Abstract
With the development of autonomous driving technology and the internet, automotive human–machine interface (HMI) technology has become an important part of contemporary automotive design. Currently, global automakers are designing a variety of innovative in-car HMIs that illustrate the direction of automotive design in the new era from the perspective of technological aesthetics and experience design. However, sleek designs and innovative experience methods must be built on the basis of safety. Therefore, it is necessary to summarize existing research in the field of automotive HMI and construct a literature review of automotive design research. In this paper, literature on automotive HMI from the Scopus database was analyzed using bibliometric methods such as descriptive analysis, keyword co-occurrence, and literature co-citation network analysis. The final mapping analysis revealed that the current automotive HMI research literature primarily focuses on user research, interface research, external environment research, and technology implementation research related to automotive HMI. The three main stages of automotive HMI research include conceptual construction, system and technology refinement, and user perception research from the perspective of driver assistance and information recognition. Additionally, burst detection suggests that future research should focus on driver assistance, trust levels, and e-HMI information communication.
1. Introduction
As autonomous driving technology continues to evolve, automotive human–machine interface (HMI) technology is quickly becoming an important platform for users to interact with information in their vehicles. The automotive HMI allows the driver in a vehicle to communicate with the vehicle system in real time to interact without interference while driving. The automotive HMI is a platform for exchanging information and transforming raw and organized data into useful and manipulable data. Gesture control, custom designs, voice recognition, and augmented reality are key features for building automotive HMIs. Notably, the automotive HMI connects not only the driver and car, but also the outside world. This can help the driver understand information about the surrounding environment. At present, automotive HMI technology has initially been used in mid- to high-end new energy vehicles and has a good development trend. The purpose of this paper is to analyze and study the automotive HMI to provide a reliable theoretical source for the next phase of experimental research through an in-depth study of this field. CiteSpace is a multifaceted, time-phased, dynamic citation visualization software developed in the context of scientometrics, data, and information visualization that can analyze the potential knowledge contained in scientific literature. Since the structure, pattern, and distribution of scientific knowledge can be presented through visualization with this software, the visualization graphs obtained using this method are called “scientific knowledge maps” [].
This research framework examines the scope and development of automotive HMIs at a macro level to understand the level of expertise and knowledge in this field. Simultaneously, important journals were studied and analyzed at the micro level to understand the methods, perspectives, and mindsets of research in the field. The main tool of the bibliometric approach is CiteSpace software (CiteSpace 5.8.R3, Chao-Mei Chen, Philadelphia, PA, USA), which was developed by Chaomei Chen’s team and based on the theory of co-citation analysis and the network pathfinding algorithm to show the overall situation of a specific field. It can visualize important clues, such as landmark work in the field, mainstream themes, field relevance, and the development of research frontiers. To obtain relevant and valuable research content in the present study, we analyzed (1) the current status of research obtained through yearly literature volume statistics, located in Section 3.1 of the article; (2) international research relationships by country, institution, and author collaboration networks, located in Section 3.2 of the article; (3) research hotspots through keyword co-occurrence and clustering, located in Section 3.3 of the article; and (4) field development and its future directions through literature co-citation and burst detection, which are located in Section 4 and Section 5 of the article.
2. Materials and Methods
2.1. Method
According to the guidelines related to empirical research, it is necessary to understand the laws of mathematical analysis within the CiteSpace software in order to explore its principles of visualizing literature data. The main visualization logic of the CiteSpace software is its relationship rating network analysis. In addition, according to the study, certain standard value algorithms are added to achieve appropriate experimental objectives.
2.1.1. Co-Citation Network Analysis Relationship Formula
CiteSpace software is mostly used for summarizing research knowledge and exploring research frontiers, which refer to the current hot theoretical trends and emergence of new topics, while co-citation networks form the knowledge base. By using a hybrid network of emergent terms and co-citation networks extracted from titles, abstracts, and other sections of analyses, the specific formulation is that a research area can be conceptualized as a temporal mapping Φ(t) from the research frontier Ψ(t) to the knowledge base Ω(t), i.e., Φ(t): Ψ(t) → Ω(t). CiteSpace is then able to identify and display Φ(t)—the development of new trends over time—and abrupt changes in research topics. Ψ(t) is a collection of related terms that are closely related to emerging trends at time t. These terms are called frontier terms. Ω(t) consists of a large number of articles quoted by articles in which frontier terms appear, and its relation equation is illustrated below [].
In this relation, expresses a series of title terminologies, indicates a Boolean function, and indicates that cites .
2.1.2. Algorithm Formulation for Different Research Elements
- 1.
- Cosine algorithm
The links parameter is primarily used to select the method for calculating the association force of network nodes. Cosine algorithm is mostly applied in CiteSpace for the calculation of link strength, and its calculation formula is as follows [].
- 2.
- Mediated centrality algorithm formula
Mediated centrality is a measure of the importance of nodes in the network, which is used in CiteSpace to discover and measure the importance of the literature, and the category is highlighted with a purple outer ring (nodes with purple outer ring are not less than 0.1). Literature with high mediated centrality is usually a key hub that connects different fields. The formula for calculating intermediary centrality is as follows [].
- 3.
- Q-value and S-value
Q-value and S-value are important measures to evaluate the quality of clustering.
The Q value, also known as modularity, is an evaluation index of the modularity of a network, and the larger the modularity value of a network, the better the clustering obtained by the network [].
In this formula, A = is the adjacency matrix of the actual network; is the expected value of the number of connected edges between node i and node j in the zero models; and and represent the associations to which node i and node j belong in the network, respectively. If I and j belong to the same association, then σ = 1; otherwise σ = 0 [].
S-value, also known as Silhouette value, is a parameter used to evaluate the effect of clustering. Specifically, the clustering is evaluated by measuring the homogeneity of the network. The closer the S value is to 1, the more the homogeneity of the network is reflected, and the clustering result has high confidence when the S value is 0.7. Above 0.5, the clustering result can be considered reasonable, and its calculation formula is as follows [].
In this equation, −1 ≤ ≤ 1 is obtained; where a is the average distance between point I and other points in its class; b is the average distance between point I and the points in the class closest to point i. The average S value is the average of the contour values of each sample point [].
2.2. Data Sources
In the present study, based on the larger range of the Scopus database and the richer sample of studies in related fields, we obtained relevant literature data from the Scopus database. Using the relevant mathematical analysis rules of bibliometrics, the literature data were converted into a graphic representation, i.e., a visualized knowledge map. In this way, the structure, mode, and distribution of scientific knowledge of relevant literature can be clearly presented by visual means []. CiteSpace software, which was developed by Prof. Chaomei Chen of Drexel University, USA, integrates bibliometric and information visualization principles to graphically describe the evolutionary process and structural relationships of scientific knowledge. It is an important tool for creating knowledge maps []. In this paper, we used CiteSpace version 5.8.R3., selected plain text format for all records and citations for the record content, saved the selected documents from the Scopus database, and filtered the articles by year. The earliest published article was found to be from 1992, and no relevant articles were published from 1993 to 1997, so we set the period from 1998 to 2022 with a time step of 1 year. Hotspots and trends in the field of automotive HMI were calculated and charted according to the functions of authors, institutions, countries, keywords, etc.
In this paper, the field of automotive HMI was studied, and the data were searched on 3 April 2022. “Human–machine interface” and “car” were used as the search keywords, and 429 valid papers were obtained.
2.3. Technology Roadmap
In this study, we adopt the analysis logic from the bibliometric perspective, and the fundamental thinking logic is macro-analysis and micro-analysis (see Figure 1). The macro-analysis mainly obtains the prior status of the research field from the amount of literature published in the subject area, the amount of cooperation and literature published between countries, and the amount of cooperation between and literature published by scholars. The micro-analysis mainly starts from the keywords of the article, which can represent the breadth and depth of the research as the core condensed points of the article. Therefore, the micro-analysis adopts the analysis methods of keyword co-occurrence, keyword co-quotation, and Burst detection in the CiteSpace software to analyze the research content of the specific article from behind the keywords. Thus, the whole analysis logic presents the entire process from large to small, shallow to deep, and prediction to argument. The entire thinking logic is in line with the argumentative process of academic research.

