How to Increase Teacher Performance through Engagement and Work Efficacy
Abstract
1. Introduction
2. Literature Review
2.1. Work Performance, Work Engagement and Work Efficacy: Content, Role and Interdependencies
2.1.1. Work Performance
2.1.2. Work Engagement
2.1.3. Work Efficacy
2.2. The Education System and Its Need for Work Performance, Work Engagement and Work Efficacy
2.3. The Present Study—Research Objectives and Hypotheses
- Objective O1: Measuring the work engagement, work efficacy and work performance variables of teachers. This measurement is necessary to achieve the other objectives presented below.
- Objective O2: Identifying the differences in teachers’ work engagement, work efficacy and work performance according to their seniority in education and the position of the high school in the top national rankings. Our motivation behind choosing the seniority variable in education is to highlight the generation to which teachers belong. We also want to investigate the link between the position of a high school in the national charts, which is, respectively, a characteristic of the job, and the levels of engagement, performance and efficacy of a teacher.
- Objective O3: Highlighting the relationship between work engagement and work performance. This objective, once fulfilled, will be a valuable basis for projections related to the future evolution of the relationship between the two concepts and for finding ways to increase the performance in the Romanian education system.
3. Materials and Methods
3.1. Participants
3.2. Measures
3.2.1. Teachers’ Sense of Efficacy Scale
- (a)
- Efficacy in determining student involvement—expresses the teacher’s ability to organise the learning activity in such a way that students show involvement;
- (b)
- Efficacy in developing training strategies—expresses the teacher’s ability to create learning activities appropriate to the characteristics of his/her students;
- (c)
- Efficacy in managing the students’ class—expresses the teacher’s ability to organise and manage the activities during the course.
3.2.2. Engaged Teachers’ Scale
- The cognitive dimension—the absorption and intellectual dedication that a teacher shows when carrying out their professional activity;
- The emotional dimension—the energy dedicated by a teacher in the direction of experiencing positive feelings at the time of professional activity;
- The social dimension—the relationship with co-workers—the energy dedicated by a teacher in the direction of the relationship with his/her peers;
- The social dimension—the relationship with the students—the energy dedicated by a teacher in the direction of establishing meaningful and long-term relationships with his/her students.
3.2.3. Griffin’s Performance Scale
- Proficiency—shows the extent to which an individual fulfils their formal work tasks;
- Adaptivity—indicates the extent to which an individual complies with changes in the workplace or responsibilities;
- Proactivity—describes how the individual acts on their own to anticipate or initiate changes at the organisational level or related to their work responsibilities.
- Replacing the term “organisation” with “school”—given that all respondents work in schools, respectively, a well-defined space, which is delimited from the rest of organisations or companies by their own well-defined characteristics;
- Excluding questions related to the individual in relation to the team—given that a teacher does not work in a proper team, but his/her work primarily has an individual component by preparing the activities to be carried out in class with students. Secondly, the interaction component with the organisation (school) is strongly present, considering the accumulation of activities that involve interactions with other colleagues, principals and school administrative staff.
3.3. Design and Procedure
4. Results
4.1. Descriptives
4.2. Hypothesis Testing
4.2.1. Hypothesis H1. Teachers with Higher Seniority Have Higher Work Engagement, Efficacy and Performance Levels Than Those with Less Seniority
4.2.2. Hypothesis H2. Teachers from High Schools with Higher Admission Marks Have Higher Levels of Work Engagement, Work Efficacy and Performance than Those from High Schools with Lower Admission Marks
4.2.3. Hypothesis H3. Teachers from High Schools with Higher Final Exam Pass Rates Have Higher Work Engagement, Work Efficacy and Performance Levels than Those from High Schools with Lower Final Exam Pass Rates
4.2.4. Hypothesis H4—Teachers’ Perceived Work Performance Is Influenced by Their Level of Work Engagement
4.2.5. Hypothesis H5—Efficacy Is a Mediating Factor between Engagement and Performance
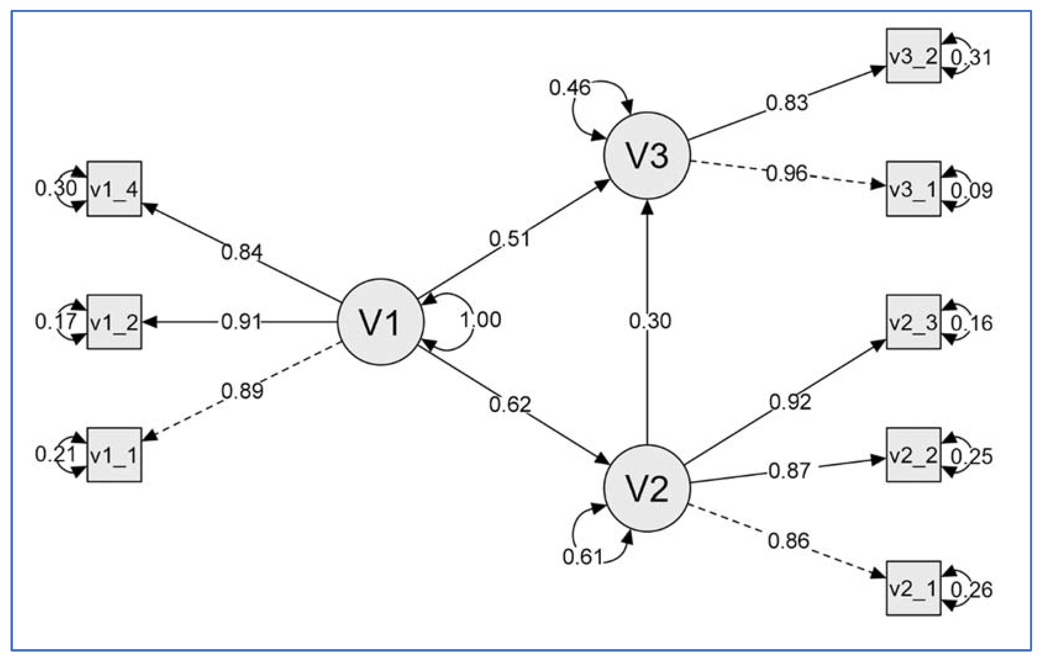
- V1 = Engagement(v1_1 = Emotional engagement, v1_2 = Cognitive engagement, v1_3 = Social engagement—co-workers, v1_4 = Social engagement—students);
- V2 = Efficacy(v2_1 = Efficacy—student engagement, v2_2 = Efficacy—classroom management, v2_3 = Efficacy—instructional strategies);
- V3 = Performance(v3_1 = Performance—individual, v3_2 = Performance—social).
