Influence of Organic Amendments on Soil Carbon Sequestration Potential of Paddy Soils under Two Irrigation Regimes
Abstract
:1. Introduction
2. Materials and Methods
2.1. Site Details
2.2. Sample Collection and Preparation
2.3. Incubation Experimental Set Up
2.4. Physical Fractionation of Soil
2.5. Sample Analyses
2.5.1. General Characterization of Bulk Soil and Organic Amendment
2.5.2. Organic Carbon and Nitrogen Analysis
2.6. Carbon Sequestration Potential Calculation
2.7. Statistical Analysis
3. Results
3.1. General Characterization of Soil and Organic Matter Amendments
3.2. Organic Carbon and Nitrogen
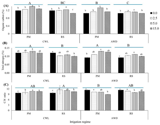
3.2.1. Bulk Soils
3.2.2. Physically Fractionated Soils
Mass, Organic Carbon and Total Nitrogen Distribution
Organic Carbon and Total Nitrogen Contents
3.3. Carbon Sequestration Potential of Soils
4. Discussion
4.1. Effect of the Type and Application Rate of Organic Amendments on Soil Organic Carbon
4.2. Impact of Irrigation Regime on Soil Organic Carbon Content
4.3. Labile vs. Stable Organic Matter: Potentiality in Terms of Soil Organic Carbon Sequestration
5. Conclusions
Supplementary Materials
Author Contributions
Funding
Institutional Review Board Statement
Informed Consent Statement
Data Availability Statement
Acknowledgments
Conflicts of Interest
References
- Eshel, G.; Fine, P.; Singer, M.J. Total soil carbon and water quality: An implication for carbon sequestration. Soil Sci. Soc. Am. J. 2007, 71, 397–405. [Google Scholar] [CrossRef]
- Kiem, R.; Kögel-Knabner, I. Refractory organic carbon in particle-size fractions of arable soils II: Organic carbon in relation to mineral surface area and iron oxides in fractions <6 μm. Org. Geochem. 2002, 33, 1699–1713. [Google Scholar] [CrossRef]
- Adesodun, J.K.; Odejimi, O.E. Carbon-nitrogen sequestration potentials and structural stability of a tropical Alfisol as influenced by pig-composted manure. Int. Agrophys. 2010, 24, 333–338. [Google Scholar]
- Lal, R.; Follett, R.F.; Kimble, J.M. Achieving soil carbon sequestration in the United States: A challenge to the policy makers. Soil Sci. 2003, 168, 827–845. [Google Scholar] [CrossRef]
- Xie, Z.; Zhu, J.; Liu, G.; Cadisch, G.; Hasegawa, T.; Chen, C.; Sun, H.; Tang, H.; Zeng, Q. Soil organic carbon stocks in China and changes from 1980s to 2000s. Glob. Chang. Biol. 2007, 13, 1989–2007. [Google Scholar] [CrossRef]
- Alam, K.; Biswas, W.; Bell, R.W. Life cycle assessment of global warming mitigation potential of novel and conventional rice production technologies in the Eastern—Gangetic plains. J. Clean Prod. 2016, 112, 3977–3987. [Google Scholar] [CrossRef]
- Luo, Z.; Wang, E.; Sun, O.J. Soil carbon change and its responses to agricultural practices in Australian agro-ecosystems: A review and synthesis. Geoderma 2010, 155, 211–223. [Google Scholar] [CrossRef]
- Chan, K.Y.; Heenan, D.P.; Oates, A. Soil carbon fractions and relationship to soil quality under different tillage and stubble management. Soil Tillage Res. 2002, 63, 133–139. [Google Scholar] [CrossRef]
- Du, Z.; Ren, T.; Hu, C. Tillage and residue removal effects on soil carbon and nitrogen storage in the North China Plain. Soil Sci. Soc. Am. J. 2010, 74, 196–202. [Google Scholar] [CrossRef]
- Hou, R.; Ouyang, Z.; Li, Y.; Tyler, D.D.; Li, F.; Wilson, G.V. Effects of tillage and residue management on soil organic carbon and total nitrogen in the North China Plain. Soil Sci. Soc. Am. J. 2012, 76, 230–240. [Google Scholar] [CrossRef]