Figure 1.
Technology Roadmap.
3. Results
3.1. Literature Trend Analysis
The distribution of papers can be used to analyze the relationship between changes in the number of papers published in a given field and changes over time. Moreover, it is a research method used to evaluate the current state of research in the field and to predict developments.
As shown in Figure 2, there has been an overall upward trend in the number of publications in the field of automotive HMIs over the past 24 years. Price, a leading scholar in the field of bibliometrics, argued that a research field with exponential growth in the number of publications indicates that the field is in a phase of rapid development and suggested that new theories and methods will continue to emerge []. From 1998 to 2002, the number of publications in the field of automotive HMIs grew slowly. Between 2003 and 2019, the number of automotive HMI studies increased slowly in a double-digit trend, with a small drop in the middle of this period, reaching a historical peak of 45 papers in 2019. Although the number of papers published annually fell after 2019, the total number of papers published each year was stable above 30 over the past 5 years, which indicates that current research has reached an in-depth stage.

Figure 2.
Trends in published HMI papers.
The annual average citations of the literature shows that the value of interannual variation is not continuous from 1998 to 2022. Still, the overall trend is on the rise, and from 1998 to 2012, annual average citations fluctuates less, but the overall annual average citation frequency is low. This indicates that there is less literature on the innovative level at that stage and that the research for the subject area is still in the primary research stage. Since 2012, average annual citations fluctuates more, with the lowest being approximately 1.0 and the highest being approximately 4.3, indicating that there are innovative articles in this period and that the research on the subject area has made more significant progress. Still, the overall research level is more unstable. In addition, a comparison with the annual trend graph of the number of articles issued shows that the two trend lines are positively proportional from 1998 to 2007, but most of them are inversely proportional between 2011 and 2018, indicating that the research progress was relatively smooth in the early stage and blocked from time to time in the later stage. after 2018, both trend lines are positively proportional and start to decline, indicating that the research level of the automotive human–machine interface still requires further improvement.
3.2. Network Approach
3.2.1. Country Cooperation Network
According to the national cooperation network diagram (Figure 3), research cooperation in the field of automotive HMI between countries is relatively close. There are 118 nodes and 175 connections in the cooperative network, and the network density is 0.0254. From the perspective of the number of papers, the size of a node represents the number of papers, and the larger the node, the more papers published in the country. As shown in Table 1, the top five countries by the number of papers are Germany (87), the USA (49), China (28), Japan (23), and the UK (21). Centrality reveals the focused position of the research field; the higher the centrality, the more important the country is and the greater its dedication to the field of expertise. Nodes are marked with pink circles, indicating that the centrality of these nodes is greater than 0.1. This indicates that they have greater centrality (i.e., key nodes). Based on our results, the key nodes include Germany (0.34), the USA (0.21).

Figure 3.
Country cooperation network.

Table 1.
Relevant data on the top 10 countries.
The connections between nodes indicate the existence of a cooperative relationship between two countries. The color of the connecting line indicates the time of cooperation. The closer the color is to a purple color, the earlier the cooperation time; the closer the color is to a green color, the more recent the cooperation time. From a temporal perspective, many countries established cooperation networks at an early stage, including Germany, Japan, the USA, and Netherlands. In recent years, all countries are actively participating in this field of research. For example, Australia, China, and the United States have established cooperation with many countries in recent years.
3.2.2. Institutional Cooperation Network
Regarding the collaborative networks of research institutions, Figure 4 presents a total of 672 nodes and 731 connections, with a network density of 0.0032, a low network density, and a more fragmented overall network form. The School of Mechanical Engineering, Sungkyunkwan University has the most published papers, with a total of seven publications, followed by the Department of Psychology, Ruhr University Bochum and BMW Group, with a total of four publications each. The Department of Biomechanical Engineering and the Faculty of Mechanical, Maritime and Materials Engineering, Delft University of Technology; Jaguar Land Rover, Eindhoven University of Technology; Institute of Ergonomics, Technical University of Munich; Delft University of Technology; Volkswagen AG; and the Department of Mechanical Engineering, Bilkent University have also achieved more results in the field of automotive HMI. In terms of cooperation time, the Institute of Industrial Science, University of Tokyo and the School of Automotive, Industrial, and Mechanical Engineering, Daegu University have been cooperating for many years. In recent years, the Wuerzburg Institute for Traffic Sciences, the Department of Industrial Engineering, and the Ulm University have established collaborative relationships. Therefore, relevant researchers in this field should pay attention to the research status as well as the research content of these institutions in order to promote the progress of research in this field (Table 2).

Figure 4.
Institutional cooperation network.

Table 2.
Relevant data on the top 10 institutions.
3.2.3. Author Collaboration Network
Regarding automotive HMI research scholars, Figure 5 presents a collaborative network of 492 nodes and 608 connections with a network density of 0.005 authors. Overall, the network density of collaboration is low, and most authors had few opportunities to collaborate. The early collaborative network shows (purple line) that A. Amano and N. Hataoka have collaborated to research and propose a compact and noise-stable embedded language recognition system implemented on a microprocessor. The aim of this research is to alleviate the presentation of human–machine interfaces in automotive information systems, and ultimately, the results of this research enable real-time response to 2000 words []. Recent collaborative networks show (yellow line) that this research focuses on the verbal manipulation of electronic systems. This focus explores acoustic control transformation of control systems and collaboration of artificial intelligence algorithms to enable the shift from touch to speech control in future automotive human–computer interaction []. In terms of author publications, Ying Wang and Klaus Bengler both rank first with six publications each. Ying Wang focuses on human–computer interaction approaches for smart cars. Moreover, this author has collaborated with X. Li and X. Ge on the research and design of multimodal HMIs and used psychology and statistics to derive design directions for user-trend-oriented automotive HMIs []. Klaus Bengler’s main research focus is on information interaction inside and outside the vehicle and the autonomous driving takeover process. In addition, Klaus Bengler has collaborated with André Dietrich to study user acceptance of a preventive Car-2-X communication system that can effectively avoid potential collisions between drivers and pedestrians []. Finally, Klaus Bengler also collaborated with Michael Rettenmaier to study the information transfer between the human–machine interface inside and outside the vehicle. The basic information of the main authors is shown in the following Table 3.

Figure 5.
Author collaboration network.

