Abstract
Outdoor thermal comfort is one of the essential characteristics of effective urban planning. The aspect ratio and orientation of the street canyon influence the thermal performance. Regulations standardize construction rules without accounting for regional climatic variations or the effect of these limits on pedestrian thermal comfort. The purpose of this paper is to provide an understanding of the effects of aspect ratios and street canyon orientations on thermal comfort in Alexandria, representing the North Coast Region of Egypt, and Aswan, representing the Southern Egypt Region, using ENVI-met and RayMan software for various aspect ratios and street canyon orientations scenarios. As a result, the aspect ratio (AR = 2.5) gives the best thermal conditions in all the scenarios evaluated in both cities, whereas the aspect ratio (AR = 1) provides the worst. Despite having the highest PET value among the investigated scenarios, the Northeast-Southwest street canyon in Aswan City has the least uncomfortable thermal hours. The North-South street canyon in Alexandria City has the best thermal performance, followed by the Northwest-Southeast street canyon. Finally, it was shown that the aspect ratio and the orientation of the street canyons in the North Coast and Southern Egypt regions can support pedestrian thermal comfort.
1. Introduction
Cities have seen a dramatic increase in population over the last few decades, but this is not a new phenomenon. According to UN-Habitat, cities accounted for 43% of the world’s population in 1990 and 54% in 2015. It is predicted that by 2030 the urban population in developing countries will be doubled, and the urban area will be tripled []. With cities housing more than half of the world’s population, maintaining thermal comfort in outdoor spaces is critical to maintaining a high-quality urban lifestyle [,]. Studies have shown that vegetation, water bodies, surface albedo, and urban geometry, such as “aspect ratio (Height/Width), street orientation, and sky view factor (SVF),” all affect how much solar radiation gets through and how much air moves in and out of buildings, indicating factors which could cool the urban system [].
The outdoor microclimate is a significant issue. For example, car commuters are not exposed to the same sun, shade, wind speed variations, and other features that pedestrians are exposed to, and may benefit from air conditioning. Thus, the design of street canyons is critical in achieving outdoor thermal comfort for pedestrians [,]. Street canyons are defined as “streets with distinct geometric features that resemble the shape of naturally occurring canyons”. I In other words, a street canyon is described as “a relatively narrow street lined with buildings on both sides” [,,]. It is concurred that street canyons are the “fundamental geometric unit that can be reasonably approximated by two-dimensional cross-sections, ignoring street intersections and assuming that buildings along the canyon axis have an infinite length” []. Previous research on thermal comfort in urban outdoor spaces has shown that the aspect ratio and orientation of the street canyon are the most important factors [,].
Since the earlier climatic research on street canyons, which examined the optimal geometric ratios of street canyons in mid-latitude cities based on climate-related variables, the aspect ratio (H/W) has been linked to outdoor thermal comfort. The aspect ratio (H/W) is defined as the ratio of the average wall height (H) to the width of the street (W). This ratio may or may not be optimal for thermal comfort when (H/W) is close to one; the ratio is considered shallow when the aspect ratio (H/W) is less than 0.5 and deep when the aspect ratio (H/W) is equal to two [,,]. Arnfield (1990) [] asserts that the aspect ratio (H/W) is tied to the seasonal availability of solar energy. Johansson and Emmanuel (2006) conducted a study in Colombo, Sri Lanka, on the effect of aspect ratios (H/W) on microclimate and thermal comfort. The results demonstrated that increasing the aspect ratio (H/W) of shadows could result in considerable PET (Physiologically Equivalent Temperature) decreases, with a 10 °C drop-in PET with an increase in aspect ratio (H/W) []. Muniz-Gäal et al. examined 18 winter and summer situations in Campinas, Brazil, employing a variety of aspect ratios []. In addition, in Pécs, Hungary, Albdour and Baranyai (2019) produced the best practicable results with the (H/W = 0.65) scenario by increasing the air temperature by 1.2 K in a warm-wet environment []. Martinelli and Matzarakis (2017) examined courtyard typology and its association with thermal comfort in a variety of temperature zones throughout Italy, excluding Alpine regions (Aosta, Milano, Campobasso, Firenze, Lecce, and Catania). According to the study’s findings, a high aspect ratio (H/W) ratio enhances thermal comfort. This effect is beneficial in both the winter and summer []. In another climate, Bourbia and Awbi (2004) discovered minor daytime temperature differences between urban and rural areas in El-desert Oued, Algeria, even as the aspect ratio (H/W) increased []. Johansson (2006) investigated the effect of aspect ratios on thermal comfort and microclimates in Fez, Morocco. According to the findings, a compact urban shape with deep canyons is optimal under hot desert circumstances. However, if a cold season exists, as it does in Fez, the urban design should have some open spaces to allow for sun exposure []. Additionally, Jehad and Taheri investigated the effect of aspect ratio on thermal comfort in three of Morocco’s largest cities (Agadir, Errachidia, and Fez). Using thick, thermally efficient walls and ensuring that pedestrians are happy with the temperature are effective ways to make a city feel more like a home [].
Street canyon orientations have been studied as a factor influencing human thermal outdoor comfort. Hegazy and Qurnfulah (2020) examined four different street canyon orientations in two different districts of Jeddah, Saudi Arabia, to simulate hot, humid climatic conditions []. Additionally, Nasrollahi et al. investigated the effect of six urban street canyons on outdoor thermal comfort in the hot climate of Ahvaz, Iran. According to the simulation results, the closer the canyon is to the North-South axis, the cooler the air temperature and mean radiant temperature are. Additionally, it established a positive correlation between PET and aspect ratio []. Toudert and Mayer (2007) investigated the asymmetrical street canyon and its effect on outdoor thermal comfort using PET. The results indicated that East-West canyons are the most stressful, and that deviating from this orientation improves thermal conditions []. Additionally, Huang et al. (2018) assessed thermal comfort conditions in Taiwan under three future periods (2011–2040, 2041–2070, and 2071–2100). According to the findings, the region with shading on the east and west sides is more comfortable than the region with shading on the north side [].
In other studies, the effect of aspect ratio and street canyon orientation on outdoor thermal comfort was examined. Toudert and Mayer et al. (2005) examined thermal comfort in street canyons in Beni-Isguene, Algeria, focusing on the effect of street orientation and aspect ratio. They discovered that heat stress is significantly greater in open areas than it is in protected urban areas in a hot desert climate []. Srivanit and Jareemit (2020) demonstrated that the aspect ratio and street canyon orientation could positively affect outdoor thermal comfort, with the (PET) value decreased by 14.2 °C when the building is shaded. Furthermore, buildings and tree cover have little effect on the harsh conditions found in east-west canyons []. Additionally, Chatzidimitriou and Axarli (2017) conducted a comparative analysis of the effects of aspect ratio and street canyon orientation on microclimate and pedestrian comfort in Thessaloniki, Greece, using ENVI-met software. According to the findings, canyons with a north-south orientation and a moderate to high aspect ratio provided the most thermally comfortable conditions. Additionally, deep canyons are more comfortable to traverse than broad canyons []. De and Mukherjee (2018) discovered that an orientation angle of 30° to 60° with an aspect ratio of 2.5 could reduce the PET value by 5 °C to 9 °C in Rajarhat, India [].
