Equitable City in an Aging Society: Public Transportation-Based Primary Care Accessibility in Seoul, Korea
Abstract
1. Introduction
2. Literature Review
2.1. Medical Accessibility
2.2. Equity
3. Materials and Methods
3.1. Study Area
3.2. Research Scope and Method
3.3. Data
3.4. Measurement of Medical Accessibility
Two-Step Floating Catchment Area (2SFCA)
3.5. Equity
4. Results
4.1. Basic Analysis Result
4.2. Medical Accessibility Analysis
4.2.1. Primary Care Accessibility
4.2.2. Medical Accessibility and Public Transport Mobility
4.2.3. Deviations between Regions
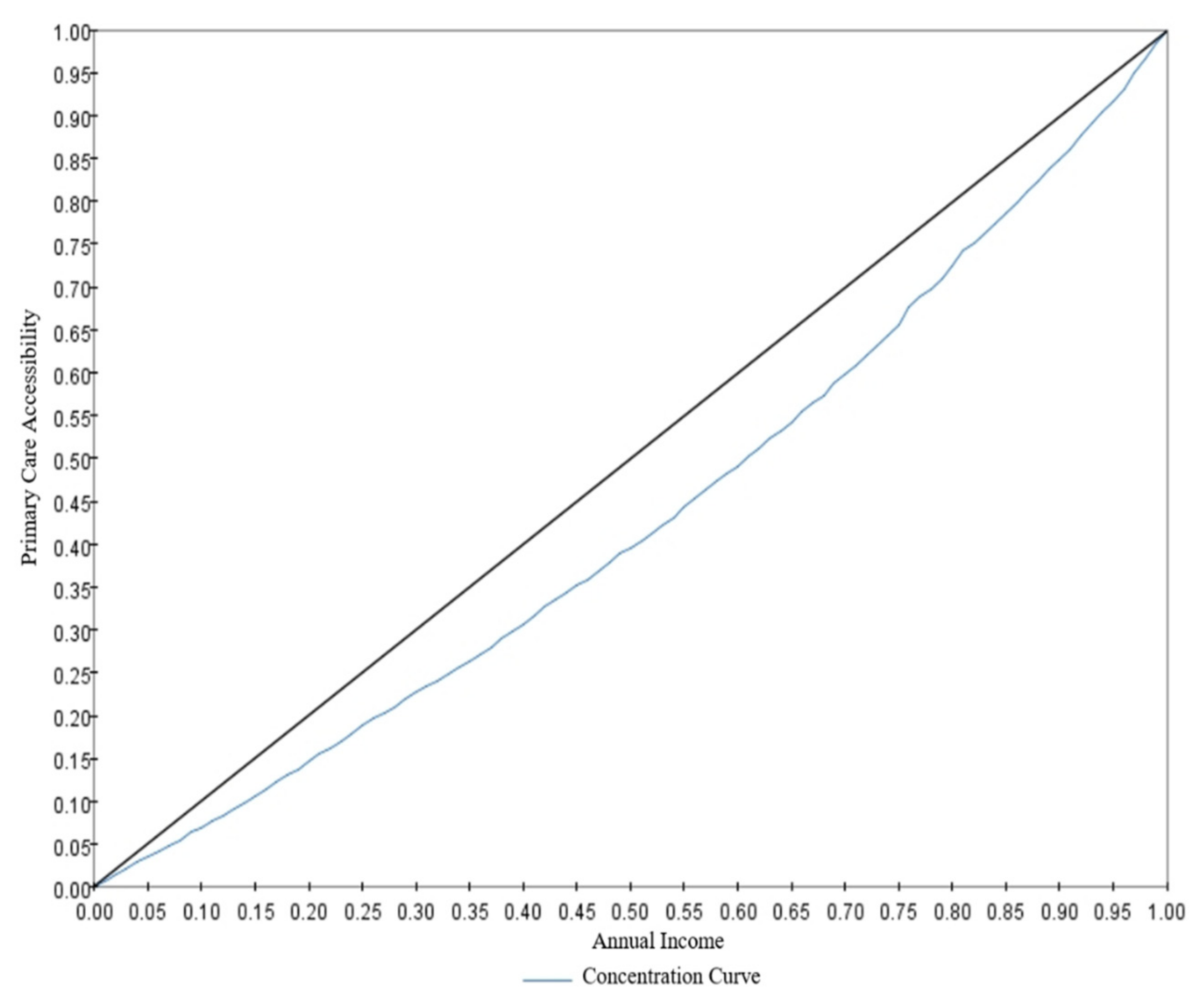
4.3. Equity Analysis
5. Discussion
6. Conclusions
Author Contributions
Funding
Institutional Review Board Statement
Informed Consent Statement
Data Availability Statement
Conflicts of Interest
References
- Martínez, L. Health differences in an unequal city. Cities 2021, 108, 102976. [Google Scholar] [CrossRef]
- Zuo, T.; Wei, H.; Chen, N.; Zhang, C. First-and-last mile solution via bicycling to improving transit accessibility and advancing transportation equity. Cities 2020, 99, 102614. [Google Scholar] [CrossRef]
- Bocarejo, S.J.P.; Oviedo, H.D.R. Transport accessibility and social inequities: A tool for identification of mobility needs and evaluation of transport investments. J. Transp. Geogr. 2012, 24, 142–154. [Google Scholar] [CrossRef]
- New Urban Agenda. United Nations Conference on Housing and Sustainable Urban Development (Habitat III) in Quito, Ecuador; United Nations General Assembly (A/RES/71/256). 2017. Available online: https://uploads.habitat3.org/hb3/NUA-English.pdf (accessed on 1 August 2022).
- United Nations, Department of Economic and Social Affairs, Population Division. World Population Ageing 2019: Highlights (ST/ESA/SER.A/430). 2019. Available online: https://www.un.org/en/development/desa/population/publications/pdf/ageing/WorldPopulationAgeing2019-Highlights.pdf (accessed on 1 August 2022).
- Wong, R.; Szeto, W.; Yang, L.; Li, Y.; Wong, S. Public transport policy measures for improving elderly mobility. Transp. Policy 2018, 63, 73–79. [Google Scholar] [CrossRef]
- Shrestha, B.P.; Millonig, A.; Hounsell, N.; Mcdonald, M. Review of public transport needs of older people in European context. J. Popul. Ageing 2017, 10, 343–361. [Google Scholar] [CrossRef] [PubMed]