Table 3.
Key Author Information.
3.3. Research Hotspots
3.3.1. Keyword Co-Occurrence Network Analysis
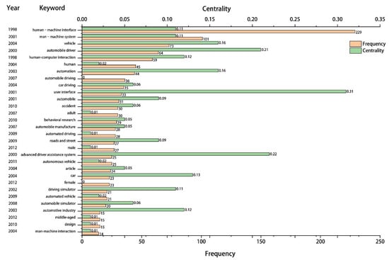
Keywords serve as a method of summarizing the topics covered in a piece of literature. Therefore, based on high-frequency keywords, the research hotspots and important issues in a subject area can be studied. This process required setting the node type to keywords, selecting the critical path algorithm, and running CiteSpace to finally obtain a keyword co-occurrence network for automotive HMI research. As shown in Figure 6, the large number of keywords indicates that scholars have extensively studied the topic of automotive HMI. Moreover, the dense network graph reflects strong correlations between the keywords. Additionally, the size of the keyword co-occurrence network nodes represents the frequency of the keywords. Based on the data presented in Table 3, the top five keywords in the automotive HMI literature are human–machine interface, man–machine system, vehicle, automobile driver, and human–computer interaction. By analyzing the frequency of keywords in the graph, it is evident that the research on HMI in automobiles (i.e., the real sense of human–machine interaction in automobiles) began to be established in 1998, while research on how to build interactive in-vehicle interfaces and systems began when groups started building a variety of innovative interaction methods, such as gestures, eye movements, and other interaction methods. In the following 24 years, the research on automotive HMIs has been in an in-depth stage, with more upgrading and improvement of the initial concept, as well as more emphasis on safe driving and user experience. In terms of centrality, the automotive HMI literature has developed a number of key nodes. These nodes are represented by the pink outer ring. Keywords with high centrality (centrality ≥ 0.1) can be considered inflection points in the keyword word frequency knowledge graph and represent the research hotspots in this field to a certain extent. Moreover, the keywords with high centrality include user interface, advanced driver assistance, automobile driver, automation, and vehicle, which constitute the critical path of the knowledge network in the field of automotive HMI. The highest centrality was shown for user interface (0.31), which was first generated by the research of papers related to man–machine systems and human–computer interaction as keywords. This keyword has since been used as a research inflection point to drive the development of research in the field of automotive HMI. The first article on this keyword was titled “Human-Machine Interfaces for Advanced MultiMedia Applications in Commercial Vehicles” []. This paper presented an early concept of automotive HMIs (i.e., a collection of multiple functional components in a single system) and began to focus attention on issues related to interface design.

Figure 6.
Keyword co-occurrence network.
To analyze the specific content of the keywords, the top 30 high-frequency keywords are listed in Figure 7. Based on Figure 6, it is evident that in the research content of the top 30 high-frequency keywords, the research scope is clearer and the research content is more specific. These keywords mainly include factors related to driving, such as a person driving a vehicle, vehicle control systems, vehicle interaction interfaces, road accidents, autonomous driving, and other related disciplines. Among existing studies, research on HMIs is relatively concentrated. It includes the construction of multimodal human–computer interaction in automobiles, the upgrading of advanced assisted driving technology, the establishment of driverless technology, the prediction and communication of vehicle accidents, and the construction of a human–computer interface for future flying cars. From the above analysis, it can be concluded that foreign research on the HMI has been more in depth. Since the early theoretical framework was established, we have been using technology and experiments to conduct in-depth research in this field, and a variety of ideas have been put into practice and verified. The construction of the automotive HMI involves a deep understanding of the relationship between humans, vehicles, and the environment. The HMI is the window of automotive experience design through which the rapid growth of new energy vehicles in China has emerged. Therefore, China should pay attention to research in this field.

Figure 7.
Top 30 high-frequency keywords.
3.3.2. Keyword Clustering
Keyword clustering was designed to run the clustering function of the CiteSpace visual interface by using the LLR log-likelihood algorithm to cluster the keywords into 13 classes. The modularity Q value was 0.6493 (Q > 0.3), and the weighted average silhouette S value was 0.9211. It is generally believed that the general interval of the Q value lies between 0 and 1, while a Q > 0.3 implies that the structure of the delineated associations is significant. Therefore, the field of automotive HMI research is clearly defined in keyword clustering. The S value is used to measure the average homogeneity of the entire network, with a score closer to 1 indicating higher homogeneity within the network (Figure 8). Thus, the homogeneity of the topics in this study is high. Table 4 presents the 13 cluster names and their corresponding core keywords. The smaller the number, the larger the size of the cluster. The top three themes of cluster size are adult, driving, and user interface.

Figure 8.
Keyword clustering network.

Table 4.
Keyword cluster information.
Through keyword clustering analysis, the relevant literature under the clustered keywords was read and used to inform researchers about relevant and important research content in the literature. The clustering themes were classified, and it was found that the research hotspots related to automotive human–computer interactions were mainly focused on the following four aspects (see Table 5).

