Next Article in Journal
Analysis of Landscape Composition and Configuration Based on LULC Change Modeling
Previous Article in Journal
Effects of Internal Curing on Inclusion in Prepackaged Cementitious Grout and Ultra-High Performance Concrete Materials
 
 
Font Type:
Arial Georgia Verdana
Font Size:
Aa Aa Aa
Line Spacing:
Column Width:
Background:
Article

Prediction of Shanghai Electric Power Carbon Emissions Based on Improved STIRPAT Model

1
Department of Electrical Engineering, University of Shanghai for Science and Technology, 516 Jungong Road, Yangpu District, Shanghai 200093, China
2
Key Laboratory of Control of Power Transmission and Conversion (SJTU), Ministry of Education, 800 Dongchuan Road, Minhang District, Shanghai 200240, China
*
Author to whom correspondence should be addressed.
Sustainability 2022, 14(20), 13068; https://doi.org/10.3390/su142013068
Submission received: 17 August 2022 / Revised: 26 September 2022 / Accepted: 7 October 2022 / Published: 12 October 2022

Abstract

Energy is the bridge connecting the economy and the environment and electric energy is an important guarantee for social production. In order to respond to the national dual-carbon goals, a new power system is being constructed. Effective carbon emission forecasts of power energy are essential to achieve a significant guarantee for low carbon and clean production of electric power energy. We analyzed the influencing factors of carbon emissions, such as population, per capita gross domestic product (GDP), urbanization rate, industrial structure, energy consumption, energy structure, regional electrification rate, and degree of opening to the outside world. The original Stochastic Impacts by Regression on Population, Affluence, and Technology (STIRPAT) model was improved, and the above influencing factors were incorporated into the model for modeling analysis. The ridge regression algorithm was adopted to analyze the biased estimation of historical data. The carbon emission prediction model of Shanghai electric power and energy based on elastic relationship was established. According to the “14th Five-Year” development plan for the Shanghai area, we set up the impact factor forecast under different scenarios to substitute into the forecast models. The new model can effectively assess the carbon emissions of the power sector in Shanghai in the future.