- Casas, I. Social exclusion and the disabled: An accessibility approach. Prof. Geogr. 2007, 59, 463–477. [Google Scholar] [CrossRef]
- Farrington, J.; Farrington, C. Rural accessibility, social inclusion and social justice: Towards conceptualisation. J. Transp. Geogr. 2005, 13, 1–12. [Google Scholar] [CrossRef]
- Wang, H.; Kwan, M.-P.; Hu, M. Social exclusion and accessibility among low-and non-low-income groups: A case study of Nanjing, China. Cities 2020, 101, 102684. [Google Scholar] [CrossRef]
- Preston, J.; Rajé, F. Accessibility, mobility and transport-related social exclusion. J. Transp. Geogr. 2007, 15, 151–160. [Google Scholar] [CrossRef]
- Özkazanç, S.; Sönmez, F.N.Ö. Spatial analysis of social exclusion from a transportation perspective: A case study of Ankara metropolitan area. Cities 2017, 67, 74–84. [Google Scholar] [CrossRef]
- Penchansky, R.; Thomas, J.W. The concept of access: Definition and relationship to consumer satisfaction. Med. Care 1981, 19, 127–140. [Google Scholar] [CrossRef]
- Andersen, R.M. Revisiting the behavioral model and access to medical care: Does it matter? J. Health Soc. Behav. 1995, 36, 1–10. [Google Scholar] [CrossRef]
- Shin, H.-S.; Lee, S.-H. Factors affecting spatial distance to outpatient health services. Health Policy Manag. 2011, 21, 23–43. [Google Scholar] [CrossRef][Green Version]
- Luo, W.; Wang, F. Measures of spatial accessibility to health care in a GIS environment: Synthesis and a case study in the Chicago region. Environ. Plan. B Plan. Des. 2003, 30, 865–884. [Google Scholar] [CrossRef]
- Park, J.H.; Woo, H.J.; Kim, Y.H. Measures of spatial accessibility to emergence medical services with a modified three-step floating catchment area model: A case study of the Chungnam province. J. Korean Assoc. Reg. Geogr. 2017, 23, 388–402. [Google Scholar]
- McGreevy, M.; Harris, P.; Delaney-Crowe, T.; Fisher, M.; Sainsbury, P.; Riley, E.; Baum, F. How well do Australian government urban planning policies respond to the social determinants of health and health equity? Land Use Policy 2020, 99, 105053. [Google Scholar] [CrossRef]
- Dai, D. Black residential segregation, disparities in spatial access to health care facilities, and late-stage breast cancer diagnosis in metropolitan Detroit. Health Place 2010, 16, 1038–1052. [Google Scholar] [CrossRef]