Table 5.
Four research hotspots.
- (1)
- The user studies of automotive HMI. Based on the observed clusters, studies of automotive HMIs focus on the following keywords: adult, eye movement, time frequency, biomechanics, and human–centric design. Existing research on the user interface of in-vehicle HMI has mainly been conducted from the perspectives of both drivers and pedestrians and the aspects of information transfer, five-sense feedback, contextual perception, age-level analysis, biosignals, and psychological load. In terms of information transfer, more in-depth progress has been made in foreign research on the HMI and e-HMI. For example, Koen de Clercq et al. studied the influence of an external HMI on pedestrians’ willingness to cross roads and ultimately concluded that the external HMI can effectively transfer information and improve the efficiency of interaction between pedestrians and self-driving cars []. In terms of five-sensory feedback, Francesco Bellotti et al. studied the feasibility of auditory interaction and verified that the use of spatial localization and acoustic information can convey information about orientation, location, and distance, while their interaction can significantly reduce the time that glasses are off the road and can cope with environments with low visibility []. In terms of contextual perception, Alexandra Voinescu et al. investigated the relationship between exploring individual differences in contextual perception and the perceived usability of CAV interfaces for older adults. Notably, they concluded that HMIs that are simple to use and require less interaction are favored by older adults []. In terms of age-level analysis, Shuo Li et al., studied an HMI design adapted to the elderly driving population and showed that informing drivers of the vehicle status and providing the reason for a manual driving takeover request achieved better takeover performance while yielding lower perceived workload and higher positive attitudes, thereby representing the most beneficial and effective human–machine interaction []. In terms of biosignaling, Junghwan Ryu et al. proposed a deep-learning-based driver real emotion recognizer (DRER) using a deep algorithm to recognize real emotions that cannot be accurately identified by the driver’s facial expressions. Eventually, the recognition rate reached 86.8% when identifying drivers’ induced emotions in driving situations in real experiments []. Regarding mental load, Xiaomeng Li investigated the effects of the HMI in ecologically safe driving on drivers’ psychological load and visual demand. The study concluded that visual measures revealed driver mental workloads consistent with subjectively reported workload levels, while drivers generated higher mental loads when receiving and processing additional information and increased their blinking behavior [].
- (2)
- Interface research in automotive human–machine interface. As can be seen from the clusters, the clusters of interface research include user interface, advanced driver assistance system, HMI, and helicopters. The literature of this cluster was read and analyzed from the perspective of interface research. Existing international analyses have mainly been conducted at the interface and driver interaction level by studies on feedback and trust, communication warning, driver assistance, information transformation, e-HMI, multimodal HMIs, collaborative navigation, innovative interaction methods, and autonomous driving switching. In terms of communication feedback, Rachel H.Y. Ma et al. conducted simulated scenarios in which investigators assessed the level of trust in a self-driving car and its HMI as well as the level of trust in and willingness to use and accept these factors. The results showed that the high visual feedback group had the highest trust level, and this difference was significantly higher than that of the group without visual feedback []. In terms of communication alerts, Oliver M. Winzer et al. developed a user-centered HMI alert system that can help drivers avoid potential collisions with cyclists []. In terms of assisted driving, Sofia Sánchez-Mateo et al., proposed a merge assist system based on inter-vehicle communication that allows the sharing of position and speed variables between vehicles. This system was implemented on a mobile device within a vehicle, and the associated algorithm determined when and where the vehicle can perform a merging operation under safe conditions while providing appropriate information to the driver []. In terms of information transformation, Frederik Schewe et al. designed and evaluated an eco-HMI for speed and distance control that can use a distance–velocity meter to unconsciously influence the driver’s choice of speed, thereby improving drivers’ perception and control of speed []. In terms of e-HMI, Dylan Moore et al. investigated the information interaction capabilities of external HMIs and showed that if self-driving vehicles could provide universally understandable and externally presented information when interacting with other road users, they could avoid accidents and conflicts []. Regarding multimodal HMIs, Takuma Nakagawa et al. developed an intuitive multimodal interface system that utilizes speech, gesture, and eye gaze recognition for human–computer interaction by utilizing finite-state sensors to design the multimodal understanding component of the interface system and the dialogue control system []. In terms of collaborative navigation, Vicki Antrobus et al., conducted a road study aimed at providing a preliminary theoretical basis for the development of an in-vehicle intelligent HMI using the traditional navigation relationship between drivers and passengers to provide data support for exotic designs. The results showed that drivers using collaborative navigation had significantly better knowledge of landmarks and routes than those using satellite systems, which is a strong indication of the potential for collaborative navigation []. In terms of innovative interaction methods, Gang Tang proposed a minimalist self-powered interaction patch based on the complementary integration of frictional electric and piezoelectric sensing mechanisms to achieve multi-parameter sensing information for finger interaction (i.e., the simultaneous detection of contact position, sliding trajectory, and applied pressure). Their experimental results showed that the minimalist self-powered crosspatch has high applicability and immediate practicality in various human–computer interactions []. Regarding autopilot switching, Xinyu Ge et al. used deep learning neural network technology to develop a multimodal HMI that enables drivers to interact with self-driving cars and switch smoothly between manual control and autonomous driving [].
- (3)
- The study of the external environment of the automotive human–machine interface. In the study of the external environment of the automotive HMI, the external environment refers to the entire environment associated with the driver of a car. Thus, the articles of this cluster were included. After reading and analyzing the articles, it was concluded that the study of the environment has mainly focused on safety information, from e-HMIs to early warning and prognosis. In e-HMI, the research has mainly focused on the identification and transformation of vehicle information from the human level of understanding to transform vehicle information. For example, Mathilde François et al. investigated whether external HMIs can bridge the communication gap between autonomous vehicles and pedestrians by comparing information from an e-HMI with the different driving behaviors of autonomous vehicles yielding to pedestrians to understand whether pedestrians tend to pay more attention to the motion of vehicles or e-HMIs when deciding to cross a road. Ultimately, they concluded that the two collaborate to achieve the best transfer effect []. In terms of early warning, Oliver M. Winzer et al. investigated the user acceptance of a preventive Car-2-X communication warning system that helps drivers avoid potential collisions with cyclists []. In terms of prognosis, Pavlo Bazilinskyy et al. developed various algorithms based on a test lane; maintaining a normal position while using the predicted position of the instantaneous steering angle to provide drivers with the appropriate auditory feedback, thereby reducing the occurrence of certain traffic accidents [].
- (4)
- The study of the technical implementation of the automotive HMI from the cluster can be seen in driving simulators, speech recognition, automotive parts and equipment, machine learning, and HMI. From the perspective of technical implementation, literature related to this cluster was also read and analyzed. It was found that research on technology implementation was based on myoelectric control, early warning technology, immersive augmented displays, recognition technology, and wearable devices. Regarding myoelectric control, Edric John Nacpil et al. used the principle of surface electromyography (sEMG) to enable operators to generate electromyographic signals to control a robotic arm or prosthesis to achieve control of a vehicle—a study that will be critical to the driving experience of the disabled population in the future []. In terms of early warning technology, Angelos Amditis developed a warning manager for different levels of decision making and tracking in terms of perception, decision making, and behavior. The warning manager operates in such a way that the system must generate images of all possible strategies and associated risks in a given scenario and then evaluate driver behavior and suggest better options []. In terms of immersive augmented displays, Ali Özgür Yöntem et al. developed an immersive augmented reality HUD concept using a technique that generates images from multiple optical apertures/image sources and then displays these images according to HVS requirements by using the windshield to generate images of multiple display elements to create an immersive driving experience. This technology is also expected to be used in other parts of the car interior []. In terms of recognition technology, Shigeyuki Tateno used infrared array sensors to build a gesture recognition system for in-vehicle devices by combining seven different hand signals and four directions of movement for device operation, a GMM algorithm (Gaussian probability density function to accurately quantify things) to achieve background subtraction and a convolutional neural network (CNN) to achieve recognition in data recognition []. In the context of wearable devices, posture control is an emerging technological target in the field of HMI. As such, Xinqin Liao et al. fabricated soft, deformable, high-performance fabric strain sensors with ultra-high sensitivity and stretchability by printing silver ink directly onto pre-stretched textiles with stencils. The team used Bluetooth communication technology with a simple auxiliary signal processing circuit to produce a smart glove assembled with a textile strain sensor capable of detecting the degree of finger flexion in all directions and translating it into wireless control commands. This has a disruptive impact on the future paradigm of car driving [].
4. Evolutionary Analysis of the Research Topic
4.1. Experimental Process
By analyzing the evolutionary process of research topics to reveal the development background and characteristics of the automotive HMI field, the co-citation of literature can inform the knowledge base and research frontiers to reveal information about the evolutionary background of knowledge associations. Co-citation refers to two pieces of literature being cited by one or more pieces of literature at the same time, indicating that they have similar research topics. Therefore, literature co-citation analysis can classify related literature according to the similarity of contents and determine the core topics of research fields by analyzing each group of literature. Using the literature co-citation clustering function of CiteSpace, the knowledge structure of the automotive HMI field can be sorted through the clustering of knowledge chains within the literature. The clustering timeline view in CiteSpace visualizes the historical span of clustered topics and the relationships between clustered topics during their evolution. The horizontal axis indicates the number of publications in the literature, the vertical axis indicates the number of clusters, and the number of clusters is arranged vertically by size. Figure 9 shows the top 21 clustered topics according to cluster size and includes 4310 nodes and 13,517 connections, with a network density of 0.0015. The Q value is 0.9608 (Q > 0.3), the structure of this cluster is reasonable, the boundary of research topics is clear, and the domain division is strong. The node size represents the co-authorship of literature. Moreover, the node size represents the co-citation rate of the literature, while the color of the cluster topic corresponds to the time of the first appearance, and the knowledge flow of the cluster is displayed in five colors: red, green, cyan, yellow, and blue.

