GGE Biplot Analysis to Explore the Adaption Potential of Italian Common Wheat Genotypes
Abstract
:1. Introduction
2. Materials and Methods
2.1. Genetic Material
2.2. Test Location and Cultivation Conditions
2.3. Yield and Agronomic Parameters
2.4. Technological Quality
2.5. Phytosanitary Quality
2.6. Functional Properties
2.7. Statistical Analysis
3. Results
3.1. Meteorological Data and Soil Parameters
3.2. Yield and Related Agronomical Parameters
3.3. Technological, Phytosanitary and Functional Quality Parameters
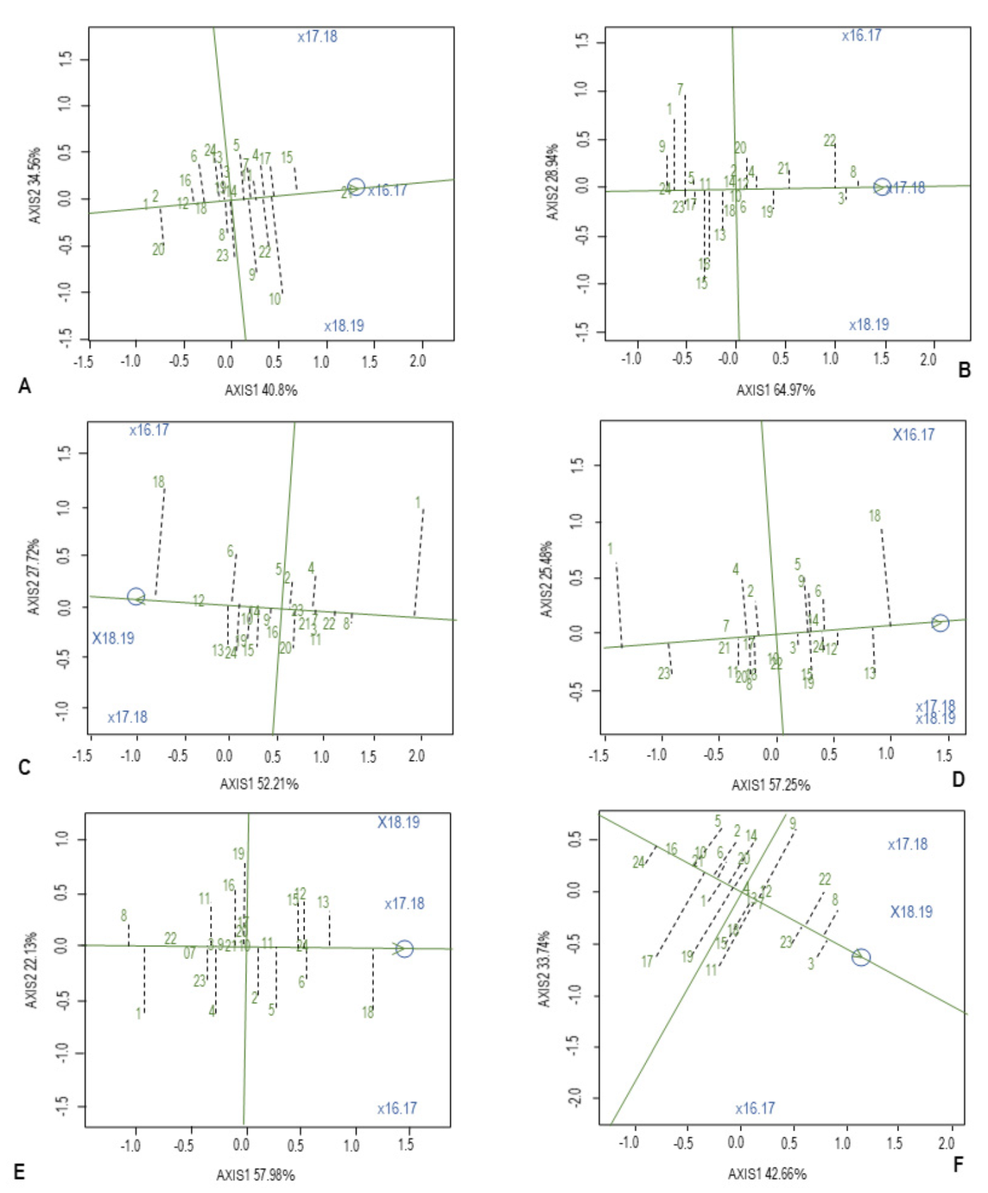
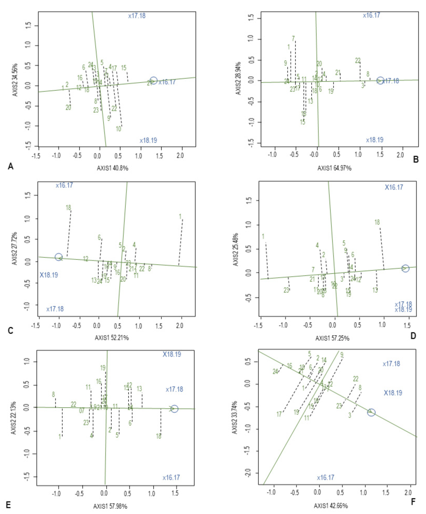
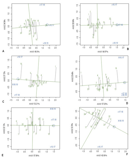
3.4. GGE Biplot for “Mean Performance versus Stability”
4. Discussion
5. Conclusions
Author Contributions
Funding
Institutional Review Board Statement
Informed Consent Statement
Data Availability Statement
Conflicts of Interest
References
- Giraldo, P.; Benavente, E.; Manzano-Agugliaro, F.; Gimenez, E. Worldwide Research Trends on Wheat and Barley: A Bibliometric Comparative Analysis. Agronomy 2019, 9, 352. [Google Scholar] [CrossRef] [Green Version]
- Cassman, K.G. What do we need to know about global food security? Glob. Food Secur. 2012, 1, 81–82. [Google Scholar] [CrossRef]
- Ray, D.K.; Gerber, J.S.; MacDonald, G.K.; West, P.C. Climate variation explains a third of global crop yield variability. Nat. Commun. 2015, 6, 5989. [Google Scholar] [CrossRef] [Green Version]
- Senapati, N.; Semenov, M.A. Large genetic yield potential and genetic yield gap estimated for wheat in Europe. Glob. Food Sec. 2020, 24, 100340. [Google Scholar] [CrossRef] [PubMed]
- Kahiluoto, H.; Kaseva, J.; Balek, J.; Olesen, J.E.; Ruiz-Ramos, M.; Gobin, A.; Kersebaum, K.C.; Tak’ac, J.; Ruget, F.; Ferrise, R.; et al. Decline in climate resilience of European wheat. Proc. Natl. Acad. Sci. USA 2019, 116, 123–128. [Google Scholar] [CrossRef] [Green Version]
- Hristov, J.; Toreti, A.; Pérez Domínguez, I.; Dentener, F.; Fellmann, T.; Elleby, C.; Ceglar, A.; Fumagalli, D.; Niemeyer, S. Analysis of Climate Change Impacts on EU Agriculture by 2050; EUR 30078 EN; Publications Office of the European Union: Luxembourg, 2020. [Google Scholar] [CrossRef]