Climate and sustainability research in Egypt is experiencing rapid growth among urban planners, designers, and architects []. However, relatively few studies have examined outdoor comfort. Additionally, efforts to reduce energy consumption were confined to the building scale, with no consideration for the morphological relationship between buildings. Moreover, the Egyptian Unified Construction Act specifies spatial design criteria as opposed to climate-based design criteria [].
Some research focuses on the form of the urban fabric. Fahmy and Sharples (2009), for instance, presented design guidance for the urban fabric in Cairo, incorporating two primary elements: the urban fabric form, with its green structure, and thermal comfort adaptation by introducing an urban green scene []. Galal et al. investigated the complex geometric configurations of older planned communities in the Greater Cairo Region to determine the key urban form variables that influence outdoor thermal comfort in arid climates []. Other studies, such as El-Bardisy et al. (2016), discussed climate-sensitive landscape design in public school courtyards using the ENVI-met simulation tool []. Many outdoor thermal comfort studies in Egypt, on the other hand, are concerned with the impact on indoor comfort and energy consumption. Open spaces (outer courtyards) influence indoor thermal comfort, energy consumption, and IAQ in the hot, arid climate of New Assiut City, as demonstrated by Abdallah (2015) []. In addition, Ibrahim et al. (2021) studied the impact of altering the morphological characteristics of three-block typologies (dispersed, linear, and courtyard) on outdoor thermal comfort and energy use intensity []. Another study on outdoor thermal comfort and energy consumption was conducted in Cairo. Green roofs or walls, according to this study, can reduce outdoor air temperature by 10 °C and improve outdoor thermal comfort [].
The previous analysis indicates the need for more focus on measuring the effects of the geometry of urban canyons, particularly the aspect ratio and orientation of street canyons, which are significant factors affecting exposure to sun and wind, and thus the formation of suitable microclimates within street canyons. Therefore, the purpose of this study is to develop a comprehensive concept for enhancing the thermal and sustainability design of street canyons. This concept aims to improve and balance the environmental sustainability of a street.
2. Materials and Methods
This study examined the effect of various aspect ratios (H/W) and street canyon orientations on outdoor thermal comfort. The widths of streets in Egyptian cities range from 6 to 24 m, with 10 m being the most common and frequently used []. Given that the research will focus on the width to height ratio of the street, four aspect ratio scenarios were investigated, where the width of the street is constant. The width of the street was fixed at 10 m, which is commonly used in Egypt, with height beginning at 10 m, which giving a ratio of 1:1; additional increases of 5 m in height, give ratios of 1:1.5, 1:2, and 1:2.5. As shown in Table 1, the (AR) symbol represents the aspect ratio (H/W) in the research.
Table 1.
The aspect ratio (H/W) scenarios.
Four different street canyon orientations with each scenario of aspect ratio in each city were discussed (Figure 1). The study was conducted on a typical summer day, 2 July 2018, utilizing meteorological measurements. The ENVI-met 4.0 (v.4.4.6, Bruse Team, Essen, Germany) and RayMan (v.1.2, University of Freiburg, Freiburg, Germany) were used to model and investigate the microclimate in the different scenarios.
Figure 1.
Investigated orientation scenarios.
The physiologically equivalent temperature (PET) was used to represent thermal comfort assessment. The extracted data were then compared and analyzed in 32 urban canyon scenarios in the North Coast Region and the Southern Egypt Region to determine the best scenario for aspect ratios and street canyon orientation at the pedestrian level. The findings are then used to present recommendations and guidelines for designers to consider when designing a comfortable urban street canyon.
2.1. The Study Area
According to Köppen’s climate classification, Egypt is characterized by modest rain and a vast range of daily temperatures. In general, all year, Egypt has a hot, arid climate []. The climate in Egypt varies greatly. Figure 2 shows the eight main regional climates in Egypt according to the Housing and Building Research Centre (HBRC) [].
Figure 2.
Map of the climatic regions of Egypt.
The study areas are in two cities with different climate conditions. Aswan lies in the south of Egypt at 24.1° N and 32.9° E. According to its geographical location, it is situated in the Southern Upper Egypt Region. This climate is characterized as a hot and arid climate for most of the year. Winter, on the other hand, is brief and pleasant []. During the summer, the operative temperature ranges from 43 °C to 48 °C as the maximum and from 18 °C to 12 °C as the minimum, whereas in the winter, the maximum temperature ranges from 29 °C to 34 °C and the minimum temperature ranges from 5 °C to 10 °C. The elevation varies between 180 and 350 m above mean sea level. The humidity level is moderate, from 20 to 60%. Global radiation levels are relatively high, with summer readings of 1100–1210 W/m2 and winter readings of 770–1050 W/m2 []. The second city is Alexandria. It is in northern Egypt and is characterized by the climate of the North Coast Region. Alexandria is located between the latitude of 30.5° N and the longitude of 29.4° E. It is Egypt’s second-biggest city, stretching along the Mediterranean Sea coast in the country’s north-central region []. In the summer, the operative temperature ranges from 33 °C to 37 °C with a minimum of 18 °C to 23 °C, and in the winter, the operative temperature varies from a maximum of 25 °C–28 °C, with a minimum of 7 °C–9 °C. The altitude ranges from 0 to 100 m above mean sea level. The relative humidity level is high, ranging from 55 to 90%. The summer mean global radiation ranges from 800 to 890 W/m2, and in winter the mean global radiation ranges from 500 to 750 W/m2 [].
2.2. Thermal Comfort Indices
The physiological equivalent temperature PET, used in this work to evaluate thermal comfort sensations, is one of many thermal indices of physiological relevance. When compared to other thermal indices obtained from the human energy balance, the PET index is chosen because of its unit (°C), which makes results more intelligible to urban or regional planners []. Another advantage of PET is that the values can be estimated for any day and season of the year in a variety of climates and environments [].
To calculate the physiological equivalent temperature PET, all meteorological parameters important for human energy balance must be determined at a human-bio meteorological parameter height, such as 1.1 m above ground level, because that is the center of gravity of a standing human (ISO, 1998) []. Human activity, body heat generation, and heat transfer resistance of clothing are additional body factors that are taken into consideration in human energy balance []. Then there are the meteorological parameters, which include air temperature (Ta), relative humidity (RH), wind velocity (V), and mean radiant temperature (Tmrt) []. Table 2 shows the PET range and grade of physiological stress on humans.
Table 2.
PET levels for thermal perception and the grade of physiological stress on a human [].
2.3. Simulation Software
This study adopted the coupling of simulation tools: ENVI-met and RayMan. The first tool is ENVI-met, which is an urban simulation software that handles many variables. In 1993, Michael Bruse and his team developed this program []. This model takes into consideration the physical processes that take place between the atmosphere, the ground, buildings, and vegetation and simulates the climate within a specific metropolitan area with a high spatial and temporal resolution, allowing for a comprehensive analysis of microclimatic changes [,]. ENVI-met has been used in a variety of research applications, including [,,,,,,].
The second software is RayMan, in which the model is based on the human body’s energy-balance equation, where it can calculate numerous thermal indices, such as Predicted Mean Vote (PMV), Physiologically Equivalent Temperature (PET), and Standard Effective Temperature (SET*) []. RayMan has also been utilized in several studies [,,,,]. Finally, other research combined the two programs [,,,,].