1. Introduction

Energy is an important force to promote social development. A large amount of greenhouse gases are generated in the process of energy consumption, which leads to global warming and poses a huge threat to human production and life. As the world’s second largest economy, China consumes a lot of energy and releases a lot of carbon dioxide every year. Without timely and effective management measures, CO2 emissions from the consumption of high-carbon energy sources will more than double by 2050. It is imperative to achieve low-carbon emission reduction. China made a public commitment at the United Nations Biodiversity Summit [1] that China will achieve carbon peaking in 2030 and carbon neutrality in 2060. In particular, China’s power production has been dominated by coal power for a long time. The renewable energy has a small proportion of power generation. The power industry consumes a large amount of high-carbon energy and has become an important source of greenhouse gas emissions. Facing the approaching trend of electrification, the demand for electricity has grown rapidly under the stimulation of the whole society. The energy consumption required for electricity production will also increase rapidly and its carbon emissions will also continue to grow rapidly. As electricity is the main source of carbon emissions in the power industry, realizing the clean, efficient, and low-carbon development of the power industry in the future has become an urgent problem.
In the process of accelerating the construction of a new power system, achieving the dual-carbon goal not only requires new carbon reduction technologies but also needs effective carbon reduction strategies. The important premise of formulating a scientific carbon emission reduction policy is to achieve a reasonable carbon emission forecast. The reasonable power carbon emission forecast [2] has an important reference value for the capacity and proportion of renewable energy connected to the new power system. At the same time, it can help China to achieve dual-carbon targets.
At present, many scholars have carried out various studies on how to achieve reasonable carbon prediction. In terms of research methods, the initial support vector machine model [3] has gradually transitioned to the STIRPAT model [4], which has suitable flexibility and a certain expansion space. The STIRPAT model has become a highly recognized model in the study of carbon emission peaks. The research on the attributes of factors affecting carbon emissions has gradually developed from single-attribute models, such as the logistic regression prediction model [5] and the grey GM model [6], to multi-attribute factors affecting carbon emissions, such as the ideal-point multi-attribute decision-making algorithm [7]. In the application of prediction models, some scholars have used system dynamics with a causal mechanism [8] and analyzed the relationship between the dynamic behavior of carbon emissions and production structure, which has predicted the development trend of carbon emissions for the whole society in the future. Combining the bat algorithm and simulated annealing algorithm for carbon emission prediction, the carbon emission of China’s power industry has been analyzed [9]. Scholars have used the machine learning method [10] to achieve carbon prediction. Some scholars have proposed a novel approach to predict CO2 emissions in the agriculture sector of Iran based on the inclusive multiple model [11]. In the regional carbon prediction model, some scholars have conducted wide-area modeling research on the carbon emission trajectories of China, the United States, and India under the dual-carbon goal [12]. Additionally, scholars have explored the optimal low-carbon behavior in multiple scenarios in China [13]. Taking Guangdong [14] and Baoding [15] as examples, scholars have explored ways for urban carbon dioxide emissions to peak under different paths. Some scholars have used the improved Gaussian algorithm to establish a local carbon emission prediction research model [16]. Scholars have used the improved STIRPAT model [17,18] to predict the peak carbon emissions in typical energy-intensive regions, such as Shanxi and Xinjiang.
China’s power structure is dominated by thermal power, which has declined in recent years, but still occupies a dominant position. Thermal power generation fell from 80.8% of China’s total in 2010 to 67.9% in 2020. The power generation structure where most of the electricity demand is dominated by coal is the main reason that China’s power industry has become the largest carbon-emitting sector [19]. Meanwhile, the power sector has high potential and cost advantages in decarbonization compared to other carbon-emitting sectors, such as industry [20]. There are two main types of domestic and international studies on the characteristics of regional electric energy carbon emissions in China: one is top-down research on the characteristics of electric energy carbon emissions [21,22,23]. Through the macroeconomic and energy data, the relationship between macroeconomic data, material consumption, and carbon emissions are established, thus reducing the dependence on micro-level material consumption data. The second is bottom-up explorations of the emission reduction path of the power industry and analyzing the impact of factors, such as power supply structure, energy saving, and consumption reduction, on the power industry [24,25,26,27]. However, the above studies are usually based on the traditional economic and energy growth model. Although it can adequately quantify the emission reduction potential of certain factors for the power industry, it does not fully consider the actual demand for the construction of a new power system with the dual-carbon target, especially after the large-scale access of clean energy to the power grid. In summary, existing studies have explored the potential and contributing factors of carbon emission reduction in China’s power industry in the future. However, few scholars have studied the overall consideration of macro-influencing factors and the construction demand of new power systems, such as economic development and gradually tightened regional carbon emission reduction policies. We analyzed the influencing factors of electric energy emissions and decomposed the influencing factors to identify the main factors. At the same time, the impact of economic, population, clean energy, and other factors on carbon emissions was also quantitatively studied. In this study, we comprehensively considered the needs of economic development and new power system construction and propose specific paths and key measures for carbon emission reduction in the power industry.
China aims to reach the carbon peak by 2030 and carbon neutrality by 2060. Shanghai is the frontier area of China’s economic development. It has a large population and a large economic volume. At the same time, the traditional electric power energy in Shanghai is mainly thermal power, which is facing the pressure of transformation to the new power system. On 25 July 2022, the Shanghai municipal government issued the Action Plan for Reaching Peak Carbon Emission in Shanghai, which states that the city will achieve the goal of reaching peak carbon emission by 2025. Based on the diversified energy data of various energy users and social production, it is necessary to conduct electricity carbon emission prediction research and formulate a scientific carbon reduction plan to ensure the green, low-carbon, clean, and efficient development of Shanghai. Through the research model and results of this paper, we provide scientific guidance to the Shanghai municipal government and put forward specific paths to achieve carbon peak.
In this study, the original STIRPAT model was improved and analyzed. According to the development characteristics and energy structure of Shanghai, the factors of regional carbon emissions, such as population, per capita GDP, urbanization rate, industrial structure, energy consumption, energy structure, regional electrification rate, and degree of opening to the outside world, were considered. The improved STIRPAT model was used to conduct modeling analysis and the ridge regression algorithm was used to analyze the biased estimation of historical data. Finally, according to the “14th Five-Year” development plan of Shanghai [28], the parameters affecting the carbon emissions of the power industry were predicted and analyzed. The prediction model of carbon emissions from power energy in Shanghai based on elastic relationship was established, which realizes the effective prediction of carbon emissions from the power industry in Shanghai in the future and provides an important reference value for the regional realization of dual-carbon goals.
The rest of the paper is organized as follows. In Section 2, the original STIRPAT model is introduced and the analysis of the influencing factors of energy carbon emissions in Shanghai and the extension of the STIRPAT model are presented. In Section 3, we demonstrate how the ridge regression method was used to fit the carbon emission data of electric power energy in Shanghai, and an improved STIRPAT model is introduced. We also present the evaluation and analysis of the collinearity of the data in this section. Additionally, taking the Shanghai area as an example and according to the regional development plan, we discuss the model predictions of when Shanghai’s future electric energy carbon will peak, based on different scenarios, and put forward corresponding countermeasures. In Section 4, we summarize the content of the article and illustrate its practical implications for achieving the dual-carbon goal.

2. Improved STIRPAT Model

In order to achieve effective prediction of regional power energy carbon emissions, it is necessary to analyze various factors affecting regional power energy carbon emissions. In this work, the improved STIRPAT model was used to model the influencing factors with significant influence. Since regional power energy carbon prediction is a long-term process, it is necessary to estimate the forecast data, such as terminal power consumption, total energy consumption, and clean energy proportion. Finally, the peak prediction of regional power energy carbon emissions was realized. The structural framework of this paper is shown in Figure 1. The rest of this section shows the analysis of the composition of the model, and the solution of the model is explained by the ridge regression analysis in Section 3.

2.1. Stochastic Impacts by Regression on Population, Affluence, and Technology Model

The STIRPAT model was improved from the original IPAT model (Environmental impact = Population × Affluence × Technology) by nonlinear extension. The IPAT model [29] has been widely used to assess the impact of population, affluence, and technological development on environmental changes. Scholars have continuously improved the basic IPAT model and proposed different forms of analysis models, adding resource consumption to form the IPACT equation. Due to some limitations of the IPAT model, when a certain influencing factor changes, other influencing factors cannot remain fixed, resulting in unnecessary fluctuations in the analysis results.
Scholars have established the STIRPAT model by considering the retention of the multiplicative structure of the IPAT model and introducing a change in the index to overcome the defect of the proportional change in various influencing factors. The model is as follows:
I = a P b A c T d ε
In this formula, I represents the degree of impact on the environment, which is specifically referred to as the predicted carbon emissions from electricity in this paper; a represents the model coefficient; P represents population; A represents affluence, which is specifically referred to as the GDP per capita in this paper; T represents technology, which is specifically referred to as energy consumption intensity per unit of GDP in this paper; and ε represents the random interference term. Taking the logarithm of both sides of the model, the model can be written as:
ln I = ln a + b ln P + c ln A + d ln T + ln ε
The STIRPAT model allows each coefficient to be used as a parameter to evaluate the degree of influence on the results. The STIRPAT model not only properly decomposes various influencing factors, but also has adequate space for expansion. At the same time, it makes up for the lack of quantitative analysis of the impact of various factors on the environment to a certain extent. It modifies each influencing factor and establishes different demand models to meet different research needs and results analysis.

