The Influence of Roadmap for China Phasing Out Incandescent Lamps on the Promotion of Energy-Efficient Lighting Products
Abstract
:1. Introduction
2. Literature Review
3. Policy Background and Research Hypothesis
3.1. Policy Background
3.1.1. Roadmap for China Phasing Out Incandescent Lamps
3.1.2. Energy-Efficient Lighting Products
3.2. Hypothesis Formulation
4. Method
4.1. Model Settings
4.2. Variable Definitions
4.3. Data Sources and Descriptive Statistics
5. Empirical Results
5.1. Baseline Regression Results
5.2. Robustness Test
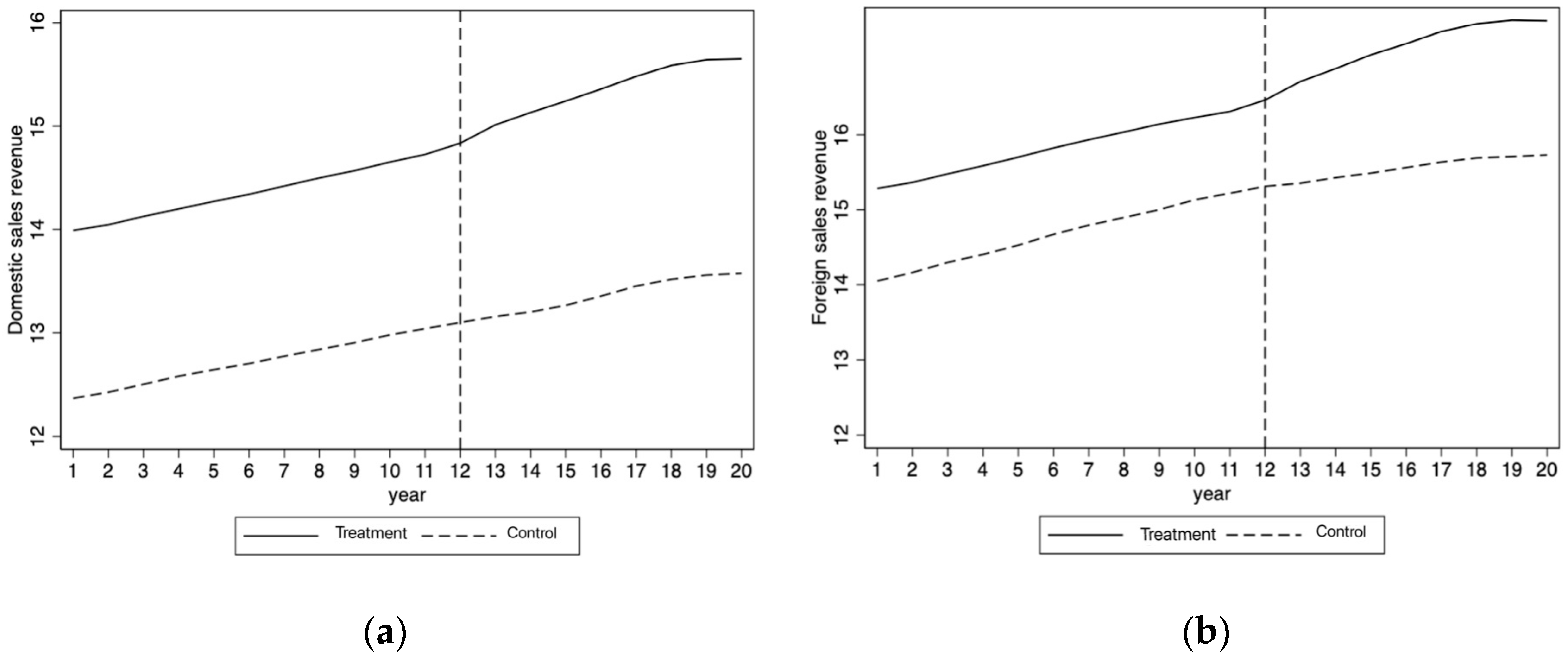
5.2.1. Test of the Parallel Trend
5.2.2. Placebo Test
5.2.3. Other Robustness Tests
6. Conclusions and Discussions
Author Contributions
Funding
Institutional Review Board Statement
Informed Consent Statement
Data Availability Statement
Conflicts of Interest
References
- IPCC. Global Warming of 1.5 °C. Available online: https://www.ipcc.ch/sr15/ (accessed on 8 July 2021).
