Does Resilience Exist in China’s Tourism Economy? From the Perspectives of Resistance and Recoverability
Abstract
:1. Introduction
2. Literature Review
2.1. Economic Resilience
2.1.1. Concept
2.1.2. Evaluation Method
2.1.3. Influencing Factors
2.2. Tourism and Resilience
3. Research Design
3.1. Data Sources
3.2. Method
3.2.1. Basic Model
3.2.2. Peaks-over-Threshold Model
3.2.3. Geographical Detector Model
- (1)
- Factor detector
- (2)
- Interactive detector
4. Results
4.1. Cycle Division of Tourism Economic Resilience
4.2. Evaluation of Tourism Economic Resilience
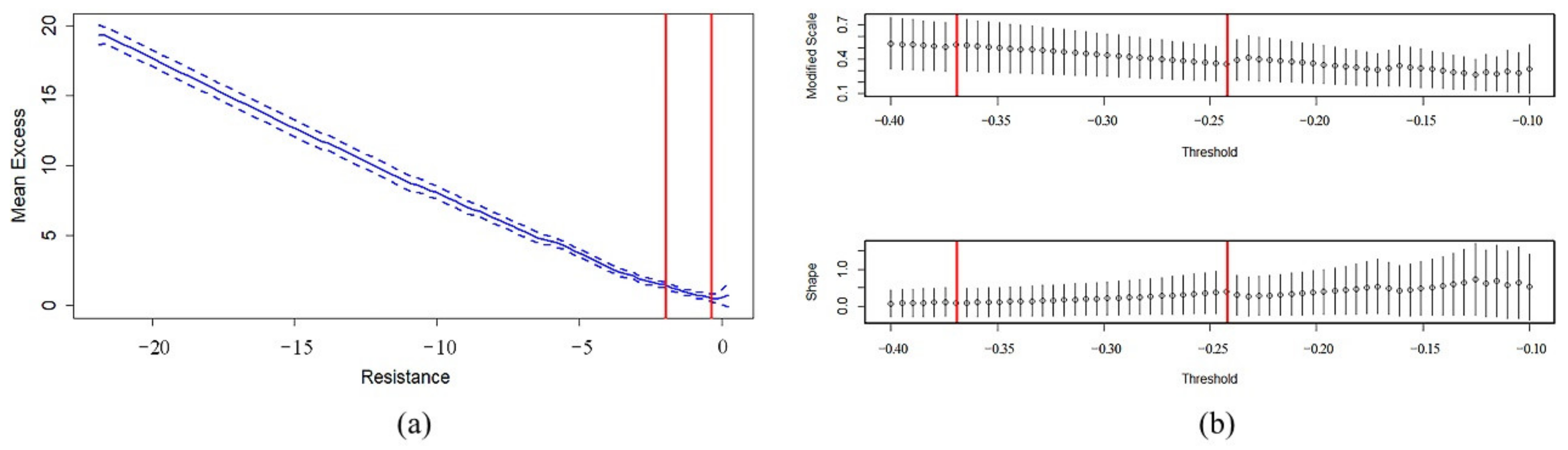
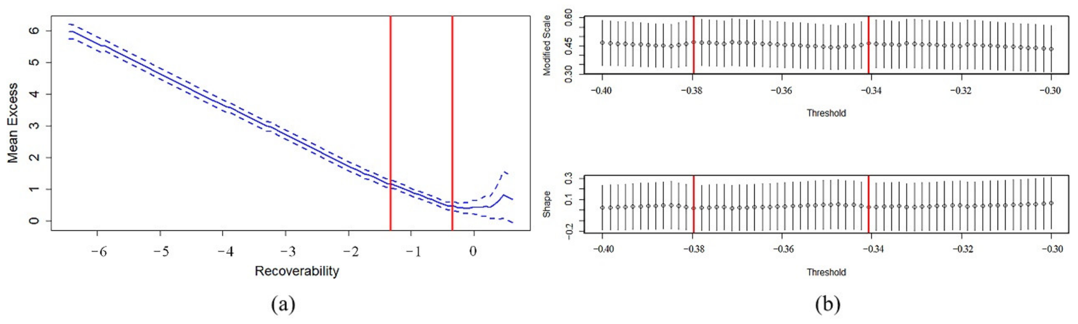
4.2.1. Establishment of Resilience Baseline for Tourism Economy
4.2.2. Types of Tourism Economic Resilience
4.2.3. Temporal Evolution of Tourism Economic Resilience
4.2.4. Spatial Differences in Tourism Economic Resilience
4.3. Influencing Factor Detection
4.3.1. Indicator Selection
4.3.2. Detection Results of Influencing Factors
5. Discussion
5.1. Explanation of Findings
5.2. Policy Implications
5.3. Limitations and Future Prospects
Author Contributions
Funding
Institutional Review Board Statement
Informed Consent Statement
Data Availability Statement
Acknowledgments
Conflicts of Interest
References
- Singh, S. ‘Quixotic’ tourism? Safety, ease, and heritage in post-COVID world tourism. J. Herit. Tour. 2020, 16, 716–721. [Google Scholar] [CrossRef]
- Gössling, S.; Scott, D.; Hall, C.M. Pandemics, tourism and global change: A rapid assessment of COVID-19. J. Sustain. Tour. 2020, 29, 1–20. [Google Scholar] [CrossRef]
- World Tourism Cities Federation. World Tourism Economic Trends Report. Available online: http://media.wtcf.org.cn/M00/02/5B/-rBFBuGIlfdOALaUGAFgS0N2EI7c480.pdf (accessed on 2 March 2022).
- Jin, X.; Qu, M.Y.; Bao, J.G. Impact of crisis events on Chinese outbound tourist flow: A framework for post-events growth. Tour. Manag. 2019, 74, 334–344. [Google Scholar] [CrossRef] [PubMed]
- Watson, P.; Deller, S. Tourism and economic resilience. Tour. Econ. 2021, 28, 5. [Google Scholar] [CrossRef]
- Xie, W.; Rose, A.; Li, S.T.; He, J.W. Dynamic economic resilience and economic recovery from disasters: A quantitative assessment. Risk Anal. 2018, 38, 1306–1318. [Google Scholar] [CrossRef]
- Pascariu, G.C.; Ibănescu, B.-C.; Nijkamp, P.; Kourtit, K. Tourism and Economic Resilience: Implications for Regional Policies; Springer: Singapore, 2021. [Google Scholar]
- Betts, T.; Buzzanell, P.M. Enacting economic resilience: A synthesis of economic and communication frameworks. J. Risk Financ. Manag. 2022, 15, 178. [Google Scholar] [CrossRef]