Figure 9.
Literature co-citation network.
4.2. Analysis of Experimental Phenomena
From a horizontal view, the clusters have a long time span, which ranges from 2010 to 2020. Cluster 4 (age-friendly HMI) has the longest time span at 10 years. Clusters 20 (current HMI development), 21 (inclusion design), 6 (vibrotactile display), and 3 (autonomous vehicle) were studied from 2011 to 2019. Clusters 1 (many people), 2 (sound decision), 7 (road user), 8 (new driver vehicle interface), 11 (steering assistance), 12 (external HMI), 17 (non-driving activities), 25 (e-HMI visualization), and 39 (assessment criteria) have been evolving for 7 years (2013–2020), indicating that these nine topics are important. The study of Clusters 33 (mutual control) and 35 (conditional automation) has not lasted long and entered the silent stage.
Vertically, the connections between the different cluster themes represent the intrinsic connections between the different clusters. Notably, Clusters 65 (HMI), 37 (assessment criteria), 20 (current HMI development), 21 (inclusion design), 12 (external HMI), 11 (steering assistance), and 7 (road user) have multiple connections pointing to Clusters 1 (many people), 2 (sound decision), and 4 (age-friendly HMI). This indicates that the first seven themes are highly connected to the last three themes.
4.3. Research Stage Division
To better classify the research topics, we summarized the evolutionary analysis process of in-vehicle HMI research hotspots, divided the automotive HMI research into three stages by presenting the co-citation timeline mapping (as shown in Figure 10), and combined the literature into stages, dividing the research content of each research stage according to its direction and field to briefly summarize the research content of the three stages (see Table 6): driver assistance and information recognition concept construction (1998–2008), driver assistance system refinement and technology construction (2009–2018), and technology deepening and user perception research (2019–2022).

Figure 10.
Development stage diagram.

Table 6.
Three stages of development.
Stage 1 (1998–2008). As shown in Figure 8, there is no co-cited literature content, which indicates that this stage is in the period of constructing the concept of automotive HMI, which can be roughly divided into driving assistance and information identification according to the research direction. Moreover, the ratio of literature quantity of two research directions is 2:1 and the ratio of literature quantity of two research fields is 3:2, as shown in the division of the two major fields of safety and experience. This analysis shows that most of the research at this stage was based on in-vehicle research, interface design, technology development, and interaction methods related to driver assistance based on safety and experience. In the new research direction of in-vehicle HMI, information recognition mainly involves physical information recognition outside the vehicle and biological information recognition within the vehicle, which is a technology-oriented direction.
Stage 2 (2009–2018). In the in-depth research phase of the automotive HMI concept, all clusters were included in this phase. The literature in this phase was read and divided into two main areas: safety and experience; it was determined that the ratio of publications within these two areas was 6:5. These areas were further divided into the topics of driver assistance and information recognition, and it was determined that the ratio of publications within these two areas was 6:1. Simultaneously, basic research on the e-HMI and special populations began in this phase. Based on the ratio of safety to experience literature, it is known that safety and experience have become the two main themes of research from 2009 to 2018. From the ratio of driving assistance and information recognition literature, it is evident that driving assistance remained an important research direction from 2009 to 2018, with the research presenting an in-depth expansion stage. This phase of driving assistance research focused more on the implementation of technology and detailed interface interaction issues from the user perspective. It also combined the development of mobile applications to study the content of embedded operating systems. Additionally, there was more research on the shift from automatic to manual driving modes. In terms of information recognition, this phase is similar to the first phase of research; however, the development of recognition-type technologies shows a trend of iteration and in-depth research. For example, in research involving simple hand gestures and speech recognition, there was a shift to more detailed facial emotion recognition. The accuracy and speed of computation also became more efficient. However, there was still less research on the energy management and eco-driving categories. In Table 6, we list the main articles with a total citation frequency greater than 4 along with their related metrics. Co-citation frequency represents the closeness of the relationship between an article and other articles, while centrality indicates the strength of the connection between one article and articles from other clusters. In the second stage, the articles in the plot are connected by green, blue, bright blue, red, and orange lines and are associated between clusters. To show that the different clusters are closely connected in terms of the number of co-citations, there are two articles with a citation frequency greater than four in Cluster 7, which are both from 2017. Furthermore, among the articles with a co-citation frequency greater than 4, only one article in Cluster 4 had a centrality greater than 0 (0.04). This indicates that this article is more strongly connected to other cluster articles. The article with the highest citation frequency is titled “Evaluation of Vehicle-to-Pedestrian Communication Displays for Autonomous Vehicles” []. This article investigated the intended communication of autonomous vehicles in terms of the effectiveness of communicating information by comparing various ways of displaying vehicle-to-crosswalk information. The findings of this study suggest that pedestrians rely on conventional behavior rather than using information from external displays. From the combination of questionnaires in this study, it was also clear that a large number of participants believed that self-driving vehicles require additional displays. This article has a total citation frequency of 9, which indicates that it has strong research relevance to other clustered articles.
The main focuses of the other articles presented in Table 7 are described as follows. Marcel Walch et al., designed a user preference-based switching assistant by analyzing the control handover process from fully automated to manual driving and derived a corresponding handover implementation. The experimental study concluded that the handover of warning cues via auditory and visual interactions is a promising strategy to bridge the system boundaries of autonomous vehicles []. Natasha Merat et al. used a driving simulator to investigate drivers’ recovery of control positions from a highly automated vehicle under two conditions: (1) when turning off the autopilot and when requiring manual control at regular system-based intervals; (2) when switching to manual control based on the length of time the driver is looking at the road ahead. Eye tracking data were also combined to observe drivers’ visual attention to their surroundings and their eye gaze patterns when resuming manual driving. The results indicate that if the autopilot system is turned off, the driver’s eye gaze pattern remains variable over time. If the autopilot system is disengaged, the results indicate that the driver becomes distracted with respect to the road ahead. When the disengaged state was more predictable and system-based, the driver’s attention to the center of the road was higher and more stable. After a delay of approximately 10 s, the driver’s lateral control and steering correction were more stable when steering was based on a fixed time interval and predictable manual control. These findings suggest that drivers are better able to regain control of a vehicle when they expect the autopilot to shut down if they are disengaged from driving due to vehicle control in a limited autopilot situation (i.e., level 3 autopilot) []. Victoria A. Banks et al., conducted a road study using the autopilot mode of the Tesla Model S. A thematic analysis of driver behavior highlighted the effects of the autopilot feature on driver behavior. Ultimately, it was concluded that drivers did not comply with their new monitoring duties in autopilot mode and instead exhibited more complacent and overly trusting behavior []. Azra Habibovic et al. investigated the future interaction patterns between pedestrians and self-driving cars and what effects self-driving cars will have when they communicate their intentions to pedestrians. The study suggested that communicating the mode and intent of a self-driving car through a simple external interface may be sufficient to improve the interaction between pedestrians and AVs by creating a higher sense of perceived safety for pedestrians. It should also be noted that any type of additional external signal on a vehicle needs to be standardized to avoid ambiguity []. Furthermore, Debargha Dey et al., conducted a study to determine the importance of eye contact and gestures between pedestrians and drivers. By classifying pedestrian and driver crossing and communication behaviors in effectively negotiated heavy traffic situations, the final study showed that eye contact does not play a major role in manual driving and that explicit communication is rare to nonexistent. Thus, vehicle movement patterns and behaviors play a more important role for pedestrians in effective traffic negotiation [].

