Research on Sandstone Damage Characteristics and Acoustic Emission Precursor Features under Cyclic Loading and Unloading Paths
Abstract
1. Introduction
| Number | Year | Authors | Works |
|---|---|---|---|
| [14] | 2022 | Richards et al. | Establish a coupled elastic constitutive model to predict the mechanical unloading response of high porosity sandstones |
| [24] | 2020 | Makhnenko et al. | The clustering of AE events and the onset of nonuniform deformation were related to predictions of the onset of local deformation |
| [26] | 2021 | Panteleev et al. | Developed an isotropic nonlinear damage rheological model to describe the nonlinear stress—strain behavior and longitudinal wave velocity |
| … | |||
2. Sandstone AE Response Experiment with Cyclic Loading and Unloading
2.1. Experimental Sample Preparation
2.2. Instruments for Experimentation
2.3. Experimental Procedure
- (1)
- Glue the Vaseline-coated AE probe to the sample surface, then examine the AE signal using the lead breaking method to remove noise interference, and make sure the AE test system to be normal.
- (2)
- Mount the sandstone samples on the press, put the insulating gasket between the spacemen and the press, and keep the contact well by using the adjustable base.
- (3)
- Apply the loading and unloading method, that is, loading at the speed of 0.5 kN/s and unloading at the same speed, until the sandstone breaks.
- (4)
- Repeat the above process until all the samples are tested. Clean up the laboratory. Collect and analyse the relevant data.
3. Experimental Results and Discussion
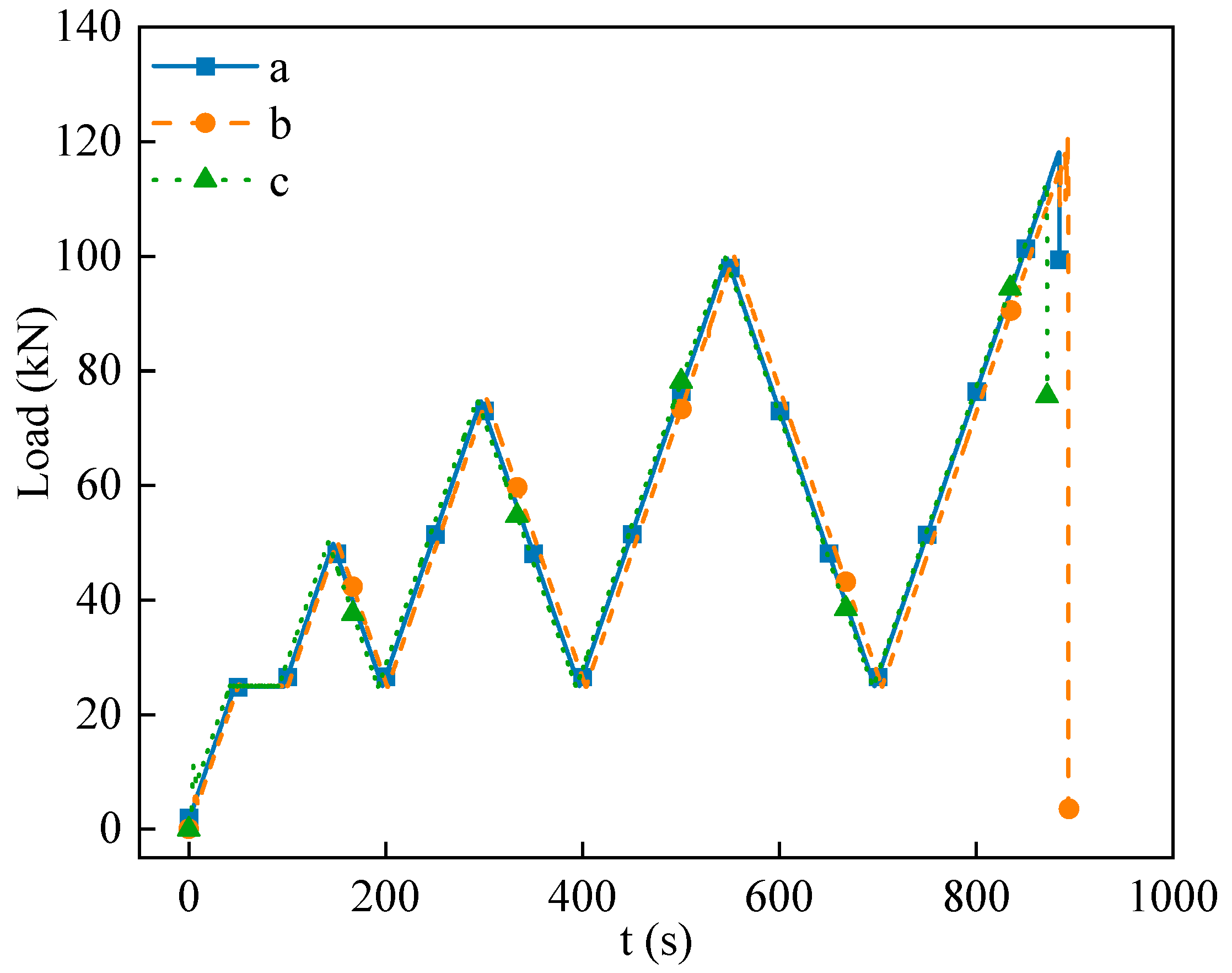
3.1. Mechanical Characteristics
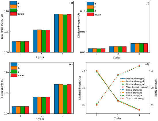
3.2. Characteristics of Damage and Instability Precursors
3.3. Distribution of the Failure Instability Precursor Features in the Frequency Domain of AE
4. Conclusions
Author Contributions
Funding
Institutional Review Board Statement
Informed Consent Statement
Data Availability Statement
Conflicts of Interest
References
- Kruczek, P.; Polak, M.; Wy\lomańska, A.; Kawalec, W.; Zimroz, R. Application of Compound Poisson Process for Modelling of Ore Flow in a Belt Conveyor System with Cyclic Loading. Int. J. Min. Reclam. Environ. 2018, 32, 376–391. [Google Scholar] [CrossRef]
- Feng, X.; Ding, Z.; Ju, Y.; Zhang, Q.; Ali, M. “Double Peak” of Dynamic Strengths and Acoustic Emission Responses of Coal Masses Under Dynamic Loading. Nat. Resour. Res. 2022, 31, 1705–1720. [Google Scholar] [CrossRef]
- Wang, X.; Wang, E.; Liu, X.; Zhou, X. Failure Mechanism of Fractured Rock and Associated Acoustic Behaviors under Different Loading Rates. Eng. Fract. Mech. 2021, 247, 107674. [Google Scholar] [CrossRef]
- Fan, L.; Liu, S. Evaluation of Permeability Damage for Stressed Coal with Cyclic Loading: An Experimental Study. Int. J. Coal Geol. 2019, 216, 103338. [Google Scholar] [CrossRef]