- Daly, M.R.; Mellor, J.M.; Millones, M. Do avoidable hospitalization rates among older adults differ by geographic access to primary care physicians? Health Serv. Res. 2018, 53, 3245–3264. [Google Scholar] [CrossRef]
- Fortney, J.; Rost, K.; Zhang, M.; Warren, J. The impact of geographic accessibility on the intensity and quality of depression treatment. Med. Care 1999, 37, 884–893. [Google Scholar] [CrossRef]
- Weissman, J.S.; Gatsonis, C.; Epstein, A.M. Rates of avoidable hospitalization by insurance status in Massachusetts and Maryland. JAMA 1992, 268, 2388–2394. [Google Scholar] [CrossRef]
- Ansari, Z. The concept and usefulness of ambulatory care sensitive conditions as indicators of quality and access to primary health care. Aust. J. Prim. Health 2007, 13, 91–110. [Google Scholar] [CrossRef]
- Kim, D.; Ahn, Y. Built environment factors contribute to asthma morbidity in older people: A case study of Seoul, Korea. J. Transp. Health 2018, 8, 91–99. [Google Scholar] [CrossRef]
- Merriam-Webster, I. Merriam-Webster’s Dictionary of Law; Merriam-Webster: Springfield, MA, USA, 1996. [Google Scholar]
- Frederickson, H.G. New Public Administration; University Alabama Press: Tuscaloosa, AL, USA, 1980. [Google Scholar]
- Lim, E. Searching for a theoretical ground of social equity: Focusing on R. Dworkin’s ‘equality of resources’. Korean J. Public Adm. 2007, 45, 1–22. [Google Scholar]
- Barry, B. Theories of Justice: A Treatise on Social Justice, Vol. 1; University of California Press: Oakland, CA, USA, 1989; Volume 16. [Google Scholar]
- Bae, M. A ‘Social Justice’ in Geography of Welfare. J. Korean Assoc. Reg. Geogr. 2003, 9, 546–558. [Google Scholar]
- Lim, E. Searching for the Justice-Theoretical Ground of Social Equity: Focus on Walzer’s Theory of Pluralistic Justice. Korean Public Adm. Rev. 2009, 43, 1–18. [Google Scholar]
- Lucy, W.H.; Gilbert, D.; Birkhead, G.S. Equity in local service distribution. Public Adm. Rev. 1977, 37, 687–697. [Google Scholar] [CrossRef]
- Vadrevu, L.; Kanjilal, B. Measuring spatial equity and access to maternal health services using enhanced two step floating catchment area method (E2SFCA)–a case study of the Indian Sundarbans. Int. J. Equity Health 2016, 15, 87. [Google Scholar] [CrossRef]
- Yoo, G.-s.; Kim, S.; Yeon, J.; Kim, J. Microscopic Evaluation of the Quality of Public Transportation Service by Region in Seoul; The Seoul Institute: Seoul, Korea, 2020.
