Study on Characteristics of 125I Absorption and Accumulation in Eggplants
Abstract
1. Introduction
2. Materials and Method
2.1. Materials for Experiment
2.2. Experiment Method
2.3. Sampling
2.4. Determination
2.5. Statistical Analysis
3. Results
3.1. Dynamic Absorption of 125I in Eggplant
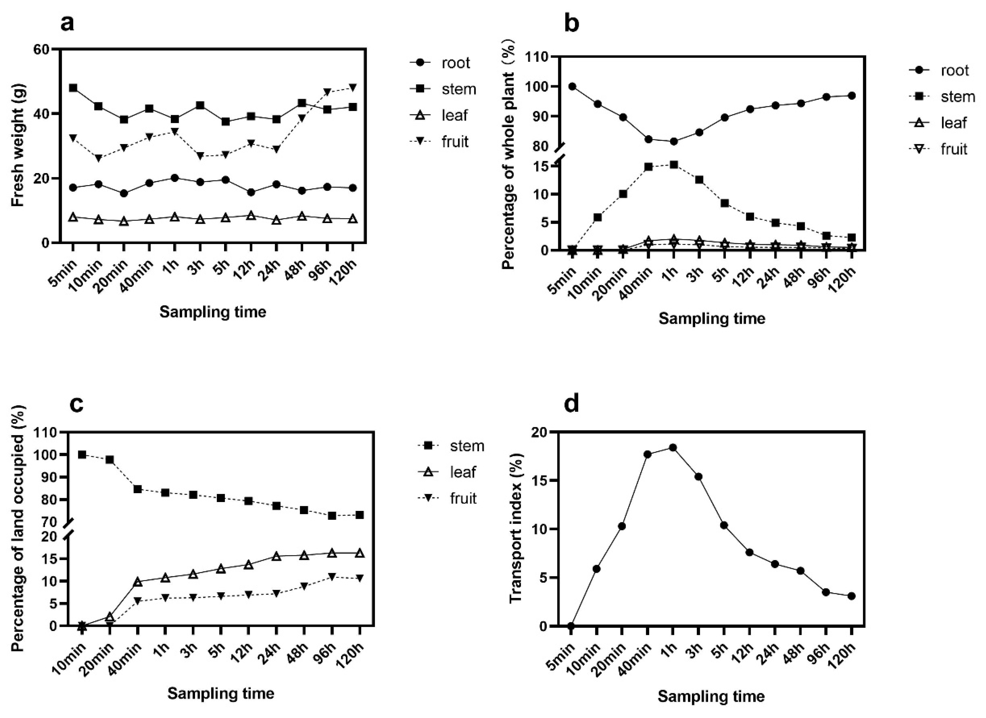
3.2. Transport and Distribution of 125I in Eggplant Plants
3.3. The Absorption Rate of 125I in Eggplant
4. Discussion
5. Conclusions
Author Contributions
Funding
Institutional Review Board Statement
Informed Consent Statement
Data Availability Statement
Conflicts of Interest
References
- Maria, A.; Christian, P.B. The Role of Iodine for Thyroid Function in Lactating Women and Infants. Endocr. Rev. 2021, 43, 469–506. [Google Scholar] [CrossRef]
- Nicole, J.E.V.; Sueppong, G.; Pattanee, W.; Maria, A.; Alida, M.B.; Michael, B.Z. Iodine Supplementation in Mildly Iodine-Deficient Pregnant Women Does Not Improve Maternal Thyroid Function or Child Development: A Secondary Analysis of a Randomized Controlled Trial. Front. Endocrinol. 2020, 11, 572984. [Google Scholar] [CrossRef]
- Adrienne, H.; Harris, R.L. Iodine and Iodine Deficiency: A Comprehensive Review of a Re-Emerging Issue. Nutrients 2022, 14, 3474. [Google Scholar] [CrossRef]
- Hetzel, B. Iodine deficiency disorders (IDD) and their eradication. Lancet 1983, 322, 1126–1129. [Google Scholar] [CrossRef]
- Rachel, P.G.; Lana, C.; Helena, P.; Arnold, T.; Robin, H.; Karen, C. Comparison of Salt Iodization Requirements in National Standards with Global Guidelines. Curr. Dev. Nutr. 2022, 6, 116. [Google Scholar] [CrossRef]
- Huang, Y.; Zhu, Y.; Hu, Y.; Liu, Y.; Dai, J. Iodine in soil-plant systems and prevention of iodine deficiency disorders. Ecol. Environ. 2003, 12, 228–231. (In Chinese) [Google Scholar]
- Sun, R.; Fan, L.J.; Du, Y.; Liu, L.C.; Qian, T.T.; Zhao, M.; Che, W.J.; Liu, P.; Sun, D.J. The relationship between different iodine sources and nutrition in pregnant women and adults. Front. Endocrinol. 2022, 13, 924990. [Google Scholar] [CrossRef]
- Han, Y.; Tang, D. Current situation of national iodine supplement in China. Occup. Health 2020, 36, 1142–1145, 1149. (In Chinese) [Google Scholar]
- Min, L.; Rui Wang Jia, X.L.; Wei, D.L.; Yi, C.H.; Jing, C.; Wei, M.; Li, C.Y. Changes of Iodine Nutritional Status in the Elderly after Replacing Iodized Salt with Non-Iodized Salt for Half a Year. Biol. Trace Elem. Res. 2022, 1–7. [Google Scholar] [CrossRef]
- DeLong, G.R.; Leslie, P.W.; Wang, S.-H.; Jiang, X.-M.; Zhang, M.-L.; Abdul Rakeman, M.; Jiang, J.-Y.; Ma, T.; Cao, X.-Y. Effect on infant mortality of iodination of irrigation water in a severely iodine-deficient area of China. Lancet 1997, 350, 771–773. [Google Scholar] [CrossRef]