2.2. Extended Impact Factor

We studied the carbon emissions of Shanghai’s electric power by improving the environmental impact factor variables of the original STIRPAT model. Through the research on the influencing factors of regional power energy carbon emissions, the important factors affecting Shanghai’s energy consumption were selected and a model was established for analysis.
Population (P) is one of the important factors that measures regional energy carbon emissions. Human production activities are the source of carbon emissions. The population in the region is directly related to the energy carbon emissions generated by human life and production. Therefore, the regional population changes in quantity inevitably cause fluctuations in energy consumption, thereby changing the intensity of regional carbon emissions. There is a positive relationship between the expected population and energy demand.
The urbanization rate (C) is used to measure the level of regional population and economic development. Generally, it is believed that the urban population is denser than that of the rural areas and the development of the city needs the promotion of industrial development. Therefore, the increase in the urbanization rate represents the regional population. The improvement of the economic development level reflects that the urbanization rate has a positive effect on regional energy carbon emissions.
Affluence (A) represents an important indicator of the degree of human energy use and the activity of production activities in the region, which is measured by 10 thousand CNY in this paper. According to the usual situation, the richer the area, the more active the corresponding production activities, and the more energy consumption is generated. The development of China is associated with many energy-consuming items, such as traffic emissions and factory production emissions. Here, we used per capita GDP to measure the wealth of the region; the total GDP is converted into real GDP, with 1985 as the base period, and then is divided by the population in that year.
The development of technology (T) has brought rapid economic growth to the region, which is measured by ton of standard coal/10 thousand CNY in this paper. At the same time, technological progress has promoted the continuous innovation of industrial structure and the improvement of energy efficiency. Due to the existence of the energy rebound effect, not only will it not reduce energy consumption but it will also consequently promote a further increase in energy consumption. The progress of technology is measured by energy efficiency. The improvement of technology means that less raw materials produce a higher value. Therefore, the energy consumption intensity per unit of GDP is used to represent the degree of technological development.
The industrial structure (IS) selects the output value of the secondary industry, which is obtained by multiplying the proportion of the secondary industry and the real GDP measured by 100 million CNY in this paper. According to past experience, the carbon emissions from production activities are mainly generated by straw burning in the primary industry, pollutant treatment and industrial production in the secondary industry, and transportation in the tertiary industry. Among them, the carbon emission of the secondary industry occupies a relatively high proportion in the overall carbon emissions. The growth of the secondary industry is a very important factor leading to an increase in energy demand and it also accounts for the vast majority of energy consumption in Shanghai. Therefore, the growth of the secondary industry is expected to have a positive relationship with the increase in energy consumption in Shanghai.
The electrification rate (ER) is an important indicator that measures the efficiency of regional energy utilization. It converts fossil energy into electric energy for production and life. Compared to the direct use of fossil energy, not only does electric energy release less carbon emissions, but it also allows for rapid cross-domain flow through the grid structure. The increase in the electrification level of final energy consumption in the region means that the large-scale centralized treatment of fossil energy can be realized and the regional carbon emission level can be effectively reduced. Therefore, the regional electrification level has a positive relationship with energy carbon emissions.
The green electricity ratio (GE) refers to the proportion of renewable energy power generation in the total power generation in grid power generation. Electric power carbon emissions are an important source of regional energy carbon emissions. Building a new low-carbon and high-efficiency power system is an important part of achieving the dual-carbon goal. One of the important means is to increase the proportion of clean energy generation in the power grid. Selecting the green power ratio as an indicator to measure the utilization of regional renewable energy has important reference significance for regional energy carbon emissions.
Openness (OP) is the ratio of total foreign trade to GDP. Since the reform and opening up, Shanghai has absorbed a large number of industries, companies, and equipment. At the same time, with the deepening of opening up to the outside world, a large amount of trade has promoted the economic development of Shanghai, which requires a large amount of energy as support. Therefore, it can be expected that the degree of openness and energy clearance is a positive relationship.
To sum up, on the basis of the STIRPAT model combined with the actual situation of this work, the influencing factors of electricity energy consumption in Shanghai were studied and the following model was established:
ln I = a + b ln P + c ln C + d ln A + e ln T + f ln I S + g ln E R + h ln G E + j ln O P + ε
In this formula, I represents the predicted carbon emissions from electricity; a represents the model coefficient; P represents population; C represents the urbanization rate; A represents GDP per capita; T represents energy consumption intensity per unit of GDP; IS represents the industrial structure occupied by the secondary industry; ER represents the electrification rate level; GE represents the green electricity ratio; OP represents the degree of opening up to the outside world; and ε represents the random interference term. The letters b, c, d, e, f, g, h, j represent model coefficients, which represent the elasticity of each influencing factor to energy consumption.