2.4. Simulation Settings
The hot season lasts two-thirds of the year in Egypt. The hottest month is July [], with average air temperatures in Aswan City of 33.9 °C and 25.17 °C in Alexandria (according to the Köppen–Geiger climate classification, Weatherbase, 2018). As a result, the study focused only on the summer season, which is regarded as an uncomfortable season, particularly for pedestrians.
The ENVI-met V4.0 and RayMan V3.1 software are used in this study to evaluate outdoor thermal comfort conditions for pedestrians in street canyons using a coupling simulation. Figure 3 depicts the use of a combination of ENVI-met and RayMan to assess thermal comfort conditions in street canyons. The simulation cycle is divided into three major phases. The ENVI-met input data are hourly values of air temperature and relative humidity at 1.1 m above ground level from the meteorological station at Aswan University for Aswan and the meteorological station at Alexandria Airport for Alexandria. The initial settings for the INVE-met study modelling and simulation are shown in Table 3. The initial settings of RayMan software are described in Table 4.
Figure 3.
Simulation cycling with ENVI-met and RayMan in outdoor simulations.
Table 3.
The initial setting for the study modeling and simulation in INVE-met for 2 July.
Table 4.
The initial setting for the RayMan simulation for 2 July.
Using ENVI-met, a numerical simulation was performed on the street canyons (in the first, second, and part of the third phases). The remaining part of the third phase is performed by RayMan. The ENVI-met Simulation was scheduled for 2 July 2018 and lasted for a duration of 28 h. The numerical simulation began on 1 July 2018 at 21:00 and concluded on 2 July 2018 at 23:00 (the first four hours of the ENVI-met simulation were disregarded). The grid size was set to its initial values (5, 5, 5 m).
During the initial phase (Configuration), two ENVI-met V4.0 subprograms were used. “SPACE” comes first. It is the software used to create the model. For each simulation, it computed the building’s orientation and height. Thus, “SPACES” in Aswan and Alexandria generated sixteen scenarios. The second ENVI-met subprogram is “ConfigWizard”, where the start and duration of the model simulation run, the starting meteorological conditions, the air temperature in (K) and the relative humidity in (%) were all entered this software using the values extracted from the Aswan Faculty of Engineering Weather Station and the Alexandria Airport Weather Station. During the second step (Running Simulation), the simulation procedure in the ENVI-met version (100 × 100 × 40) is carried out. Finally, the third phase (Extracted Findings) contains the output data from the ENVI-met subprogram “LONARDO” as RayMan input data for obtaining the PET results. The output data for this study are categorized into four groups: air temperature, relative humidity, mean radiant temperature, and physiological equivalent temperature. Beginning with the atmosphere file, map layers and components such as “Air temperature, Relative humidity, Mean Radiant Temperature, and Wind Velocity” were assigned with the view plane set to 1500 m. The 2D map and map layer sheet can then be extracted. In order to obtain the results of the second simulation step PET by RayMan, the simulation date, day order in the year, local time, Aswan Location, and Alexandria Location, along with longitude, latitude, and time zone were entered. In the current data, the default settings for RayMan are personal information, clothing, and activity. Air temperature, Relative humidity, Mean Radiant Temperature, and Wind Velocity were entered in the input files based on “LONARDO” map layer sheet data.
2.5. Experimental Validation for Simulation Software
There are a variety of methods for examining the various effects of urban form on microclimate parameters. The first method is based on measurements taken on-site []. The second method is based on weather station data simulations []. The third method is validated simulations [], which is encouraged because it tends to bridge the gap between achieving validated results and testing various scenarios, which may not be available in existing work due to time or space limitations. The measurement strategy was employed at two points on one of Aswan’s most famous streets, Saad Zaghlol Street, using Hobo U12 data loggers mounted at a height of 1.6 m at the two measurement locations (Figure 4). Due to the difficulty of securing the measuring devices and monitoring them continuously, the measurement period lasted only 16 h on 2 July, from 05:00 AM to 08:00 PM. During these field measurements, the air temperature was measured and compared to preliminary ENVI-met simulation results.
Figure 4.
The layout of measurement points.
The validation of the model was conducted, and the average difference between simulated and measured values is represented in Figure 5. The data collected on the air temperature trends and the simulation show good agreement. It is noticeable that the largest difference in temperature at measurement point No. 1 was 3.1 °C while at point No. 2 the difference was 2.9 °C. Hence, the simulated results showed good agreement with field measurements and the correlation (R2) was 0.930 and 0.933 for point 1 and point 2, respectively; this showed that the simulation successfully captured the observed diurnal temperature trends (Figure 6).
Figure 5.
Difference between simulated and measured temperature: (a) Point 1; (b) Point 2.
Figure 6.
The correlation between simulation outcomes and field measurements: (a) Point 1; (b) Point 2.
3. Results and Discussion
The study investigates many alternatives to obtaining outdoor thermal comfort by evaluating the impact of aspect ratios (H/W) and street canyon orientations on outdoor thermal performance. This study has a time constraint as it was conducted in the summertime on 2 July 2018. The study also focuses on the occupancy hours during the day, as well as a spatial limitation, represented in the sites of Aswan and Alexandria. As for the most effective strategy, the study focuses mostly on aspect ratios and street canyon orientations. Other mitigation strategies, such as SVF, vegetation, waterbodies, and albedo, are not included in the scope of this study. In this context, the study’s findings were separated into two divisions. The first section explained how the aspect ratio affects the microclimate when different street canyon orientations are considered. The second section investigated how different aspect ratios and street canyon orientations affect the physiological equivalent temperature PET in the proposed cases.
3.1. Effects of Aspect Ratio on Microclimate Based on the Orientation of Street Canyons
Based on the street canyon orientations of the proposed cases, the simulation results were divided into four sub-sections.
3.1.1. Aspect Ratio Effects on Proposed Cases in the North-South Street Canyon Orientation
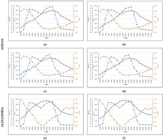
As shown in Figure 7, the analysis of the results revealed variations in the effects of air temperatures (Ta), relative humidity (RH), and mean radiant temperature (Tmrt) in the proposed cases. In the North-South street canyon orientation, the hottest period in Aswan lasted from 11:00 to 18:00, while the hottest microclimate period in Alexandria lasted from 9:00 to 17:00. According to the results, Aswan’s air temperature climbed throughout the day, from 11:00 until the peak between 15:00 and 17:00 recorded at 43.3 °C–43.9 °C. (Tmrt) data also revealed a similar disposition, with the highest value observed between 11:00 and 15:00 and ranging between 57.2 °C and 68.8 °C. The relative humidity values, on the other hand, exhibited a different trend: a decline over the same period. Aswan recorded the lowest relative humidity value at 15:00, which was 13.3% for (AR1) and 14.1% for (AR3). Between 12:00 and 13:00, the relative humidity in Alexandria ranged between 45.5% and 46.6%. Although the thermal performance in Alexandria follows the same thermal behavior trend as in Aswan, it was discovered that Alexandria is cooler than Aswan in every scenario studied. Across all studied aspect ratios, Alexandria experienced a 6 °K cooler average temperature than Aswan. Between 12:00 and 13:00, the air temperature in Alexandria peaked between 28.6 °C and 29.2 °C. From 11:00 to 15:00, the mean radiant temperature climbed, computed as 52.4 °C to 60.8 °C. The air temperature and mean radiant temperature continued to decrease until 23:00. This was the case in every scenario when the aspect ratio was examined. In the North-South street canyon orientation the highest value for air temperature and mean radiant temperature were recorded in the aspect ratio (AR1), while the lowest values for relative humidity were observed in the same aspect ratio in both cities. The aspect ratio (AR4) recorded the lowest air temperature and mean radiant temperature. It also had the highest relative humidity values in the suggested scenarios values in both cities.