- Carranza-Gallego, G.; Guzmán, G.I.; Garcia-Ruíz, R.; González de Molina, M.; Aguilera, E. Addressing the Role of Landraces in the Sustainability of Mediterranean Agroecosystems. Sustainability 2019, 11, 6029. [Google Scholar] [CrossRef] [Green Version]
- de Lima, V.J.; Gracia-Romero, A.; Rezzouk, F.Z.; Diez-Fraile, M.C.; Araus-Gonzalez, I.; Kamphorst, S.H.; do Amaral Júnior, A.T.; Kefauver, S.C.; Aparicio, N.; Araus, J.L. Comparative Performance of High-Yielding European Wheat Cultivars Under Contrasting Mediterranean Conditions. Front. Plant. Sci. 2021, 12, 687622. [Google Scholar] [CrossRef]
- Reynolds, M.P.; Lewis, J.M.; Ammar, K.; Basnet, B.R.; Crespo-Herrera, L.; Crossa, J.; Dhugga, K.S.; Dreisigacker, S.; Juliana, P.; Karwat, H.; et al. Harnessing translational research in wheat for climate resilience. J. Exp. Bot. 2021, 72, 5134–5157. [Google Scholar] [CrossRef]
- Wolfe, M.S.; Baresel, J.P.; Desclaux, D.; Goldringer, I.; Hoad, S.; Kovacs, G.; van Bueren, E.T.L. Developments in breeding cereals for organic agriculture. Euphytica 2008, 163, 323–346. [Google Scholar] [CrossRef] [Green Version]
- Altieri, M.A.; Nicholls, C.I.; Henao, A.; Lana, M.A. Agroecology and the design of climate change-resilient farming systems. Agron. Sustain. Dev. 2015, 35, 869–890. [Google Scholar] [CrossRef] [Green Version]
- Bellon, M.R.; van Etten, J. Climate change and on-farm conservation of crop landraces in centres of diversity. In Plant Genetic Resources and Climate Change; Jackson, M., Ford-Lloyd, B., Parry, M., Eds.; CABI-ebooks: Wallingford, UK, 2014; pp. 137–150, Chapter 8. [Google Scholar] [CrossRef] [Green Version]
- Koutis, K.G.; Mavromatis, A.; Baxevanos, D.; Koutsika-Sotiriou, M. Multienvironmental evaluation of wheat landraces by GGE Biplot Analysis for organic breeding. Agric. Sci. 2012, 3, 66–74. [Google Scholar] [CrossRef] [Green Version]
- Ghiselli, L.; Rossi, E.; Whittaker, A.; Dinelli, G.; Baglio, A.P.; Andrenelli, L.; Benedetteli, S. Nutritional characteristics of ancient Tuscan varieties of Triticum aestivum L. Ital. J. Agron. 2016, 11, 750. [Google Scholar] [CrossRef] [Green Version]