3. Results and Discussion

3.1. Data Sources

The data used for the above variables are from the Shanghai Statistical Yearbook [30], China Energy Statistical Yearbook [31], and China Technology Statistical Yearbook [32]. The method published in the IPCC National Greenhouse Gas Guidelines [33] is used to estimate the energy carbon emissions generated by the power industry and the model is as follows:
C a r b o n = i = 1 n E i F i H i × 3.67
In this formula, Carbon represents the actual historical carbon emissions of electricity energy, which is measured by 10 kilotons; E i represents the consumption of carbon-containing energy; F i represents the carbon emission coefficient of energy; and H i represents the carbon oxidation factor.
By querying the Shanghai Statistical Yearbook, the types and quantities of primary electricity, and energy consumption in Shanghai over the years, the population over the years and the GDP over the years were obtained. According to formula (4), the total carbon emissions of electricity and energy in Shanghai over the years can be calculated and the statistics are shown in Table 1.

3.2. Ridge Regression Analysis

Since the variables in the STIRPAT model usually have strong multicollinearity, the ordinary least squares method requires that there is no correlation between the respective variables. If there is a serious correlation between the independent variables, the sampling variability of the estimated value of the regression coefficient would be greatly increased. At this time, if the ordinary least squares method is still used to fit the regression coefficient, the regression results would be abnormal. The regression coefficient does not match the actual situation and the accuracy and reliability of the model cannot be guaranteed. Here, we have used the Pearson coefficient for correlation verification because the Pearson coefficient has suitable applicability to test variable correlation. The analysis of the correlation between the variables is to follow and the specific results are shown in Table 2.
It can be seen in Table 2 that there is a high correlation between variables and the Pearson correlation coefficient between variables is mostly above 0.7, which is statistically significant. From this, it can be judged that the correlation between variables is very high and there may be serious multicollinearity. Therefore, multicollinearity of the independent variables must be eliminated to obtain robust results.
In correlation analysis, principal component analysis can be used to propose principal components. Although it can summarize the information in the independent variable system well, it often lacks explanatory power for the dependent variable. In order to quantitatively and qualitatively explain each variable, we used ridge regression to solve the multicollinearity problem.
Ridge regression analysis is a biased estimation regression method for collinear data analysis, which is essentially an improved least squares estimation method. At the expense of accuracy, we sought a regression equation that is less effective but more realistic and more reliable. Therefore, the residual standard deviation obtained by ridge regression is larger than that of least squares regression but the tolerance to ill-conditioned data is much stronger than that of least squares. When there is collinearity among the independent variables, the determinant of the correlation matrix of the independent variables is approximately 0 or is called singular. The correlation matrix of the independent variables is added to the matrix of normal numbers and the singularity is improved compared to the original matrix. When the normal matrix is 0, it degenerates to the least square estimation. Since the least squares estimator has the smallest variance among all linear unbiased estimators, the variance is not necessarily small, so a biased estimator can be found. Although this estimator has a slight deviation, its accuracy can be much higher than an unbiased estimator. According to this principle, ridge regression analysis obtains the regression estimator by introducing a biased constant into the normal equation. The R-squared value of the ridge regression equation is slightly lower than that of the ordinary regression analysis but the significance of the regression coefficient is often significantly higher than that of the ordinary regression.
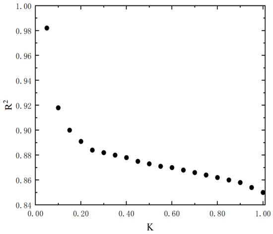
Therefore, the estimation method of ridge regression was selected to make the regression coefficients close to the truth, which can solve the problem of multicollinearity and reflect the actual situation through very significant regression coefficients. The syntax of the Ridge Regression program was written using IBM SPSS Statistics (The version: 26.0) to perform fitting regression. The graph relationship between the K values and the goodness of fit R2 values for different ridge parameters were obtained. The corresponding relationship between the K value and R2 of ridge regression is shown in Figure 2.
It can be seen in the figure that there is a negative correlation between the R2 of the goodness of fit and the ridge parameter K. When the K is smaller, the discarded information and accuracy are smaller and the accuracy of the prediction model is higher. The value of K should be as small as possible. As shown in Figure 3, the value range of K is judged by the model stability in the ridge regression graph.
It can be seen in Figure 3 that when K is between 0.1 and 0.8, the ridge regression coefficient tends to be stable and the fitting degree is good. The selection of K should be within this range. Combined with Figure 2, when K = 0.1, the corresponding model fits the best. The ridge parameter K was selected to be 0.1. The specific results of ridge regression are shown in Table 3.
From the regression results, population, affluence, technological progress, secondary industry, and openness have all contributed to the increase in carbon emissions from electric power in Shanghai. The level of the urbanization rate, electrification rate, and green power ratio are all negatively correlated with the carbon emissions of electric energy. Judging from the coefficients of the model, the population and industrial structure are important factors affecting the carbon emissions of electric power in Shanghai. The preferential policies and positive employment environment in Shanghai have attracted many outstanding talents. The impact of population on energy carbon emissions has been stable for a long time. From the data over the years, the proportion of Shanghai’s secondary industry has continued to decline and the impact of industrial structure on energy carbon emissions will be reduced year by year in the future. Affluence, technological progress, and openness have relatively little impact on Shanghai’s electric power carbon emissions, indicating that Shanghai’s energy efficiency is high, energy consumption is dominated by clean and efficient energy, and energy utilization technology is relatively advanced. At the same time, Shanghai continues to expand its opening to the outside world. The presence of many foreign companies and investments are mostly low-energy and carbon-intensive power companies, which have not had a significant impact on Shanghai’s electric power carbon emissions. With the increase in the urbanization level, the carbon emissions of electric energy have decreased, which shows that the utilization rate of electric energy in cities is relatively high. The increase in the regional electrification rate has increased the utilization rate of terminal energy, which is also an important factor affecting regional energy conservation and emission reduction. It can be seen from the coefficient that the increase in the proportion of regional renewable energy utilization is an important means to achieve carbon reduction. With the construction of new power systems under the dual-carbon goal, increasing the consumption of renewable energy and reducing the proportion of fossil fuels is an important way to achieve carbon reduction.