Figure 7.
The impacts of four aspect ratio scenarios on the microclimatic conditions in the North-South Street canyon orientation in Aswan and Alexandria: (a) is AR1 in Aswan; (b) is AR2 in Aswan; (c) is AR3 in Aswan; (d) is AR4 in Aswan; (e) is AR1 in Alexandria; (f) is AR2 in Alexandria; (g) is AR3 in Alexandria; and (h) is AR4 in Alexandria.
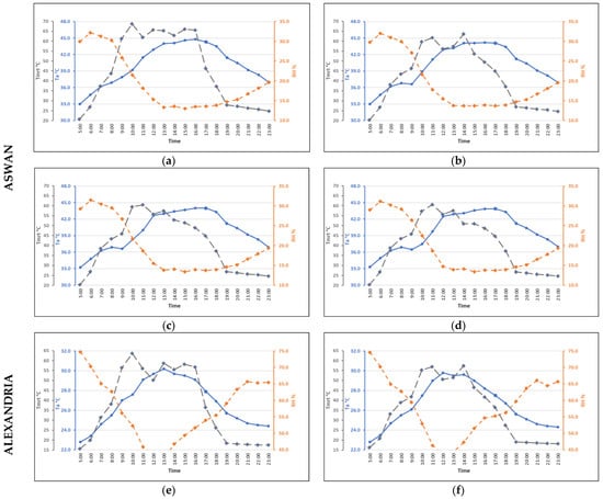
3.1.2. Aspect Ratio Effects on Proposed Cases in the East-West Street Canyon Orientation
In the east-west orientation of the street canyon in Aswan City, the thermal performance increased steadily between 12:00 and 17:00. Figure 8 displays the results, which indicate that the air temperature began to increase at 5:00 and peaked at 44.8 °C (AR1) at 16:00. The aspect ratio readings (AR2) were nearly identical to those previously reported. The average air temperature was 44.7 °C.

Figure 8.
The impacts of four aspect ratio scenarios on the microclimatic conditions in the East-West Street canyon orientation in Aswan and Alexandria: (a) is AR1 in Aswan; (b) is AR2 in Aswan; (c) is AR3 in Aswan; (d) is AR4 in Aswan; (e) is AR1 in Alexandria; (f) is AR2 in Alexandria; (g) is AR3 in Alexandria; and (h) is AR4 in Alexandria.
At 15:00, when the air temperature was 44.2 °C, the aspect ratio (AR4) performed best in the aforementioned orientation. During the same hour, 44.4 °C was recorded for the aspect ratio (AR3). In contrast, the relative humidity ranged between 13% and 13.41% in each of the proposed East-West orientation cases in Aswan City.
The orientation of East-West street canyons in both cities decreased the mean radiant temperature values. At 8:00, the (Tmrt) temperature in Aswan began to rise, reaching 66 °C before dropping to 51 °C by noon. Between 15:00 and 16:00, (Tmrt) results for all examined aspect ratios increased from 71.1 °C to 73.4 °C. At 8:00, the (Tmrt) in Alexandria began to rise and reached 63 °C. The temperature then decreased to 51.4 °C at 12:00 and rose again between 15:00 and 16:00, recording the lowest value in aspect ratio (AR4) at 64.5 °C and the highest value in aspect ratio (AR2) at 65.6 °C during the same period. In both cities, the mean radiant temperature decreased from 16:00 to 23:00 in all proposed scenarios.
The relative humidity values in Alexandria City varied depending on the investigated aspect ratio. The aspect ratio with the lowest value was (AR3), followed by (AR1), then (AR2), and the aspect ratio with the highest value was (AR4), with 44.8%, 45.5%, 45.7%, and 47.6%, respectively. Although the air temperature results in Alexandria differed slightly, the aspect ratio (AR4) had the lowest value 29.3 °C, while aspect ratios (AR2) and (AR3) had the highest values 29.3 °C and 29.6 °C, respectively.
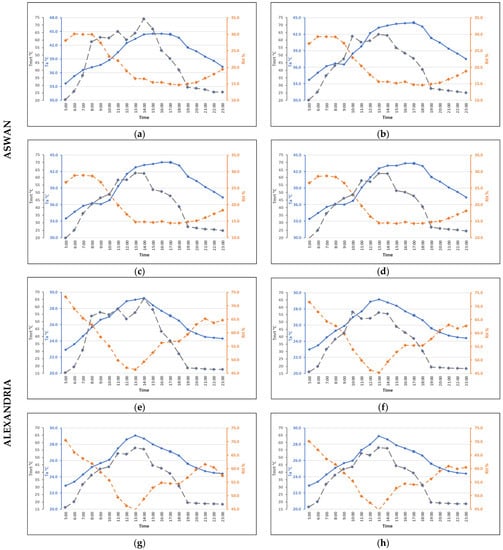
3.1.3. Aspect Ratio Effects on Proposed Cases in the North East-South West Street Canyon Orientation
Figure 9 illustrates the influence of four aspect ratio scenarios on the air temperatures, relative humidity, and mean radiant temperature in Aswan City and Alexandria City for a street canyon oriented North East to South West. Between 11:00 and 17:00, Aswan’s air temperature was at its hottest. The maximum recorded air temperature was 44.5 °C in aspect ratio (AR1) at 15:00, while the lowest was 43.5 °C in aspect ratio (AR4) at 16:00. Between 15:00 and 17:00, the relative humidity in Aswan City reached its highest levels between 14.3% and 14.7%. Despite having different (Tmrt) values, both cities’ mean radiant temperature patterns have the same shape and aspect ratios. At 13:00, the mean radiant temperature in the city of Aswan was 63.8 °C, 63 °C, and 62.7 °C for aspect ratios AR2, AR3, and AR4, respectively. At 13:00, (Tmrt) in Alexandria city was approximately 56.5 ℃, with the various aspect ratios. In contrast, the highest (Tmrt) values were seen at 14:00 in Aswan 74.1 °C and Alexandria 65.5 °C. In Alexandria, the aspect ratios (AR2), (AR3), and (AR4) had an intriguing feature. At 13:00, the air temperature, mean radiant temperature, and relative humidity were all at their peak. In the aforementioned aspect ratios, the difference between (AR3) and (AR4) values for air temperature, mean radiant temperature, and relative humidity was 0.1. Between 13:00 and 14:00, the air temperature values in Alexandria city fluctuated between 29 °C and 29.3 °C, with the aspect ratio (AR1). In addition, relative humidity has the lowest value of all the examined aspect ratios. Its readings ranged between 44.8 and 46.4%.
Figure 9.