Table 7.
Main articles distributed in the cluster.
This stage lasted longer than the previous stage, and the concept of in-vehicle HMI was formed. Moreover, the development direction of in-vehicle HMI was clearly defined (i.e., driver assistance and information recognition). The development of in-vehicle HMIs was performed in two fields: safety and experience. In this stage, HMI-related technology developed significantly when compared to the previous stage. Simultaneously, in-vehicle HMIs began to shift toward more systematic and safer out-of-vehicle HMI considerations. The aim is to build a harmonious intelligent traffic environment for pedestrians and autonomous vehicles.
Stage 3 (2019–2022). In this stage, half of the studies in this cluster entered the silent phase, while Clusters 1 (many people), 2 (sound decision), 4 (age-friendly HMI), 5 (intelligent shared car), 7 (road user), 8 (new driver vehicle interface), 11 (steering assistance), 12 (external HMI), 17 (non-driving activities), 25 (e-HMI visualization), and 39 (assessing alternative approaches) became the focus of research. As shown in the figure, the relatively short period of publication and the small number of citations in this phase of the literature do not allow for an analysis using comprehensive criteria. Therefore, we read all the literature in this database over the past 4 years and made a classification according to the focus of the research. Notably, e-HMI, innovative interaction methods, vehicle networking, information recognition, autonomous driving takeover aspects, energy management, user perception design, and experience design have been the main research directions over the past 4 years. Among these, e-HMI, information recognition, and autonomous driving takeover have become the most important research directions in this phase, with this research literature accounting for approximately 50% of the literature’s volume during this phase. Research on user perception data is also significantly strong and has targeted user driving data collection and information understanding methods. Innovative interaction methods remain in the technology development stage and may be geared toward maturity in the future. Energy management is part of the optimization and detection of vehicle energy consumption efficiency, and the number of studies in this stage has increased significantly when compared to the previous two stages. User experience research primarily uses HUD, AR, and other technologies related to design interfaces for relevant information displays.
The influential articles of this phase are described below. Debargha Dey et al. investigated user preferences for color and animation modes by investigating the intelligibility of an autopilot vehicle resulting from the combination of an optical band e-HMI with five colors and three animation modes. The results showed that cyan is considered a neutral color that conveys submissive intent, while a uniform flashing or pulsating animation is preferred. Notably, the findings of this paper could contribute to the design and standardization of future e-HMIs []. Hao Yang et al., investigated the relationship between dashboard modeling form and interaction performance. They concluded that SD-AIO panels are more suitable for shared vehicles, while SUS scores showed the highest system usability for SD-type layouts. Also, SD-AIO panels have a greater ease of use and compatibility, which can match the perceived preferences of shared vehicle users while improving driving efficiency []. Stefanie M. Faas et al. studied the information needs of pedestrians be considered for autonomous vehicles. The subjective perceptions, traffic behaviors, and potential attitudes of participants were explored by comparing the presence or absence of an e-HMI and vehicle status information. Their findings suggest that an e-HMI with a state and indication of intent improves user experience, perceived intelligence, and pedestrian transparency more than an e-HMI alone []. Sander Ackermans et al. investigated the effect of conspicuous vehicle appearance with a combination of an e-HMI and visible sensors on pedestrian–autonomous vehicle interaction. The results of their study indicate that an e-HMI can efficiently communicate a vehicle’s intention to yield or not to yield, resulting in a more positive interaction experience while forming more effective cross-decisions and reducing misunderstandings. Additionally, visible sensors can be designed to increase pedestrians’ trust in autonomous vehicles []. Xianjie Pu et al. developed a self-powered, thin, flexible, efficient, and safe frictional electric 3D touchpad, which was based on a rational design of nano-frictional generators and consists of a multi-channel localization layer and a single-channel pressure-sensing layer. The innovation of this technology can promote the development of innovative interaction methods for in-vehicle interfaces [].
4.4. Summary of This Section
The evolution of relevant keywords in the co-citation literature mapping shows that the global research on automotive HMI has formed a process of depth to expansion and then depth again. This was observed from the first stage of basic concept determination to the second stage of in-depth conceptual research and expansion, and then to the third stage of in-depth research in terms of technology change and expansion. Through this process, research on HMI has always been complementary to the development of autonomous driving technology. However, the current phenomenon of autonomous driving technology being applied to mass-produced vehicles at an immature stage and causing traffic accidents occurs from time to time. This has caused users to express concerns about the development of self-driving vehicles. The development of autonomous driving technology has six levels: L0 (pure manual driving), L1 (driving automation), L2 (assisted driving), L3 (automatic assisted driving), L4 (autonomous driving), and L5 (driverless driving). In 2022, the relevant research has been more focused on the construction of HMIs from L1 to L4. However, since in-vehicle HMIs are also developed in accordance with the development of autonomous driving technology, the perspective is inevitably limited. In the next stage of research, in-vehicle HMIs should be designed from the perspective of the role of supervision and articulation, while L4 and L5 in-vehicle HMIs should be developed more from the perspective of the limitations of autonomous driving and user cognition with the full consideration of the safety of technology implementation.
5. Burst Detection
5.1. Description of Experimental Phenomena
A research frontier is an active direction or theme in the development of a discipline, which provides information to a corresponding knowledge base. Notably, burst detection can identify emerging or upcoming research frontiers. Through the research and analysis of burst detection, we can find the periods and dynamic changes of keywords with high occurrence intensities that reflect the frontier situation and development trend of the research field. Table 8 presents the top 13 keywords in terms of retrieval start year, occurrence intensity, start year, and end year. The combination of red and blue lines represents the years 1998–2022, and the red line represents the start and end of the keyword burst. The keyword with the greatest intensity is automobile driver, with an intensity value of 6.29. The greater the intensity value, the more important the relevant research under the keyword. The keyword with the occurrence over the longest period of time is ergonomics (2001–2010, 10 years). This indicates that the relevant research content under this keyword is important and needed by society. Based on its occurrence, frontier development in the field of in-vehicle human–computer interaction can be divided into four stages, as follows: (1) since 2001, human–computer interaction, user interface, ergonomics, and automobile driver became the early hot research keywords, which indicates that early scholars initially studied the field of in-vehicle human–computer interfaces from the aspects of user research and interactive system construction. Although the relevant technical research had not yet been performed in depth, the core framework of HMI was studied in depth; (2) since 2008, the keywords virtual reality, automobile simulator, and experiment exploded one after another, indicating that research on technology implementation began at this stage alongside the rise of experimental research to derive relevant data and technology to promote the development of in-vehicle HMIs. At this stage, car simulators became an important research tool for experimental research; (3) since 2017, the keywords human engineering and human factor showed a shorter outbreak of presentation. This short outbreak period tended to focus on the driver, indicating that the focus of this period tended to be on the mining of human–related data to provide reliable sample data for future autonomous driving and other related intelligent technologies; (4) since 2019, automated vehicle, pedestrian safety, automated driving, and traffic accident have become the new hot keywords, thereby representing topics that will continue to develop in the future. Based on these keywords, it is evident that the current phase focuses on research related to automated driving and human–vehicle safety aspects, automated driving technology in traffic accidents, and pedestrian safety. To a certain extent, the keywords in this stage represent the future direction of development. As such, relevant domestic scholars should continue to pay attention to these research areas.