- Yenisetty, P.T.; Bahadure, P. Assessing accessibility to ASFs from bus stops using distance measures: Case of two Indian cities. Land Use Policy 2021, 108, 105567. [Google Scholar] [CrossRef]
- Guagliardo, M.F. Spatial accessibility of primary care: Concepts, methods and challenges. Int. J. Health Geogr. 2004, 3, 3. [Google Scholar] [CrossRef]
- Lutz, W.; Sanderson, W.; Scherbov, S. The coming acceleration of global population ageing. Nature 2008, 451, 716–719. [Google Scholar] [CrossRef]
- Xia, T.; Song, X.; Zhang, H.; Song, X.; Kanasugi, H.; Shibasaki, R. Measuring spatio-temporal accessibility to emergency medical services through big GPS data. Health Place 2019, 56, 53–62. [Google Scholar] [CrossRef]
- Lucas-Gabrielli, V.; Mangeney, C. Comment améliorer les mesures d’accessibilité aux soins pour mieux cibler les zones sous-denses? Rev. D’épidémiologie Et De St. Publique 2019, 67, S25–S32. [Google Scholar] [CrossRef]
- Jin, Z.; Northridge, M.E.; Metcalf, S.S. Modeling the influence of social ties and transportation choice on access to oral healthcare for older adults. Appl. Geogr. 2018, 96, 66–76. [Google Scholar] [CrossRef]
- Ma, X.; Ren, F.; Du, Q.; Liu, P.; Li, L.; Xi, Y.; Jia, P. Incorporating multiple travel modes into a floating catchment area framework to analyse patterns of accessibility to hierarchical healthcare facilities. J. Transp. Health 2019, 15, 100675. [Google Scholar] [CrossRef]
- Gesler, W. The uses of spatial analysis in medical geography: A review. Soc. Sci. Med. 1986, 23, 963–973. [Google Scholar] [CrossRef]
- Peng, Z.-R. The jobs-housing balance and urban commuting. Urban Stud. 1997, 34, 1215–1235. [Google Scholar] [CrossRef]
- Neutens, T. Accessibility, equity and health care: Review and research directions for transport geographers. J. Transp. Geogr. 2015, 43, 14–27. [Google Scholar] [CrossRef]
- Cho, D.-H.; Shin, J.-Y.; Kim, K.-Y.; Lee, G.-H. An analysis of spatial accessibility to public healthcare services in rural areas. J. Korean Assoc. Reg. Geogr. 2010, 16, 137–153. [Google Scholar]
- Kim, J.-G.; Hong, I.-P.; Lee, J.-C.; Kim, C.-B.; Lee, W.-J.; Ko, E.-B. Spatial Distribution of Public Healthcare Personnel. J. Korea Plan. Assoc. 2014, 49, 161–174. [Google Scholar] [CrossRef]
- Freiria, S.; Tavares, A.O.; Julião, R.P. The benefits of a link-based assessment of health services accessibility: Unveiling gaps in Central Region of Portugal. Land Use Policy 2019, 87, 104034. [Google Scholar] [CrossRef]
- Plachkinova, M.; Vo, A.; Bhaskar, R.; Hilton, B. A conceptual framework for quality healthcare accessibility: A scalable approach for big data technologies. Inf. Syst. Front. 2018, 20, 289–302. [Google Scholar] [CrossRef]
- Delamater, P.L. Comment on “A Conceptual Framework for Quality Healthcare Accessibility: A Scalable Approach for Big Data Technologies”. Inf. Syst. Front. 2018, 20, 303–309. [Google Scholar] [CrossRef]
- Cheng, G.; Zeng, X.; Duan, L.; Lu, X.; Sun, H.; Jiang, T.; Li, Y. Spatial difference analysis for accessibility to high level hospitals based on travel time in Shenzhen, China. Habitat Int. 2016, 53, 485–494. [Google Scholar] [CrossRef]
- Wang, J.; Du, F.; Huang, J.; Liu, Y. Access to hospitals: Potential vs. observed. Cities 2020, 100, 102671. [Google Scholar] [CrossRef]
- Luo, W.; Qi, Y. An enhanced two-step floating catchment area (E2SFCA) method for measuring spatial accessibility to primary care physicians. Health Place 2009, 15, 1100–1107. [Google Scholar] [CrossRef] [PubMed]
- McGrail, M.R. Spatial accessibility of primary health care utilising the two step floating catchment area method: An assessment of recent improvements. Int. J. Health Geogr. 2012, 11, 50. [Google Scholar] [CrossRef]
- Tao, Z.; Cheng, Y. Modelling the spatial accessibility of the elderly to healthcare services in Beijing, China. Environ. Plan. B Urban Anal. City Sci. 2019, 46, 1132–1147. [Google Scholar] [CrossRef]