3.3. Carbon Prediction

Based on the above analysis, in order to more accurately predict the carbon emissions of electric power in Shanghai, it is necessary to understand the changes in the above-mentioned explanatory variables in Shanghai in the future. Moreover, due to the different degrees of interference of various factors, it is easy to produce different development trends. Therefore, according to the development of the Shanghai region and the “14th Five-Year Plan”, the adopted scenario analysis method can effectively avoid large deviations; the prediction part of the model is separated by systematic and scientific methods and the uncertainty of prediction is greatly reduced. This is to better predict the development trend of carbon emissions from electricity and energy in the future.
According to historical data, the population of Shanghai will show a steady growth in the future, the urbanization rate in Shanghai will remain at a high level, and the degrees of affluence, technology, and openness will affect the carbon emissions of Shanghai’s electric power. Here, we set scenario analysis forecasts for the industrial structure, electrification rate level, and green power ratio with a greater impact, as shown in Table 4. According to Shanghai’s development planning goals and the current regional development level, we assumed four scenarios for this analysis. Here, we set three situations: the industrial structure, the electrification rate, and the growth rate of the green power ratio. The specific growth rate is shown in Figure 4, Figure 5 and Figure 6.
Scenario I: The proportion of renewable energy rapidly develops and the industrial structure upgrade and electrification rate steadily develop.
Scenario II: The proportion of renewable energy and the industrial structure rapidly increase and the regional electrification rate steadily develops.
Scenario III: The proportion of renewable energy and the electrification rate rapidly increase and the industrial structure upgrades and steadily develops.
Scenario IV: The industrial structure upgrades, the electrification rate rapidly develops, and the proportion of renewable energy steadily develops.
The prediction results of the above relevant data were brought into the obtained model and the prediction results of the carbon emissions of Shanghai’s electric power under different scenarios were obtained, as shown in Figure 7.
Under the predictions of the above-mentioned different scenarios, the overall trend of carbon emissions from electricity and energy in Shanghai presents different changes, and during this process, the peak times of different scenarios are also different. As can be seen in Figure 7, under the scenario of a large number of renewable energies being added to the power grid and the rapid development of clean energy, the carbon emissions of Shanghai’s electric power can reach a peak in 2030. The carbon emissions can reach a peak in 2028 under the accelerated electrification level. Under the scenario wherein renewable energy steadily adds to the power grid development, the industrial structure can rapidly upgrade and the regional electrification rate level can significantly improve. Additionally, the carbon emissions of Shanghai’s electric power would not reach the carbon peak in 2030 and the curve tends to be stable.
However, due to the lack of direct historical data references for electric energy carbon emissions, we cannot directly obtain electric energy carbon emissions data. In this research, we used an indirect method to calculate the historical data of electric energy carbon emissions. According to the general development trend, we considered the factors affecting the carbon emissions of electric energy in the study area. We did not consider the abnormal situation of some factors, such as the massive inflow and outflow of people and the failure of the large-scale popularization of clean energy. Therefore, these conditions may cause partial bias in the results of our model.
Through the analysis of factors affecting carbon emissions of electric power energy in Shanghai and the peak forecast, it is shown that the scale of carbon emissions of power energy in Shanghai is greatly affected by the industrial structure, regional electrification level, and green power ratio. The carbon emissions of Shanghai’s electricity and energy are likely to reach the peak of carbon emissions before 2030. Therefore, in order to achieve the goal of reducing consumption and contributing to society’s dual-carbon goal, it is necessary to optimize the industrial structure, improve the electrification level, and increase the utilization rate of renewable energy to achieve the goal of energy saving and emission reduction as much as possible.
At present, Shanghai’s electricity supply is still dominated by thermal power and supplemented by clean energy. From the above fitting results, it can be seen that renewable energy has a non-negligible impact on carbon emission reduction. Therefore, in response to the call for energy conservation and emission reduction, it is imperative to optimize the current situation of Shanghai’s power energy structure and reduce the use of coal. The government should further strengthen the construction of the power grid structure. The power grid can increase the proportion of renewable energy connected to the grid, encourage the development of distributed energy transactions, and absorb more clean energy to increase the proportion of clean energy in the region. Shanghai is not a resource-rich city and is not suitable for the development of high-carbon heavy industries. The government should upgrade and optimize the industrial structure to reduce the proportion of secondary industry, introduce enterprises with low energy and power carbon emission intensity, and gradually promote the green and low-carbon transformation of regional industries.