- Li, T.; Pei, X.; Wang, D.; Huang, R.; Tang, H. Nonlinear Behavior and Damage Model for Fractured Rock under Cyclic Loading Based on Energy Dissipation Principle. Eng. Fract. Mech. 2019, 206, 330–341. [Google Scholar] [CrossRef]
- Li, X.; Peng, J.; Xie, Y.; Li, Q.; Zhou, T.; Wang, J.; Zheng, W. Influence of High-Temperature Treatment on Strength and Failure Behaviors of a Quartz-Rich Sandstone under True Triaxial Condition. Lithosphere 2022, 2022, 3086647. [Google Scholar] [CrossRef]
- Feng, X.; Ding, Z.; Hu, Q.; Zhao, X.; Ali, M.; Banquando, J.T. Orthogonal Numerical Analysis of Deformation and Failure Characteristics of Deep Roadway in Coal Mines: A Case Study. Minerals 2022, 12, 185. [Google Scholar] [CrossRef]
- Wang, X.; Asem, P.; Hu, C.; Labuz, J.F. Microcracking in Tensile Fracture of a Brittle Rock. Eng. Fract. Mech. 2021, 251, 107789. [Google Scholar] [CrossRef]
- Peng, K.; Zhou, J.; Zou, Q.; Zhang, J.; Wu, F. Effects of Stress Lower Limit during Cyclic Loading and Unloading on Deformation Characteristics of Sandstones. Constr. Build. Mater. 2019, 217, 202–215. [Google Scholar] [CrossRef]
- Cerfontaine, B.; Collin, F. Cyclic and Fatigue Behaviour of Rock Materials: Review, Interpretation and Research Perspectives. Rock Mech. Rock Eng. 2018, 51, 391–414. [Google Scholar] [CrossRef]
- Ma, D.; Wang, J.; Cai, X.; Ma, X.; Zhang, J.; Zhou, Z.; Tao, M. Effects of Height/Diameter Ratio on Failure and Damage Properties of Granite under Coupled Bending and Splitting Deformation. Eng. Fract. Mech. 2019, 220, 106640. [Google Scholar] [CrossRef]
- Liu, Y.; Dai, F. A Damage Constitutive Model for Intermittent Jointed Rocks under Cyclic Uniaxial Compression. Int. J. Rock Mech. Min. Sci. 2018, 103, 289–301. [Google Scholar] [CrossRef]
- Gautam, P.K.; Verma, A.K.; Jha, M.K.; Sharma, P.; Singh, T.N. Effect of High Temperature on Physical and Mechanical Properties of Jalore Granite. J. Appl. Geophys. 2018, 159, 460–474. [Google Scholar] [CrossRef]
- Richards, M.C.; Issen, K.A.; Ingraham, M.D. A Coupled Elastic Constitutive Model for High Porosity Sandstone. Int. J. Rock Mech. Min. Sci. 2022, 150, 104989. [Google Scholar] [CrossRef]
- Hagengruber, T.; Taha, M.M.R.; Rougier, E.; Knight, E.E.; Stormont, J.C. Evolution of Permeability in Sandstone During Confined Brazilian Testing. Rock Mech. Rock Eng. 2022, 55, 2651–2664. [Google Scholar] [CrossRef]
- Taheri, A.; Yfantidis, N.; Olivares, C.L.; Connelly, B.J.; Bastian, T.J. Experimental Study on Degradation of Mechanical Properties of Sandstone under Different Cyclic Loadings. Geotech. Test. J. 2016, 39, 673–687. [Google Scholar] [CrossRef]