- Jamtsho, S.; Corner, R.; Dewan, A. Spatio-temporal analysis of spatial accessibility to primary health care in Bhutan. ISPRS Int. J. Geo Inf. 2015, 4, 1584–1604. [Google Scholar] [CrossRef]
- Kakwani, N.C. Measurement of tax progressivity: An international comparison. Econ. J. 1977, 87, 71–80. [Google Scholar] [CrossRef]
- O’Donnell, O.; O’Neill, S.; Van Ourti, T.; Walsh, B. Conindex: Estimation of concentration indices. Stata J. 2016, 16, 112–138. [Google Scholar] [CrossRef]
- Van Doorslaer, E.; Wagstaff, A.; Bleichrodt, H.; Calonge, S.; Gerdtham, U.-G.; Gerfin, M.; Geurts, J.; Gross, L.; Häkkinen, U.; Leu, R.E. Income-related inequalities in health: Some international comparisons. J. Health Econ. 1997, 16, 93–112. [Google Scholar] [CrossRef]
- Lee, Y.-J.; Lee, H.-O.; Kim, H.-E. Analysis of the Inequalities in Healthcare Service Usage Considering Healthcare Service Needs. J. Korea Contents Assoc. 2017, 17, 435–445. [Google Scholar]
- Kim, D.-H.; Park, J.-A. Spatial Equity of Neighborhood Store Accessibility: Focused on the Census on Establishments (2006–2014) in Seoul, Korea. J. Korea Plan. Assoc. 2017, 52, 43–56. [Google Scholar] [CrossRef]
- Levinson, D.M.; Marshall, W.; Axhausen, K. Elements of Access: Transport Planning for Engineers, Transport Engineering for Planners; Network Design Lab: Sydney, Australia, 2017. [Google Scholar]
- Linchuan, Y.; Xu, C. Determinants of Elderly Mobility in Hong Kong: Implications for Elderly-Friendly Transport. China City Plan. Rev. 2020, 29, 74–83. [Google Scholar]
- Guida, C.; Carpentieri, G. Quality of life in the urban environment and primary health services for the elderly during the Covid-19 pandemic: An application to the city of Milan (Italy). Cities 2021, 110, 103038. [Google Scholar] [CrossRef]
- Yun, J.; Woo, M. Empirical Study on Spatial Justice through the Analysis of Transportation Accessibility of Seoul. J. Korea Plan. Assoc. 2015, 50, 69–85. [Google Scholar] [CrossRef]
- Ha, J.; Lee, S. An Analysis of Vulnerable Areas for Public Transit Services using API Route Guide Information—Focused on the Mobility to Major Employment Centers in Seoul, Korea. J. Korea Plan. Assoc. 2016, 51, 163–181. [Google Scholar] [CrossRef]
- Cho, D.-H. The Spatial Distribution of the Single-households Elderly and Public Transport Accessibility in Seoul. J. Korean Urban Geogr. Soc. 2014, 17, 119–136. [Google Scholar]
- Kim, K.; Kwon, K. The Impacts of Urban Built Environments on Travel Behavior of the Elderly: The Case of Seoul Metropolitan Area. J. Korean Urban Geogr. Soc. 2020, 23, 109–124. [Google Scholar] [CrossRef]
- Lee, S.K.; Cho, E.; Kim, M.J.; Kim, J.E.; Kim, S.E.; Hyun, S.J. The Characteristics of the Location of Medical Specialists’ Office in Korea. Korean J. Fam. Med. 2009, 30, 292–300. [Google Scholar] [CrossRef]
- Cho, H.-J. Equity in health care: Current situation in South Korea. J. Korean Med. Assoc. 2013, 56, 184–194. [Google Scholar] [CrossRef]
- Huang, Y.; Meyer, P.; Jin, L. Spatial access to health care and elderly ambulatory care sensitive hospitalizations. Public Health 2019, 169, 76–83. [Google Scholar] [CrossRef]
- Laditka, J.N. Physician supply, physician diversity, and outcomes of primary health care for older persons in the United States. Health Place 2004, 10, 231–244. [Google Scholar] [CrossRef]
- Chen, T.; Pan, J. The effect of spatial access to primary care on potentially avoidable hospitalizations of the elderly: Evidence from Chishui City, China. Soc. Indic. Res. 2020, 160, 645–665. [Google Scholar] [CrossRef]
- Sung, H.; Park, J.H.; Kim, D.J. Impact Analysis of Transit-Oriented Development and Revising Current Transportation and Urban Planning Laws for Its Application in Korea; The Korea Transport Institute: Sejong, Korea, 2007; ISBN 9788955032550.