- Migliorini, P.; Spagnolo, S.; Torria, L.; Arnoulet, M.; Lazzerini, G.; Ceccarelli, S. Agronomic and quality characteristics of old, modern and mixture wheat varieties and landraces for organic bread chain in diverse environments of northern Italy. Eur. J. Agron. 2016, 79, 131–141. [Google Scholar] [CrossRef]
- Bocci, R.; Bussi, B.; Petitti, M.; Franciolini, R.; Altavilla, V.; Galluzzi, G.; Di Luzio, P.; Migliorini, P.; Spagnolo, S.; Floriddia, R.; et al. Yield, yield stability and farmers’ preferences of evolutionary populations of bread wheat: A dynamic solution to climate change. Eur. J. Agron. 2020, 121, 126156. [Google Scholar] [CrossRef]
- AGRI-Food Data Portal—Cereals Production. Directorate-General for Agriculture and Rural Development of the European Union. Available online: https://agridata.ec.europa.eu/extensions/DashboardCereals/CerealsProduction.html (accessed on 30 September 2021).
- European Regulation (EU) 2018/848 of the European Parliament and of the Council of 30 May 2018. Available online: https://eur-lex.europa.eu/eli/reg/2018/848/2020-11-14#B-1 (accessed on 8 November 2021).
- Yan, W.; Hunt, L.A.; Sheng, Q.; Szlavnics, Z. Cultivar evaluation and mega-environment investigation based on the GGE biplot. Crop. Sci. 2000, 40, 597–605. [Google Scholar] [CrossRef]
- Ding, M.; Tier, B.; Yan, W.; Wu, H.X.; Powell, M.B.; McRae, T.A. Application of GGE biplot analysis to evaluate Genotype (G), Environment (E), and G×E interaction on Pinus radiata: A case study. N. Z. J. For. Sci. 2008, 38, 132–142. [Google Scholar]
- Borasio, E. Classificazione merceologica del frumento con indici di qualità. Agricoltura 1997, 9, 59–61. [Google Scholar]
- Assosementi (Associazione Italiana Sementi). Available online: http://www.sementi.it/articoli/163/registro-nazionale-varieta-specie-agrarie. (accessed on 7 October 2021).
- Informazioni Storiche —Biodiversità del Veneto. Available online: http://biodiversita.provincia.vicenza.it/pagstor/h_ita0340001.htm (accessed on 7 October 2021).
- Frumento Tenero—Co.Na.Se. Available online: https://www.conase.it/prodotti/cereali/frumento-tenero (accessed on 7 October 2021).
