests in arid regions of Iran. Water Res. Manag. 2012, 26, 211–224. [Google Scholar] [CrossRef]
- Garbrecht, J.; Van Liew, M.; Brown, G.-O. Trends in rainfall, streamflow, and evapotranspiration in the Great Plains of the United States. J. Hydrol. Eng. 2004, 9, 360–367. [Google Scholar] [CrossRef]
- Gellens, D. Trend and correlation analysis of k-day extreme rainfall over Belgium. Theor. Appl. Climatol. 2000, 66, 117–129. [Google Scholar] [CrossRef]
- Kahya, E.; Kalayci, S. Trend analysis of streamflow in Turkey. J. Hydrol. 2004, 289, 128–144. [Google Scholar] [CrossRef]
- Panda, A.; Sahu, N. Trend analysis of seasonal rainfall and temperature pattern in Kalahandi, Bolangir and Koraput districts of Odisha, India. Atmos Sci. Lett. 2019, 20, e932. [Google Scholar] [CrossRef]
- Kastridis, A.; Kamperidou, V.; Stathis, D. Dendroclimatological Analysis of Fir (A. borisii-regis) in Greece in the frame of Climate Change Investigation. Forests 2022, 13, 879. [Google Scholar] [CrossRef]
- Sen, Z. Innovative trend analysis methodology. J. Hydrol. Eng. 2012, 17, 1042–1046. [Google Scholar] [CrossRef]
- Yue, S.; Pilon, P.; Cavadias, G. Power of the Mann–Kendall and Spearman’s rho tests for detecting monotonic trends in hydrological series. J. Hydrol. 2002, 259, 254–271. [Google Scholar] [CrossRef]
- Some’e, B.S.; Ezani, A.; Tabari, H. Spatiotemporal trends and change point of rainfall in Iran. Atmos. Res. 2012, 113, 1–12. [Google Scholar]
- Hirsch, R.M.; Slack, J.R.; Smith, R.A. Techniques of trend analysis for monthly water quality data. Water Resour. Res. 1982, 18, 107–121. [Google Scholar] [CrossRef]
- Pettitt, A. A non-parametric approach to the change-point problem. Appl. Stat. 1979, 28, 126–135. [Google Scholar] [CrossRef]
- Mu, X.; Zhang, L.; McVicar, T.R.; Chille, B.; Gau, P. Analysis of the impact of conservation measures on streamflow regime in catchments of the Loess Plateau, China. Hydrol. Process. 2007, 21, 2124–2134. [Google Scholar] [CrossRef]
- Yacoub, E.; Tayfur, G. Trend analysis of temperature and rainfall in Trarza region of Mauritania. J. Water Clim. Chang. 2019, 10, 484–493. [Google Scholar] [CrossRef]
- Mersin, D.; Gulmez, A.; Safari, M.J.S.; Vaheddoost, B.; Tayfur, G. Drought Assessment in the Aegean Region of Turkey. Pure Appl. Geophys. 2022, 179, 3035–3053. [Google Scholar] [CrossRef]
- Gajbhiye, S.; Meshram, C.; Singh, S.K.; Srivastava, P.K.; Islam, T. Precipitation trend analysis of Sindh River basin, India, from 102-year record (1901–2002). Atmos. Sci. Lett. 2016, 17, 71–77. [Google Scholar] [CrossRef]
- Beyene, A.N. Precipitation and temperature trend analysis in Mekelle city, Northern Ethiopia, the Case of Illala Meteorological Station. J. Environ. Earth Sci. 2015, 5, 46–52. [Google Scholar] [CrossRef]
- Ciflik, D. Trend Analysis of Annual Rainfall Observed in DSI Stations in Aegean Region. MSc Thesis, Ege University, İzmir, Turkey, 2012. (In Turkish). [Google Scholar]
- Omer, A.; Dogangun, C. Recent Rainfall Trends in the Aegean Region of Turkey. J. Hydrometeorol. 2015, 16, 1873–1885. [Google Scholar] [CrossRef]
- Bacanli, U.G.; Tanrikulu, A. Trend Analysis of Evaporation Data in Aegean Region. Afyon Kocatepe Üniversitesi Fen Ve Mühendislik Bilim. Derg. 2017, 17, 980–987. (In Turkish) [Google Scholar]