- Su, S.; Pi, J.; Xie, H.; Cai, Z.; Weng, M. Community deprivation, walkability, and public health: Highlighting the social inequalities in land use planning for health promotion. Land Use Policy 2017, 67, 315–326. [Google Scholar] [CrossRef]
- Su, S.; Zhang, Q.; Pi, J.; Wan, C.; Weng, M. Public health in linkage to land use: Theoretical framework, empirical evidence, and critical implications for reconnecting health promotion to land use policy. Land Use Policy 2016, 57, 605–618. [Google Scholar] [CrossRef]







| Category | Number of Doctors | Aggregated Census Output Area (ACOA) | ||||
|---|---|---|---|---|---|---|
| Number of People over 65 | Annual Income(Million Won) | Number of Primary Care Facilities Accessible within 30 min | Transit Distance | |||
| 15 Min or Less | Less Than 30 Min | |||||
| N | 4624 | 1415 | 1381 | 1415 | 82,334 | 751,304 |
| Mean | 1.87 | 880.99 | 33.43 | 535.33 | 1551.14 | 4281.86 |
| Max | 46 | 3722 | 105.30 | 957 | 3860 | 11826 |
| Minimum | 1 | 5 | 24.04 | 1 | 167 | 167 |
| S.D. | 2.53 | 660.02 | 7.90 | 182.85 | 621.69 | 1715.68 |
| Data | License data | Census Output Area data | KCB Annual income estimate | Korea Open Data Portal Public transit route inquiry service | ||
| D.B date | 2017.12.31. | 2017 | 2017 | 2019.07. | ||
| Primary Care Accessibility of Older People | Regional Public Transport Mobility | Neighborhood Public Transport Mobility | |
|---|---|---|---|
| Primary care accessibility of older adults | 1 | ||
| Regional public transport mobility | 0.098 ** | 1 | |
| Neighborhood public transport mobility | 0.205 ** | 0.432 ** | 1 |
Publisher’s Note: MDPI stays neutral with regard to jurisdictional claims in published maps and institutional affiliations. |
© 2022 by the authors. Licensee MDPI, Basel, Switzerland. This article is an open access article distributed under the terms and conditions of the Creative Commons Attribution (CC BY) license (https://creativecommons.org/licenses/by/4.0/).
Share and Cite
Yoon, Y.; Park, J. Equitable City in an Aging Society: Public Transportation-Based Primary Care Accessibility in Seoul, Korea. Sustainability 2022, 14, 9902. https://doi.org/10.3390/su14169902
Yoon Y, Park J. Equitable City in an Aging Society: Public Transportation-Based Primary Care Accessibility in Seoul, Korea. Sustainability. 2022; 14(16):9902. https://doi.org/10.3390/su14169902
Chicago/Turabian StyleYoon, Yoonchae, and Jina Park. 2022. "Equitable City in an Aging Society: Public Transportation-Based Primary Care Accessibility in Seoul, Korea" Sustainability 14, no. 16: 9902. https://doi.org/10.3390/su14169902
APA StyleYoon, Y., & Park, J. (2022). Equitable City in an Aging Society: Public Transportation-Based Primary Care Accessibility in Seoul, Korea. Sustainability, 14(16), 9902. https://doi.org/10.3390/su14169902