- Bostock, A.C.; Shaw, G.; Bell, J.N. The volatilisation and sorption of 129I in coniferous forest, grassland and frozen soils. J. Environ. Radioact. 2003, 70, 29–42. [Google Scholar] [CrossRef]
- Hu, Q.H.; Moran, J.E.; Gan, J.Y. Sorption, degradation, and transport of methyl iodide and other iodine species in geologic media. Appl. Geochem. 2012, 27, 774–781. [Google Scholar] [CrossRef]
- Marine, R.; Loïc, C.; Daniel, O.; Maïté, B.; Florence, P.; IsabelleLe, H.; Manuel, N.; Frédéric, C. Iodine distribution and volatilization in contrasting forms of forest humus during a laboratory incubation experiment. J. Environ. Radioact. 2022, 248, 106872. [Google Scholar] [CrossRef]
- Rana, R.; Raghuvanshi, R.S. Effect of different cooking methods on iodine losses. J. Food Sci. Technol. 2013, 50, 1212–1216. [Google Scholar] [CrossRef][Green Version]
- Meinhardt, A.-K.; Müller, A.; Burcza, A.; Greiner, R. Influence of cooking on the iodine content in potatoes, pasta and rice using iodized salt. Food Chem. 2019, 301, 125293. [Google Scholar] [CrossRef]
- Guan, X. Causes of iodine deficiency disease not reaching standard in Turpan region of Xinjiang and the existing problems and countermeasures. Bull. Dis. Control. Prev. 2010, 25, 23–24. (In Chinese) [Google Scholar]
- Halka, M.; Klimek-Chodacka, M.; Smoleń, S.; Baranski, R.; Ledwożyw-Smoleń, I.; Sady, W. Organic iodine supply affects tomato plants differently than inorganic iodine. Physiol. Plant. 2018, 164, 290–306. [Google Scholar] [CrossRef]
- Lassen, A.D.; Christensen, L.M.; Trolle, E. Development of a Danish Adapted Healthy Plant-Based Diet Based on the EAT-Lancet Reference Diet. Nutrients 2020, 12, 738. [Google Scholar] [CrossRef]
- Carvalho, S.M.P.; Vasconcelos, M.W. Producing more with less: Strategies and novel technologies for plant-based food biofortification. Food Res. Int. 2013, 54, 961–971. [Google Scholar] [CrossRef]
- Korobova, E.M.; Romanov, S.L.; Silenok, A.V.; Kurnosova, I.V.; Chesalova, E.I.; Beriozkin, V.Y. Iodine deficiency in soils and evaluation of its impact on thyroid gland diseases in areas subjected to contamination after the Chernobyl accident. J. Geochem. Explor. 2014, 142, 82–93. [Google Scholar] [CrossRef]
- Ory, C.; Leboulleux, S.; Salvatore, D.; Le Guen, B.; De Vathaire, F.; Chevillard, S.; Schlumberger, M. Consequences of atmospheric contamination by radioiodine: The Chernobyl and Fukushima accidents. Endocrine 2021, 71, 298–309. [Google Scholar] [CrossRef]
- Siasou, E.; Willey, N. Inter-Taxa Differences in Iodine Uptake by Plants: Implications for Food Quality and Contamination. Agronomy 2015, 5, 537–554. [Google Scholar] [CrossRef]
- Puccinelli, M.; Landi, M.; Maggini, R.; Pardossi, A.; Incrocci, L. Iodine biofortification of sweet basil and lettuce grown in two hydroponic systems. Sci. Hortic. 2021, 276, 109783. [Google Scholar] [CrossRef]