- In the first model—Figure 3—the direct effect is 0.54, which is quite large, whereas the indirect effect is only 0.63 x 0.28 = 0.18; total effect = 0.54 + 0.18 = 0.72 (proportion of indirect effect = 25%);
- In the second model—Figure 4—the direct effect is 0.51, which is again quite large, whereas the indirect effect is also smaller, 0.62 x 0.30 = 0.19; total effect = 0.51 + 0.19 = 0.70 (proportion of indirect effect = 27%);
- The second model has smaller errors, as indicated by comparing the two models (Table 23), which shows the fact that, if we eliminate the social dimension—the relationship with colleagues—from the variable of work engagement, the mediation relationship is actually stronger.
5. Discussions
5.1. Trends and Recommendations Regarding the Evolution of Pre-University Education System
5.2. Limitations and Future Research Directions
- Research directions were outlined before the beginning of the COVID-19 pandemic;
- Empirical research was conducted during the COVID-19 pandemic, which led to important changes in the Romanian education system and teachers’ beliefs, and, unfortunately, we did not have the opportunity to quantify these issues;
- The tools chosen for this research measure the respondents’ own perception, which gives a high degree of subjectivity;
- In this study, we took into account only one part of the teacher–student partnership in the process of learning, without addressing the key actor, which is the student.
- -
- The use of other empirical research methodologies allowing for an increase in the level of objectivity;
- -
- Including an analysis of the impact of the COVID-19 pandemic on the work engagement, work efficacy and work performance of teachers in the research objectives;
- -
- Developing a new study in which we can mirror the perception of students to the perception of teachers in order to have a wider perspective;
- -
- Extending the research to teachers from other school cycles;
- -
- Deepening the understanding of the causality between the levels of engagement and work performance by taking into account other potential mediators besides efficacy;
- -
- Deepening the understanding of the differences in the levels of work engagement, performance and efficacy by looking at other differentiating factors between teachers (i.e., gender, location of the educational institution, etc.).
6. Conclusions
Author Contributions
Funding
Institutional Review Board Statement
Informed Consent Statement
Data Availability Statement
Conflicts of Interest
Appendix A
Appendix A.1. Teachers’ Sense of Efficacy Scale (Five Point Likert Scale)
- How much can you do to get through to the most difficult students?
- How much can you do to help your students think critically?
- How much can you do to motivate students who show low interest in school work?
- How much can you do to get students to believe they can do well in school work?
- How much can you do to help your students value learning?
- How much can you do to foster student creativity?
- How much can you do to improve the understanding of a student who is failing?
- How much can you assist families in helping their children do well in school?
- How much can you do to control disruptive behavior in the classroom?
- To what extent can you make your expectations clear about student behavior?
- How well can you establish routines to keep activities running smoothly?
- How much can you do to get children to follow classroom rules?
- How much can you do to calm a student who is disruptive or noisy?
- How well can you establish a classroom management system with each group of students?
- How well can you keep a few problem students form ruining an entire lesson?
- How well can you respond to defiant students?
- How well can you respond to difficult questions from your students?
- How much can you gauge student comprehension of what you have taught?
- To what extent can you craft good questions for your students?
- How much can you do to adjust your lessons to the proper level for individual students?
- How much can you use a variety of assessment strategies?
- To what extent can you provide an alternative explanation or example when students are confused?
- How well can you implement alternative strategies in your classroom?
- How well can you provide appropriate challenges for very capable students?
Appendix A.2. Teachers’ Work Engagement Scale (Five Point Likert Scale)
- You try your hardest to perform well while teaching.
- While teaching, you really “throw” yourself into your work.
- While teaching you pay a lot of attention to your work.
- While teaching, you work with intensity.
- You are excited about teaching.
- You feel happy while teaching.
- You love teaching.
- You find teaching fun.
- In class, you show warmth to your students.
- In class, you are aware of your students’ feelings.
- In class, you care about the problems of your students.
- In class, you are empathetic towards your students.
- At school, you connect well with your colleagues.
- At school, you are committed to helping your colleagues.
- At school, you value the relationships you build with your colleagues.
- Aschool, you care about the problems of your colleagues.
Appendix A.3. Griffin’s Work Performance Scale (Five Point Likert Scale)
- You carried out the core parts of your job well.
- You completed your core tasks well using the standard procedures.
- You ensured your tasks were completed properly.
- You adapted well to changes in core tasks.
- You coped with changes to the way you have to do your core tasks.
- You learned new skills to help you adapt to changes in your core tasks.
- You initiated better ways of doing your core tasks.
- You come up with ideas to improve the way in which your core tasks are done.
- You made changes to the way your core tasks are done.
- You presented a positive image of the school to other people
- You defended the school if others criticized it.
- You talked about the school in positive ways.
- You responded flexibly to overall changes in the school (e.g., changes in management).
- You coped with changes in the way the school operates.
- You learnt skills or acquired information that helped you adjust to overall changes in the school.
- You made suggestions to improve the overall effectiveness of the school (e.g., by suggesting changes to administrative procedures)
- You involved yourself in changes that are helping to improve the overall effectiveness of the school.
- You come up with ways of increasing efficiency within the school.