- Holling, C.S. Resilience and stability of ecological systems. Annu. Rev. Ecol. Syst. 1973, 4, 1–23. [Google Scholar] [CrossRef]
- Folke, C. Resilience: The emergence of a perspective for social-ecological systems analyses. Glob. Environ. Chang. 2006, 16, 253–267. [Google Scholar] [CrossRef]
- Tobias, L.; Romano, W. Assessing and planning resilience in tourism. Tour. Manag. 2014, 44, 161–163. [Google Scholar]
- Reggiani, A.; Graaff, T.D.; Nijkamp, P. Resilience: An evolutionary approach to spatial economic systems. Netw. Spat. Econ. 2002, 2, 211–229. [Google Scholar] [CrossRef]
- Pike, A.; Dawley, S.; Tomaney, J. Resilience, adaptation and adaptability. Camb. J. Reg. Econ. Soc. 2010, 3, 59–70. [Google Scholar] [CrossRef]
- Simmie, J.; Martin, R. The economic resilience of regions: Towards an evolutionary approach. Camb. J. Reg. Econ. Soc. 2010, 3, 27–43. [Google Scholar] [CrossRef]
- Boschma, R. Towards an evolutionary perspective on regional resilience. Reg. Stud. 2015, 49, 733–751. [Google Scholar] [CrossRef]
- Shaw, K.; Maythorne, L. Managing for local resilience: Towards a strategic approach. Public Policy Admin. 2013, 28, 43–65. [Google Scholar] [CrossRef]
- Martin, R.; Sunley, P.; Tyler, P. Local growth evolutions: Recession, resilience and recovery. Camb. J. Reg. Econ. Soc. 2015, 8, 141–148. [Google Scholar] [CrossRef]
- Davies, S. Regional resilience in the 2008–2010 downturn: Comparative evidence from European countries. Camb. J. Reg. Econ. Soc. 2011, 4, 369–382. [Google Scholar] [CrossRef]
- Yu, H.C.; Liu, Y.; Liu, C.L.; Fan, F. Spatiotemporal Variation and Inequality in China’s Economic Resilience across Cities and Urban Agglomerations. Sustainability 2019, 10, 4754. [Google Scholar] [CrossRef]
- Tan, J.T.; Zhang, P.Y.; Lo, K.; Li, J.; Liu, S.W. Conceptualizing and measuring economic resilience of resource-based cities: Case study of Northeast China. Chin. Geogr. Sci. 2017, 27, 471–481. [Google Scholar] [CrossRef]
- Liu, Y.; Ji, J.; Zhang, Y.; Yang, Y. Economic resilience and spatial divergence in the Guangdong-Hong Kong-Macao Greater Bay Area in China. Geogr. Res. 2020, 39, 2029–2043. [Google Scholar]
- Briguglio, L.; Cordina, G.; Farrugia, N.; Vella, S. Economic vulnerability and resilience: Concepts and measurements. Oxf. Dev. Stud. 2009, 37, 229–247. [Google Scholar] [CrossRef]
- Wang, W.L.; Wang, J.L.; Wulaer, S.; Chen, B.; Yang, X.D. The effect of innovative entrepreneurial vitality on economic resilience based on a spatial perspective: Economic policy uncertainty as a moderating variable. Sustainability 2021, 13, 10677. [Google Scholar] [CrossRef]