- Saeedifar, M.; Zarouchas, D. Damage Characterization of Laminated Composites Using Acoustic Emission: A Review. Compos. Part B Eng. 2020, 195, 108039. [Google Scholar] [CrossRef]
- Muir, C.; Swaminathan, B.; Almansour, A.S.; Sevener, K.; Smith, C.; Presby, M.; Kiser, J.D.; Pollock, T.M.; Daly, S. Damage Mechanism Identification in Composites via Machine Learning and Acoustic Emission. NPJ Comput. Mater. 2021, 7, 95. [Google Scholar] [CrossRef]
- Du, K.; Li, X.; Tao, M.; Wang, S. Experimental Study on Acoustic Emission (AE) Characteristics and Crack Classification during Rock Fracture in Several Basic Lab Tests. Int. J. Rock Mech. Min. Sci. 2020, 133, 104411. [Google Scholar] [CrossRef]
- Triantis, D.; Kourkoulis, S. Fracture Precursor Phenomena in Marble Specimens under Uniaxial Compression by Means of Acoustic Emission Data. Frat. Integrità Strutt. 2019, 13, 537–547. [Google Scholar] [CrossRef]
- Triantis, D. Acoustic Emission Monitoring of Marble Specimens under Uniaxial Compression. Precursor Phenomena in the near-Failure Phase. Procedia Struct. Integr. 2018, 10, 11–17. [Google Scholar] [CrossRef]
- Jianjun, Z.; Qi, F.A.N.; Pengfei, L.I.; Sushen, L.I.; Guo, W.; Mingli, X.I.E. Acoustic Emission b Value Characteristics and Failure Precursor of the Dacite under Different Stress Paths. J. Eng. Geol. 2019, 27, 487–496. [Google Scholar]
- Dexing, L.; Enyuan, W.; Xiangguo, K.; Haishan, J.; Dongming, W.; Muhammad, A. Damage Precursor of Construction Rocks under Uniaxial Cyclic Loading Tests Analyzed by Acoustic Emission. Constr. Build. Mater. 2019, 206, 169–178. [Google Scholar] [CrossRef]
- Makhnenko, R.Y.; Ge, C.; Labuz, J.F. Localization of Deformation in Fluid-Saturated Sandstone. Int. J. Rock Mech. Min. Sci. 2020, 134, 104455. [Google Scholar] [CrossRef]
- Charalampidou, E.-M.; Stanchits, S.; Dresen, G. Compaction Bands in a Porous Sandstone Sample with Pre-Induced Shear Bands. In Proceedings of the Bifurcation and Degradation of Geomaterials with Engineering Applications, Limassol, Cyprus, 21–25 May 2017; Papamichos, E., Papanastasiou, P., Pasternak, E., Dyskin, A., Eds.; Springer International Publishing AG: Cham, Switzerland, 2017; pp. 391–398. [Google Scholar]
- Panteleev, I.; Lyakhovsky, V.; Browning, J.; Meredith, P.G.; Healy, D.; Mitchell, T.M. Non-Linear Anisotropic Damage Rheology Model: Theory and Experimental Verification. Eur. J. Mech.-Solids 2021, 85, 104085. [Google Scholar] [CrossRef]
- Xi, Y.; Wang, H.; Li, J.; Dong, W.; Li, H.; Guo, B. Experimental Comparison of Mechanical Properties and Fractal Characteristics of Geothermal Reservoir Rocks after Different Cooling Treatments. Energy Rep. 2022, 8, 5158–5176. [Google Scholar] [CrossRef]
- Ulusay, R. (Ed.) The ISRM Suggested Methods for Rock Characterization, Testing and Monitoring: 2007–2014; Springer International Publishing: Cham, Switzerland, 2015; ISBN 978-3-319-07712-3. [Google Scholar]