- Topuz, M.; Feidas, H.; Karabulut, M. Trend analysis of rainfall data in Turkey and relations to atmospheric circulation: (1955–2013). Ital. J. Agrometeorol. 2021, 2, 91–107. [Google Scholar] [CrossRef]
- Todaro, V.; D’Oria, M.; Secci, D.; Zanini, A.; Tanda, M.G. Climate Change over the Mediterranean Region: Local Temperature and Precipitation Variations at Five Pilot Sites. Water 2022, 14, 2499. [Google Scholar] [CrossRef]
- Behzadi, F.; Yousefi, H.; Javadi, S.; Moridi, A.; Shahedany, S. Meteorological drought duration–severity and climate change impact in Iran. Theor. Appl. Climatol. 2022, 149, 1297–1315. [Google Scholar] [CrossRef]
- Kisi, O.; Ay, M. Comparison of Mann-Kendall and Innovative Trend Method for Water Quality Parameters of the Kizilirmak River, Turkey. J. Hydrol. 2014, 513, 362–375. [Google Scholar] [CrossRef]
- Chen, S.-T.; Kuo, C.-C.; Yu, P.-S. Historical trends and variability of meteorological droughts in Taiwan/Tendances historiques et variabilité des sécheresses météorologiques à Taiwan. Hydrol. Sci. J. 2009, 54, 430–441. [Google Scholar] [CrossRef]
- Bhutiyani, M.R.; Kale, V.S.; Pawar, N.J. Long-term trends in maximum, minimum and mean annual air temperatures across the Northwestern Himalaya during the twentieth century. Clim. Chang. 2007, 85, 159–177. [Google Scholar] [CrossRef]
- Ferreira, C.S.; Seifollahi-Aghmiuni, S.; Destouni, G.; Ghajarnia, N.; Kalantari, Z. Soil degradation in the European Mediterranean region: Processes, status and consequences. Sci. Total Environ. 2022, 805, 150106. [Google Scholar] [CrossRef] [PubMed]
- Gallego, M.; García, J.; Vaquero, J.; Mateos, V. Changes in frequency and intensity of daily rainfall over the Iberian Peninsula. J. Geophys. Res., Atmos. 2006, 111, D24105. [Google Scholar] [CrossRef]
- Kastridis, A.; Stathis, D.; Sapountzis, M.; Theodosiou, G. Insect outbreak and long-term post-fire effects on soil erosion in mediterranean suburban forest. Land 2022, 11, 911. [Google Scholar] [CrossRef]
- Yagbasan, O.; Demir, V.; Yazicigil, H. Trend Analyses of Meteorological Variables and Lake Levels for Two Shallow Lakes in Central Turkey. Water 2020, 12, 414. [Google Scholar] [CrossRef]






| Station | Mean (mm) | Sd (mm) | Max (mm) | K (mm) | S (mm) | H—Altitude (m) |
|---|---|---|---|---|---|---|
| Salihli | 476.7 | 83.11 | 669.00 | 3.15 | 0.03 | 125 |
| Manisa | 704.83 | 171.3 | 1081.6 | 3.01 | 0.10 | 71 |
| Selcuk | 664.89 | 152.19 | 1060.1 | 2.85 | 0.029 | 16 |
| Cesme | 573.83 | 146.61 | 869.7 | 2.61 | −0.34 | 2 |
| Izmir | 696.84 | 175.24 | 1086.10 | 2.78 | 0.34 | 5 |
| Seferihisar | 609.21 | 137.64 | 964.60 | 3.02 | 0.45 | 11 |
| Kusadasi | 616.73 | 146.70 | 914.90 | 2.15 | 0.17 | 17 |
| Denizli | 583.88 | 111.18 | 784.20 | 2.76 | 0.04 | 324 |
| Mugla | 1135.00 | 271.51 | 1760.60 | 2.97 | −0.16 | 661 |
| Usak | 524.1 | 95.23 | 712.8 | 2.40 | 0.19 | 890 |
| Guney | 507.1 | 99.42 | 783.2 | 3.70 | 0.31 | 750 |
| Yatagan | 648.94 | 150.27 | 1026.00 | 2.96 | 0.20 | 400 |
| Sultanhisar | 596.46 | 138.11 | 977.40 | 3.37 | 0.55 | 97 |
| Nazilli | 571.14 | 126.74 | 856.20 | 2.76 | 0.37 | 64 |
| Station | Mean (°C) | Sd (°C) | Max (°C) | K (°C) | S (°C) |
|---|---|---|---|---|---|
| Salihli | 16.56 | 0.87 | 18.54 | −0.71 | 0.46 |
| Manisa | 16.93 | 0.68 | 18.47 | −0.22 | 0.30 |
| Selcuk | 16.85 | 0.84 | 19.17 | −0.14 | 0.49 |
| Cesme | 17.41 | 0.62 | 19.18 | 0.05 | −0.36 |