- Maclean, J.L.; Dawe, D.C.; Hardy, B.; Hettel, G.P. Rice Almanac: Source Book for the Most Important Economic Activity on Earth, 3rd ed.; CABI Publishing: Wallingford, UK, 2002; p. 253. [Google Scholar] [CrossRef]
- Wu, J. Carbon accumulation in paddy ecosystems in subtropical China: Evidence from landscape studies. Eur. J. Soil Sci. 2011, 62, 29–34. [Google Scholar] [CrossRef]
- Ciais, P.; Sabine, C.; Bala, G.; Bopp, L.; Brovkin, V.; Canadell, J.; Chhabra, A.; DeFries, R.; Galloway, J.; Heimann, M.; et al. Carbon and Other Biogeochemical Cycles. In Climate Change 2013: The Physical Science Basis. Contribution of Working Group I to the Fifth Assessment Report of the Intergovernmental Panel on Climate Change; Cambridge University Press: Cambridge, UK; New York, NY, USA, 2013. [Google Scholar]
- Wassmann, R.; Papen, H.; Rennenberg, H. Methane emission from rice paddies and possible mitigation strategies. Chemosphere 1993, 26, 201–217. [Google Scholar] [CrossRef]
- Livsey, J.; Kätterer, T.; Vico, G.; Lyon, S.W.; Lindborg, R.; Scaini, A.; Da, C.T.; Manzoni, S. Do alternative irrigation strategies for rice cultivation decrease water footprints at the cost of long-term soil health? Environ. Res. Lett. 2019, 14, 074011. [Google Scholar] [CrossRef]
- Moyano, F.E.; Manzoni, S.; Chenu, C. Responses of soil heterotrophic respiration to moisture availability: An exploration of processes and models. Soil Biol. Biochem. 2013, 59, 72–85. [Google Scholar] [CrossRef]
- Bird, S.B.; Herrick, J.E.; Wander, M.M.; Wright, S.F. Spatial heterogeneity of aggregate stability and soil carbon in semi-arid rangeland. Environ. Pollut. 2002, 116, 445–455. [Google Scholar] [CrossRef]
- Balashov, E.; Kren, J.; Prochazkova, B. Influence of plant residue management on microbial properties and water-stable aggregates of two agricultural soils. Int. Agrophys. 2010, 24, 9–14. [Google Scholar]
- Ohu, J.O.; Mamman, E.; Mustapha, A.A. Impact of organic material incorporation with soil in relation to their shear strength and water properties. Int. Agrophys. 2009, 23, 155–162. [Google Scholar]
- Baldock, J.A. Composition and cycling of organic carbon in soil. In Nutrient Cycling in Terrestrial Ecosystems; Springer: Berlin/Heidelberg, Germany, 2007; pp. 1–35. [Google Scholar] [CrossRef]
- Kell, D.B. Breeding crop plants with deep roots: Their role in sustainable carbon, nutrient and water sequestration. Ann. Bot. 2011, 108, 407–418. [Google Scholar] [CrossRef] [PubMed]
- Bronick, C.J.; Lal, R. Manuring and rotation effects on soil organic carbon concentration for different aggregate size fractions on two soils in northeastern Ohio, USA. Soil Tillage Res. 2005, 81, 239–252. [Google Scholar] [CrossRef]
- Gross, A.; Glaser, B. Meta-analysis on how manure application changes soil organic carbon storage. Sci. Rep. 2021, 11, 5516. [Google Scholar] [CrossRef]
- Masmoudi, S.; Magdich, S.; Rigane, H.; Medhioub, K.; Rebai, A.; Ammar, E. Effects of compost and manure application rate on the soil physico-chemical layers properties and plant productivity. Waste Biomass Valori. 2020, 11, 1883–1894. [Google Scholar] [CrossRef]