References
- Rich, B.L.; Lepine, J.A.; Crawford, E.R. Job engagement: Antecedents and effects on job performance. Acad. Manag. J. 2010, 53, 617–635. [Google Scholar] [CrossRef]
- Rieckmann, M. Education for Sustainable Development Goals. Learning Objectives; Unesco Publishing: Paris, France, 2017. [Google Scholar]
- OECD. Teacher Evaluation: A Conceptual Framework and Examples of Country Practices. In Proceedings of the Paper Presented at the OECD-Mexico Workshop, Towards a Teacher Evaluation Framework in Mexico: International Practices, Criteria and Mechanisms, Mexico City, Mexico, 1–2 December 2009. [Google Scholar]
- Griffin, M.A.; Neal, A.; Parker, S.K. A new model of work role performance: Positive behavior in uncertain and interdependent contexts. Acad. Manag. J. 2007, 50, 327–347. [Google Scholar] [CrossRef]
- Klassen, R.M.; Yerdelen, S.; Durksen, T.L. Measuring Teacher Engagement: Development of the Engaged Teachers Scale (ETS). Front. Learn. Res. 2013, 1, 33–52. [Google Scholar] [CrossRef]
- Tschannen-Moran, M.; Hoy, A.W. Teachers’ Sense of Efficacy Scale Instrument. Teach. Teach. Educ. 2001, 17, 783–805. [Google Scholar] [CrossRef]
- Duffin, L.C.; French, B.F.; Patrick, H. The Teachers’ Sense of Efficacy Scale: Confirming the factor structure with beginning pre-service teachers. Teach. Teach. Educ. 2012, 28, 827–834. [Google Scholar] [CrossRef]
- Gülbahar, B. The Relationship between Work Engagement and Organizational Trust: A Study of Elementary School Teachers in Turkey. J. Educ. Train. Stud. 2017, 5, 149. [Google Scholar] [CrossRef]
- Bedarkar, M.; Pandita, D. A Study on the Drivers of Employee Engagement Impacting Employee Performance. Procedia Soc. Behav. Sci. 2014, 133, 106–115. [Google Scholar] [CrossRef]
- Tensay, A.T.; Singh, M. The nexus between HRM, employee engagement and organizational performance of federal public service organizations in Ethiopia. Heliyon 2020, 6, e04094. [Google Scholar] [CrossRef]
- Huang, S.; Yin, H.; Lv, L. Job characteristics and teacher well-being: The mediation of teacher self-monitoring and teacher self-efficacy. Educ. Psychol. 2019, 39, 313–331. [Google Scholar] [CrossRef]
- Huang, S.; Yin, H.; Jin, Y.; Wang, W. More Knowledge, More Satisfaction with Online Teaching? Examining the Mediation of Teacher Efficacy and Moderation of Engagement during COVID-19. Sustainability 2022, 14, 4405. [Google Scholar] [CrossRef]
- Schwarzer, R.; Hallum, S. Perceived teacher self-efficacy as a predictor of job stress and burnout: Mediation analyses. Appl. Psychol. 2008, 57, 152–171. [Google Scholar] [CrossRef]
- Van Wingerden, J.; Poell, R. Meaningful work and resilience among teachers: The mediating role of work engagement and job crafting. PLoS ONE 2019, 14, e0222518. [Google Scholar] [CrossRef] [PubMed]
- Perera, H.N.; Granziera, H.; McIlveen, P. Profiles of teacher personality and relations with teacher self-efficacy, work engagement, and job satisfaction. Pers. Individ. Dif. 2018, 120, 171–178. [Google Scholar] [CrossRef]
- Yerdelen, S.; Durksen, T.L.; Klassen, R.M. An International Validation Of The Engaged Teachers’ Scale. Teach. Teach. 2018, 24, 673–689. [Google Scholar] [CrossRef]
- Bourguignon, A. The Multiple Functions of Accounting Vocabulary—An Example of Performance. Account. Control. Audit. 1997, 3, 89–101. [Google Scholar]
- Ispas, A. The Perceived Leadership Style and Employee Performance in Hotel Industry—A Dual Approach. Int. Rev. De Manag. Comp. Int. 2012, 13, 294–304. [Google Scholar]
- Neely, A. Business Performance Measurement. Theory and Practice. In Unifying Theories and Integrating Practice; Cambridge University Press: Cambridge, UK, 2007. [Google Scholar]
- Lefter, V.; Deaconu, A. Managementul Resurselor Umane. Teorie Si Practica, 1st ed.; Editura Economica: Bucurest, Romaina, 2008. [Google Scholar]
- Roberts, G.E. Employee performance appraisal system participation: A technique that works. Public Pers. Manag. 2002, 31, 333–341. [Google Scholar] [CrossRef]
- Atkins, P.W.B.; Wood, R.E. Self- versus others’ ratings as predictors of assessment center ratings: Validation evidence for 360-degree feedback programs. Pers. Psychol. 2002, 55, 871–904. [Google Scholar] [CrossRef]
- Fischmann, G.; Sulea, C.; Kovacs, P.; Iliescu, D.; De Witte, H. Qualitative and quantitative job insecurity: Relations with nine types of performance. Psihol. Resur. Um. Rev. Asoc. Psihol. Indusstriala Si Organ. 2015, 13, 152–164. [Google Scholar]
- Radu, C.; Deaconu, A.; Misu, S.I.; Triculescu, M. The Impact of Work Investment on Performance. Amfiteatru Econ. 2020, 22, 1103–1120. [Google Scholar] [CrossRef]