The impacts of four aspect ratio scenarios on the microclimatic conditions in the North East- South West Street canyon orientation in Aswan and Alexandria: (a) is AR1 in Aswan; (b) is AR2 in Aswan; (c) is AR3 in Aswan; (d) is AR4 in Aswan; (e) is AR1 in Alexandria; (f) is AR2 in Alexandria; (g) is AR3 in Alexandria; and (h) is AR4 in Alexandria.
3.1.4. Aspect Ratio Effects on Proposed Cases in the North West-South East Street Canyon Orientation
Figure 10 shows how the four aspect ratios evaluated in the North East-South West street canyon orientation affected air temperature (Ta), relative humidity (RH), and mean radiation temperature (Tmrt). From 10:00 to 15:00, the mean radiant temperature in Aswan was 66.7 °C in aspect ratio (AR1), 63.7 °C in aspect ratio (AR2), 60.5 °C in aspect ratio (AR3), and 60.6 °C in aspect ratio (AR4). The relative humidity varied between 13% and 14.9%. The aspect ratio (AR1) had the lowest (RH) value at 15:00, followed by (AR4) at the same hour, (AR2) and (AR3) at 14:00 and 16:00, respectively. The air temperature data were inconsistent. At 16:00, the air temperature ranged between 43.9 °C and 44.8 °C in the aspect ratio (AR4) (AR1). Additionally, the air temperature of the aspect ratio (AR4) was 0.1 °C less than that of the aspect ratio (AR3). Alexandria recorded the highest air temperature values at 12:00 which were 29.8 °C, 29.6 °C, and 29.4 °C in aspect ratios (AR2), (AR3), and (AR4), respectively. At all examined aspect ratios, the relative humidity (RH) values in the city of Alexandria were around 30% greater than those in the city of Aswan. The behavior of relative humidity and mean radiant temperature in Alexandria was comparable to that of the air temperature. At 11:00 and 12:00, aspect ratios (AR2), (AR3), and (AR4) had the highest (Tmrt) values and lowest relative humidity. The relative humidity fluctuated between 43.6% to 44.3%.

Figure 10.
The impacts of four aspect ratio scenarios on the microclimatic conditions in the North West-South East Street canyon orientation in Aswan and Alexandria: (a) is AR1 in Aswan; (b) is AR2 in Aswan; (c) is AR3 in Aswan; (d) is AR4 in Aswan; (e) is AR1 in Alexandria; (f) is AR2 in Alexandria; (g) is AR3 in Alexandria; and (h) is AR4 in Alexandria.
3.1.5. The Effect of Various Aspect Ratios and Street Canyon Orientations on the Physiological Equivalent Temperature PET in the Proposed Cases
The second portion of the results examines the influence of aspect ratios and street canyon orientations on the Physiological Equivalent Temperature (PET). The purpose of the study is to provide guidelines and recommendations for designing a comfortable urban street canyon. To accomplish these objectives, the results were categorized according to the thermal perception of Physiological Equivalent Temperature (PET).
The geographical location of the two cities influences their climatic characteristics, as shown in Table 5. Aswan city PET values ranged from 26.6 °C to 63.0 °C, whereas Alexandria city PET values ranged from 17.8 °C to 51.2 °C, resulting in a 10.6 °K difference in PET values between Aswan and Alexandria.
Table 5.
The effect of four scenarios on the thermal perception of the Physiological Equivalent Temperature (PET) in Aswan and Alexandria.
The very hot hours in Aswan City totalled between 9 and 12 h during the day, from 7:00 to 18:00. The very hot PET values all ended around 18:00 in Aswan in all studied scenarios, which was frequently linked with the sunny hours. This study agrees with the mean radiation temperature (Tmrt) finding, which showed a significant decrease between 18:00 and 19:00. In Alexandria city, the number of very hot hours varied from 1 to 7 h between 8:00 and 16:00 in all studied scenarios.
The aspect ratio (AR1) at 14:00 in both cities recorded the highest PET values in the North East-South West street canyon orientation, with Aswan recording 63.1 °C and Alexandria recording 51.2 °C. The results of the mean radiation temperature (Tmrt) obtained at the same hour, which recorded the maximum (Tmrt) values in both cities in the same street canyon orientation, confirm these findings. This street canyon orientation was the worst-case scenario in Alexandria; the aspect ratio (AR1) ranged between 42.1 °C and 51.2 °C during the hours of 8:00 to 15:00. Even though the aspect ratio (AR4) in the aforementioned street canyon orientation had extremely hot hours between 11:00 and 14:00, the PET values ranged between 41.7 °C and 45.2 °C.
The North East-South West street canyon orientation in Aswan had mixed results. Despite having the highest PET value of all street canyon orientations, it had the least uncomfortable hours across all Aswan city scenarios. With an average of 3.5 °K less, the highest value was found in aspect ratio (AR1) and the lowest in (AR4). By analyzing the number of very hot hours in Aswan, it was discovered that the East-West street canyon orientation had very hot hours between 7:00 and 18:00, with an aspect ratio (AR1). Whereas, the PET values of aspect ratio (AR4) from 8:00 to 18:00 in the same street canyon orientation ranged between 42.5 °C and 58.3 °C.
In Alexandria City, PET readings were generally higher in the East-West street canyon orientation than in the previous street canyon orientations. The impact of dramatic (Tmrt) behavior was seen in the PET values in aspect ratio (AR1), which recorded a very hot value of 41.1 °C at 9:00, then reduced to hot values from 10:00 to 13:00, followed by an increase to very hot values ranging from 42.9 °C to 43.8 °C from 14:00 to 16:00, and finally decreased until 20:00. The aspect ratio (AR2) had similar values to the preceding aspect ratio, whereas the best scenario in this street canyon orientation had aspect ratios of (AR4) and (AR3), respectively. It included uncomfortable hours from 8:00 to 16:00, as well as extremely hot hours between 14:00 and 15:00, with temperatures ranging between 42.6 °C and 43.6 °C.
On the other hand, the best thermal performance scenarios in Alexandria were observed in the North-South street canyon orientation. First, there were only 7 uncomfortable hours in aspect ratio (AR1) between 10:00 and 16:00, which also included the only very hot hour in this street canyon orientation at 15:00, when 41.9 °C was recorded. Second, the PET findings outperformed the North East-South West street canyon orientation, in aspect ratio (AR1) with an average of about 5.2 °K and 4.1 °K in (AR4). Finally, the aspect ratio (AR4) had just five uncomfortable hours, with two hot hours at 12:00 and 13:00, with temperatures of 36.1 °C and 36.5 °C, respectively. Furthermore, the PET results agreed with the results of the air temperature from the same period in the same street canyon orientation. Likewise, the North-South street canyon orientation in Aswan city outperformed the other scenarios, particularly in terms of aspect ratio (AR4). The uncomfortable hours began at 7:00 with hot PET values until 9:00, then increased to very hot PET values at 10:00, followed by hot values again at 19:00 only, and finally, the thermal performance was warm for the rest of the day. The aspect ratio (AR3) PET values were almost like previous ones, with the exception that the last warm hours were between 19:00 and 20:00. While the PET values of the aspect ratios (AR1) and (AR2) in the North-South street canyon orientation were uncomfortably high between 7:00 and 23:00, where the highest PET value of 55.2 °C was observed at 14:00.