- Brakman, S.; Garretsen, H.; Van Marrewijk, C. Regional resilience across Europe: On urbanization and the initial impact of the Great Recession. Camb. J. Reg. Econ. Soc. 2015, 2, 309–312. [Google Scholar] [CrossRef] [Green Version]
- Cellini, R.; Torrisi, G. Regional resilience in Italy: A very long-run analysis. Reg. Stud. 2014, 48, 1779–1796. [Google Scholar] [CrossRef]
- Martin, R.; Sunley, P.; Gardiner, B.; Tyler, P. How regions react to recessions: Resilience and the role of economic structure. Reg. Stud. 2016, 50, 561–585. [Google Scholar] [CrossRef]
- Nystrom, K. Regional resilience to displacements. Reg. Stud. 2017, 52, 1–19. [Google Scholar] [CrossRef]
- Doran, J.; Fingleton, B. Us metropolitan area resilience: Insights from dynamic spatial panel estimation. Environ. Plan. A 2018, 50, 111–132. [Google Scholar] [CrossRef]
- Klimanov, V.V.; Kazakova, S.M.; Mikhaylova, A.A. Regional resilience: Theoretical basics of the question. Ekon. Polit. 2019, 13, 164–187. [Google Scholar]
- Pendall, R.; Foster, K.A.; Cowell, M. Resilience and regions: Building understanding of the metaphor. Camb. J. Reg. Econ. Soc. 2010, 3, 71–84. [Google Scholar] [CrossRef]
- Di Caro, P.; Fratesi, U. Regional determinants of economic resilience. Ann. Reg. Sci. 2018, 60, 235–240. [Google Scholar] [CrossRef]
- Courvisanos, J.; Jain, A.; Marcdaneh, K.K. Economic resilience of regions under crises: A study of the Australian economy. Reg. Stud. 2015, 50, 1–15. [Google Scholar] [CrossRef]
- Blland, P.A.; Rigby, D.; Boschma, R. The technological resilience of US cities. Camb. J. Reg. Econ. Soc. 2015, 8, 167–184. [Google Scholar] [CrossRef]
- Capello, R.; Caragliu, A.; Fratesiu, U. Spatial heterogeneity in the costs of the economic crisis in Europe: Are cites sources of regional resilience? J. Econ. Geogr. 2015, 15, 951–983. [Google Scholar] [CrossRef]
- Senser, A.M.; Gilian, B.; Adrian, H. Measuring regional economic resilience across Europe: Operationalizing a complex concept. Spat. Econ. Anal. 2016, 11, 128–151. [Google Scholar] [CrossRef]
- Sharma, G.D.; Thomas, A.; Paul, J. Reviving tourism industry post-COVID-19: A resilience-based framework. Tour. Manag. Perspect. 2021, 37, 100786. [Google Scholar] [CrossRef] [PubMed]
- World Tourism Organization. International Tourism Numbers Could Fall 60–80% in 2020. Available online: https://www.unwto.org/news/covid-19-international-tourist-numbers-could-fall-60-80-in-2020 (accessed on 7 May 2020).