- Nair, M.S.; Salleh, R. Linking Performance Appraisal Justice, Trust, and Employee Engagement: A Conceptual Framework. Procedia-Soc. Behav. Sci. 2015, 211, 1155–1162. [Google Scholar] [CrossRef]
- Singh, S.P.; Karki, J. The Impact of Job Engagement and Organizational Commitment on Organisational Performance. Int. J. Bus. Manag. 2015, 3, 49–55. [Google Scholar]
- Ogbonnaya, C.; Valizade, D. High performance work practices, employee outcomes and organizational performance: A 2-1-2 multilevel mediation analysis. Int. J. Hum. Resour. Manag. 2016, 29, 239–259. [Google Scholar] [CrossRef]
- Alfes, K.; Shantz, A.D.; Truss, C.; Soane, E.C. The link between perceived human resource management practices, engagement and employee behaviour: A moderated mediation model. Int. J. Hum. Resour. Manag. 2013, 24, 330–351. [Google Scholar] [CrossRef]
- Shuck, M.B.; Wollard, K.K. A Historical Perspective of Employee Engagement: An Emerging Definition. In Proceedings of the Eighth Annual College of Education & GSN Research Conference, Miami, FL, USA; 2009; pp. 133–139. [Google Scholar]
- Wollard, K.K.; Shuck, B. Antecedents to employee engagement: A structured review of the literature. Adv. Dev. Hum. Resour. 2011, 13, 429–446. [Google Scholar] [CrossRef]
- Kahn, W. Psychological Conditions of Personal Engagement and Disengagement at Work. Acad. Manag. J. 1990, 33, 692–724. [Google Scholar]
- Maslach, C.; Schaufeli, W.B.; Leiter, M. Job Burnout. Annu. Rev. Psychol. 2001, 52, 397–422. [Google Scholar] [CrossRef]
- Harter, J.K.; Schmidt, F.L.; Hayes, T.L. Business-unit-level relationship between employee satisfaction, employee engagement, and business outcomes: A meta-analysis. J. Appl. Psychol. 2002, 87, 268–279. [Google Scholar] [CrossRef]
- Saks, A.M. Antecedents and consequences of employee engagement. J. Manag. Psychol. 2006, 21, 600–619. [Google Scholar] [CrossRef]
- Goffman, E. Encounters; Penguine University Books: Harmondsworth, UK, 1961. [Google Scholar]
- Schaufeli, W.B.; Salanova, M.; Gonzalez Roma, V. Bakk the measurement of engagement and burnout: A two sample confirmatory factor analytic approach. J. Happiness Stud. 2002, 3, 71–92. [Google Scholar] [CrossRef]
- Salanova, M.; Llorens, S.; Cifre, E.; Martínez, I.M.; Schaufeli, W.B. Perceived collective efficacy, subjective well-being and task performance among electronic work groups: An experimental study. Small Gr. Res. 2003, 34, 43–73. [Google Scholar] [CrossRef]
- Shaw, K. An engagement strategy process. Strateg. Commun. Manag. 2005, 9, 26. [Google Scholar]
- Richman, A. Everyone Wants an Engaged Workforce How Can You Create It? Workspan 2006, 49, 36–39. [Google Scholar]
- Bakker, A.B. An evidence-based model of work engagement. Curr. Dir. Psychol. Sci. 2011, 20, 265–269. [Google Scholar] [CrossRef]
- Whittington, J.L.; Galpin, T.J. The engagement factor: Building a high-commitment organization in a low-commitment world. J. Bus. Strategy 2010, 31, 14–24. [Google Scholar] [CrossRef]
- Sorenson, S. How Employee Engagement Drives Growth. Gall. Bus. J. 2013, 1, 41–44. [Google Scholar]
- Schneider, B.; Macey, W.; Barbera, K.; Martin, N. Driving customer satisfaction and financial success through employee engagement. People Strateg. 2009, 32, 22–27. [Google Scholar]
- Macey, W.H.; Schneider, B. The Meaning of Employee Engagement. Ind. Organ. Psychol. 2008, 1, 3–30. [Google Scholar] [CrossRef]
- Demerouti, E.; Nachreiner, F.; Bakker, A.B.; Schaufeli, W.B. The job demands-resources model of burnout. J. Appl. Psychol. 2001, 86, 499–512. [Google Scholar] [CrossRef]
- Kim, W.; Kolb, J.A.; Kim, T. The Relationship Between Work Engagement and Performance: A Review of Empirical Literature and a Proposed Research Agenda. Hum. Resour. Dev. Rev. 2013, 12, 248–276. [Google Scholar] [CrossRef]
- Barbaranelli, C.; Fida, R.; Paciello, M.; Tramontano, C. ‘Possunt, quia posse videntur’: They can because they think they can. Development and validation of the Work Self-Efficacy scale: Evidence from two studies. J. Vocat. Behav. 2018, 106, 249–269. [Google Scholar] [CrossRef]
- Stajkovic, A.D.; Luthans, F. Social cognitive theory and self-efficacy: Goin beyond traditional motivational and behavioral approaches. Organ. Dyn. 1998, 26, 62–74. [Google Scholar] [CrossRef]
- Bandura, A. Social Foundations of Thoughts and Action: A Social Cognitive Theory; Prentice Hall: Englewood Cliffs, NJ, USA, 1986. [Google Scholar]
- Heuven, E.; Bakker, A.B.; Schaufeli, W.B.; Huisman, N. The role of self-efficacy in performing emotion work. J. Vocat. Behav. 2006, 69, 222–235. [Google Scholar] [CrossRef]
- Yakın, M.; Erdil, O. Relationships Between Self-Efficacy and Work Engagement and the Effects on Job Satisfaction: A Survey on Certified Public Accountants. Procedia-Soc. Behav. Sci. 2012, 58, 370–378. [Google Scholar] [CrossRef]