In Aswan, the thermal performance of the North West-South East street canyon orientation scenario was tolerable. First, in the aspect ratio (AR1), the uncomfortable hours began at 7:00 and ended at 23:00, with the very hot hours happening between 9:00 and 18:00, with the highest PET value recorded at 15:00 being 56.2 °C. Second, the aspect ratio (AR2) had the same time of thermal discomfort PET values, with the difference that the very hot hours began at 10:00 and the maximum PET value was 54.6 °C at 14:00. While the aspect ratios (AR3) and (AR4) in the North West-South East street canyon orientation had the same characteristics, the outdoor thermal performance was uncomforted for virtually the whole day, with the maximum PET value of 50.9 °C observed at 13:00.
Finally, in Alexandria city, the North West-South East street canyon orientation in aspect ratio (AR1) the uncomfortable hours ranged between 9:00 and 16:00, with the only two very hot PET values being 41.2 °C and 41.3 °C at 10:00 and 13:00, respectively. The thermal performance of the PET values then steadily improved until the aspect ratio (AR4), which has uncomfortable hours from 10:00 to 15:00 with just two hot hours recorded at 36.8 °C and 36.2 °C, respectively.
In all analyzed scenarios, the hottest hours in Aswan City are between 10:00 and 18:00, whereas in Alexandria City they are between 11:00 and 15:00. Aswan has the best aspect ratios AR2, AR3, and AR4 in North-South and North West-South East orientations. In Alexandria, the best orientations in all aspect ratios are North-South and North West-South East as well. In Aswan, the worst orientation is East-West, while in Alexandria, the worst orientation is North East-South West.
Clearly, the number of discomfort hours in Aswan is high, indicating that Aswan City requires additional attention in terms of outdoor thermal comfort studies. Obviously, the hours of discomfort are concentrated during daylight hours, when the high amount of pedestrian traffic necessitates careful consideration of the substantial interest in this large population segment.
Table 5 shows the detailed values for Physiological Equivalent Temperature (PET) in Aswan and Alexandria City throughout all scenarios for 16 h.
4. Conclusions
This study aims to provide guidelines and principles for designing a comfortable urban street canyon on Egypt’s North Coast and in Southern Egypt. As a result, ENVI-met and RayMan Software simulations were used to examine the effects of some geometric parameters associated with outdoor thermal comforts, including four aspect ratios (H/W) and street canyon orientations, on air temperature (Ta), relative humidity (RH), mean radiation temperature (Tmrt), and Physiological Equivalent Temperature (PET). According to the research investigations, simulations, and analyses, the aspect ratios (AR4) and (AR3) in all the indicated street canyon orientations may provide the highest levels of thermal comfort in both cities, especially Alexandria. To achieve outdoor thermal comfort, however, enhancing the thermal conditions in Aswan necessitates additional adjustments. Nonetheless, if PET is considered as the basis for the thermal behavior of the street canyon, the Aswan city North-South street canyon orientation with an aspect ratio of (AR4) provided the highest thermal comfort condition, followed by the street canyon orientation with an aspect ratio of (AR1) (AR3). Aspect ratios (AR4), (AR3), and (AR2) in Alexandria performed well in the street canyon orientation. Alexandria’s North East-South West street canyon orientation has the worst thermal characteristics, whereas Aswan’s North East-South West street canyon orientation has an acceptable thermal performance with an aspect ratio of (AR4). Even though the East-West street canyon orientation in Alexandria had more acceptable behavior than the North East-South West street canyon orientation, the East-West street canyon orientation in Aswan had the longest very hot hours. This research increases our knowledge of the effects of aspect ratios and street canyon orientations on thermal comfort in different climatic regions of the same country, as well as the need for a more precise assessment of outdoor thermal comfort conditions. Regarding urban movement in Egypt, however, the authorities resorted to a set of laws largely derived from European systems, which resulted in an urban fabric that lacked many of the characteristics that should have resulted from the country’s climatic conditions. For example, in Law 119 of 2008 (The Unified Building Law), the section on building heights was incorporated into the city’s strategic structural requirements []. It states that the height of the building shall be equal to one and a half times the width of the road, and the legal rule for the height of the building on two different roads stipulates that if the building is located at the intersection of two opposite sides with different widths, the width of the building height is equal to one and a half times the width of the wider road with a maximum height of 36 m. Clearly, the law neglected the climatic conditions’ effects.
Through the research, it is possible to reach towards a vision that matters to planners and those who improve the code to achieve outdoor thermal comfort, such as reconsidering the code articles that relate to planning street canyons and have a significant impact on the user’s comfort aspects, modifying the height codes for buildings through the strategic plans for each city by adding a height criterion that takes account of road width. In conclusion, decision-makers and urban planners researching outdoor thermal comfort in the North Coast Region and the Southern Egypt Region, particularly in Aswan and Alexandria, can apply the findings of this study. Future research on thermal comfort in the outdoors should take regional climatic variations into account. More research is required to determine whether the results can be applied to other regions of Egypt and other regions of the world with similar climates.
Author Contributions
Conceptualization, M.H.H.A. and F.A.; methodology, M.H.H.A. and A.R.; software, F.A.; validation, M.H.H.A. and F.A.; formal analysis, A.R. and O.H.; investigation, A.R. and O.H.; resources, M.A.; data curation, F.A.; writing—original draft preparation, F.A.; writing—review and editing, M.H.H.A. and M.A.; visualization, F.A.; supervision, M.H.H.A. and A.R.; project administration, M.H.H.A.; funding acquisition, M.H.H.A. All authors have read and agreed to the published version of the manuscript.
Funding
This research has been funded by the Research Deanship at the University of Hail—Saudi Arabia through project number RG-21 066.
Institutional Review Board Statement
Not applicable.
Informed Consent Statement
Not applicable.
Data Availability Statement
Not applicable.
Conflicts of Interest
The authors declare no conflict of interest.