- Espiner, S.; Orchiston, C.; Higham, J. Resilience and sustainability: A complementary relationship? Towards a practical conceptual model for the sustainability-resilience nexus in tourism. J. Sustain. Tour. 2017, 25, 385–1400. [Google Scholar]
- Farrell, B.; Twining-Ward, L. Seven steps towards sustainability: Tourism in the context of new knowledge. Sustainability 2005, 13, 109–122. [Google Scholar] [CrossRef]
- Prayag, G. Symbiotc relationship or not? Understanding resilience and crisis management in tourism. J. Tour. Manag. Perspect. 2018, 25, 133–145. [Google Scholar]
- Lew, A.A. Scale, change and resilience in community tourism planning. Tour. Geogr. 2014, 16, 14–22. [Google Scholar] [CrossRef]
- Linnenluecke, M.K. Resilience in Business and Management Research: A Review of Influential Publications and a Research Agenda. Int. J. Manag. Rev. 2017, 19, 4–30. [Google Scholar] [CrossRef]
- Tan, J.T.; Lo, K.; Qiu, F.D.; Zhang, X.L.; Zhao, H.B. Regional economic resilience of resource-based cities and influential factors during economic crises in China. Growth Chang. 2020, 51, 362–381. [Google Scholar] [CrossRef]
- Wang, T.; Yang, Z.P.; Chen, X.D.; Han, F. Bibliometric analysis and literature review of tourism destination resilience research. Int. J. Environ. Res. Public Health 2022, 19, 5562. [Google Scholar] [CrossRef]
- Roberto, C.; Tiziana, C. The economic resilience of tourism industry in Italy: What the ‘great recession’ data show. Tour. Manag. Perspect. 2015, 16, 346–356. [Google Scholar]
- Sheppard, V.A.; Williams, P.W. Factors that strengthen tourism resort resilience. J. Hosp. Tour. Manag. 2016, 28, 20–30. [Google Scholar] [CrossRef]
- King, C.; Iba, W.; Clifton, J. Reimagining resilience: COVID-19 and marine tourism in Indonesia. Curr. Issues Tour. 2021, 24, 2784–2800. [Google Scholar] [CrossRef]
- Stefan, H. Towards adaptive tourism areas? A complexity perspective to examine the conditions for adaptive capacity. J. Sustain. Tour. 2016, 24, 299–314. [Google Scholar]
- Yang, E.J.; Kim, J.; Pennington-Gray, L.; Ash, K. Does tourism matter in measuring community resilience? Ann. Tour. Res. 2021, 89, 103222. [Google Scholar] [CrossRef]
- Schmude, J.; Zavareh, S.; Schwaiger, K.M.; Karl, M. Micro-level assessment of regional and local disaster impacts in tourist destinations. Tour. Geogr. 2018, 20, 290–308. [Google Scholar] [CrossRef]
- Strickland-Munro, J.; Moore, S. Exploring the impacts of protected area tourism on local communities using a resilience approach. Koedoe 2014, 56, 1–10. [Google Scholar] [CrossRef]
- Wakil, M.A.; Sun, Y.; Chan, E.H.W. Co-flourishing: Intertwining community resilience and tourism development in destination communities. Tour. Manag. Perspect. 2021, 38, 100803. [Google Scholar] [CrossRef]
- Tsai, C.H.; Wu, T.C.; Wall, G. Perceptions of tourism impacts and community resilience to natural disasters. Tour. Geogr. 2016, 18, 152–173. [Google Scholar] [CrossRef]
- Yang, X.P.; Zhang, D.C.; Liu, L.L.; Niu, J.; Zhang, X.B. Development trajectory for the temporal and spatial evolution of the resilience of regional tourism environmental systems in 14 cities of Gansu Province, China. Environ. Sci. Pollut. Res. 2021, 28, 65094–65115. [Google Scholar] [CrossRef] [PubMed]