- Cetin, F. The Roles of Self-efficacy and Locus of Control in the Intrapreneurship. Bus. Econ. Res. J. 2011, 2, 69–85. [Google Scholar]
- do ceu Roldão, M. Função docente: Natureza e construção do conhecimento profissional. Rev. Bras. Educ. 2007, 12, 94–103. [Google Scholar] [CrossRef]
- Cook, J.B.; Mansfield, R.K. Task-specific experience and task-specific talent: Decomposing the productivity of high school teachers. J. Public Econ. 2016, 140, 51–72. [Google Scholar] [CrossRef]
- Sutton, R.E. Emotional regulation goals and strategies of teachers. Soc. Psychol. Educ. 2004, 7, 379–398. [Google Scholar] [CrossRef]
- Ebmeier, H.; Ng, J. Development and field test of an employment selection instrument for teachers in urban school districts. J. Pers. Eval. Educ. 2005, 18, 201–218. [Google Scholar] [CrossRef]
- Zhang, L. fang Do personality traits make a difference in teaching styles among Chinese high school teachers? Pers. Individ. Dif. 2007, 43, 669–679. [Google Scholar] [CrossRef]
- Beijaard, D.; Meijer, P.C.; Morine-Dershimer, G.; Tillema, H.; Laursen, P.F. The Authentic Teacher. In Teacher Professional Development in Changing Conditions; Kluwer Academic Publisher: Dordrecht, The Netherlands, 2005; pp. 199–212. [Google Scholar]
- van der Wal, M.M.; Oolbekkink-Marchand, H.W.; Schaap, H.; Meijer, P.C. Impact of early career teachers’ professional identity tensions. Teach. Teach. Educ. 2019, 80, 59–70. [Google Scholar] [CrossRef]
- Burke, P.; Stets, J. Identity Theory; Oxford University Press: Oxford, UK, 2009. [Google Scholar]
- McLennan, B.; McIlveen, P.; Perera, H.N. Pre-service teachers’ self-efficacy mediates the relationship between career adaptability and career optimism. Teach. Teach. Educ. 2017, 63, 176–185. [Google Scholar] [CrossRef]
- Granziera, H.; Perera, H.N. Relations among teachers’ self-efficacy beliefs, engagement, and work satisfaction: A social cognitive view. Contemp. Educ. Psychol. 2019, 58, 75–84. [Google Scholar] [CrossRef]
- Vinhais, P.; Abelha, M. Supervision and Appraisal of Foreign Language Teachers’ Performance. Procedia-Soc. Behav. Sci. 2015, 174, 783–790. [Google Scholar] [CrossRef][Green Version]
- Lung, M.; Alexandra, N.L. Financing Higher Education in Europe: Issues and Challenges. Procedia-Soc. Behav. Sci. 2012, 51, 938–942. [Google Scholar] [CrossRef]
- Roth, G.; Assor, A.; Kanat-Maymon, Y.; Kaplan, H. Autonomous Motivation for Teaching: How Self-Determined Teaching May Lead to Self-Determined Learning. J. Educ. Psychol. 2007, 99, 761–774. [Google Scholar] [CrossRef]
- Wasilowski, S. Employee Engagement in Higher Education. J. Soc. Sci. Res. 2018, 12, 2699–2712. [Google Scholar] [CrossRef]
- Pittaway, S.M. Student and staff engagement: Developing an engagement framework in a faculty of education. Aust. J. Teach. Educ. 2012, 37, 3. [Google Scholar] [CrossRef]
- Kangas, M.; Siklander, P.; Randolph, J.; Ruokamo, H. Teachers’ engagement and students’ satisfaction with a playful learning environment. Teach. Teach. Educ. 2017, 63, 274–284. [Google Scholar] [CrossRef]
- Linnenbrink, E.A.; Pintrich, P.R. The role of self-efficacy belief in student engagment and learning in the classroom. Read. Writ. Q. 2003, 19, 119–137. [Google Scholar] [CrossRef]
- OECD. TALIS 2018 Results (Volume I): Teachers and School Leaders as Lifelong Learners; OECD: Paris, France, 2019. [Google Scholar] [CrossRef]
- Pianta, R.; Hamre, B.; Allen, J.A. Teacher-Student Relationships and Engagement: Conceptualizing, Measuring, and Improving the Capacity of Classroom Interactions. In Handbook of Research on Student Engagement; Springer: Boston, MA, USA, 2012; pp. 365–386. [Google Scholar] [CrossRef]
- Roorda, D.L.; Koomen, H.M.Y.; Spilt, J.L.; Oort, F.J. The influence of affective teacher-student relationships on students’ school engagement and achievement: A meta-analytic approach. Rev. Educ. Res. 2011, 81, 493–529. [Google Scholar] [CrossRef]
- Jennings, P.A.; Greenberg, M.T. The prosocial classroom: Teacher social and emotional competence in relation to student and classroom outcomes. Rev. Educ. Res. 2009, 79, 491–525. [Google Scholar] [CrossRef]
- Watt, H.M.G.; Richardson, P.W. Motivational factors influencing teaching as a career choice: Development and validation of the FIT-choice scale. J. Exp. Educ. 2007, 75, 167–202. [Google Scholar] [CrossRef]
- Mișu, S.I. Teacher′s work engagement—Change and adaptation during COVID-19. Bus. Excell. Manag. 2020, 10, 243–255. [Google Scholar] [CrossRef]