- Duan, H.; Zhou, S.; Jiang, K.; Bertram, C.; Harmsen, M.; Kriegler, E.; van Vuuren, D.P.; Wang, S.; Shinichiro, F.; Massimo, T.; et al. Assessing China’s efforts to pursue the 1.5 °C warming limit. Science 2021, 372, 378–385. [Google Scholar] [CrossRef] [PubMed]
- National Development and Reform Commission. Announcement of the National Development and Reform Commission, Ministry of Commerce of the People’s Republic of China, General Administration of Customs of the People’s Republic of China, State Administration for Industry and Commerce of the People’s Republic of China, General Administration of Quality Supervision, Inspection and Quarantine of the People’s Republic of China (No.28,2011). Available online: https://www.ndrc.gov.cn (accessed on 23 May 2021).
- Li, J.; Gao, Y.; Li, X.F. Research on China’s low-carbon policy analysis framework from the perspective of policy instruments. Sci. Technol. Prog. Policy 2013, 30, 112–117. [Google Scholar]
- Mi, L.Y.; Yang, J. Evaluation of policy efficacy and effect of resident energy conservation based on policy quantification in China from 1996 to 2015. Resour. Sci. 2017, 39, 651–663. [Google Scholar]
- Kelly, G. Sustainability at home: Policy measures for energy-efficient appliances. Renew. Sustain. Energy Rev. 2012, 16, 6851–6860. [Google Scholar] [CrossRef]
- Zeng, L.; Yu, Y.; Li, J. China’s promoting energy-efficient products for the benefit of the people program in 2012: Results and analysis of the consumer impact study. Appl. Energy 2014, 133, 22–32. [Google Scholar] [CrossRef]
- Nie, H.; Zhou, T.; Lu, H.; Huang, S. Evaluation of the efficiency of Chinese energy-saving household appliance subsidy policy: An economic benefit perspective. Energy Policy 2021, 149, 11205. [Google Scholar] [CrossRef]
- Akao, K.I. An economic analysis of the “Home Appliance Eco-Point System” in Japan. Environ. Econ. Policy Stud. 2016, 19, 483–501. [Google Scholar] [CrossRef]
- Galarraga, I.; Abadie, L.M.; Kallbekken, S. Designing incentive schemes for promoting energy-efficient appliances: A new methodology and a case study for Spain. Energy Policy 2016, 90, 24–36. [Google Scholar] [CrossRef]
- Galarraga, I.; Abadie, L.M.; Ansuategi, A. Efficiency, effectiveness and implementation feasibility of energy efficiency rebates: The ‘Renove’ plan in Spain. Energy Econ. 2013, 40, S98–S107. [Google Scholar] [CrossRef]
- Wei, H.Z.; Lu, Y.F.; Zheng, F.H. Third party evaluation of Guangdong LED and new energy vehicle development special fund performance. South China J. Econ. 2015, 7, 122–130. [Google Scholar]
- Zhang, X.H.; Chang, Q.; Zhang, Y.J. The impact of government subsidies and tax incentives on enterprise performance: A comparison of LED industry in Mainland China and Taiwan. Res. Financ. Econ. Issues 2016, 8, 123–128. [Google Scholar]
- Wu, M.S.; Huang, H.H.; Huang, B.J.; Tang, C.W.; Cheng, C.W. Economic feasibility of solar-powered led roadway lighting. Renew. Energy 2009, 34, 1934–1938. [Google Scholar] [CrossRef]
- Hadi, S.A.; Kaabi, M.; Ali, M.; Arafat, H.A. Comparative life cycle assessment (LCA) of streetlight technologies for minor roads in United Arab Emirates. Energy Sustain. 2013, 17, 438–450. [Google Scholar] [CrossRef]
- Thkm, L.; Halonen, L. Life cycle assessment of road lighting luminaires—Comparison of light-emitting diode and high-pressure sodium technologies. J. Clean. Prod. 2015, 93, 234–242. [Google Scholar]
- Islam, G.; Darbayeva, E.; Rymbayev, Z.; Dikhanbayeva, D.; Rojas-Solórzano, L. Switching-Off conventional lighting system and turning-on LED lamps in Kazakhstan: A techno-economic assessment. Sustain. Cities Soc. 2019, 51, 101790. [Google Scholar] [CrossRef]
- Duman, A.C.; Guler, O. Techno-Economic analysis of off-grid photovoltaic LED road lighting systems: A case study for northern, central and southern regions of Turkey. Build. Environ. 2019, 156, 89–98. [Google Scholar] [CrossRef]
- Katzin, D.; Marcelis, L.; Mourik, S.V. Energy savings in greenhouses by transition from high-pressure sodium to LED lighting. Appl. Energy 2021, 281, 116019. [Google Scholar] [CrossRef]
- Ding, Q.; Zhao, Y.; Liu, R.; Liang, X.; Lin, L. Implementation effect of China’s Roadmap for the Phase-out of Incandescent Lamps energy-saving policy. China Illum. Eng. J. 2017, 28, 7–12. [Google Scholar]
- Guo, F.; Pachauri, S. China’s Green Lights Program: A review and assessment. Energy Policy 2017, 110, 31–39. [Google Scholar] [CrossRef]
- China Solid State Lighting Alliance. The Development and Data of China’s Semiconductor Lighting Industry 2015. Available online: http://www.china-led.net (accessed on 13 September 2022).