- Ruiz-Ballesteros, E.; Tejedor, A.D. Community-based tourism as a factor in socio-ecological resilience. economic diversification and community participation in Floreana (Galapagos). Sustainability 2020, 12, 4724. [Google Scholar] [CrossRef]
- Li, C.; Jun, Z. ls tourism development a catalyst of economic recovery following natural disaster? An analysis of economic resilience and spatial variability. Curr. Issues Tour. 2020, 23, 2602–2623. [Google Scholar]
- Cui, W.J.; Chen, J.; Xue, T.; Shen, H. The economic resilience cycle evolution and spatial-temporal difference of tourism industry in Guangdong-Hong Kong-Macao Greater Bay Area from 2000 to 2019. Sustainability 2021, 13, 12092. [Google Scholar] [CrossRef]
- Hu, H.S.; Qiao, X.Z.; Yang, Y.; Zhang, L. Developing a resilience evaluation index for cultural heritage site: Case study of Jiangwan Town in China. Asia Pac. J. Tour. Res. 2021, 26, 15–29. [Google Scholar] [CrossRef]
- Dai, S.S.; Xu, H.G.; Chen, F.F. A hierarchical measurement model of perceived resilience of urban tourism destination. Soc. Indic. Res. 2019, 145, 777–804. [Google Scholar] [CrossRef]
- Linderova, I.; Scholz, P.; Almeida, N. Attitudes of local population towards the impacts of tourism development: Evidence from Czechia. Front. Psychol. 2021, 12, 684773. [Google Scholar] [CrossRef]
- Partanen, M. Social innovations for resilience-local tourism actor perspectives in Kemi, Finland. Tour. Plan. Dev. 2021. [Google Scholar] [CrossRef]
- Leon, C.J.; Giannakis, E.; Zittis, G.; Serghides, D.; Lam-Gonzalez, Y.E.; Garcia, C. Tourists’ preferences for adaptation measures to build climate resilience at coastal destinations. evidence from Cyprus. Tour. Plan. Dev. 2021. [Google Scholar] [CrossRef]
- Tsao, C.Y.; Ni, C.C. Vulnerability, resilience, and the adaptive cycle in a crisis-prone tourism community. Tour. Geogr. 2016, 18, 80–105. [Google Scholar] [CrossRef]
- Bui, P.T.B.; Ngo, T.P.Q. Factors impacting on tourism resilience during the COVID-19 pandemic: An empirical study from Vietnam. J. Asian Financ. Econ. Bus. 2022, 9, 213–218. [Google Scholar]
- Wang, Q.; Zhao, L.; Yu, W.; Li, J.; Wang, L.F. Spatial-Temporal evolution characteristics and influencing factors of resilience of tourism economic system in China. Geog. Geo-Inf. Sci. 2020, 36, 113–118. (In Chinese) [Google Scholar]
- Zhu, Y.Q.; Wang, Y.; Liu, T.X.; Sui, Q. Assessing macroeconomic recovery after a natural hazard based on ARIMA-a case study of the 2008 Wenchuan earthquake in China. Nat. Hazards 2018, 91, 1025–1038. [Google Scholar] [CrossRef]
- Xie, W.; Deng, Z.; Yang, X. ARIMA Model Based Residual Quantity Predicted Commodity Code Registration Method, Involves Utilizing ARIMA Model to Fit Commodity Bar Code Registration Sequence, and Judging whether Established ARIMA Model is Reasonable. China Patent CN106372960-A, 1 February 2017. [Google Scholar]
- Jiang, D.Y.; Wang, X.Y.; Zhao, R. Analysis on the Economic Recovery in the Post-COVID-19 Era: Evidence from China. Front. Public Health 2022, 9, 787190. [Google Scholar] [CrossRef]
- Li, L.G.; Zhang, P.Y.; Li, X. regional economic resilience of the old industrial bases in China: A case study of Liaoning province. Sustainability 2019, 11, 723. [Google Scholar] [CrossRef]
- Zhang, Y.; Zhang, J.; Wang, K.; Wu, X. An empirical perception of economic resilience responded to the COVID-19 epidemic outbreak in Beijing-Tianjin-Hebei urban agglomeration, China: Characterization and interaction. Int. J. Environ. Res. Public Health 2021, 18, 10532. [Google Scholar] [CrossRef]