- Colomeischi, A.A. Teachers′ Life Satisfaction and Wellbeing: Engagement Influences. In Proceedings of the 15th Ed. International Conference on Sciences of Education, Studies and Current Trends in Science of Education, Suceava, Romania, 9–10 June 2017; LUMEN: Suceava, Romania, 2018; Volume 2, pp. 139–150. [Google Scholar] [CrossRef]
- Truta, C. Emotional Labor and Motivation in Teachers. Procedia-Soc. Behav. Sci. 2014, 127, 791–795. [Google Scholar] [CrossRef]
- Bria, M.; Spânu, F.; Bəban, A.; Dumitraşcu, D.L. Maslach Burnout Inventory—General Survey: Factorial validity and invariance among Romanian healthcare professionals. Burn. Res. 2014, 1, 103–111. [Google Scholar] [CrossRef]
- Mișu, S.I.; Ghenu, C.I. Drivers of Engagement for the PhD Students who Perform Teaching Activities. In Proceedings of the NORDSCI International Conference on Social Sciences, Conference Proceedings Book 1, Athens, Greece, 19 August 2019; NORDSCI: Athens, Greece, 2019; Volume 2, pp. 19–27. [Google Scholar]
- Mişu, S.I. Indefinite vs. fixed-term work contracts: The impact over the teachers’ work-engagement. Proc. Int. Conf. Bus. Excell. 2020, 14, 893–905. [Google Scholar] [CrossRef]
- Klassen, R.M.; Chiu, M.M. Effects on teachers’ self-efficacy and job satisfaction: Teacher gender, years of experience, and job stress. J. Educ. Psychol. 2010, 102, 741–756. [Google Scholar] [CrossRef]
- Penrose, A.; Perry, C.; Ball, I. Emotional intelligence and teacher self efficacy: The contribution of teacher status and length of experience. Issues Educ. Res. 2017, 17, 107–126. [Google Scholar]
- Judge, T.A.; Piccolo, R.F.; Podsakoff, N.P.; Shaw, J.C.; Rich, B.L. The relationship between pay and job satisfaction: A meta-analysis of the literature. J. Vocat. Behav. 2010, 77, 157–167. [Google Scholar] [CrossRef]
- Ingersoll, R. Teacher Turnover and Teacher Shortages: An Organizational Analysis. Am. Educ. Res. J. 2001, 38, 499–534. [Google Scholar] [CrossRef]
- Toropova, A.; Myrberg, E.; Johansson, S. Teacher job satisfaction: The importance of school working conditions and teacher characteristics. Educ. Rev. 2021, 73, 71–97. [Google Scholar] [CrossRef]
- Bakker, A.B.; Demerouti, E. The Job Demands-Resources model: State of the art. J. Manag. Psychol. 2007, 22, 309–328. [Google Scholar] [CrossRef]
- Smith, M.; Bititci, U.S. Interplay between performance measurement and management, employee engagement and performance. Int. J. Oper. Prod. Manag. 2017, 37, 1207–1228. [Google Scholar] [CrossRef]
- Ravinder, E.B.; Saraswathi, A.B. Literature Review of Cronbach alpha coefficient (A) and Mcdonald’s Omega Coefficient (Ω). Eur. J. Mol. Clin. Med. 2020, 7, 2943–2949. [Google Scholar]
- Fives, H.; Buehl, M.M. Examining the factor structure of the teachers’ sense of efficacy scale. J. Exp. Educ. 2009, 78, 118–134. [Google Scholar] [CrossRef]
- Çapa, Y.; Çakıroğlu, J.; Sarıkaya, H. The Development and Validation of a Turkish Version of the Teachers’ Sense of Efficacy. Educ. Sci. 2005, 30, 74–81. [Google Scholar]




| No. | Dimension | McDonald’s ω | Confidence Interval (95%) |
|---|---|---|---|
| 1 | Efficacy in Student Engagement | 0.881 | Lower bound = 0.869 Upper bound = 0.894 |
| 2 | Efficacy in Instructional Strategies | 0.903 | Lower bound = 0.893 Upper bound = 0.913 |
| 3 | Efficacy in Classroom Management | 0.920 | Lower bound = 0.912 Upper bound = 0.928 |
| No. | Dimension | McDonald’s ω | Confidence Interval (95%) |
|---|---|---|---|
| 1 | Cognitive engagement | 0.868 | Lower bound = 0.853 Upper bound = 0.883 |
| 2 | Emotional engagement | 0.922 | Lower bound = 0.913 Upper bound = 0.931 |
| 3 | Social engagement with co-workers | 0.877 | Lower bound = 0.863 Upper bound = 0.891 |
| 4 | Social engagement with students | 0.881 | Lower bound = 0.867 Upper bound = 0.894 |
| No. | Dimension | McDonald’s ω | Confidence Interval (95%) |
|---|---|---|---|
| 1 | Individual performance | 0.929 | Lower bound = 0.922, Upper bound = 0.937 |
| 2 | Performance as a member of the school | 0.863 | Lower bound = 0.849, Upper bound = 0.877 |
| C.E. | E.E. | S.E.-C | S.E.-S | E.S.E. | E.C.M. | E.I.S. | P.-I. | P.-M. | |
|---|---|---|---|---|---|---|---|---|---|
| N | 817 | 817 | 817 | 817 | 817 | 817 | 817 | 817 | 817 |
| Mean | 18.488 | 18.115 | 17.563 | 18.137 | 29.935 | 32.449 | 33.353 | 38.908 | 37.360 |
| Median | 19.000 | 19.000 | 18.000 | 19.000 | 30.000 | 33.000 | 34.000 | 40.000 | 38.000 |
| Std. Dev. | 2.066 | 2.417 | 2.420 | 2.200 | 4.902 | 4.977 | 4.692 | 5.305 | 5.735 |
| Skewness | −2.031 | −1.713 | −1.333 | −1.695 | −0.480 | −0.951 | −1.099 | −1.135 | −0.890 |
| Kurtosis | 6.776 | 4.685 | 2.846 | 4.851 | 1.053 | 2.172 | 2.629 | 2.443 | 0.992 |
| Shapiro–Wilk p | <0.001 | <0.001 | <0.001 | <0.001 | <0.001 | <0.001 | <0.001 | <0.001 | <0.001 |