- Peterson, R.F.; Campbell, A.B.; Hannah, A.E. A diagrammatic scale for estimating rust intensity on leaves and stems of cereals. Can. J. Res. 1948, 26, 496–500. [Google Scholar] [CrossRef]
- Zheng, Z.; Humphrey, C.W.; King, R.S.; Richard, J.L. Validation of an ELISA test kit for the detection of total aflatoxins in grain and grain products by comparison with HPLC. Mycopathologia 2005, 159, 255–263. [Google Scholar] [CrossRef] [PubMed]
- Prosky, L.; Asp, N.-G.; Schweizer, T.F.; De Vries, J.W.; Furda, L. Determination of insoluble, soluble, and total dietary fibre in foods and food products. J. Assoc. Off. Anal. Chem. 1988, 71, 1017–1023. [Google Scholar]
- Lee, S.C.; Prosky, L.; De Vries, J.W. Determination of total, soluble and insoluble fibre in foods-enzymatic–gravimetric method. J. Assoc. Off. Anal. Chem. 1992, 75, 395–416. [Google Scholar]
- Dinelli, G.; Segura-Carretero, A.; Di Silvestro, R.; Marotti, I.; Arráez-Román, D.; Benedettelli, S.; Ghiselli, L.; Fernadez-Gutierrez, A. Profiles of phenolic compounds in modern and old common wheat varieties determined by liquid chromatography coupled with time-of-flight mass spectrometry. J. Chromatogr. A 2011, 1218, 7670–7681. [Google Scholar] [CrossRef]
- Singleton, V.L.; Orthofer, R.; Lamuela-Raventós, R.M. Analysis of total phenols and other oxidation substrates and antioxidants by means of folin-ciocalteu reagent. Methods Enzymol. 1999, 299, 152–178. [Google Scholar] [CrossRef]
- Adom, K.K.; Sorrells, M.E.; Liu, R.H. Phytochemical profiles and antioxidant activity of wheat varieties. J. Agric. Food Chem. 2003, 51, 7825–7834. [Google Scholar] [CrossRef] [PubMed]
- Floegel, A.; Kim, D.O.; Chung, S.J.; Koo, S.I.; Chun, O.K. Comparison of ABTS/DPPH assays to measure antioxidant capacity in popular antioxidant-rich US foods. J. Food Compos. Anal. 2011, 24, 1043–1048. [Google Scholar] [CrossRef]
- Benzie, I.F.F.; Strain, J.J. The ferric reducing ability of plasma (FRAP) as a measure of “antioxidant power”: The FRAP assay. Anal. Biochem. 1996, 239, 70–76. [Google Scholar] [CrossRef] [Green Version]
- Frutos, E.; Galindo, M.P.; Leiva, V. An interactive biplot implementation in R for modeling genotype-by-environment interaction. Stoch. Environ. Res. Risk Assess. 2014, 28, 1629–1641. [Google Scholar] [CrossRef]
- Neisse, A.; Kirch, J.; Hongyu, K. AMMI and GGE Biplot for genotype × environment interaction: A medoid–based hierarchical cluster analysis approach for high–dimensional data. Biom. Lett. 2018, 55, 97–121. [Google Scholar] [CrossRef] [Green Version]
- EC. Commission Regulation (EC) No 1126/2007 of 28 September 2007. Available online: https://eur-lex.europa.eu/LexUriServ/LexUriServ.do?uri=OJ:L:2007:255:0014:0017:EN:PDF35 (accessed on 14 October 2021).
- Decreto Legislativo 29 ottobre 2009, n.149-—Camera.it. Available online: https://www.camera.it/parlam/leggi/deleghe/09149dl.htm (accessed on 5 November 2021).