- Zheng, L.; Ismail, K.; Meng, X.H. Freeway safety estimation using extreme value theory approaches: A comparative study. Accid. Anal. Prev. 2014, 62, 32–41. [Google Scholar] [CrossRef]
- Wang, J.F.; Xu, C.D. Geodetector: Principle and prospective. Acta Geogr. Sin. 2017, 72, 116–134. (In Chinese) [Google Scholar]
- Bao, J.G. The Impact of COVID-19: How will tourism situation in China at the post-pandemic stage? J. Glob. Chang. Data Disc. 2020, 4, 11–15. (In Chinese) [Google Scholar]
- Oliva, S.; Lazzereti, L. Measuring the economic resilience of natural disasters: An analysis of major earthquakes in Japan. City Cult. Soc. 2018, 15, 53–59. [Google Scholar] [CrossRef]
- Martin, R. Regional economic resilience, hysteresis and recessionary shocks. J. Econ. Geogr. 2012, 12, 1–32. [Google Scholar] [CrossRef]
- Zeng, B. Evaluation of China’s Provincial Economic Resilience Under the Impact of COVID-19 Epidemic. J. Ind. Tech. Ecol. 2021, 40, 127–133. (In Chinese) [Google Scholar]
- Cochrane, J. The Sphere of Tourism Resilience. Tour. Rec. Res. 2010, 35, 173–185. [Google Scholar] [CrossRef]
- Chistopherson, S.; Michie, J.; Tyler, P. Regional resilience: Theoretical and empirical perspectives. Camb. J. Reg. Econ. Soc. 2010, 3, 3–10. [Google Scholar] [CrossRef]
- Petrakos, G.; Psycharis, Y. The spatial aspects of economic crisis in Greece. Camb. J. Reg. Econ. Soc. 2015, 9, 137–152. [Google Scholar] [CrossRef]
- Palaskas, T.; Psycharis, Y.; Rovolis, A.; Stoforos, C. The asymmetrical impact of the economic crisis on unemployment and welfare in Greek urban economies. J. Econ. Geogr. 2015, 15, 973–1007. [Google Scholar] [CrossRef]
- Tan, J.T.; Zhao, H.B.; Liu, W.X. Regional economic resilience and influential mechanism during economic crises in China. Sci. Geogra. Sin. 2020, 40, 173–181. (In Chinese) [Google Scholar]
- Chapple, K.; Lester, T. The resilient regional labour market? The US case. Reg. Stud. 2010, 3, 85–104. [Google Scholar] [CrossRef]
- Eraydin, A. Attributes and characteristics of regional resilience: Defining and measuring the resilience of Turkish regions. Reg. Stud. 2016, 50, 600–614. [Google Scholar] [CrossRef]
- Ma, X.F.; Tan, J.X.; Huang, J. Study on the agglomeration process and influencing factors of regional tourism industry: A case of the western hunan. Tour. Trib. 2021, 36, 13–27. (In Chinese) [Google Scholar]
- Raju, V. Implementing flexible systems in doctoral viva defense through virtual mechanism. Glob. J. Flex. Syst. Manag. 2021, 22, 127–139. [Google Scholar] [CrossRef]







| Criterions | Function Types |
|---|---|
| q(X1∩X2) < Min(q(X1),q(X2)) | Non-linear attenuation |
| Min(q(X1)∩q(X1)) < q(X1∩X2) < Max(q(X1),q(X2)) | One-factor non-linear attenuation |
| q(X1∩X2) > Max(q(X1),q(X2)) | Dual-factor enhancement |
| q(X1∩X2) = q(X1) + q(X2) | Independence |
| q(X1∩X2) > q(X1) + q(X2) | Non-linear enhancement |
| Types of Tourism Economic Resilience | Classification Criteria | Characteristics |
|---|---|---|
| Robust | Resistance > −0.361 and recoverability > 0.342 | Best state of resilience |
| Self-reliant | Resistance < −0.361 and recoverability > 0.342 | Good resilience, weak resistance |
| Laissez-faire | Resistance > −0.361 and recoverability<0.342 | Good resistance, difficult to recover and adjust |
