Effects of Prescribed Fire on Meadow Soil Chemical Properties in Nanwenghe Nature Reserve
Abstract
:1. Introduction
2. Materials and Methods
2.1. Study Area
2.2. Soil Sample Collection and Analysis
2.3. Meteorological Data Resources and Analysis
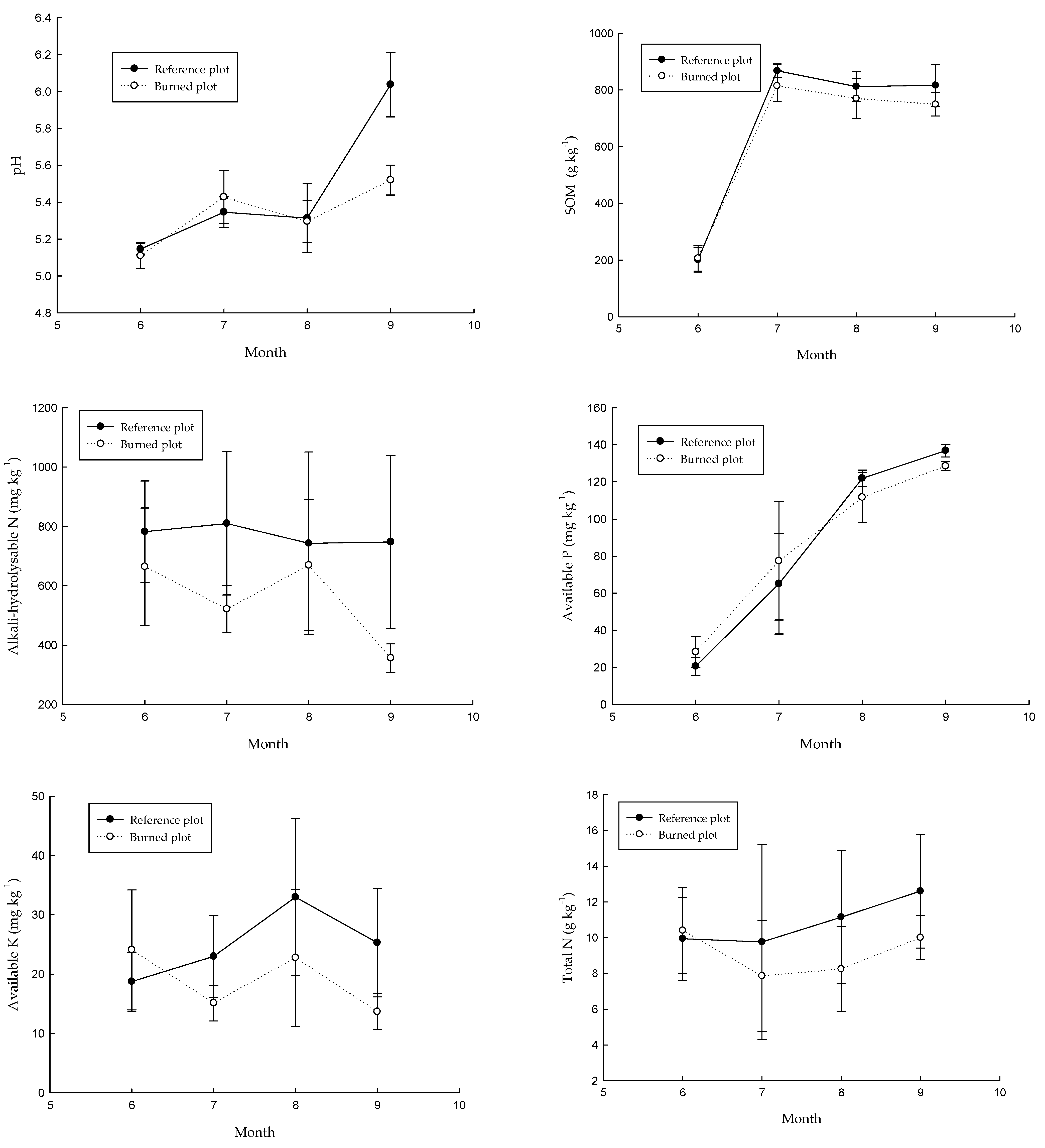
3. Results
3.1. Soil Chemical Properties Change after Prescribed Fire
3.2. The Effects of Summer Condition on Soil Chemical Properties in Burned Plots and Reference Plots
4. Discussion
5. Conclusions
Author Contributions
Funding
Institutional Review Board Statement
Informed Consent Statement
Data Availability Statement
Acknowledgments
Conflicts of Interest
References
- Bayley, S.E.; Schindler, D.W.; Parker, B.R.; Stainton, M.P.; Beaty, K.G. Effects of forest fire and drought on acidity of a base-poor boreal forest stream: Similarities between climatic warming and acidic precipitation. Biogeochemistry 1992, 17, 191–204. [Google Scholar] [CrossRef]
- Cochrane, M.A. Fire science for rainforests. Nature 2003, 421, 913–919. [Google Scholar] [CrossRef] [PubMed]
- Westerling, A.L.; Hidalgo, H.G.; Cayan, D.R. Warming and Earlier Spring Increase Western U.S. Forest Wildfire Activity. Science 2006, 314, 940–943. [Google Scholar] [CrossRef] [PubMed]
- Ren, J.T. Nanwenghe Eco-Torism Resource Evaluation and Development Strategy. Master’s Thesis, Northeast Agricultural University, Harbin, China, 2012. [Google Scholar]
- Gao, Z.L. Fundamental Research on Ecological Control of Forest Fuel with Prescribed Burning. Ph.D. Thesis, Chinese Academy of Forestry, Beijing, China, 2015. [Google Scholar]
- Li, Y.; Cheng, J.M.; Wei, L.; Chen, F.R. Changes of soil chemical properties after different burning years in typical steppe of Yunwun Mountains. Acta Ecol. Sin. 2013, 33, 2131–2138. [Google Scholar]
- Bisbing, S.M.; Alaback, P.B.; Deluca, T.H. Carbon storage in old-growth and second growth fire-dependent western larch (Larix occidentalis Nutt.) forests of the Inland Northwest, USA. For. Ecol. Manag. 2010, 259, 1041–1049. [Google Scholar] [CrossRef]
- Kong, J.J.; Zhang, H.Y.; Jing, S. Dynamic characteristics of forest soil phosphorus in the early succession after fire in Great Xing’an Mountains. Chin. J. Ecol. 2017, 36, 1515–1523. [Google Scholar]
- Certini, C. Effects of fire on properties of forest soils: A review. Oecologia 2005, 143, 1–10. [Google Scholar] [CrossRef]
- Turner, M.G.; Romme, W.H.; Smithwick, E.A.; Tinker, D.B.; Zhu, J. Variation in aboveground cover influences soil nitrogen availability at fine spatial scales following severe fire in subalpine conifer forests. Ecosystems 2011, 14, 1081–1095. [Google Scholar] [CrossRef]
- Hu, H.Q. Determination and analysis of physical and chemical properties of major forests combustible in Xing’an Mountains. For. Fire Prev. 1995, 44, 27–31. [Google Scholar]