Table 8.
Top 13 keywords with the strongest citation bursts.
5.2. Analysis of Experimental Phenomena
The following is a prediction of the future direction of automotive human–computer interactions based on the outbreak of keywords since 2019. Based on the above analysis, future research directions include driving assistance, trust level research, and e-HMI information communication (as shown in Figure 11). All three of these aspects relate to exploration and improvement in the field of autonomous driving.

Figure 11.
Analysis process diagram.
- (1)
- Driving assistance research direction. Safety and comfort have always been the goals of autonomous driving technology (i.e., to remove users from the driving role to the maximum extent possible based on safety and to alleviate or eliminate the physical and mental burden caused by the driving process). The level of autonomous driving technology is enhanced by numerous driver assistance technologies and the interaction designs of HMIs. Li Chao Yang et al. designed a safe and smooth control-switching intelligent HMI by investigating the involvement of non-driving activities using a 3D convolutional neural network-based system to recognize driver behavior through two types of visual feedback based on head and hand movements. In the experiments, non-driving activities were classified into active and passive modes based on driver–object interaction, which ultimately yielded the system’s recognition of up to 85.87% of activities. This study serves as an important guideline for the research direction of intelligent recognition technology for self-driving cars []. Sayaka Ono et al. proposed and studied an HMI that constantly indicates the future position of the vehicle. The results showed that an HMI that constantly indicates the future position of the vehicle has a significantly higher avoidance rate than an HMI that only provides trajectory changes. The study confirmed that a continuous indication of the future vehicle position during the operation of an automated driving system (ADS) facilitates active driver intervention. Based on the findings, the team deduced future research questions to assess the extent to which human–computer interaction generates a sense of agency by assessing whether driver-initiated intervention remains beneficial once the driver is fully accustomed to the ADS and CTP-based HMIs. Notably, assistive technology in information display remains an important research topic in the future []. Shuo Li et al. designed three HCI concepts based on the needs of older drivers and conducted a driving simulation survey with 76 drivers to investigate the relative merits of assessing the impact of HCI on driver takeover performance, workload, and attitude. Their results showed that informing the driver of the vehicle status and providing a manual driving takeover request achieved the best level of assessment for each direction of cause []. In this regard, future research should investigate and explore the highly automated driving (HAV) human–computer interaction design in more depth. The focus should be on exploring the optimal placement of the visual interface, which will have a significant impact on the safety, usability, and acceptability of the HAV systems. Additionally, future research should explore the impact of the visual ability, psychomotor ability, reaction time, and cognitive ability of driver–HAV human–computer interactions at the user level. The above analysis predicted the future direction of driver assistance research from the overall research direction to the specific research content at two levels.
- (2)
- Trust level study. Trust level is an important indicator that can be used to improve the reliability performance of autonomous driving technology. At its present stage, trust level research focuses on the extent to which drivers respond to signals from intelligent systems (i.e., the assessment and refinement of the trustworthiness of information). Rachel H.Y. Ma et al. investigated whether visual feedback affects drivers’ trust in self-driving cars, focusing on the circumstances under which an appropriate level of trust is elicited. The level of participant trust was found to depend on whether the driver was in a safe or unsafe situation. Therefore, different levels of feedback may be required to elicit user trust under different driving conditions. In future research, the optimal combination of different feedback types that may affect the trust level of an autonomous vehicle driver under specific driving conditions (e.g., highways) should be explored and identified. Additionally, future studies should investigate whether having only visual feedback to provide information about what the vehicle is about to do affects driver trust in highly automated vehicles []. Ann-Kathrin Kraft et al. investigated the effect of collaborative systems on interpretation in the presence of specific system failures during manual and partially automated driving. The study focused on analyzing the effect of driver trust in the system under system malfunction and investigated whether the explanatory information provided by the system would increase driver acceptance. The results of the study showed that drivers’ trust in the system began to decline after experiencing a system failure; however, no long-term trust effects were observed []. No’e Monsaingeon et al. compared the features and road usage of driver-centric HMIs and vehicle-centric HMIs to determine which approach helps drivers better understand vehicle status and functionality. The results of the study showed that drivers using the driver-centric HMI had faster reaction times to speed problems and also looked at the HMI longer and more often []. In response to this finding, future research should focus on finding information that fosters the right level of trust in HMIs. The level of trust determines the degree of human–computer interaction. Based on the above analysis, it can be concluded that future trust levels should be studied in depth from the perspective of the human interaction information process.
- (3)
- e-HMI information communication study. As an effective means of conveying external information from an autonomous vehicle, e-HMIs can play a vital role in reducing the occurrence of traffic accidents by presenting the maximum amount of vehicle information to vulnerable road users. Y. B. Eisma et al. concluded that positioning an e-HMI display on a vehicle’s grille, windshield, and roof was the clearest option and also evokes the highest degree of information compliance when approaching a vehicle. It was also concluded that the projection-based e-HMI has limitations in terms of legibility and the visual distribution of participants; therefore, the results of the study suggest that an e-HMI should be visible on a vehicle from multiple directions []. Debargha Dey et al. studied the type of information pedestrians seek about cars and where they look for such information. The team analyzed gaze behavior when interacting with a manually driven vehicle during deceleration and in close proximity to yielding behavior through an eye movement study. The results of the study showed that pedestrians lose their willingness to cross a road when they are approximately 40 m away from a vehicle. They also found that a pedestrian’s decision to cross a road changes as the distance from a car changes. As a car approaches, a pedestrian’s gaze will gradually move from the bumper to the windshield. This study was the beginning of the research on pedestrian gaze behavior patterns when crossing a street []. Joost de Winterp et al. studied what pedestrians see when crossing a parking lot. This study showed that eye movement helps pedestrians pass safely through parking lots to a large extent. It also found that pedestrians view all sides and features of cars. The study concluded that the future displays of self-driving cars should be visible from all directions []. Based on the analysis of current research, future research on e-HMI information communication should focus more on physiological data related to human eye movement to study the communication and presentation of information. Moreover, e-HMI information presentation technology and presentation position arrangement should also become areas of focus.
6. Conclusions