References
- Ruiz, M.A.; Sosa, M.B.; Correa, E.N.; Cantón, M.A. Design tool to improve daytime thermal comfort and nighttime cooling of urban canyons. Landsc. Urban Plan. 2017, 167, 249–256. [Google Scholar] [CrossRef]
- Shishegar, N. Street Design and Urban Microclimate: Analyzing the Effects of Street Geometry and Orientation on Airflow and Solar Access in Urban Canyons. J. Clean Energy Technol. 2013, 1, 52–56. [Google Scholar] [CrossRef]
- Chen, L.; Ng, E. Outdoor thermal comfort and outdoor activities: A review of research in the past decade. Cities 2012, 29, 118–125. [Google Scholar] [CrossRef]
- Hssan Hassan Abdelhafez, M. The Degree of Urban Patterns Compactness as a Passive Cooling Strategy in Hot Desert Climate “Wadi Karkar Villages—Aswan as a Case Study”. JES J. Eng. Sci. 2018, 46, 617–629. [Google Scholar] [CrossRef]
- Deng, J.Y.; Wong, N.H. Impact of urban canyon geometries on outdoor thermal comfort in central business districts. Sustain. Cities Soc. 2020, 53, 101966. [Google Scholar] [CrossRef]
- Jamei, E.; Rajagopalan, P.; Seyedmahmoudian, M.; Jamei, Y. Review on the impact of urban geometry and pedestrian level greening on outdoor thermal comfort. In Renewable and Sustainable Energy Reviews; Elsevier Ltd.: Amsterdam, The Netherlands, 2016. [Google Scholar] [CrossRef]
- Shafaghat, A.; Manteghi, G.; Keyvanfar, A.; Bin Lamit, H.; Saito, K.; Ossen, D.R. Street geometry factors influence urban microclimate in tropical coastal cities: A review. In Environmental and Climate Technologies; Riga Technical University: Riga, Latvia, 2016. [Google Scholar] [CrossRef]
- Nicholson, S.E. A pollution model for street-level air. Atmos. Environ. 1975, 9, 19–31. [Google Scholar] [CrossRef]
- Vardoulakis, S.; Fisher, B.E.A.; Pericleous, K.; Gonzalez-Flesca, N. Modelling air quality in street canyons: A review. Atmos. Environ. 2003, 37, 155–182. [Google Scholar] [CrossRef]
- Oke, T.R. Street design and urban canopy layer climate. Energy Build. 1988, 11, 103–113. [Google Scholar] [CrossRef]
- Ahmad, K.; Khare, M.; Chaudhry, K.K. Wind tunnel simulation studies on dispersion at urban street canyons and intersections—A review. J. Wind. Eng. Ind. Aerodyn. 2005, 93, 697–717. [Google Scholar] [CrossRef]
- Qaid, A.; Ossen, D.R. Effect of asymmetrical street aspect ratios on microclimates in hot, humid regions. Int. J. Biometeorol. 2015, 59, 657–677. [Google Scholar] [CrossRef]
- Chatzidimitriou, A.; Yannas, S. Street canyon design and improvement potential for urban open spaces; the influence of canyon aspect ratio and orientation on microclimate and outdoor comfort. Sustain. Cities Soc. 2017, 33, 85–101. [Google Scholar] [CrossRef]
- Jamei, E.; Rajagopalan, P. Effect of street design on pedestrian thermal comfort. Archit. Sci. Rev. 2019, 62, 92–111. [Google Scholar] [CrossRef]
- Arnfield, A.J. Street design and urban canyon solar access. Energy Build. 1990, 14, 117–131. [Google Scholar] [CrossRef]
- Johansson, E.; Emmanuel, R. The influence of urban design on outdoor thermal comfort in the hot, humid city of Colombo, Sri Lanka. Int. J. Biometeorol. 2006, 51, 119–133. [Google Scholar] [CrossRef]
- Muniz-Gäal, L.P.; Pezzuto, C.C.; Carvalho, M.F.H.d.; Mota, L.T. Urban geometry and the microclimate of street canyons in tropical climate. Build. Environ. 2020, 169, 106547. [Google Scholar] [CrossRef]
- Albdour, M.S.; Baranyai, B. An overview of microclimate tools for predicting the thermal comfort, meteorological parameters and design strategies in outdoor spaces. Pollack Period. 2019, 14, 109–118. [Google Scholar] [CrossRef]
- Martinelli, L.; Matzarakis, A. Influence of height/width proportions on the thermal comfort of courtyard typology for Italian climate zones. Sustain. Cities Soc. 2017, 29, 97–106. [Google Scholar] [CrossRef]
- Bourbia, F.; Awbi, H.B. Building cluster and shading in urban canyon for hot dry climate Part 1: Air and surface temperature measurements. Renew. Energy 2004, 29, 249–262. [Google Scholar] [CrossRef]
- Johansson, E. Influence of urban geometry on outdoor thermal comfort in a hot dry climate: A study in Fez, Morocco. Build. Environ. 2006, 41, 1326–1338. [Google Scholar] [CrossRef]
- Jihad, A.S.; Tahiri, M. Modeling the urban geometry influence on outdoor thermal comfort in the case of Moroccan microclimate. Urban Clim. 2016, 16, 25–42. [Google Scholar] [CrossRef]
- Hegazy, I.R.; Qurnfulah, E.M. Thermal comfort of urban spaces using simulation tools exploring street orientation influence of on the outdoor thermal comfort: A case study of Jeddah, Saudi Arabia. Int. J. Low-Carbon Technol. 2020, 15, 594–606. [Google Scholar] [CrossRef]
- Nasrollahi, N.; Namazi, Y.; Taleghani, M. The effect of urban shading and canyon geometry on outdoor thermal comfort in hot climates: A case study of Ahvaz, Iran. Sustain. Cities Soc. 2021, 65, 102638. [Google Scholar] [CrossRef]
- Ali-Toudert, F.; Mayer, H. Effects of asymmetry, galleries, overhanging façades and vegetation on thermal comfort in urban street canyons. Sol. Energy 2007, 81, 742–754. [Google Scholar] [CrossRef]
- Huang, K.T.; Yang, S.R.; Matzarakis, A.; Lin, T.P. Identifying outdoor thermal risk areas and evaluation of future thermal comfort concerning shading orientation in a traditional settlement. Sci. Total Environ. 2018, 626, 567–580. [Google Scholar] [CrossRef] [PubMed]
- Ali-Toudert, F.; Mayer, H. Numerical study on the effects of aspect ratio and orientation of an urban street canyon on outdoor thermal comfort in hot and dry climate. Build. Environ. 2006, 41, 94–108. [Google Scholar] [CrossRef]
- Srivanit, M.; Jareemit, D. Modeling the influences of layouts of residential townhouses and tree-planting patterns on outdoor thermal comfort in Bangkok suburb. J. Build. Eng. 2020, 30, 101262. [Google Scholar] [CrossRef]
- Chatzidimitriou, A.; Axarli, K. Street Canyon Geometry Effects on Microclimate and Comfort; a Case Study in Thessaloniki. Procedia Environ. Sci. 2017, 38, 643–650. [Google Scholar] [CrossRef]
- De, B.; Mukherjee, M. “Optimisation of canyon orientation and aspect ratio in warm-humid climate: Case of Rajarhat Newtown, India”. Urban Clim. 2018, 24, 887–920. [Google Scholar] [CrossRef]
- Mahmoud, H.; Ragab, A. Urban geometry optimization to mitigate climate change: Towards energy-efficient buildings. Sustainability 2021, 13, 27. [Google Scholar] [CrossRef]
- Ibrahim, Y.; Kershaw, T.; Shepherd, P.; Coley, D. On the optimisation of urban form design, energy consumption and outdoor thermal comfort using a parametric workflow in a hot arid zone. Energies 2021, 14, 4026. [Google Scholar] [CrossRef]
- Fahmy, M.; Sharples, S. On the development of an urban passive thermal comfort system in Cairo, Egypt. Build. Environ. 2009, 44, 1907–1916. [Google Scholar] [CrossRef]