- Bissett, J.; Parkinson, D. Long-term effects of fire on the composition and activity of the soil microflora of a subalpine, coniferous forest. Can. J. Bot. 2011, 15, 1704–1721. [Google Scholar] [CrossRef]
- Sun, L.; Dou, X.; Hu, T.X. Research progress on the effects of forest fire on forest ecosystem C-N-P ecological stoichiometry characteristics. J. Nanjing For. Univ. 2021, 45, 1–9. [Google Scholar]
- Sun, M.X.; Jia, W.H.; Wu, Y. Effect of forest fire on soil chemical properties in northern Daxing’an Mountains. J. Northeast For. Univ. 2009, 37, 33–35. [Google Scholar]
- Tao, Y.Z. Short-term influence of fire on soil chemical properties in forest mixed by birch and larch. Liaoning For. Sci. Technol. 2016, 4,18. [Google Scholar] [CrossRef]
- Wang, D.; Zhou, M.; Bao, X.; Zhao, P.W.; Wei, J.S.; Shi, L. The responses of the soil chemical properties in Larix gmelinii to forest fire intensity. Inn. Mong. For. Investig. Des. 2016, 39, 81–85+90. [Google Scholar]
- Gu, H.Y.; Jin, J.B.; Chen, X.W.; Wang, E.H.; Zhou, Y.Y.; Chai, Y.F. The long-term impacts on chemical properties of Larix gmelini forest on the northern slope of Greater Hinggan Mountains from a forest fire of varying fire intensity. J. Nat. Resour. 2010, 25, 1114–1121. [Google Scholar]
- He, P.; Sun, Z.; Han, Z.; Dong, Y.; Liu, H.; Meng, X.; Ma, J. Dynamic characteristics and driving factors of vegetation greenness under changing environments in Xinjiang, China. Environ. Sci. Pollut. Res. Int. 2021, 28, 42516–42532. [Google Scholar] [CrossRef] [PubMed]
- Ren, L.; Ma, X.Z.; Li, C.S. Effects of forest fire on soil property and greenhouse gas flus. Chin. J. Ecol. 2014, 33, 502–509. [Google Scholar]
- Song, Q.L.; Dong, X.B.; Li, Y.; Liu, J.M. Impacts of burning and logging disturbance on soil chemical properties of forest in Daxing’an Mountain region. For. Eng. 2010, 26, 4–7. [Google Scholar]
- Xifré-Salvadó, M.À.; Prat-Guitart, N.; Francos, M.; Úbeda, X.; Castellnou, M. Effects of Fire on the Organic and Chemical Properties of Soil in a Pinus halepensis Mill. Forest in Rocallaura, NE Spain. Sustainability 2021, 13, 5178. [Google Scholar] [CrossRef]
- Knight, H. Loss of nitrogen from the forest floor by burning. For. Chron. 1966, 42, 149–152. [Google Scholar] [CrossRef]
- Dyrness, C.T.; Cleve, K.; Levison, J.D. The effect of wildfire on soil chemistry in four forest types in interior Alaska. Can. J. For. Res. 1989, 19, 1389–1396. [Google Scholar] [CrossRef]
- Doerr, S.H.; Cerdá, A. Fire effects on soil system functioning: New insights and future challenges. Int. J. Wildland Fire 2005, 14, 339–342. [Google Scholar] [CrossRef]
- Maarion, G.M.; Moreno, J.M.; Oechel, W.C. Fire severity, ash deposition and clipping effects on soil nutrients in chaparral. Soil Sci. Soc. Am. J. 1991, 55, 235–240. [Google Scholar] [CrossRef]