| Izmir | 18.08 | 0.74 | 19.67 | −0.49 | 0.37 |
| Seferihisar | 17.14 | 0.85 | 18.92 | −0.86 | 0.47 |
| Kusadasi | 17.39 | 1.03 | 19.41 | −0.82 | 0.07 |
| Denizli | 16.41 | 0.97 | 18.44 | −0.78 | 0.19 |
| Mugla | 15.20 | 0.62 | 16.70 | 0.11 | −0.13 |
| Usak | 12.69 | 0.72 | 14.56 | 0.06 | 0.46 |
| Guney | 13.87 | 0.81 | 15.86 | −0.12 | 0.51 |
| Yatagan | 16.37 | 0.69 | 18.05 | −0.31 | 0.23 |
| Sultanhisar | 17.44 | 0.68 | 18.98 | −0.78 | 0.31 |
| Nazilli | 17.52 | 0.65 | 19.13 | −0.29 | 0.21 |
| Station | MK | Type | SR | TS | PT | |
|---|---|---|---|---|---|---|
| Z | Sign? | Zsr | β | Year | ||
| Izmir | 4.800 | Yes | 5.79 | 0.3 | 2015 | |
| Manisa | 4.380 | Yes | 5.64 | 0.25 | 2016 | |
| Nazilli | 3.960 | Yes | 5.02 | 0.35 | 2013 | |
| Cesme | 4.220 | Yes | 5.66 | 0.3 | 2007 | |
| Salihli | 4.91 | Yes | 6.68 | 0.3 | 2012 | |
| Mugla | 4.42 | Yes | 5.54 | 0.2 | 2007 | |
| Denizli | 5.25 | Yes | 7.14 | 0.25 | 2007 | |
| Yatagan | 4.45 | Yes | 5.72 | 0.3 | 2016 | |
| Usak | 4.53 | Yes | 5.79 | 0.3 | 2014 | |
| Guney | 4.34 | Yes | 5.69 | 0.2 | 2007 | |
| Selcuk | 5.01 | Yes | 6.84 | 0.25 | 2007 | |
| Sultanhisar | 4.96 | Yes | 5.87 | 0.3 | 2007 | |
| Seferihisar | 4.76 | Yes | 5.75 | 0.2 | 2007 | |
| Kusadasi | 4.99 | Yes | 5.72 | 0.2 | 2007 | |
| Station | MK | Type | SR | TS | PT | |
|---|---|---|---|---|---|---|
| Z | Sign? | Zsr | β | Year | ||
| Izmir | 2.100 | Yes | 3.13 | 7.3 | 1998 | |
| Manisa | −0.940 | No | - | - | - | |
| Nazilli | 2.008 | Yes | 3.1 | 6.8 | 1998 | |
| Cesme | 2.663 | Yes | 3.79 | 7.9 | 1998 | |
| Salihli | −0.19 | No | - | - | - | |
| Mugla | 0.16 | No | - | - | - | |
| Denizli | −0.36 | No | - | - | - | |
| Yatagan | 1.03 | No | - | - | - | |
| Usak | 0.32 | No | - | - | - | |
| Guney | 2.14 | Yes | 3.18 | 4.2 | 1998 | |
| Selcuk | 2.32 | Yes | 3.46 | 6.9 | 1998 | |
| Sultanhisar | 2.62 | Yes | 3.77 | 5.5 | 1998 | |
| Seferihisar | 2.88 | Yes | 4.12 | 7.4 | 1998 | |
| Kusadasi | 2.31 | Yes | 3.43 | 7.5 | 1998 | |
Publisher’s Note: MDPI stays neutral with regard to jurisdictional claims in published maps and institutional affiliations. |
© 2022 by the authors. Licensee MDPI, Basel, Switzerland. This article is an open access article distributed under the terms and conditions of the Creative Commons Attribution (CC BY) license (https://creativecommons.org/licenses/by/4.0/).
Share and Cite
Mersin, D.; Tayfur, G.; Vaheddoost, B.; Safari, M.J.S. Historical Trends Associated with Annual Temperature and Precipitation in Aegean Turkey, Where Are We Heading? Sustainability 2022, 14, 13380. https://doi.org/10.3390/su142013380
Mersin D, Tayfur G, Vaheddoost B, Safari MJS. Historical Trends Associated with Annual Temperature and Precipitation in Aegean Turkey, Where Are We Heading? Sustainability. 2022; 14(20):13380. https://doi.org/10.3390/su142013380
Chicago/Turabian StyleMersin, Denizhan, Gokmen Tayfur, Babak Vaheddoost, and Mir Jafar Sadegh Safari. 2022. "Historical Trends Associated with Annual Temperature and Precipitation in Aegean Turkey, Where Are We Heading?" Sustainability 14, no. 20: 13380. https://doi.org/10.3390/su142013380
APA StyleMersin, D., Tayfur, G., Vaheddoost, B., & Safari, M. J. S. (2022). Historical Trends Associated with Annual Temperature and Precipitation in Aegean Turkey, Where Are We Heading? Sustainability, 14(20), 13380. https://doi.org/10.3390/su142013380