- Galal, O.M.; Sailor, D.J.; Mahmoud, H. The impact of urban form on outdoor thermal comfort in hot arid environments during daylight hours, case study: New Aswan. Build. Environ. 2020, 184, 107222. [Google Scholar] [CrossRef]
- El-Bardisy, W.M.; Fahmy, M.; El-Gohary, G.F. Climatic Sensitive Landscape Design: Towards a Better Microclimate through Plantation in Public Schools, Cairo, Egypt. Procedia Soc. Behav. Sci. 2016, 216, 206–216. [Google Scholar] [CrossRef]
- Abdallah, A.S.H. The Influence of Urban Geometry on Thermal Comfort and Energy Consumption in Residential Building of Hot Arid Climate, Assiut, Egypt. Procedia Eng. 2015, 121, 158–166. [Google Scholar] [CrossRef]
- Wahba, S.; Kamil, B.; Nassar, K.; Abdelsalam, A. Green Envelop Impact on Reducing Air Temperature and Enhancing Outdoor Thermal Comfort in Arid Climates. Civ. Eng. J. 2019, 5, 1124–1135. [Google Scholar] [CrossRef]
- Mahmoud, A.R.A.; Aly, A.M.; Hassan, M.H. Evaluating the Thermal Performance of Urban Spaces in Aswan City “A Case Study of Saad Zaghloul Street. JES J. Eng. Sci. 2015, 43, 766–782. [Google Scholar] [CrossRef]
- Mahmoud, A.H. An analysis of bioclimatic zones and implications for design of outdoor built environments in Egypt. Build. Environ. 2011, 46, 605–620. [Google Scholar] [CrossRef]
- Ragab, A.; Abdelrady, A. Impact of green roofs on energy demand for cooling in Egyptian buildings. Sustainability 2020, 12, 5729. [Google Scholar] [CrossRef]
- Abdelhafez, M.H.H. Green residential districts in hot desert climate towards low energy consumption. J. Eng. Appl. Sci. 2018, 65, 1–21. [Google Scholar]
- Gaber, N.; Ibrahim, A.B.; Rashad, A.; Wahba, E.; El-Sayad, Z.; Bakr, A.F. Improving pedestrian microclimate in urban canyons: City Center of Alexandria, Egypt. Urban Clim. 2020, 34, 100670. [Google Scholar] [CrossRef]
- Herrmann, J.; Matzarakis, A. Mean radiant temperature in idealised urban canyons-examples from Freiburg, Germany. Int. J. Biometeorol. 2012, 56, 199–203. [Google Scholar] [CrossRef] [PubMed]
- Hodder, S.G.; Parsons, K. The effects of solar radiation on thermal comfort. Int. J. Biometeorol. 2007, 51, 233–250. [Google Scholar] [CrossRef] [PubMed]
- Höppe, P. The physiological equivalent temperature—A universal index for the bio meteorological assessment of the thermal environment. Int. J. Biometeorol. 1999, 43, 71–75. [Google Scholar] [CrossRef]
- Matzarakis, A.; Mayer, H.; Iziomon, M.G. Applications of a universal thermal index: Physiological equivalent temperature. Int. J. Biometeorol. 1999, 43, 76–84. [Google Scholar] [CrossRef] [PubMed]
- Barakat, A.; Ayad, H.; El-Sayed, Z. Urban design in favor of human thermal comfort for hot arid climate using advanced simulation methods. Alex. Eng. J. 2017, 56, 533–543. [Google Scholar] [CrossRef]
- Lau, K.K.L.; Lindberg, F.; Rayner, D.; Thorsson, S. The effect of urban geometry on mean radiant temperature under future climate change: A study of three European cities. Int. J. Biometeorol. 2015, 59, 799–814. [Google Scholar] [CrossRef] [PubMed]
- Ayyad, Y.N.; Sharples, S. Envi-MET validation and sensitivity analysis using field measurements in a hot arid climate. In IOP Conference Series: Earth and Environmental Science; Institute of Physics Publishing: Bristol, UK, 2019; Volume 329. [Google Scholar] [CrossRef]
- Middel, A.; Häb, K.; Brazel, A.J.; Martin, C.A.; Guhathakurta, S. Impact of urban form and design on mid-afternoon microclimate in Phoenix Local Climate Zones. Landsc. Urban Plan. 2014, 122, 16–28. [Google Scholar] [CrossRef]
- Sharmin, T.; Steemers, K.; Matzarakis, A. Microclimatic modelling in assessing the impact of urban geometry on urban thermal environment. Sustain. Cities Soc. 2017, 34, 293–308. [Google Scholar] [CrossRef]
- Berkovic, S.; Yezioro, A.; Bitan, A. Study of thermal comfort in courtyards in a hot arid climate. Sol. Energy 2012, 86, 1173–1186. [Google Scholar] [CrossRef]
- Matzarakis, A.; Hämmerle, M.; Endler, C.; Muthers, S.; Koch, E. Assessment of tourism and recreation destinations under climate change conditions in Austria. Meteorol. Z. 2012, 21, 157–165. [Google Scholar] [CrossRef]
- Ndetto, E.L.; Matzarakis, A. Basic analysis of climate and urban bioclimate of Dar es Salaam, Tanzania. Theor. Appl. Climatol. 2013, 114, 213–226. [Google Scholar] [CrossRef]
- Gulyás, Á.; Matzarakis, A. Seasonal and spatial distribution of physiologically equivalent temperature (PET) index in Hungary. Idojaras 2009, 113, 221–231. [Google Scholar]
- Ndetto, E.L.; Matzarakis, A. Effects of urban configuration on human thermal conditions in a typical tropical African coastal city. Adv. Meteorol. 2013, 2013, 549096. [Google Scholar] [CrossRef]
- Yilmaz, S.; Külekçi, E.A.; Mutlu, B.E.; Sezen, I. Analysis of winter thermal comfort conditions: Street scenarios using ENVI-met model. Environ. Sci. Pollut. Res. 2021, 28, 63837–63859. [Google Scholar] [CrossRef]
- Chen, Y.C.; Lin, T.P.; Matzarakis, A. Comparison of mean radiant temperature from field experiment and modelling: A case study in Freiburg, Germany. Theor. Appl. Climatol. 2014, 118, 535–551. [Google Scholar] [CrossRef]
- Jeong, D.; Park, K.; Song, B. A Comparison between In-situ PET and ENVI-met PET for Evaluating Outdoor Thermal Comfort. KIEAE J. 2016, 16, 11–19. [Google Scholar] [CrossRef]
- Mahmoud, H.; Ghanem, H.; Sodoudi, S. Urban geometry as an adaptation strategy to improve the outdoor thermal performance in hot arid regions: Aswan University as a case study. Sustain. Cities Soc. 2021, 71, 102965. [Google Scholar] [CrossRef]
- Yang, F.; Qian, F.; Lau, S.S.Y. Urban form and density as indicators for summertime outdoor ventilation potential: A case study on high-rise housing in Shanghai. Build. Environ. 2013, 70, 122–137. [Google Scholar] [CrossRef]
- Yahia, M.W.; Johansson, E. Evaluating the behaviour of different thermal indices by investigating various outdoor urban environments in the hot dry city of Damascus, Syria. Int. J. Biometeorol. 2013, 57, 615–630. [Google Scholar] [CrossRef]
- Samir, N.; El Maksoud, R.A.B.D.; Maarof, I. Impact of building regulations on the urban fabric of the city: Case study of Alexandria, Egypt. WIT Trans. Ecol. Environ. 2019, 238, 581–592. [Google Scholar] [CrossRef] [Green Version]
Publisher’s Note: MDPI stays neutral with regard to jurisdictional claims in published maps and institutional affiliations. |
© 2022 by the authors. Licensee MDPI, Basel, Switzerland. This article is an open access article distributed under the terms and conditions of the Creative Commons Attribution (CC BY) license (https://creativecommons.org/licenses/by/4.0/).