- Zaremba, A.; Waszkowiak, K.; Kmiecik, D.; Jędrusek-Golińska, A.; Jarzębski, M.; Szymandera-Buszka, K. The Selection of the Optimal Impregnation Conditions of Vegetable Matrices with Iodine. Molecules 2022, 27, 3351. [Google Scholar] [CrossRef]
- Nadezhda, G.; Anastasia, M.; Mikhail, F.; Helene, K.; Viktor, K.; Gundar, F.; Andrey, A.; Gianluca, C. Iodine and Selenium Biofortification of Chervil Plants Treated with Silicon Nanoparticles. Plants 2021, 10, 2528. [Google Scholar] [CrossRef]
- Tang, Y.; Luo, X. Research methods for evaluation absorbing and accumulating nuclides of plant. J. Nucl. Agric. Sci. 2011, 25, 1292–1299. (In Chinese) [Google Scholar]
- Wang, Z.; Jin, W.; Zhu, Z.; Cui, X.; Song, Q.; Shi, Z.; Wu, C.; Zang, J.; Guo, C. Relationship of household cooking salt and eating out on iodine status of pregnant women in environmental iodine-deficient coastal areas of China. Br. J. Nutr. 2020, 124, 971–978. [Google Scholar] [CrossRef]
- Cui, X.; Sang, Y.; Song, J. Residual of exogenous iodine in forest soils and its effect on some wild-vegetable plants. Chin. J. Appl. Ecol. 2003, 14, 1612–1616. (In Chinese) [Google Scholar]
- Kihara, J.; Bolo, P.; Kinyua, M.; Rurinda, J.; Piikki, K. Micronutrient deficiencies in African soils and the human nutritional nexus: Opportunities with staple crops. Environ. Geochem. Health 2020, 42, 3015–3033. [Google Scholar] [CrossRef]
- Fageria, N.K.; Moraes, M.F.; Ferreira, E.P.B.; Knupp, A.M. Biofortification of Trace Elements in Food Crops for Human Health. Commun. Soil Sci. Plant Anal. 2012, 43, 556–570. [Google Scholar] [CrossRef]
- Peter, S.; Michel, M.; Virmantas, P.; Francois, R.; Beata, R.; Michael, S.; Wieslaw, S.; Renaldas, Z.; Evelin, L. Relaunch cropping on marginal soils by incorporating amendments and beneficial trace elements in an interdisciplinary approach. Sci. Total Environ. 2022, 803, 149844. [Google Scholar] [CrossRef]
- Julia, M.M.; Paola, L.M.; Susana, G.M.; Antonio, J.M.; Adalberto, B.M. Use of Iodine to Biofortify and Promote Growth and Stress Tolerance in Crops. Front. Plant Sci. 2016, 7, 1146. [Google Scholar] [CrossRef]
- Humphrey, O.S.; Young, S.D.; Bailey, E.H.; Crout, N.M.J.; Ander, E.L.; Hamilton, E.M.; Watts, M.J. Iodine uptake, storage and translocation mechanisms in spinach (Spinacia oleracea L.). Environ. Geochem. Health 2019, 41, 2145–2156. [Google Scholar] [CrossRef] [PubMed]
- Silvia, G.; Claudia, K.; Pierdomenico, P. Iodine biofortification of crops: Agronomic biofortification, metabolic engineering and iodine bioavailability. Curr. Opin. Biotechnol. 2017, 44, 16–26. [Google Scholar] [CrossRef]