- Spina, A.; Dinelli, G.; Palumbo, M.; Whittaker, A.; Cambrea, M.; Bosi, S. Evaluation of standard physico-chemical and rheological parameters in predicting bread-making quality of durum wheat (Triticum turgidum L. ssp. durum [Desf.] Husn.). Int. J. Food Sci. Technol. 2021, 56. [Google Scholar] [CrossRef]
- Boukid, F.; Gentilucci, V.; Vittadini, E.; De Montis, A.; Rosta, R.; Bosi, S.; Dinelli, G.; Carini, E. Rediscovering bread quality of “old” Italian wheat (Triticum aestivum L. ssp. aestivum) through an integrated approach: Physicochemical evaluation and consumers’ perception. LWT Food Sci. Technol. 2020, 122, 109043. [Google Scholar] [CrossRef]
- Akan, K.; Akcura, M. GGE biplot analysis of reactions of bread wheat pure lines selected from central anatolian landraces of Turkey to leaf rust disease (Puccinia triticina) in multiple location-years. Cereal Res. Commun. 2018, 46, 311–320. [Google Scholar] [CrossRef] [Green Version]
- Leoncini, E.; Prata, C.; Malaguti, M.; Marotti, I.; Segura-Carretero, A.; Catizone, P.; Dinelli, G.; Hrelia, S. Phytochemical profile and nutraceutical value of old and modern common wheat cultivars. PLoS ONE 2012, 7, e45997. [Google Scholar] [CrossRef] [Green Version]
- Sofi, F.; Ghiselli, L.; Cesari, F.; Gori, A.M.; Mannini, L.; Casini, A.; Vazzana, C.; Vecchio, V.; Gensini, G.F.; Abbate, R.; et al. Effects of short-term consumption of bread obtained by an old Italian grain variety on lipid, inflammatory, and haemorheological variables: An intervention study. J. Med. Food 2010, 13, 1–6. [Google Scholar] [CrossRef] [PubMed]
- Sereni, A.; Cesari, F.; Gori, A.M.; Maggini, N.; Marcucci, R.; Casini, A.; Sofi, F. Cardiovascular benefits from ancient grain bread consumption: Findings from a double-blinded randomized crossover intervention trial. Int. J. Food Sci. Nutr. 2016, 68, 97–103. [Google Scholar] [CrossRef] [PubMed]



| Code | Genotype | Classification | Year | Breeder | Area of Origin/Adaptability |
|---|---|---|---|---|---|
| 1 | Abbondanza | Old | 1950 | M. Michahelles | Tuscany/hills, mountains |
| 2 | Andriolo | Landrace | - | - | Tuscany (1800s)/mountains |
| 3 | Aquilante | Modern (FP) | 2006 | CO.NA.SE (ER) | |
| 4 | Autonomia A | Old | 1938 | M. Michahelles | Central Italy/lowlands |
| 5 | Benco | Landrace | - | - | Diffuse Tuscany |
| 6 | Bianco Nostrale | Landrace | - | - | Tuscany/mountains |
| 7 | Bilancia | Modern (FP) | 1996 | Psb, (ER) | - |
| 8 | Blasco | Modern (FPS) | 2002 | CO.NA.SE (ER) | - |
| 9 | Bolero | Modern (FP) | 1987 | Venturoli Sementi, (ER), C.C. Beniost (France), | |
| 10 | Bologna | Modern (FF) | 1999 | SIS (ER), C.C. Benoist (France) | |
| 11 | Canove | Landrace | - | - | Veneto/mountains |
| 12 | Fiorello | Old | 1947 | IABO | Emilia-Romagna |
| 13 | Frassineto | Old | 1932 | M. Michahelles | Tuscany/mountains, hills |
| 14 | Gamba di Ferro | Landrace | - | - | - |
| 15 | Gentil Bianco | Landrace | - | - | Tuscany (1800s)/hills |
| 16 | Gentil Rosso | Landrace | - | - | Central Italy |