- Wiesmeier, M.; Mayer, S.; Paul, C.; Helming, K.; Don, A.; Franko, U.; Steffens, M.; Kögel-Knabner, I. CO2 Certificates for Carbon Sequestration in Soils: Methods, Management Practices and Limitations; BonaRes Data Centre (Leibniz Centre for Agricultural Landscape Research (ZALF)): Rothamsted, UK, 2020. [Google Scholar] [CrossRef]
- Cambardella, C.A.; Elliott, E.T. Particulate soil organic-matter changes across a grassland cultivation sequence. Soil Sci. Soc. Am. J. 1992, 56, 777–783. [Google Scholar] [CrossRef]
- Jackson, M.L. Soil Chemical Analysis; Prentice Hall: Hoboken, NJ, USA, 1962; 498p. [Google Scholar]
- Page, A.L.; Miller, R.H.; Keeney, D.R. Methods of Soil Analysis (part 2). Chemical and Microbiological Properties. Am. Soc. Agron. Soil Sci. Soc. Am. 1982, 2, 643–698. [Google Scholar]
- Rowell, D.L. Soil Science: Methods and Applications; Prentice Hall: Harlow, UK, 1994. [Google Scholar]
- Bouyoucos, G.J. Hydrometer method improved for making particle size analyses of soils 1. Agron. J. 1962, 54, 464–465. [Google Scholar] [CrossRef]
- Nelson, D.W.; Sommers, L.E. Total carbon, organic carbon, and organic matter. In Methods of Soil Analysis Part 3—Chemical Methods 5.3; Soil Science Society of America, American Society of Agronomy: Madison, WI, USA, 1996; pp. 961–1010. [Google Scholar] [CrossRef]
- Piper, C.S. Soil and Plant Analysis; Adelaide Univ. Hassel Press: Melbourne, Australia, 1950; 368p. [Google Scholar]
- Walkley, A.; Black, I.A. An examination of the Degtjareff method for determining soil organic matter, and a proposed modification of the chromic acid titration method. Soil Sci. 1934, 37, 29–38. [Google Scholar] [CrossRef]
- Bremner, J.M. Total Nitrogen. In Methods of Soil Analysis: Part 2 Chemical and Microbiological Properties, 9.2; American Society of Agronomy: Madison, WI, USA, 1965; pp. 1149–1178. [Google Scholar]
- Mahmoodabadi, M.; Heydarpour, E. Sequestration of organic carbon influenced by the application of straw residue and farmyard manure in two different soils. Int. Agrophys. 2014, 28, 169–176. [Google Scholar] [CrossRef]
- Song, Z.; Yang, G.; Guo, Y.; Zhang, T. Comparison of two chemical pretreatments of rice straw for biogas production by anaerobic digestion. BioResources 2012, 7, 3223–3236. [Google Scholar]
- Fabrizio, A.; Tambone, F.; Genevini, P. Effect of compost application rate on carbon degradation and retention in soils. Waste Manag. 2009, 29, 174–179. [Google Scholar] [CrossRef] [PubMed]
- Nieto, O.M.; Castro, J.; Fernández, E.; Smith, P. Simulation of soil organic carbon stocks in a Mediterranean olive grove under different soil-management systems using the RothC model. Soil Use Manag. 2010, 26, 118–125. [Google Scholar] [CrossRef]
- Yeasmin, S.; Jahan, E.; Molla, M.; Islam, A.K.M.; Anwar, M.; Or Rashid, M.; Chungopast, S. Effect of land use on organic carbon storage potential of soils with contrasting native organic matter content. Int. J. Agron. 2020, 2020, 8042961. [Google Scholar] [CrossRef]
- Majumder, B.; Mandal, B.; Bandyopadhyay, P.K.; Gangopadhyay, A.; Mani, P.K.; Kundu, A.L.; Mazumdar, D. Organic amendments influence soil organic carbon pools and rice–wheat productivity. Soil Sci. Soc. Am. J. 2008, 72, 775–785. [Google Scholar] [CrossRef]
- Daramy, M.A.; Kawada, R.; Oba, S. What is the threshold carbonization temperature for sustainable preservation of the good nitrogen supply ability of chicken manure? Sustainability 2020, 12, 3306. [Google Scholar] [CrossRef]