- Ying, P.; Zhu, Z.; Ren, L.; Deng, S.; Niu, C.; Wan, D.; Wang, F. Deterioration of Dynamic Fracture Characteristics, Tensile Strength and Elastic Modulus of Tight Sandstone under Dry-Wet Cycles. Theor. Appl. Fract. Mech. 2020, 109, 102698. [Google Scholar] [CrossRef]
- Huang, S.; Wang, J.; Qiu, Z.; Kang, K. Effects of Cyclic Wetting-Drying Conditions on Elastic Modulus and Compressive Strength of Sandstone and Mudstone. Processes 2018, 6, 234. [Google Scholar] [CrossRef]
- Baeza, J.R.; Compán, V.; Castillo, G.; Cámara, M.; Pachón, P. Determining Static Elastic Modulus of Weak Sandstone in Andalusian Historical Constructions from Non-Destructive Tests: San Cristóbal’s Stone. J. Build. Eng. 2022, 57, 104864. [Google Scholar] [CrossRef]
- Wasantha, P.L.P.; Ranjit, P.G.; Permata, G.; Bing, D. Damage Evolution and Deformation Behaviour of Dry and Saturated Sandstones: Insights Gleaned from Optical Measurements. Measurement 2018, 130, 8–17. [Google Scholar] [CrossRef]
- Okubo, C.H.; Schultz, R.A. Evolution of Damage Zone Geometry and Intensity in Porous Sandstone: Insight Gained from Strain Energy Density. J. Geol. Soc. 2005, 162, 939–949. [Google Scholar] [CrossRef]
- Mubarak, H.; Saji, R.P.; Sousa, R.; Sassi, M.; Abu Al-Rub, R.K. Quantification of Plasticity and Damage in Berea Sandstone through Monotonic and Cyclic Triaxial Loading under High-Confinement Pressures. J. Mater. Civ. Eng. 2022, 34, 04022116. [Google Scholar] [CrossRef]
- Gautam, P.K.; Jha, M.K.; Verma, A.K.; Singh, T.N. Evolution of Absorption Energy per Unit Thickness of Damaged Sandstone. J. Therm. Anal. Calorim. 2019, 136, 2305–2318. [Google Scholar] [CrossRef]
- Yoon, D.J.; Jung, J.C.; Park, P.; Lee, S.S. AE Characteristics for Monitoring Fatigue Crack in Steel Bridge Members. In Nondestructive Evaluation of Highways, Utilities, and Pipelines IV; Aktan, E.M., Gosselin, S.R., Eds.; SPIE-Int Soc Optical Engineering: Bellingham, WA, USA, 2000; Volume 3995, pp. 153–162. [Google Scholar]
- Ukpai, J.I.; Barker, R.; Hu, X.; Neville, A. Determination of Particle Impacts and Impact Energy in the Erosion of X65 Carbon Steel Using Acoustic Emission Technique. Tribol. Int. 2013, 65, 161–170. [Google Scholar] [CrossRef]
- Steadman, R.; Herrmann, C.; Livne, A. ChromAIX2: A Large Area, High Count-Rate Energy-Resolving Photon Counting ASIC for a Spectral CT Prototype. Nucl. Instrum. Methods Phys. Res. Sect.-Accel. Spectromet. Detect. Assoc. Equip. 2017, 862, 18–24. [Google Scholar] [CrossRef]
- Sharma, S.; Kapil, J.C.; Shahi, J.S.; Arora, R. Crack Growth under Three-Point Beam Bending and Fracture Energy Estimation for Snow in Relation to Acoustic Emission Responses. Theor. Appl. Fract. Mech. 2020, 109, 102683. [Google Scholar] [CrossRef]