- China Commerce Industry Research Institute. Analysis of the Development Status and Prospects of China’s LED Lighting Industry in 2021. Available online: https://baijiahao.baidu.com (accessed on 13 September 2022).
- Cheng, Q. The New Direction of LED Lighting Industry Development in China under the Global Lighting Market. China Light Lighting 2019, 1, 16–23. [Google Scholar]
- Liang, X.Y.; Zhao, Y.J.; Xia, Y.J. Analysis on obstacles and policy suggestion on implementing Roadmap for China Phasing out Incandescent Lamp. Stand. Sci. 2012, 8, 37–42. [Google Scholar]
- Ke, S.B. Entering the post-incandescent era: Are we Ready?—Interpretation of China’s Roadmap for Phasing out Incandescent Lamps. China Constr. 2012, 12, 20–23. [Google Scholar]
- China Association of Lighting Industry. Investigation and Evaluation Report on Current Situation of Chinese Incandescent Lamp Manufacturers. Available online: http://www.chineselighting.org (accessed on 6 May 2021).
- Xia, Y.J.; Zhao, Y.J.; Peng, Y.Y.; Wang, R.H.; Lv, Q.S. Comparison and analysis of International Roadmaps for Phasing out Incandescent Lamps (I). Energy Conserv. Environ. Prot. 2012, 1, 50–52. [Google Scholar]
- Ferrara, E.L.; Chong, A.; Duryea, S. Soap operas and fertility: Evidence from Brazil. Am. Econ. J. Appl. Econ. 2012, 4, 1–31. [Google Scholar] [CrossRef]
- Li, P.; Lu, Y.; Wang, J. Does flattening government improve economic performance? Evidence from China. J. Dev. Econ. 2016, 123, 18–37. [Google Scholar] [CrossRef]
- Vandenberghe, V.; Robin, S. Evaluating the effectiveness of private education across countries: A comparison of methods. Labour Econ. 2004, 11, 487–506. [Google Scholar] [CrossRef]
- Ye, X.; Li, M. Study on the Difference of China’s Industrial Policy Based on the Quantitative Analysis of Policy Documents—A Case Study on the Light Emitting Diode Industry. J. Public Manag. 2015, 12, 145–152, 159–160. [Google Scholar]
- Nie, H.; Kemp, R.; Xu, J.; Vasseur, V.; Fan, Y. Split incentive effects on the adoption of technical and behavioral energy-saving measures in the household sector in Western Europe. Energy Policy 2020, 140, 111424. [Google Scholar] [CrossRef]
- Nie, H.; Kemp, R.; Vasseur, V. Exploring the changing gap of residential energy consumption per capita in China and the Netherlands: A comparative analysis of driving forces. Sustainability 2020, 12, 4634. [Google Scholar] [CrossRef]

| Stage | Implementation Period | Target Product | Rated Power | Scope and Method of Implementation | Note |
|---|---|---|---|---|---|
| 1 | 1 November 2011–30 September 2021 | Transition period | Publish announcements and road maps | ||
| 2 | Since 1 October 2012 | General lighting incandescent lamp | ≥100 watts | Banned the import and sales | |
| 3 | Since 1 October 2014 | General lighting incandescent lamp | ≥60 watts | Banned the import and sales | |
| 4 | 1 October 2015–30 September 2016 | Conduct mid-term assessment and adjust follow-up policy | |||
| 5 | Since 1 October 2016 | General lighting incandescent lamp | ≥15 watts | Banned the import and sales | The targeted products and timing of the final ban, as well as whether to ban production, will depend on the results of the interim assessment. |
| Variable | Mean | SD | Min | Max |
|---|---|---|---|---|