- Merlin, N.; Nogueira, B.A.; Lima, V.A.D.; Santos, L.M.D. Application of fourier transform infrared spectroscopy, chemical and chemometrics analyses to the characterization of agro-industrial waste. Quím. Nova 2014, 37, 1584–1588. [Google Scholar] [CrossRef]
- Wu, L.; Wood, Y.; Jiang, P.; Li, L.; Pan, G.; Lu, J.; Chang, A.C.; Enloe, H.A. Carbon sequestration and dynamics of two irrigated agricultural soils in California. Soil Sci. Soc. Am. J. 2008, 72, 808–814. [Google Scholar] [CrossRef]
- Carney, K.M.; Matson, P.A. Plant communities, soil microorganisms, and soil carbon cycling: Does altering the world belowground matter to ecosystem functioning? Ecosystems 2005, 8, 928–940. [Google Scholar] [CrossRef]
- Freixo, A.A.; Machado, P.L.; Santos, H.P. Soil organic carbon and fractions of a Rhodic Ferralsol under the influence of tillage and crop rotation systems in southern Brazil. Soil Tillage Res. 2002, 64, 221–230. [Google Scholar] [CrossRef]
- Yang, C.; Yang, L.; Ouyang, Z. Organic carbon and its fractions in paddy soil as affected by different nutrient and water regimes. Geoderma 2005, 124, 133–142. [Google Scholar] [CrossRef]
- Ladha, J.K.; Reddy, C.K.; Padre, A.T.; van Kessel, C. Role of nitrogen fertilization in sustaining organic matter in cultivated soils. J. Environ. Qual. 2011, 40, 1756–1766. [Google Scholar] [CrossRef]
- Tan, X.; Shao, D.; Liu, H.; Yang, F.; Xiao, C.; Yang, H. Effects of alternate wetting and drying irrigation on percolation and nitrogen leaching in paddy fields. Paddy Water Environ. 2013, 11, 381–395. [Google Scholar] [CrossRef]
- Xiang, S.R.; Doyle, A.; Holden, P.A.; Schimel, J.P. Drying and rewetting effects on C and N mineralization and microbial activity in surface and subsurface California grassland soils. Soil Biol. Biochem. 2008, 40, 2281–2289. [Google Scholar] [CrossRef]
- Witt, C.; Cassman, K.G.; Olk, D.C.; Biker, U.; Liboon, S.P.; Samson, M.I.; Ottow, J.C.G. Crop rotation and residue management effects on carbon sequestration, nitrogen cycling and productivity of irrigated rice systems. Plant Soil 2000, 225, 263–278. [Google Scholar] [CrossRef]
- Pan, G.; Xu, X.; Smith, P.; Pan, W.; Lal, R. An increase in topsoil SOC stock of China’s croplands between 1985 and 2006 revealed by soil monitoring. Agric. Ecosyst. Environ. 2010, 136, 133–138. [Google Scholar] [CrossRef]
- Zhou, P.; Song, G.; Pan, G.; Li, L.; Zhang, X. Role of chemical protection by binding to oxyhydrates in SOC sequestration in three typical paddy soils under long-term agro-ecosystem experiments from South China. Geoderma 2009, 153, 52–60. [Google Scholar] [CrossRef]
- Huang, S.; Rui, W.; Peng, X.; Huang, Q.; Zhang, W. Organic carbon fractions affected by long-term fertilization in a subtropical paddy soil. Nutr. Cycl. Agro-Ecosyst. 2010, 86, 153–160. [Google Scholar] [CrossRef]
- Spielvogel, S.; Prietzel, J.; Kogel-Knabner, I. Soil organic matter stabilization in acidic forest soils is preferential and soil type-specific. Eur. J. Soil Sci. 2008, 59, 674–692. [Google Scholar] [CrossRef]




| pH | EC (dS m−1) | OC | Total N | C:N ratio | Particle Sizes (%) | Texture | ||
|---|---|---|---|---|---|---|---|---|
| (1:5 H2O) | (%) | Sand | Silt | Clay | ||||
| 7.3 ± 0.01 | 0.0475 ± 0.00 | 0.831 ± 0.00 | 0.078 ± 0.00 | 10.7 ± 0.03 | 37 ± 0.50 | 55 ± 0.50 | 9 ± 0.00 | Silty loam |
| Organic Amendment Type | pH | EC (dS m−1) | OC | Total N | C: N Ratio |