- Kuutti, J.; Sepponen, R.E.; Saarikko, P. Escalator Power Consumption Compared to Pedestrian Counting Data. In Proceedings of the 2013 International Conference on Applied Electronics, Pilsen, Czech Republic, 10–12 September 2013; IEEE: New York, NY, USA, 2013; pp. 169–172. [Google Scholar]
- Hauert, A.; Rossoll, A.; Mortensen, A. Ductile-to-Brittle Transition in Tensile Failure of Particle-Reinforced Metals. J. Mech. Phys. Solids 2009, 57, 473–499. [Google Scholar] [CrossRef]
- Bazant, Z.P. Design of Quasibrittle Materials and Structures to Optimize Strength and Scaling at Probability Tail: An Apercu. Proc. R. Soc.-Math. Phys. Eng. Sci. 2019, 475, 20180617. [Google Scholar] [CrossRef]
- Kachanov, M.; Mishakin, V.; Pronina, Y. On Low Cycle Fatigue of Austenitic Steel. Part II: Extraction of Information on Microcrack Density from a Combination of the Acoustic and Eddy Current Data. Int. J. Eng. Sci. 2021, 169, 103569. [Google Scholar] [CrossRef]
- Kachanov, V.A.; Danilov, Y.B.; Shepil’, T.E.; Gvozdikova, E.K.; Kabashnyi, A.I.; Kozin, V.Y.; Ivanuna, S.M. Corrosion of Structure Materials and Their Weld Joints in the Environments of Monoethanolamine Gas Cleaning in Ammonia Production. Prot. Met. Phys. Chem. Surf. 2009, 45, 777–781. [Google Scholar] [CrossRef]
- Zhou, X.-P.; Zhang, J.-Z. Damage Progression and Acoustic Emission in Brittle Failure of Granite and Sandstone. Int. J. Rock Mech. Min. Sci. 2021, 143, 104789. [Google Scholar] [CrossRef]
- Li, H.; Qiao, Y.; Shen, R.; He, M.; Cheng, T.; Xiao, Y.; Tang, J. Effect of Water on Mechanical Behavior and Acoustic Emission Response of Sandstone during Loading Process: Phenomenon and Mechanism. Eng. Geol. 2021, 294, 106386. [Google Scholar] [CrossRef]
- Huang, Z.; Gu, Q.; Wu, Y.; Wu, Y.; Li, S.; Zhao, K.; Zhang, R. Effects of Confining Pressure on Acoustic Emission and Failure Characteristics of Sandstone. Int. J. Min. Sci. Technol. 2021, 31, 963–974. [Google Scholar] [CrossRef]
- Park, S.-J.; Lee, H.-S.; Jeong, H. Signal Analysis of CMP Process Based on AE Monitoring System. Int. J. Precis. Eng. Manuf.-Green Technol. 2015, 2, 15–19. [Google Scholar] [CrossRef]
- Świt, G.; Krampikowska, A.; Pala, T.; Lipiec, S.; Dzioba, I. Using AE Signals to Investigate the Fracture Process in an Al-Ti Laminate. Materials 2020, 13, 2909. [Google Scholar] [CrossRef] [PubMed]
- Voznesenskii, A.S.; Ertuganova, E.A.; Vil’yamov, S.V.; Tavostin, M.N. Studying the Mechanism of Acoustic Emission in Failure of Rock Salt by Dissolving. J. Min. Sci. 2006, 42, 35–42. [Google Scholar] [CrossRef]
- Unander, T.E. Analysis of Acoustic Emission Waveforms in Rock. Res. Nondestruct. Eval. 2004, 15, 119–148. [Google Scholar] [CrossRef]
- Ebrahimian, Z.; Ahmadi, M.; Sadri, S.; Li, B.Q.; Moradian, O. Wavelet Analysis of Acoustic Emissions Associated with Cracking in Rocks. Eng. Fract. Mech. 2019, 217, 106516. [Google Scholar] [CrossRef]