4. Conclusions

Effective carbon prediction has great significance for improving the absorption capacity of clean energy and building a new power system. To sum up, we mainly carried out the following four aspects of research:
  • Electric energy belongs to secondary energy. A large amount of CO2 is produced in the production process. This is a significant source of CO2 in the atmosphere. Reasonable prediction of regional electric energy carbon emission is the premise of controlling regional electric energy carbon emission. After analyzing the carbon emission models of different regions and industries, we found that the STIRPAT model has suitable applicability in solving the regional electric energy carbon emission problem. We improved the original STIRPAT model by changing the original model, which is suitable for regional carbon emissions, into a carbon emission model that is suitable for the power industry.
  • For the development characteristics of the region, the main factors affecting the growth of regional carbon emissions were analyzed. We selected the STIRPAT model, which can properly decompose the influencing factors, and proposed an improvement on the original STIRPAT prediction model. We included the influencing factors of regional power and energy carbon emissions in the model, thereby improving the prediction accuracy of the model. The extended STIRPAT model was used to quantitatively describe the relationship between carbon emissions of electricity and energy and various influencing factors. A regional power energy carbon emission intensity prediction model based on elastic relationship was established.
  • Through the verification of the Pearson coefficient, it is known that there is serious multicollinearity among the variables of the model. We use ridge regression analysis to solve the model. A software program was called to fit the historical data, a reasonable K was selected, and the elastic coefficient between the variables was obtained. The influence of different variables on the results was analyzed. We found that the newly established model has a good fit with the actual regional electricity carbon emissions. Therefore, it is reasonable to believe that this method can better predict the carbon emissions of regional power energy.
  • According to the results of model fitting, we selected the influencing factors with obvious influence. Combined with the future development plan for the region, four different development scenarios were set up. The results show that under the four development scenarios, the carbon emission of power energy in Shanghai can reach its peak before 2030, and according to the development of the Shanghai area, we discussed the path to achieve carbon peak in advance.
An effective power energy carbon emission forecasting method is an important reference for realizing the control of power energy carbon emission. Through the regional carbon emission trend map of future power and energy, it can assist the government in decision making and formulate a carbon emission intensity management system. The future regional electric power energy carbon emission forecast data can assist the government in strictly controlling the carbon emission intensity of enterprises and formulating the future industrial layout plan. The government should use the forecast model to promote the optimization of energy structure, improve the absorption capacity of clean energy, and support the construction of a new power system. The carbon sink cost should be studied. The high-emission enterprises can serve to realize the optimal economic model of carbon sink.

Author Contributions

H.W.: Conceptualization, methodology, software, writing—original draft, supervision, and writing—review and editing. B.L.: Methodology, software, investigation, visualization, writing—original draft, and writing—review and editing. M.Q.K.: Investigation, writing—original draft, and writing—review and editing. All authors have read and agreed to the published version of the manuscript.

Funding

This work was supported by Key Laboratory of Control of Power Transmission and Conversion (SJTU), Ministry of Education (2022AA06) and National Natural Science Foundation of China (51777126).

Institutional Review Board Statement

Not applicable.

Informed Consent Statement

Not applicable.

Data Availability Statement

The data used for the above variables are from the Shanghai Statistical Yearbook, http://www.shtong.gov.cn/dfz_web/Home/Index?id=19828 (accessed on 7 June 2022); China Energy Statistical Yearbook, http://www.stats.gov.cn/tjsj/tjcbw/t20130318_451533.html (accessed on 15 June 2022); and China Technology Statistical Yearbook, http://www.stats.gov.cn/tjsj/tjcbw/t20120926_451547.html (accessed on 17 June 2022).

Acknowledgments

This work was supported by Key Laboratory of Control of Power Transmission and Conversion (SJTU), Ministry of Education (2022AA06) and National Natural Science Foundation of China (51777126). The authors are thankful to the reviewers and editors for their valuable comments and suggestions that have improved the presentation of this paper.

Conflicts of Interest

The authors declare no conflict of interest.