| Y1 | 14.1375 | 2.2936 | 9.9200 | 20.5500 |
| Y2 | 15.9146 | 2.1243 | 11.9500 | 21.3100 |
| AGE | 2.6016 | 0.4871 | 0.7900 | 3.3300 |
| TAV | 21.3595 | 1.2652 | 18.0200 | 29.3000 |
| TNP | 7.6662 | 1.0880 | 4.2400 | 10.2200 |
| RDP | 0.1772 | 0.9963 | 0.0300 | 21.0000 |
| RDS | 17.7760 | 1.5486 | 13.9000 | 23.2100 |
| Variables | Y1 | Y2 | ||
|---|---|---|---|---|
| (1) | (2) | (1) | (2) | |
| DID | 0.332 *** | 0.322 *** | 0.434 * | 0.413 ** |
| (0.0765) | (0.0572) | (0.1567) | (0.1436) | |
| Control variables | No | Yes | No | Yes |
| Individual effect | Yes | Yes | Yes | Yes |
| Time effect | Yes | Yes | Yes | Yes |
| Constant | 13.40 *** | 14.40 *** | 14.83 *** | 13.96 ** |
| (0.0220) | (0.4581) | (0.0652) | (1.4327) | |
| R-squared | 0.9979 | 0.9982 | 0.9913 | 0.9923 |
| Observations | 440 | 440 | 440 | 440 |
| Variables | Y1 | ||||
|---|---|---|---|---|---|
| (1) | (2) | (3) | (4) | (5) | |
| Radius Matching | Kernel Matching | Nearest Neighbor Matching | OLS | OLS | |
| DID | 0.3384 *** | 0.3274 *** | 0.3217 *** | 0.3259 *** | 0.3123 *** |
| (0.0736) | (0.0684) | (0.0572) | (0.0647) | (0.0247) | |
| control | Yes | Yes | Yes | Yes | |
| L.control | Yes | ||||
| Individual effect | Yes | Yes | Yes | Yes | Yes |
| Time effect | Yes | Yes | Yes | Yes | Yes |
| Observations | 321 | 372 | 440 | 418 | 374 |
| R-squared | 0.9981 | 0.9983 | 0.9982 | 0.9983 | 0.9981 |
| Variables | Y2 | ||||
| (1) | (2) | (3) | (4) | (5) | |
| Radius Matching | Kernel Matching | Nearest neighbor Matching | OLS | OLS | |
| DID | 0.3338 ** | 0.3874 ** | 0.4132 *** | 0.4311 *** | 0.4205 *** |
| (0.1387) | (0.1439) | (0.1436) | (0.1420) | (0.0404) | |
| control | Yes | Yes | Yes | Yes | |
| L.control | Yes | ||||
| Individual effect | Yes | Yes | Yes | Yes | Yes |
| Time effect | Yes | Yes | Yes | Yes | Yes |
| Observations | 321 | 372 | 440 | 418 | 374 |
| R-squared | 0.9930 | 0.9933 | 0.9923 | 0.9927 | 0.9938 |
Publisher’s Note: MDPI stays neutral with regard to jurisdictional claims in published maps and institutional affiliations. |
© 2022 by the authors. Licensee MDPI, Basel, Switzerland. This article is an open access article distributed under the terms and conditions of the Creative Commons Attribution (CC BY) license (https://creativecommons.org/licenses/by/4.0/).
Share and Cite
Ji, Z.; Yu, H.; Zhu, J.; Li, J. The Influence of Roadmap for China Phasing Out Incandescent Lamps on the Promotion of Energy-Efficient Lighting Products. Sustainability 2022, 14, 11894. https://doi.org/10.3390/su141911894
Ji Z, Yu H, Zhu J, Li J. The Influence of Roadmap for China Phasing Out Incandescent Lamps on the Promotion of Energy-Efficient Lighting Products. Sustainability. 2022; 14(19):11894. https://doi.org/10.3390/su141911894
Chicago/Turabian StyleJi, Zhongyang, Huiru Yu, Jingyi Zhu, and Jiwen Li. 2022. "The Influence of Roadmap for China Phasing Out Incandescent Lamps on the Promotion of Energy-Efficient Lighting Products" Sustainability 14, no. 19: 11894. https://doi.org/10.3390/su141911894
APA StyleJi, Z., Yu, H., Zhu, J., & Li, J. (2022). The Influence of Roadmap for China Phasing Out Incandescent Lamps on the Promotion of Energy-Efficient Lighting Products. Sustainability, 14(19), 11894. https://doi.org/10.3390/su141911894