| Min | 4.000 | 4.000 | 4.000 | 4.000 | 8.000 | 8.000 | 8.000 | 9.000 | 9.000 |
| Max | 20.000 | 20.000 | 20.000 | 20.000 | 40.000 | 40.000 | 40.000 | 45.000 | 45.000 |
| Seniority | Frequency | Percent |
|---|---|---|
| Over 20 years | 444 | 54.345% |
| Under 20 years | 373 | 45.655% |
| Total | 817 | 100% |
| Variable | W | p-Value | Rank-Biserial Correlation |
|---|---|---|---|
| Cognitive engagement | 92,487.500 | 0.001 | 0.117 |
| Emotional engagement | 87,588.500 | 0.066 | 0.058 |
| Social engagement—co-workers | 94,993.000 | <0.001 | 0.147 |
| Social engagement—students | 84,497.500 | 0.301 | 0.020 |
| Efficacy in student engagement | 83,350.500 | 0.436 | 0.007 |
| Efficacy in classroom management | 92,180.000 | 0.003 | 0.113 |
| Efficacy in instructional strategies | 90,380.500 | 0.012 | 0.091 |
| Individual performance | 86,438.500 | 0.139 | 0.044 |
| Performance as a member of the school | 91,038.500 | 0.007 | 0.099 |
| Variable | Group | N | Mean | Standard Deviation | Standard Error |
|---|---|---|---|---|---|
| Cognitive engagement | ≥20 years | 444 | 18.741 | 1.736 | 0.082 |
| <20 years | 373 | 18.188 | 2.369 | 0.123 | |
| Social engagement with co-workers | ≥20 years | 444 | 17.881 | 2.139 | 0.102 |
| <20 years | 373 | 17.185 | 2.670 | 0.138 | |
| Efficacy in classroom management | ≥20 years | 444 | 32.971 | 4.386 | 0.208 |
| <20 years | 373 | 31.828 | 5.542 | 0.287 | |
| Efficacy in instructional strategies | ≥20 years | 444 | 33.793 | 4.239 | 0.201 |
| <20 years | 373 | 32.828 | 5.136 | 0.266 | |
| Performance as a member of the school | ≥20 years | 444 | 37.910 | 5.259 | 0.250 |
| <20 years | 373 | 36.705 | 6.198 | 0.321 |
| Validated Variable | Potential Explanatory Factor |
|---|---|
| Cognitive engagement |
|
| Social engagement with co-workers |
|
| Efficacy in classroom management |
|
| Efficacy in instructional strategies |
|
| Performance as a member of the school |
|
| Average Admission Marks | Frequency | Percent |
|---|---|---|
| <7 | 297 | 36.153% |
| 7–8.5 | 231 | 28.274% |
| >8.5 | 289 | 35.273% |
| Total | 817 | 100% |
| Variable | χ2 | df | p | ε2 |
|---|---|---|---|---|
| Cognitive engagement | 7.277 | 2 | 0.026 | 0.00892 |
| Emotional engagement | 2.816 | 2 | 0.245 | 0.00345 |
| Social engagement—co-workers | 8.721 | 2 | 0.013 | 0.01069 |
| Social engagement—students | 3.917 | 2 | 0.141 | 0.00480 |
| Efficacy in student engagement | 42.226 | 2 | <0.001 | 0.05175 |
| Efficacy in classroom management | 12.455 | 2 | 0.002 | 0.01526 |
| Efficacy in instructional strategies | 11.768 | 2 | 0.003 | 0.01442 |
| Individual performance | 0.960 | 2 | 0.619 | 0.00118 |
| Performance as a member of the school | 4.439 | 2 | 0.109 | 0.00544 |
| Average Admission Marks Below 7 | Average Admission Marks 7–8.5 | Average Admission Marks over 8.5 | |
|---|---|---|---|
| Cognitive engagement | |||
| N | 297 | 231 | 289 |
| Mean | 18.360 | 18.290 | 18.779 |
| Standard error | 0.130 | 0.138 | 0.107 |
| Standard deviation | 2.247 | 2.091 | 1.812 |
| Min value | 4.000 | 12.000 | 4.000 |
| Max value | 20.000 | 20.000 | 20.000 |
| Social engagement with co-workers | |||
| N | 297 | 231 | 289 |
| Mean | 17.690 | 17.242 | 17.689 |
| Standard error | 0.150 | 0.158 | 0.131 |
| Standard deviation | 2.589 | 2.407 | 2.227 |
| Min value | 4.000 | 7.000 | 7.000 |
| Max value | 20.000 | 20.000 | 20.000 |
| Efficacy in student engagement | |||
| N | 297 | 231 | 289 |
| Mean | 28.657 | 29.693 | 31.443 |
| Standard error | 0.301 | 0.305 | 0.259 |
| Standard deviation | 5.179 | 4.629 | 4.402 |
| Min value | 8.000 | 16.000 | 14.000 |
| Max value | 40.000 | 40.000 | 40.000 |
| Efficacy in classroom management | |||
| N | 297 | 231 | 289 |
| Mean | 31.902 | 31.987 | 33.381 |
| Standard error | 0.307 | 0.336 | 0.258 |
| Standard deviation | 5.292 | 5.112 | 4.379 |
| Min value | 8.000 | 9.000 | 15.000 |
| Max value | 40.000 | 40.000 | 40.000 |
| Efficacy in instructional strategies | |||
| N | 297 | 231 | 289 |
| Mean | 32.774 | 33.009 | 34.221 |
| Standard error | 0.294 | 0.307 | 0.245 |
| Standard deviation | 5.073 | 4.669 | 4.161 |
| Min value | 8.000 | 16.000 | 16.000 |
| Max value | 40.000 | 40.000 | 40.000 |
| Validated Variable | Potential Explanatory Factor |
|---|---|
| Cognitive engagement |
|
| Social engagement with co-workers |
|
| Efficacy in student engagement |
|
| Efficacy in classroom management |
|
| Efficacy in instructional strategies |
|
| Final Exam’s Pass Rate | Frequency | Percent |
|---|---|---|
| <40% | 191 | 23.378% |
| 40–90% | 306 | 37.454% |
| >90% | 320 | 39.168% |
| Total | 817 | 100% |
| Variable | χ2 | df | p | ε2 |