| 17 | Guà 113 | Old | 1936 | Ricciarelli. | Veneto/lowlands |
| 18 | Inallettabile | Old | 1920 | F. Todaro | north-central Italy/lowlands, |
| 19 | Mentana | Old | 1923 | N. Strampelli | Central Italy |
| 20 | Palesio | Modern (FP) | 2000 | SIS (ER) | - |
| 21 | Piave | Landrace | - | - | Veneto (1800s)/hills |
| 22 | Rebelde | Modern (FF) | 2012 | CO.NA.SE (ER) | - |
| 23 | Sagittario | Modern (FF) | 1995 | Psb (ER) | - |
| 24 | Verna | Old | 1941 | M. Gasperini | Tuscany/mountains |
| Soil Parameters Prior to Sowing | Year 2016–2017 | Year 2017–2018 | Year 2018–2019 |
|---|---|---|---|
| pH | 7.61 | 6.57 | 7.57 |
| Organic matter (%/DM) | 1.2 | 3.3 | 3.7 |
| Total N (%/DM) | 0.7 | 1.4 | 1.5 |
| C/N ratio | 9.7 | 13.6 | 14.7 |
| Assimilable P (mg/kg DM) | 38.6 | 19.0 | 31.5 |
| Assimilable K (mg/kg DM) | 229 | 215 | 215 |
| Meteorological Conditions during Crop Growth | |||
| December–June: cumulative rainfall (mm) | 287 | 384 | 337 |
| April–June: cumulative rainfall (mm) | 184 | 123 | 265 |
| April–June: number of rainfall days | 16 | 28 | 35 |
| April–June: T max increase (°C/month) | 3.51 | 2.46 | 4.10 |
| April–June: T min increase (°C/month) | 3.21 | 2.12 | 3.33 |
| T max at harvest (°C) | 31.20 | 30.09 | 31.19 |
| Yield | HW | Height | Lodging | Spikes/m2 | Kernels/Spike | TKW | |
|---|---|---|---|---|---|---|---|
| (t/ha) | (kg/hL) | (cm) | (%) | (Number) | (Number) | (g) | |
| Year | *** | *** | *** | *** | *** | *** | *** |
| 2016/2017 | 3.35 b | 76.5 a | 104.8 a | 20.9 b | 151.9 b | 50.0 a | 48.4 a |
| 2017/2018 | 3.00 c | 76.6 a | 91.9 b | 51.0 a | 150.0 b | 48.5 a | 42.9 b |
| 2018/2019 | 3.87 a | 74.9 b | 106.7 a | 17.2 c | 258.0 a | 37.0 b | 43.0 b |
| Variety | ns | *** | *** | *** | *** | ** | ns |
| Abbondanza | 2.25 | 73.4 h | 86.5 g | 5.00 a | 119.4 h | 45.5 c–f | 42.3 |
| Andriolo | 2.69 | 76.0 c–f | 115.7 de | 21.7 bc | 144.5 f–h | 47.2 b–f | 42.4 |
| Aquilante | 3.38 | 79.7 a | 72.8 h | 0 a | 136.0 gh | 56.3 a | 45.3 |
| Autonomia A | 3.63 | 76.6 cde | 105.6 f | 37.5 ef | 173.0 c–h | 47.8 b–f | 44.9 |
| Benco | 3.46 | 74.5 fgh | 124.9 c | 80.0 j | 234.0 bc | 33.9 h | 46.4 |
| Bianco Nostrale | 3.01 | 76.5 cde | 125.6 c | 81.7 j | 208.9 b–f | 33.9 h | 45.8 |
| Bilancia | 3.51 | 73.8 gh | 60.7 j | 5.83 a | 161.1 d–h | 50.5 a–d | 44.3 |
| Blasco | 3.42 | 80.0 a | 71.3 hi | 2.50 a | 177.6 c–h | 51.8 a–c | 43.2 |
| Bolero | 3.68 | 73.4 h | 70.3 hi | 0 a | 180.8 c–h | 46.6 c–f | 46.6 |
| Bologna | 3.79 | 76.2 c–f | 72.2 h | 0 a | 154.8 e–h | 54.9 ab | 49.3 |
| Canove | 3.61 | 75.2 e–h | 118.0 d | 68.3 h | 213.2 b–e | 42. 8 d–g | 41.5 |
| Fiorello | 3.06 | 76.5 cde | 89.70 g | 5.00 a | 164.4 d–h | 41.4 e–h | 45.7 |
| Frassineto | 3.32 | 75.8 c–f | 124.0 c | 32.5 de | 221.3 b–d | 35.3 gh | 47.5 |
| Gamba di Ferro | 3.55 | 75.9 c–f | 140.2 a | 88.3 j | 246.3 b | 33.8 h | 45.1 |
| Gentil Bianco | 4.00 | 75.5 d–g | 117.1 de | 34.2 de | 210.8 b–e | 46.6 c–f | 43.1 |