- Soleimani-Dashtaki, S.; Moayedi, F.; Ventura, C.E. Effect of Foundation Rocking on the Dynamic Characteristics of a 30-Story Concrete Shear Wall Building. In Dynamics of Civil Structures; Caicedo, J., Pakzad, S., Eds.; Springer: New York, NY, USA, 2015; Volume 2, pp. 11–30. [Google Scholar]
- Ito, F.; Tsukazawa, S.; Komazaki, M.; Ujihira, M.; Kawamura, Y.; Tokunaga, T. Evaluation of the Weight of Fallen Object Using the Wave Forms Measured by Cable Sensor and Mobile Multimedia Network System. In Proceedings of the Mine Planning and Equipment Selection 2001, New Delhi, India, 19–21 November 2001; Singhal, R.K., Singh, B.P., Eds.; Science Publishers Inc.: Enfield, UK, 2001; pp. 755–760. [Google Scholar]
- Flegner, P.; Kacur, J.; Durdan, M.; Lesso, I.; Laciak, M. Measurement and Processing of Vibro-Acoustic Signal from the Process of Rock Disintegration by Rotary Drilling. Measurement 2014, 56, 178–193. [Google Scholar] [CrossRef]









| Sample | Peak Stress (MPa) | Peak Strain | Breaking Load (kN) |
|---|---|---|---|
| a | 46.92 | 0.0196 | 117.31 |
| b | 47.14 | 0.0202 | 117.85 |
| c | 45.26 | 0.0187 | 113.14 |
| Mean | 46.44 | 0.0195 | 116.10 |
Publisher’s Note: MDPI stays neutral with regard to jurisdictional claims in published maps and institutional affiliations. |
© 2022 by the authors. Licensee MDPI, Basel, Switzerland. This article is an open access article distributed under the terms and conditions of the Creative Commons Attribution (CC BY) license (https://creativecommons.org/licenses/by/4.0/).
Share and Cite
Wang, Y.; Deng, C.; Ding, Z.; He, F.; Feng, X.; Wang, D.; Hu, Q.; Zhao, X. Research on Sandstone Damage Characteristics and Acoustic Emission Precursor Features under Cyclic Loading and Unloading Paths. Sustainability 2022, 14, 12024. https://doi.org/10.3390/su141912024
Wang Y, Deng C, Ding Z, He F, Feng X, Wang D, Hu Q, Zhao X. Research on Sandstone Damage Characteristics and Acoustic Emission Precursor Features under Cyclic Loading and Unloading Paths. Sustainability. 2022; 14(19):12024. https://doi.org/10.3390/su141912024
Chicago/Turabian StyleWang, Yong, Chuan Deng, Zeng Ding, Feng He, Xiaojun Feng, Dongming Wang, Qinjing Hu, and Xue Zhao. 2022. "Research on Sandstone Damage Characteristics and Acoustic Emission Precursor Features under Cyclic Loading and Unloading Paths" Sustainability 14, no. 19: 12024. https://doi.org/10.3390/su141912024
APA StyleWang, Y., Deng, C., Ding, Z., He, F., Feng, X., Wang, D., Hu, Q., & Zhao, X. (2022). Research on Sandstone Damage Characteristics and Acoustic Emission Precursor Features under Cyclic Loading and Unloading Paths. Sustainability, 14(19), 12024. https://doi.org/10.3390/su141912024