- Sylwester, S.; Iwona, K.; Włodzimierz, S. Assessment of biofortification with iodine and selenium of lettuce cultivated in the NFT hydroponic system. Sci. Hortic. 2014, 166, 9–16. [Google Scholar] [CrossRef]
- Patrick, G.L.; Diemo, D.; Roman, C.; Helmut, M.; Joachim, W.H. Soil versus foliar iodine fertilization as a biofortification strategy for field-grown vegetables. Front. Plant Sci. 2015, 6, 450. [Google Scholar] [CrossRef]
- Englund, E.; Aldahan, A.; Hou, X.L.; Possnert, G.; Söderström, C. Iodine (129I and 127I) in aerosols from northern Europe. Nucl. Instrum. Methods Phys. Res. Sect. B Beam Interact. Mater. At. 2010, 268, 1139–1141. [Google Scholar] [CrossRef]
- Fuge, R.; Johnson, C.C. Iodine and human health, the role of environmental geochemistry and diet, a review. Appl. Geochem. 2015, 63, 282–302. [Google Scholar] [CrossRef]
- Nascimento, V.L.; Souza, B.C.O.Q.; Lopes, G.; Guilherme, L.R.G. On the Role of Iodine in Plants: A Commentary on Benefits of This Element. Front. Plant Sci. 2022, 13, 836835. [Google Scholar] [CrossRef]
- Bushra, H.; Sumiya, K.; An, P.; Zahid, H.; Muhammad, I. Relating iron, zinc, and iodine concentrations of crops to the selected soil properties under field conditions. Arab. J. Geosci. 2019, 12, 593. [Google Scholar] [CrossRef]



| Component | Concentration (mmol·L−1) | Component | Concentration (µmol·L−1) |
|---|---|---|---|
| KNO3 | 6.00 | H3BO3 | 10.00 |
| Ca(NO3)2 | 3.50 | MnSO4.H2O | 0.50 |
| KH2PO4 | 1.33 | ZnSO4.7H2O | 0.50 |
| MgSO4.7H2O | 0.50 | CuSO4.5H2O | 0.20 |
| NaCl | 0.48 | (NH4)6Mo7O24 | 0.01 |
Publisher’s Note: MDPI stays neutral with regard to jurisdictional claims in published maps and institutional affiliations. |
© 2022 by the authors. Licensee MDPI, Basel, Switzerland. This article is an open access article distributed under the terms and conditions of the Creative Commons Attribution (CC BY) license (https://creativecommons.org/licenses/by/4.0/).
Share and Cite
Hong, C.-L.; Lu, X.; Weng, H.-X.; Wang, W.-P.; Zhu, F.-X.; Yao, Y.-L. Study on Characteristics of 125I Absorption and Accumulation in Eggplants. Sustainability 2022, 14, 12389. https://doi.org/10.3390/su141912389
Hong C-L, Lu X, Weng H-X, Wang W-P, Zhu F-X, Yao Y-L. Study on Characteristics of 125I Absorption and Accumulation in Eggplants. Sustainability. 2022; 14(19):12389. https://doi.org/10.3390/su141912389
Chicago/Turabian StyleHong, Chun-Lai, Xin Lu, Huan-Xin Weng, Wei-Ping Wang, Feng-Xiang Zhu, and Yan-Lai Yao. 2022. "Study on Characteristics of 125I Absorption and Accumulation in Eggplants" Sustainability 14, no. 19: 12389. https://doi.org/10.3390/su141912389
APA StyleHong, C.-L., Lu, X., Weng, H.-X., Wang, W.-P., Zhu, F.-X., & Yao, Y.-L. (2022). Study on Characteristics of 125I Absorption and Accumulation in Eggplants. Sustainability, 14(19), 12389. https://doi.org/10.3390/su141912389