| Gentil Rosso | 3.08 | 75.5 d–g | 132.0 b | 81.3 j | 165.7 d–h | 48.2 b–e | 44.5 |
| Guà 113 | 3.83 | 74.7 e–h | 115.9 de | 51.7 g | 177.8 c–h | 50.2 a–d | 44.6 |
| Inallettabile | 3.11 | 76.1 c–f | 114.1 de | 26.7 cd | 199.8 b–g | 40.1 f–h | 43.6 |
| Mentana | 3.25 | 77.4 cd | 111.7 e | 43.3 f | 191.1 b–g | 40.6 e–h | 43.4 |
| Palesio | 2.86 | 76.2 c–f | 75.7 h | 0 a | 135.7 gh | 47.5 b–f | 45.5 |
| Piave | 4.81 | 77.7 bc | 116.6 de | 32.5 de | 367.5 a | 37.4 gh | 41.1 |
| Rebelde | 3.89 | 79.1 ab | 74.4 h | 0 a | 181.7 c–h | 53.2 a–c | 47.0 |
| Sagittario | 3.43 | 74.4 f–h | 65.8 ij | 0 a | 151.3 e–h | 51.8 a–c | 49.2 |
| Verna | 3.14 | 73.8 gh | 126.6 bc | 15.0 b | 162.6 d–h | 46.1 c–f | 42.2 |
| Year × Variety | *** | *** | *** | *** | ** | *** | *** |
| Total Protein | Zeleny Value | Wet Gluten | Pathogens | DON | |
|---|---|---|---|---|---|
| (%) | (mL) | (%) | (0–10 Scale) | (ppb) | |
| Year | *** | *** | *** | *** | *** |
| 2016/2017 | 13.0 a | 34.5 a | 26.9 a | 1.27 c | 212.2 a |
| 2017/2018 | 12.7 a | 34.0 a | 25.6 a | 1.73 b | 202.3 b |
| 2018/2019 | 11.5 b | 25.0 b | 21.5 b | 4.77 a | 200.0 b |
| Variety | *** | * | ** | ns | *** |
| Abbondanza | 10.4 j | 21.5 m | 21.2 fg | 2.17 | 211 a–d |
| Andriolo | 12.2 d–h | 29.9 g–k | 25.2 b–e | 2.33 | 200 d |
| Aquilante | 12.6 c–g | 27.6 i–l | 23.4 c–g | 4.33 | 220 ab |
| Autonomia A | 12.0 e–h | 28.2 i–l | 23.7 c–g | 2.50 | 200 d |
| Benco | 12.8 b–f | 30.7 f–i | 25.8 b–e | 1.83 | 222 ab |
| Bianco Nostrale | 13.1 b–d | 35.3 b–d | 26.9 a–c | 2.17 | 200 d |
| Bilancia | 11.6 hi | 26.6 kl | 22.7 d–g | 2.83 | 200 d |
| Blasco | 11.9 f–h | 25.4 l | 20.3 g | 4.17 | 217 a–c |
| Bolero | 12.8 b–f | 31.9 d–g | 23.7 b–g | 3.00 | 200 d |
| Bologna | 12.3 c–h | 33.0 c–f | 24.6 b–f | 1.83 | 200 d |
| Canove | 11.8 f–h | 28.1 i–l | 23.2 c–g | 3.00 | 200 d |
| Fiorello | 13.3 bc | 37.5 b | 26.8 a–c | 2.83 | 200 d |
| Frassineto | 13.7 ab | 35.5 bc | 27.6 ab | 2.83 | 200 d |
| Gamba di Ferro | 13.1 b–d | 32.9 c–f | 25.7 b–e | 2.67 | 201 cd |
| Gentil Bianco | 12.8 b–f | 33.0 c–g | 26.4 a–d | 2.50 | 200 d |
| Gentil Rosso | 12.1 d–h | 31.8 e–h | 24.3 b–f | 1.33 | 200 d |
| Guà 113 | 12.2 d–h | 30.5 f–j | 24.8 b–f | 1.83 | 200 d |
| Inallettabile | 14.2 a | 41.4 a | 29.6 a | 2.83 | 200 d |
| Mentana | 13.0 b–d | 34.6 b–e | 24.7 b–f | 2.33 | 212 a–d |
| Palesio | 11.9 f–h | 29.6 g–k | 24.5 b–f | 2.67 | 207 b–d |
| Piave | 11.7 g–i | 28.3 i–l | 24.2 b–f | 2.00 | 200 d |
| Rebelde | 12.4 c–h | 27.1 j–l | 22.3 e–g | 3.50 | 226 a |
| Sagittario | 10.8 ij | 28.5 h–l | 23.3 c–g | 3.50 | 200 d |
| Verna | 12.9 b–e | 33.8 c–f | 26.7 a–c | 1.17 | 200 d |
| Year × Variety | *** | *** | ns | *** | *** |
| IDF | SDF | TPC | TFC | FRAP | DPPH | |
|---|---|---|---|---|---|---|
| (g/100 g) | (g/100 g) | (mg/100 g) | (mg/100 g) | (mmol/100 g) | (mmol/100 g) | |
| Year | ns | ** | *** | ** | *** | *** |
| 2016/2017 | 15.5 | 5.16 a | 275 b | 90.5 b | 1.01 a | 2.78 b |
| 2017/2018 | 16.7 | 4.53 b | 291 a | 111 a | 0.62 b | 3.96 a |