- Kutiel, P.; Inbar, M. Fire impacts on soil nutrients and soil erosion in a Mediterranean pine forest plantation. Catena 1993, 20, 129–139. [Google Scholar] [CrossRef]
- Fuller, W.H.; Shannon, S.; Burgess, P.S. Effect of burning on certain forest soils of northern Arizona. For. Sci. 1955, 1, 44–50. [Google Scholar]
- Úbeda, X.; Lorca, M.; Outeiro, L.R.; Bernia, S.; Castellnou, M. Effects of prescribed fire on soil quality in Mediterranean grassland (Prades Mountains, north-east Spain). Int. J. Wildland Fire 2005, 14, 379–384. [Google Scholar] [CrossRef]
- Liu, F.L.; Zhang, S.Y.; Zheng, S.Q.; Wang, W. Effects of fire disturbance on soil chemical properties of pinus massoniana forest. Chin. J. Soil Sci. 2009, 40, 1270–1275. [Google Scholar]
- Tang, J.L.; Ou, G.J. Influence of fire on soil property under the canopy of Yunnan pine. J. Beijing For. Univ. 1995, 17, 44–49. [Google Scholar]
- Liu, F.; Hu, H.Q.; Jin, S. Effects of fire on soil chemical properties of Manchurian walnut plantation. J. For. Res. 2008, 36, 34–36. [Google Scholar]
- Pereira, P.; Jordán, A.; Cerdà, A.; Martin, D. Editorial: The role of ash in fire-affected ecosystems. Catena 2015, 135, 337–339. [Google Scholar] [CrossRef]
- Johnson, D.W.; Curtis, P.S. Effects of forest management on soil C and N storage: Meta analysis. For. Ecol. Manag. 2001, 140, 227–238. [Google Scholar] [CrossRef]
- Ellicott, E.; Giglio, L.; Badarinath, K.V.S.; Vermote, E.; Justice, C. Hotspot analysis of vegetation fires and intensity in the Indian region. IEEE J. Sel. Top. Appl. Earth Observ. Remote Sens. 2013, 6, 224–238. [Google Scholar]
- González-Pérez, J.A.; González-Vila, F.J.; Almendros, G.; Knicker, H. The effect of fire on soil organic matter—A review. Environ. Int. 2004, 30, 855–870. [Google Scholar] [CrossRef] [PubMed]
- Alcañiz, M.; Outeiro, L.; Francos, M.; Farguell, J.; Úbeda, X. Long-term dynamics of soil chemical properties after a prescribed fire in a Mediterranean forest (Montgrí Massif, Catalonia, Spain). Sci. Total Environ. 2016, 572, 1329–1335. [Google Scholar] [CrossRef] [PubMed]



| Pattern | Unburning | Plot 1 | Plot 2 | Plot 3 |
|---|---|---|---|---|
| Area/hm2 | 15 | 15 | 20 | 15 |
| Altitude/m | 560 | 486 | 650 | 625 |
| Slope/(°) | 10 | 10 | 13 | 12 |
| Main vegetation | Pyrola calliantha H. Andr., Cyperus difformis, Orobanche coerulescens Steph | Pyrola calliantha H. Andr., Cyperus difformis, Vaccinium Vitis-Idaea | Pyrola calliantha H. Andr., Cyperus difformis, Orobanche coerulescens Steph | Pyrola calliantha H. Andr., Cyperus difformis, Pteridium aquilinum var.latiusculum |
| Type of soil | Meadow soil | Meadow soil | Meadow soil | Meadow soil |
| Fire intensity | Low | Low | Low | Low |