References

  1. People’s Daily Online. Speech at the General Debate of the 75th United Nations General [EB/OL]. The People’s Daily, China. Available online: http://hb.people.com.cn/n2/2020/0923/c194063-34310438.html (accessed on 11 October 2022).
  2. Su, Q.; Wang, H.; Shi, X.; Li, G.; Sun, K. Research on Energy Supply and Demand Forecast and Carbon Neutralization Path Based on Grey-Monarch Butterfly Optimization Model. J. Phys. Conf. Series. 2022, 2247, 012008. [Google Scholar] [CrossRef]
  3. Meng, X. Analysis of Carbon Dioxide Quota Accounting Method for Coal-Fired Power Plants and Its Emission Forecast Model; North China Electric Power University: Beijing, China, 2016. [Google Scholar]
  4. Lin, S.; Wang, S.; Dora, M.; Zhao, D. Improvement and application of STIRPAT model Statistics and Decision. Stat. Decis. 2018, 34, 32–34. [Google Scholar]
  5. Du, Q.; Chen, Q.; Yang, R. Prediction of Carbon Emissions in Chinese Provinces Based on Logistic Model Resources and Environment in the Yangtze River Basin. Land 2013, 22, 143–151. [Google Scholar]
  6. Gao, M.; Yang, H.; Xiao, Q.; Goh, M. A novel fractional grey Riccati model for carbon emission prediction. J. Clean. Prod. 2021, 282, 124471. [Google Scholar] [CrossRef]
  7. Mei, L. Carbon Emission Prediction of Power Industry Based on Ideal Point Multi-Attribute Decision-Making Algorithm; Nanchang University: Nanchang, China, 2018. [Google Scholar]
  8. Wang, Y. Research on Carbon Emission Prediction of Power Industry Based on System Dynamics; North China Electric Power University: Beijing, China, 2017. [Google Scholar]
  9. Peng, C. Prediction of Carbon Emissions from China’s Power Industry Based on BAG-SA Parameter Estimation Method; North China Electric Power University: Beijing, China, 2018. [Google Scholar]
  10. Zhao, J.; Kou, L.; Wang, H.; He, X.; Xiong, Z.; Liu, C.; Cui, H. Carbon Emission Prediction Model and Analysis in the Yellow River Basin Based on a Machine Learning Method. Sustainability 2022, 14, 6153. [Google Scholar] [CrossRef]
  11. Shabani, E.; Hayati, B.; Pishbahar, E.; Ghorbani, M.A.; Ghahremanzadeh, M. A novel approach to predict CO2 emission in the agriculture sector of Iran based on Inclusive Multiple Model. J. Clean. Prod. 2021, 279, 123708. [Google Scholar] [CrossRef]
  12. Wang, Q.; Li, S.; Pisarenko, Z. Modeling carbon emission trajectory of China. US India J. Clean. Prod. 2020, 258, 120723. [Google Scholar] [CrossRef]
  13. Sun, Z.; Liu, Y.; Yu, Y. China’s carbon emission peak pre-2030: Exploring multi-scenario optimal low-carbon behaviors for China’s regions. J. Clean. Prod. 2019, 231, 963–979. [Google Scholar] [CrossRef]
  14. Zhang, Y.; Fu, Z.; Xie, Y.; Li, Z.; Liu, Y.; Hu, Q.; Guo, H. Multi-objective programming for energy system based on the decomposition of carbon emission driving forces: A case study of Guangdong. China J. Clean. Prod. 2021, 309, 127410. [Google Scholar] [CrossRef]
  15. Zhang, Y.; Liu, C.; Chen, L.; Wang, X.; Song, X.; Li, K. Energy-related CO2 emission peaking target and pathways for China’s city: A case study of Baoding City. J. Clean. Prod. 2019, 226, 471–481. [Google Scholar] [CrossRef]
  16. Fang, D.; Zhang, X.; Yu, Q.; Jin, T.C.; Tian, L. A novel method for carbon dioxide emission forecasting based on improved Gaussian processes regression. J. Clean. Prod. 2018, 173, 143–150. [Google Scholar] [CrossRef]
  17. Yan, X.; Sun, H. Research on the prediction and realization path of Xinjiang “carbon peak” based on STIRPAT model. J. Xinjiang Univ. (Nat. Sci. Ed.) (Chin. Engl.) 2022, 39, 206–212, 218. [Google Scholar]
  18. Guan, M.; Yuan, Y.; Ran, M.; Wang, Z. Influencing factors and peak prediction of energy carbon emissions in Shanxi Province based on STIRPAT model. China Coal. 2021, 47, 48–55. [Google Scholar]
  19. Chen, H.; Kang, J.N.; Liao, H.; Tang, B.J.; Wei, Y.M. Costs and potentials of energy conservation in China’s coal-fired power industry: A bottom-up approach considering price uncertainties. Energy Policy 2017, 104, 23–32. [Google Scholar] [CrossRef]
  20. Hu, J.; Kahrl, F.; Yan, Q.; Wang, X. The impact of China’s differential electricity pricing policy on power sector CO2 emissions. Energy Policy 2012, 45, 412–419. [Google Scholar] [CrossRef]
  21. Li, Y.; Lukszo, Z.; Weijnen, M. The implications of CO2 price for China’s power sector decarbonization. Appl. Energy 2015, 146, 53–64. [Google Scholar] [CrossRef]
  22. Yan, Q.; Zhang, Q.; Zou, X. Decomposition analysis of carbon dioxide emissions in China’s regional thermal electricity generation, 2000–2020. Energy 2016, 112, 788–794. [Google Scholar] [CrossRef]
  23. Khanna, N.Z.; Zhou, N.; Fridley, D.; Ke, J. Quantifying the potential impacts of China’s power-sector policies on coal input and CO2 emissions through 2050: A bottom-up perspective. Util. Policy 2016, 41, 128–138. [Google Scholar] [CrossRef]
  24. Tang, B.J.; Li, R.; Li, X.Y.; Chen, H. An optimal production planning model of coal-fired power industry in China: Considering the process of closing down inefficient units and developing CCS technologies. Appl. Energy 2017, 206, 519–530. [Google Scholar] [CrossRef]
  25. Rajput, S.K.; Verma, S.; Gupta, A.; Paul, A.R.; Jain, A.; Haque, N. Environmental Impact Assessment of Coal Gasification in Hydrogen Production. IOP Conf. Ser. Earth Environ. Sci. 2021, 795, 012029. [Google Scholar] [CrossRef]