| 2018/2019 | 16.4 | 4.96 a | 211 c | 92.4 b | 1.00 a | 2.65 b |
| Variety | ns | ** | ns | * | ns | ns |
| Abbondanza | 15.5 | 4.81 c–f | 234 | 119.5 ab | 0.67 | 2.54 |
| Andriolo | 14.5 | 5.38 a–d | 233 | 89.5 gh | 0.70 | 2.74 |
| Aquilante | 15.3 | 4.11 g–i | 275 | 82.4 ij | 0.83 | 3.05 |
| Autonomia A | 17.9 | 5.00 c–f | 260 | 101 d–f | 0.82 | 2.70 |
| Benco | 15.2 | 5.02 c–f | 233 | 112 bc | 0.68 | 2.71 |
| Bianco Nostrale | 14.3 | 5.39 a–d | 265 | 106 c–e | 0.84 | 3.44 |
| Bilancia | 15.1 | 4.90 c–f | 301 | 82.5 h–j | 0.99 | 3.18 |
| Blasco | 15.2 | 3.80 i | 226 | 86.1 hi | 1.02 | 2.57 |
| Bolero | 15.8 | 3.73 i | 280 | 84.7 h–j | 0.86 | 3.77 |
| Bologna | 14.7 | 4.05 hi | 278 | 61.8 k | 0.87 | 3.02 |
| Canove | 18.0 | 5.92 a | 248 | 95.4 fg | 0.96 | 3.16 |
| Fiorello | 17.7 | 5.39 a–d | 255 | 115 a–c | 0.95 | 3.43 |
| Frassineto | 16.8 | 5.40 a–d | 239 | 99.05 d–f | 0.89 | 2.76 |
| Gamba di Ferro | 18.1 | 4.42 e–i | 281 | 122.48 a | 1.01 | 3.90 |
| Gentil Bianco | 18.6 | 5.05 c–f | 252 | 107.3 cd | 0.92 | 3.22 |
| Gentil Rosso | 17.3 | 5.99 a | 270 | 106.5 c–e | 0.85 | 3.43 |
| Guà 113 | 15.4 | 4.57 e–h | 279 | 117.5 ab | 0.99 | 3.80 |
| Inallettabile | 15.9 | 5.14 b–e | 224 | 100.3 d–f | 0.89 | 2.85 |
| Mentana | 17.4 | 5.80 ab | 299 | 97.6 e–g | 0.84 | 3.07 |
| Palesio | 14.7 | 4.76 d–g | 256 | 75.4 j | 0.74 | 2.75 |
| Piave | 17.0 | 5.00 c–f | 249 | 123.8 a | 0.92 | 3.39 |
| Rebelde | 15.2 | 3.73 i | 249 | 82.5 h–j | 0.94 | 2.75 |
| Sagittario | 17.2 | 4.35 f–i | 249 | 79.4 ij | 0.91 | 3.49 |
| Verna | 16.7 | 5.52 a–c | 280 | 106.9 c–e | 0.93 | 3.45 |
| Year × Variety | *** | *** | *** | *** | *** | *** |
Publisher’s Note: MDPI stays neutral with regard to jurisdictional claims in published maps and institutional affiliations. |
© 2022 by the authors. Licensee MDPI, Basel, Switzerland. This article is an open access article distributed under the terms and conditions of the Creative Commons Attribution (CC BY) license (https://creativecommons.org/licenses/by/4.0/).
Share and Cite
Bosi, S.; Negri, L.; Fakaros, A.; Oliveti, G.; Whittaker, A.; Dinelli, G. GGE Biplot Analysis to Explore the Adaption Potential of Italian Common Wheat Genotypes. Sustainability 2022, 14, 897. https://doi.org/10.3390/su14020897
Bosi S, Negri L, Fakaros A, Oliveti G, Whittaker A, Dinelli G. GGE Biplot Analysis to Explore the Adaption Potential of Italian Common Wheat Genotypes. Sustainability. 2022; 14(2):897. https://doi.org/10.3390/su14020897
Chicago/Turabian StyleBosi, Sara, Lorenzo Negri, Antonio Fakaros, Giulia Oliveti, Anne Whittaker, and Giovanni Dinelli. 2022. "GGE Biplot Analysis to Explore the Adaption Potential of Italian Common Wheat Genotypes" Sustainability 14, no. 2: 897. https://doi.org/10.3390/su14020897
APA StyleBosi, S., Negri, L., Fakaros, A., Oliveti, G., Whittaker, A., & Dinelli, G. (2022). GGE Biplot Analysis to Explore the Adaption Potential of Italian Common Wheat Genotypes. Sustainability, 14(2), 897. https://doi.org/10.3390/su14020897