| Month | Mean Wind Speed/(m/s) | Sunshine Duration/h | Mean Temperature/°C | Mean Relative Humidity/% | 20-20 h Precipitation/mm |
|---|---|---|---|---|---|
| June | 1.91 | 9.31 | 18.27 | 70.47 | 114 |
| July | 2.16 | 6.80 | 18.78 | 80.43 | 452.4 |
| August | 1.46 | 6.85 | 17.47 | 83.81 | 203.3 |
| September | 2.02 | 7.08 | 9.75 | 74.46 | 162.4 |
| Parameter | Reference Plots | Burned Plots | Change Rate/% | Significant Difference t Value |
|---|---|---|---|---|
| pH | 5.05 | 4.97 | −1.58 | 1.75 |
| SOM (g kg−1) | 222.9 | 156.3 | −32.01 | 3.38 ** |
| Alkali-hydrolysable N (mg kg−1) | 867.3 | 650.0 | −25.05 | 2.33 * |
| Available P (mg kg−1) | 29.5 | 22.1 | −25.08 | 1.57 |
| Available K (mg kg−1) | 22.0 | 16.0 | −27.27 | 2.99 * |
| Total N (g kg−1) | 11.5 | 8.1 | −29.56 | 2.64 * |
| Total P (g kg−1) | 1.8 | 2.0 | 11.11 | 1.51 |
| Total K (g kg−1) | 9.0 | 10.4 | 15.56 | 1.08 |
| Parameter | Month | |||
|---|---|---|---|---|
| June | July | August | September | |
| pH | 5.11 b (0.07) | 5.43 a (0.14) | 5.30 b (0.11) | 5.52 a (0.08) |
| SOM (g kg−1) | 206.8 b (45.53) | 814.3 a (55.43) | 770.2 a (70.89) | 749.4 a (41.01) |
| Alkali-hydrolysable N (mg kg−1) | 664.8 a (197.77) | 521.5 a (79.70) | 669.4 a (220.37) | 356.2 b (47.66) |
| Available P (mg kg−1) | 28.3 c (8.28) | 77.4 b (31.92) | 111.6 a (13.25) | 128.5 a (2.28) |
| Available K (mg kg−1) | 24.1 a (10.09) | 15.1 a (2.98) | 22.8 a (11.54) | 13.7 a (3.01) |
| Total N (g kg−1) | 10.4 a (2.41) | 7.9 a (3.10) | 8.2 a (2.38) | 10.0 a (1.22) |
| Total P (g kg−1) | 1.7 a (0.22) | 1.6 a (0.69) | 1.8 a (0.57) | 1.9 a (0.64) |
| Total K (g kg−1) | 9.0 a (0.37) | 8.4 a (1.29) | 10.2 a (2.66) | 8.6 a (3.14) |
Publisher’s Note: MDPI stays neutral with regard to jurisdictional claims in published maps and institutional affiliations. |
© 2022 by the authors. Licensee MDPI, Basel, Switzerland. This article is an open access article distributed under the terms and conditions of the Creative Commons Attribution (CC BY) license (https://creativecommons.org/licenses/by/4.0/).
Share and Cite
Liu, K.; Shu, L.; He, C. Effects of Prescribed Fire on Meadow Soil Chemical Properties in Nanwenghe Nature Reserve. Sustainability 2022, 14, 9984. https://doi.org/10.3390/su14169984
Liu K, Shu L, He C. Effects of Prescribed Fire on Meadow Soil Chemical Properties in Nanwenghe Nature Reserve. Sustainability. 2022; 14(16):9984. https://doi.org/10.3390/su14169984
Chicago/Turabian StyleLiu, Kezhen, Lifu Shu, and Cheng He. 2022. "Effects of Prescribed Fire on Meadow Soil Chemical Properties in Nanwenghe Nature Reserve" Sustainability 14, no. 16: 9984. https://doi.org/10.3390/su14169984
APA StyleLiu, K., Shu, L., & He, C. (2022). Effects of Prescribed Fire on Meadow Soil Chemical Properties in Nanwenghe Nature Reserve. Sustainability, 14(16), 9984. https://doi.org/10.3390/su14169984