|---|---|---|---|---|---|
| (1:5 H2O) | (%) | ||||
| Poultry manure | 6.6 ± 0.06 a | 2.19 ± 0.07 a | 43.52 ± 0.09 b | 3.52 ± 0.01 a | 12.4 ± 0.05 b |
| Rice straw | 5.8 ± 0.04 b | 0.251 ± 0.00 b | 49.77 ± 0.35 a | 0.84 ± 0.0 b | 59.4 ± 0.24 a |
| Irrigation Regime | Organic Amendments Type and Application Rate (g kg−1 Soil) | Mass | OC | N | Recovery (%) | |||
|---|---|---|---|---|---|---|---|---|
| % of the Initial | ||||||||
| <53 µm | >53 µm | <53 µm | >53 µm | <53 µm | >53 µm | |||
| CWL | Control | 38 ± 2.52 | 40 ± 2.17 | 52 ± 3.11 | 39 ± 1.09 | 43 ± 3.47 | 40 ± 0.90 | 78 ± 0.49 |
| PM2.5 | 32 ± 0.24 | 58 ± 0.82 | 50 ± 1.15 | 50 ± 0.01 | 47 ± 2.63 | 72 ± 1.91 | 90 ± 0.58 | |
| PM5.0 | 37 ± 0.73 | 62 ± 0.59 | 33 ± 1.26 | 63 ± 0.96 | 41 ± 1.86 | 54 ± 0.56 | 99 ± 1.32 | |
| PM15.0 | 26 ± 0.59 | 69 ± 0.59 | 29 ± 1.07 | 62 ± 0.38 | 18 ± 2.08 | 46 ± 0.81 | 96 ± 0.00 | |
| RS2.5 | 31 ± 0.26 | 52 ± 0.47 | 46 ± 0.11 | 53 ± 0.29 | 44 ± 2.31 | 55 ± 1.36 | 83 ± 0.20 | |
| RS5.0 | 22 ± 0.37 | 62 ± 0.24 | 30 ± 0.25 | 70 ± 0.95 | 29 ± 1.27 | 52 ± 0.06 | 84 ± 0.13 | |
| RS15.0 | 21 ± 0.35 | 74 ± 1.20 | 24 ± 0.13 | 73 ± 0.53 | 26 ± 1.56 | 52 ± 1.23 | 95 ± 0.85 | |
| AWD | Control | 41 ± 0.77 | 54 ± 1.52 | 36 ± 0.27 | 45 ± 0.41 | 30 ± 0.58 | 41 ± 0.67 | 96 ± 1.75 |
| PM2.5 | 41 ± 0.06 | 58 ± 0.65 | 45 ± 0.32 | 51 ± 0.53 | 42 ± 0.69 | 49 ± 1.29 | 99 ± 0.68 | |
| PM5.0 | 39 ± 0.08 | 55 ± 0.05 | 34 ± 0.68 | 52 ± 0.85 | 35 ± 1.23 | 51 ± 0.00 | 95 ± 0.14 | |
| PM15.0 | 38 ± 0.20 | 48 ± 0.15 | 33 ± 0.02 | 51 ± 0.11 | 22 ± 0.18 | 50 ± 0.22 | 86 ± 0.05 | |
| RS2.5 | 36 ± 0.16 | 63 ± 0.08 | 36 ± 0.19 | 59 ± 0.17 | 37 ± 0.34 | 61 ± 1.01 | 99 ± 0.25 | |
| RS5.0 | 36 ± 0.70 | 62 ± 0.47 | 33 ± 0.13 | 60 ± 0.35 | 33 ± 1.28 | 68 ± 0.36 | 98 ± 0.23 | |
| RS15.0 | 35 ± 0.79 | 65 ± 1.14 | 18 ± 1.61 | 66 ± 0.38 | 20 ± 0.15 | 78 ± 1.80 | 99 ± 0.35 | |
Publisher’s Note: MDPI stays neutral with regard to jurisdictional claims in published maps and institutional affiliations. |
© 2022 by the authors. Licensee MDPI, Basel, Switzerland. This article is an open access article distributed under the terms and conditions of the Creative Commons Attribution (CC BY) license (https://creativecommons.org/licenses/by/4.0/).
Share and Cite
Yeasmin, S.; Assaduzzaman; Kabir, M.S.; Anwar, M.P.; Islam, A.K.M.M.; Hoque, T.S. Influence of Organic Amendments on Soil Carbon Sequestration Potential of Paddy Soils under Two Irrigation Regimes. Sustainability 2022, 14, 12369. https://doi.org/10.3390/su141912369
Yeasmin S, Assaduzzaman, Kabir MS, Anwar MP, Islam AKMM, Hoque TS. Influence of Organic Amendments on Soil Carbon Sequestration Potential of Paddy Soils under Two Irrigation Regimes. Sustainability. 2022; 14(19):12369. https://doi.org/10.3390/su141912369
Chicago/Turabian StyleYeasmin, Sabina, Assaduzzaman, Md. Shirajul Kabir, Md. Parvez Anwar, A. K. M. Mominul Islam, and Tahsina Sharmin Hoque. 2022. "Influence of Organic Amendments on Soil Carbon Sequestration Potential of Paddy Soils under Two Irrigation Regimes" Sustainability 14, no. 19: 12369. https://doi.org/10.3390/su141912369
APA StyleYeasmin, S., Assaduzzaman, Kabir, M. S., Anwar, M. P., Islam, A. K. M. M., & Hoque, T. S. (2022). Influence of Organic Amendments on Soil Carbon Sequestration Potential of Paddy Soils under Two Irrigation Regimes. Sustainability, 14(19), 12369. https://doi.org/10.3390/su141912369