  26. Gupta, A.; Paul, A. Carbon capture and sequestration potential in India: A comprehensive review. Energy Procedia 2019, 160, 848–855. [Google Scholar] [CrossRef]
  27. Alam, Q.; Alam, F.; Chowdhury, H.; Sarkar, R.; Paul, A. A review on the regional collaboration of power utilisation in South Asia. Energy Procedia 2019, 160, 11–17. [Google Scholar] [CrossRef]
  28. Shanghai Municipal People’s Government. Notice of the Shanghai Municipal People’s Government on Printing and Distributing the “14th Five-Year Plan for Energy Development in Shanghai” Bulletin of the Shanghai Municipal People’s Government; Shanghai Municipal People’s Government: Shanghai, China, 2022; pp. 3–13.
  29. Zhong, X.; Long, S. Re-understanding of IPAT model of environmental impact China Population. Resour. Environ. 2016, 26, 61–68. [Google Scholar]
  30. Shanghai Municipal Bureau of Statistics. Shanghai Statistical Yearbook [EB/OL]; Shanghai Municipal Bureau of Statistics: Shanghai, China, 2010–2020. Available online: http://www.shtong.gov.cn/dfz_web/Home/Index?id=19828 (accessed on 7 June 2022).
  31. National Bureau of Statistics. China Energy Statistical Yearbook [EB/OL]; China Statistics Press: Beijing, China, 2010–2020. Available online: http://www.stats.gov.cn/tjsj/tjcbw/t20130318_451533.html (accessed on 15 June 2022).
  32. National Bureau of Statistics. China Technical Statistical Yearbook [EB/OL]; China Statistics Press: Beijing, China, 2010–2020. Available online: http://www.stats.gov.cn/tjsj/tjcbw/t20120926_451547.html (accessed on 17 June 2022).
  33. Wang, Z.; Shen, L. Calculation and Analysis of Carbon Emission Efficiency in my country’s Regional Power Industry. Sci. Technol. Manag. 2019, 21, 1–8. [Google Scholar]
Figure 1. Regional carbon prediction flowchart.
Figure 1. Regional carbon prediction flowchart.
Sustainability 14 13068 g001
Figure 2. Ridge regression K value corresponds to the value of R2.
Figure 2. Ridge regression K value corresponds to the value of R2.
Sustainability 14 13068 g002
Figure 3. Ridge trace map of ridge regression.
Figure 3. Ridge trace map of ridge regression.
Sustainability 14 13068 g003
Figure 4. Green power ratio forecast trend.
Figure 4. Green power ratio forecast trend.
Sustainability 14 13068 g004
Figure 5. Electrification rate forecast trend.
Figure 5. Electrification rate forecast trend.
Sustainability 14 13068 g005
Figure 6. Industrial structure forecast trend.
Figure 6. Industrial structure forecast trend.
Sustainability 14 13068 g006
Figure 7. Prediction of carbon emissions from electricity and energy under different scenarios.
Figure 7. Prediction of carbon emissions from electricity and energy under different scenarios.
Sustainability 14 13068 g007
Table 1. Statistics of various variables related to carbon emissions in Shanghai from 2010 to 2020.
Table 1. Statistics of various variables related to carbon emissions in Shanghai from 2010 to 2020.
VariableNumber of SamplesAverageStandard DeviationMaximumMinimum
Carbon111380.6178.71678.41100.3
P112405.845.82487.12302.7
C (%)1189.40.189.689.3
A1111.12.715.67.4
T110.50.10.650.31
IS1133,393.62128.237,052.130,003.4
ER (%)1122.24.515.428.7
GE (%)1125.81.822.728.4
OP (%)1116.69.928.55.7
Table 2. Pearson correlation coefficient verification.
Table 2. Pearson correlation coefficient verification.
lnPlnClnAlnTlnISlnERlnGElnOP
lnP1
lnC0.1381
lnA0.8950.2571
lnT0.9130.1980.9951
lnIS0.7380.2210.8300.8201
lnER0.9290.1100.9710.9760.7621
lnGE0.8540.1980.9500.9650.6710.9841
lnOP0.5000.7030.7820.7350.5360.6930.7921
Table 3. Ridge regression results.
Table 3. Ridge regression results.
VariableBSE(B)Beta
lnP1.7041.4660.311
lnC−0.0130.066−0.031
lnA0.1070.0060.181
lnT0.0220.9160.051
lnIS0.3620.4500.223
lnER−0.1730.203−0.199
lnGE−0.6911.004−0.191
lnOP0.0370.0420.241
Table 4. Variable growth rate assumptions.
Table 4. Variable growth rate assumptions.
Industrial StructureElectrification RateGreen Power Ratio
SmoothHigh SpeedSmoothHigh SpeedSmoothHigh Speed
2020~2025−3%−3.5%2.4%3.6%5%7%
2025~2030−2%−3%2%3%6%7%
Publisher’s Note: MDPI stays neutral with regard to jurisdictional claims in published maps and institutional affiliations.

Share and Cite

MDPI and ACS Style

Wang, H.; Li, B.; Khan, M.Q. Prediction of Shanghai Electric Power Carbon Emissions Based on Improved STIRPAT Model. Sustainability 2022, 14, 13068. https://doi.org/10.3390/su142013068

AMA Style

Wang H, Li B, Khan MQ. Prediction of Shanghai Electric Power Carbon Emissions Based on Improved STIRPAT Model. Sustainability. 2022; 14(20):13068. https://doi.org/10.3390/su142013068

Chicago/Turabian Style

Wang, Haibing, Bowen Li, and Muhammad Qasim Khan. 2022. "Prediction of Shanghai Electric Power Carbon Emissions Based on Improved STIRPAT Model" Sustainability 14, no. 20: 13068. https://doi.org/10.3390/su142013068

APA Style

Wang, H., Li, B., & Khan, M. Q. (2022). Prediction of Shanghai Electric Power Carbon Emissions Based on Improved STIRPAT Model. Sustainability, 14(20), 13068. https://doi.org/10.3390/su142013068

Note that from the first issue of 2016, this journal uses article numbers instead of page numbers. See further details here.

Article Metrics

Back to TopTop