|---|---|---|---|---|
| Cognitive engagement | 4.095 | 2 | 0.129 | 0.00502 |
| Emotional engagement | 1.526 | 2 | 0.466 | 0.00187 |
| Social engagement—co-workers | 1.634 | 2 | 0.442 | 0.00200 |
| Social engagement—students | 0.287 | 2 | 0.866 | 3.51 × 10−4 |
| Efficacy in student engagement | 50.391 | 2 | <0.001 | 0.06175 |
| Efficacy in classroom management | 18.351 | 2 | < 0.001 | 0.02249 |
| Efficacy in instructional strategies | 13.763 | 2 | 0.001 | 0.01687 |
| Individual performance | 1.134 | 2 | 0.567 | 0.00139 |
| Performance as a member of the school | 0.626 | 2 | 0.731 | 7.67 × 10−4 |
| Final Exam Pass Rate < 40% | Final Exam Pass Rate 40–90% | Final Exam Pass Rate > 90% | |
|---|---|---|---|
| Efficacy in Student Engagement | |||
| N | 191 | 306 | 320 |
| Mean | 28.089 | 29.588 | 31.369 |
| Standard error | 0.364 | 0.280 | 0.246 |
| Standard deviation | 5.029 | 4.890 | 4.395 |
| Min value | 9.000 | 8.000 | 16.000 |
| Max value | 38.000 | 40.000 | 40.000 |
| Efficacy in Classroom Management | |||
| N | 191 | 306 | 320 |
| Mean | 31.366 | 32.157 | 33.375 |
| Standard error | 0.378 | 0.300 | 0.244 |
| Standard deviation | 5.225 | 5.252 | 4.368 |
| Min value | 8.000 | 8.000 | 16.000 |
| Max value | 40.000 | 40.000 | 40.000 |
| Efficacy in Instructional Strategies | |||
| N | 191 | 306 | 320 |
| Mean | 32.497 | 33.059 | 34.144 |
| Standard error | 0.372 | 0.273 | 0.235 |
| Standard deviation | 5.139 | 4.776 | 4.198 |
| Min value | 8.000 | 8.000 | 16.000 |
| Max value | 40.000 | 40.000 | 40.000 |
| Validated Variable | Potential Explanatory Factor |
|---|---|
| Efficacy in student engagement |
|
| Efficacy in classroom management | |
| Efficacy in instructional strategies |
| Model | R | R2 | Adjusted R2 | RMSE | p |
|---|---|---|---|---|---|
| 1 | 0.654 | 0.428 | 0.425 | 4.021 | <0.001 |
| Model | Sum of Squares | df | Mean Square | F | p | |
|---|---|---|---|---|---|---|
| 1 | Regression | 9831.038 | 4 | 2457.760 | 151.983 | <0.001 |
| Residual | 13,131.077 | 812 | 16.171 | |||
| Total | 22,962.115 | 816 |
| Model | Unstandardised | Standard Error | Standardised | t | p | |
|---|---|---|---|---|---|---|
| 1 | (Intercept) | 6.895 | 1.326 | 5.200 | <0.001 | |
| Cognitive engagement | 0.678 | 0.131 | 0.264 | 5.168 | <0.01 | |
| Emotional engagement | 0.263 | 0.107 | 0.120 | 2.452 | 0.014 | |
| Social engagement—co-workers | 0.309 | 0.080 | 0.141 | 3.855 | <0.001 | |
| Social engagement—students | 0.512 | 0.110 | 0.212 | 4.668 | <0.001 |
| Model | R | R2 | Adjusted R2 | RMSE | p |
|---|---|---|---|---|---|
| 2 | 0.596 | 0.355 | 0.352 | 4.616 | <0.001 |
| Model | Sum of Squares | Df | Mean Square | F | p | |
|---|---|---|---|---|---|---|
| 2 | Regression | 9532.807 | 4 | 2.383.202 | 151.983 | <0.001 |
| Residual | 17,303.397 | 812 | 21.310 | |||
| Total | 26,836.203 | 816 |
| Model | Unstandardised | Standard Error | Standardised | t | p | |
|---|---|---|---|---|---|---|
| 2 | (Intercept) | 6.935 | 1.522 | 4.556 | <0.001 | |
| Cognitive engagement | 0.337 | 0.151 | 0.122 | 2.239 | 0.025 | |
| Emotional engagement | 0.289 | 0.123 | 0.122 | 2.349 | 0.019 | |
| Social engagement—co-workers | 0.727 | 0.092 | 0.307 | 7.902 | <0.001 | |
| Social engagement—students | 0.341 | 0.126 | 0.131 | 2.707 | 0.007 |
| X2 | CFI | TLI | RMSEA | SRMR | |
|---|---|---|---|---|---|
| Structural equation Model 1 | 183.905 | 0.972 | 0.958 | 0.090 | 0.032 |
| Structural equation Model 2 | 93.877 | 0.985 | 0.975 | 0.074 | 0.029 |
Publisher’s Note: MDPI stays neutral with regard to jurisdictional claims in published maps and institutional affiliations. |
© 2022 by the authors. Licensee MDPI, Basel, Switzerland. This article is an open access article distributed under the terms and conditions of the Creative Commons Attribution (CC BY) license (https://creativecommons.org/licenses/by/4.0/).
Share and Cite
Mișu, S.I.; Radu, C.; Deaconu, A.; Toma, S. How to Increase Teacher Performance through Engagement and Work Efficacy. Sustainability 2022, 14, 10167. https://doi.org/10.3390/su141610167
Mișu SI, Radu C, Deaconu A, Toma S. How to Increase Teacher Performance through Engagement and Work Efficacy. Sustainability. 2022; 14(16):10167. https://doi.org/10.3390/su141610167
Chicago/Turabian StyleMișu, Sorina Ioana, Cătălina Radu, Alecxandrina Deaconu, and Simona Toma. 2022. "How to Increase Teacher Performance through Engagement and Work Efficacy" Sustainability 14, no. 16: 10167. https://doi.org/10.3390/su141610167
APA StyleMișu, S. I., Radu, C., Deaconu, A., & Toma, S. (2022). How to Increase Teacher Performance through Engagement and Work Efficacy. Sustainability, 14(16), 10167. https://doi.org/10.3390/su141610167