| Fragile | Resistance < −0.361 and recoverability < 0.342 | Worst state of resilience |
| Code | Influencing Factors | Specific Indicators | Resistance | Recoverability | Average |
|---|---|---|---|---|---|
| X1 | Tourism market scale | Total number of arrivals (10,000 person-times) | 0.220 | 0.170 | 0.195 |
| X2 | Regional economic strength | Per capita GDP (CNY) | 0.235 | 0.100 | 0.168 |
| Location conditions | |||||
| X3 | Tourism industry structure | Contribution of tourism income per tourism employee (CNY) | 0.505 | 0.333 | 0.419 |
| Proportion of tourism employment to total employment (%) | |||||
| Proportion of inbound tourism trips to total tourism trips (%) | |||||
| Resident tourism consumption index | |||||
| X4 | Ecological environment quality | Forest coverage rate (%) | 0.634 | 0.410 | 0.522 |
| Per capita park green area (m2) | |||||
| X5 | Technological innovation level | Total import and export of high technology industry (USD 1 million) | 0.611 | 0.527 | 0.569 |
| Main business income of high-tech industry (CNY 100 million) | |||||
| X6 | Government management capacity | Per capita local fiscal expenditure (CNY 100 million) | 0.328 | 0.543 | 0.436 |
| Per capita total fixed asset investment (CNY) | |||||
| X7 | Tourism reception capacity | Total number of star hotels | 0.282 | 0.270 | 0.276 |
| Total number of travel agencies |
| Dimension | Resistance | Recoverability | ||
|---|---|---|---|---|
| Dominant interaction 1 | X1∩X4 | X3∩X5 | X1∩X3 | X3∩X7 |
| q | 0.973 | 0.959 | 0.962 | 0.973 |
| Dominant interaction 2 | X2∩X3 | X3∩X7 | X2∩X3 | X4∩X5 |
| q | 0.995 | 0.862 | 0.947 | 0.970 |
| Dominant interaction 3 | X2∩X4 | X4∩X5 | X3∩X4 | X4∩X6 |
| q | 0.989 | 0.996 | 0.892 | 0.968 |
| Dominant interaction 4 | X2∩X6 | X4∩X6 | X3∩X5 | X5∩X6 |
| q | 0.889 | 0.947 | 0.932 | 0.936 |
| Dominant interaction 5 | X3∩X4 | X4∩X7 | X3∩X6 | X6∩X7 |
| q | 0.979 | 0.914 | 0.992 | 0.924 |
Publisher’s Note: MDPI stays neutral with regard to jurisdictional claims in published maps and institutional affiliations. |
© 2022 by the authors. Licensee MDPI, Basel, Switzerland. This article is an open access article distributed under the terms and conditions of the Creative Commons Attribution (CC BY) license (https://creativecommons.org/licenses/by/4.0/).
Share and Cite
Zhang, P.; Huang, Y.; Pan, S.; Chen, W.; Zhong, H.; Xu, N.; Zhong, M. Does Resilience Exist in China’s Tourism Economy? From the Perspectives of Resistance and Recoverability. Sustainability 2022, 14, 10641. https://doi.org/10.3390/su141710641
Zhang P, Huang Y, Pan S, Chen W, Zhong H, Xu N, Zhong M. Does Resilience Exist in China’s Tourism Economy? From the Perspectives of Resistance and Recoverability. Sustainability. 2022; 14(17):10641. https://doi.org/10.3390/su141710641
Chicago/Turabian StyleZhang, Pengyang, Yanmei Huang, Sipei Pan, Wanxu Chen, Hui Zhong, Ning Xu, and Mingxing Zhong. 2022. "Does Resilience Exist in China’s Tourism Economy? From the Perspectives of Resistance and Recoverability" Sustainability 14, no. 17: 10641. https://doi.org/10.3390/su141710641
APA StyleZhang, P., Huang, Y., Pan, S., Chen, W., Zhong, H., Xu, N., & Zhong, M. (2022). Does Resilience Exist in China’s Tourism Economy? From the Perspectives of Resistance and Recoverability. Sustainability, 14(17), 10641. https://doi.org/10.3390/su141710641