This paper summarized the current status of research in the field of automotive HMIs since 1998 based on 429 pieces of literature collected from the Scopus database that were published between 1998 and 2022. Notably, this paper provides an in-depth analysis of existing research on in-vehicle HMIs from four aspects. According to the base statistical analysis, published literature in the field of automotive HMIs has increased year by year. Moreover, it is expected that there will be more relevant research conducted in the future. In terms of collaboration networks, collaborations on in-vehicle HMI research occur worldwide within institutions and among scholars. Through keyword co-occurrence network analysis, 14 topics were clustered together to summarize four key current research topics related to in-vehicle HMI: in-vehicle HMI user research, in-vehicle HMI interface research, in-vehicle HMI external environment research, and in-vehicle HMI technology implementation research. By mapping the literature co-citation timeline and integrating the 21 clusters, the research history was divided into three phases to determine the theoretical development and knowledge evolution path for each period. After analyzing the emerging vocabulary, we concluded that research moved from the construction of the HMI framework to technology and extension research, and then to user data mining. Future research on in-vehicle HMIs should focus on driver assistance research, trust level research, and e-HMI information communication research. The automotive HMI field is highly interdisciplinary and exhibits multi-national and multi-disciplinary integration as well as crossover characteristics. Together, they make great contributions to achieving a perfect HMI. By analyzing the international research hotspots and development background of in-vehicle HMIs over the past 24 years, this paper provides an important reference for future related research and practice. The innovation of this paper is mainly reflected in the following three aspects. First, by using text mining techniques to find existing research literature on in-vehicle HMIs, this paper systematically compared the thematic background, knowledge evolution, and emerging hotspots of international automotive HMIs over the past 24 years. Second, the bibliometric approach and analysis process employed in this paper can be used as a reference for subsequent similar studies. Moreover, this research perspective can be extended to studies in other disciplines. Finally, a combination of quantitative methods of bibliometrics and qualitative methods of literature research was used. Our research conclusions not only conform to subjective experiences but also contain an objective basis that makes the research more scientific and accurate. Simultaneously, the data were presented in the form of a knowledge map presentation that is intuitive and clear. Additionally, since this study mainly used published academic journals as the data source, we will integrate different data sources in the future to expand the scope of the study to explore and analyze the research topic more comprehensively. In this study, we mined useful information from the existing automotive HMI-related literature, reviewed the historical background of in-vehicle HMIs, discovered the relevant theoretical foundations and frontier issues, and provided references for the theoretical research of scholars in this field. Predicting the future development direction of automotive HMIs can help relevant enterprises make strategic decisions and determine the direction of technology development and investment. Notably, promoting the deepening and internationalization of research in the field of in-vehicle HMIs is of great importance.
Author Contributions
All the authors contributed to the paper. X.Z. and X.-P.L. collected data and wrote the manuscript; J.-C.T. supervised the writing; X.-P.L. acted as the corresponding author. All authors have read and agreed to the published version of the manuscript.
Funding
This research was funded by the Tianjin Art Science Planning Project, grant number: C18026.
Data Availability Statement
The data presented in this study are available within the paper.
Acknowledgments
Thanks for the help of the Scopus database, CiteSpace software, and references.
Conflicts of Interest
The authors declare no conflict of interest.
References
- Chen, C.; Li, J. Text Mining and Visualization in Scientific Literature, 2nd ed.; Capital University of Economics and Business Press: Beijing, China, 2017; Volume 2. [Google Scholar]
- Zhou, X.; Li, T.; Ma, X. A bibliometric analysis of comparative research on the evolution of international and Chinese green supply chain research. Environ. Sci. Pollut. Res. 2021, 28, 6302–6323. [Google Scholar] [CrossRef]
- Chen, C. CiteSpace II: Detecting and visualizing emerging trends and transient patterns in scientific literature. J. Am. Soc. Inf. Sci. Technol. 2006, 57, 359–377. [Google Scholar] [CrossRef] [Green Version]
- Price, D.J.d.S. Little Science, Big Science; Columbia University Press: New York, NY, USA, 1963. [Google Scholar]
- Hataoka, N.; Kokubo, H.; Obuchi, Y.; Amano, A. Compact and robust speech recognition for embedded use on microprocessors. In Proceedings of the 2002 IEEE Workshop on Multimedia Signal Processing, Thomas, VI, USA, 9–11 December 2002. [Google Scholar] [CrossRef]
- Lin, Z.; Zhang, G.; Xiao, X.; Au, C.; Zhou, Y.; Sun, C.; Zhou, Z.; Yan, R.; Fan, E.; Si, S.; et al. A Personalized Acoustic Interface for Wearable Human–Machine Interaction. Adv. Funct. Mater. 2021, 32, 2109430. [Google Scholar] [CrossRef]
- Ge, X.; Li, X.; Wang, Y. Methodologies for evaluating and optimizing Multimodal human-machine-interface of Autonomous Vehicles. SAE Tech. Pap. Ser. 2018. [Google Scholar] [CrossRef]
- Winzer, O.M.; Dietrich, A.; Tondera, M.; Hera, C.; Eliseenkov, P.; Bengler, K. Feasibility analysis and investigation of the user acceptance of a preventive information system to increase the road safety of cyclists. In Human Systems Engineering and Design II, Proceeding of the 2nd International Conference on Human Systems Engineering and Design (IHSED2019): Future Trends and Applications, Munich, Germany, 16–18 September 2019; Springer: Cham, Switzerland, 2019; pp. 236–242. [Google Scholar] [CrossRef]
- Rößger, P.; Hofmeister, J. Human machine interfaces for advanced multi media applications in commercial vehicles. SAE Tech. Pap. Ser. 2001. [Google Scholar] [CrossRef]
- De Clercq, K.; Dietrich, A.; Núñez Velasco, J.P.; de Winter, J.; Happee, R. External human- machine interfaces on automated vehicles: Effects on pedestrian crossing decisions. Hum. Factors J. Hum. Factors Ergon. Soc. 2019, 61, 1353–1370. [Google Scholar] [CrossRef] [PubMed] [Green Version]
- Bellotti, F.; Berta, R.; De Gloria, A.; Margarone, M. Using 3D sound to improve the effectiveness of the advanced driver assistance systems. Pers. Ubiquitous Comput. 2002, 6, 155–163. [Google Scholar] [CrossRef]
- Voinescu, A.; Morgan, P.L.; Alford, C.; Caleb-Solly, P. The utility of psychological measures in evaluating perceived usability of automated vehicle interfaces—A study with older adults. Transp. Res. Part F Traffic Psychol. Behav. 2020, 72, 244–263. [Google Scholar] [CrossRef]
- Li, S.; Blythe, P.; Guo, W.; Namdeo, A.; Edwards, S.; Goodman, P.; Hill, G. Evaluation of the effects of age-friendly human-machine interfaces on the driver’s takeover performance in highly automated vehicles. Transp. Res. Part F Traffic Psychol. Behav. 2019, 67, 78–100. [Google Scholar] [CrossRef]
- Oh, G.; Ryu, J.; Jeong, E.; Yang, J.H.; Hwang, S.; Lee, S.; Lim, S. Drer: Deep learning-based driver’s real emotion recognizer. Sensors 2021, 21, 2166. [Google Scholar] [CrossRef] [PubMed]
- Li, X.; Vaezipour, A.; Rakotonirainy, A.; Demmel, S.; Oviedo-Trespalacios, O. Exploring drivers’ mental workload and visual demand while using an in-vehicle HMI for eco-safe driving. Accid. Anal. Prev. 2020, 146, 105756. [Google Scholar] [CrossRef]
- Ma, R.H.Y.; Morris, A.; Herriotts, P.; Birrell, S. Investigating what level of visual information inspires trust in a user of a highly automated vehicle. Appl. Ergon. 2021, 90, 103272. [Google Scholar] [CrossRef] [PubMed]
- Sánchez-Mateo, S.; Pérez-Moreno, E.; Jiménez, F. Driver monitoring for a driver-centered design and assessment of a merging assistance system based on V2V communications. Sensors 2020, 20, 5582. [Google Scholar] [CrossRef]
- Schewe, F.; Vollrath, M. Visualizing distances as a function of speed: Design and evaluation of a distance-speedometer. Transp. Res. Part F Traffic Psychol. Behav. 2019, 64, 260–273. [Google Scholar] [CrossRef]
- Moore, D.; Strack, G.E.; Currano, R.; Sirkin, D. Visualizing Implicit Ehmi for Autonomous Vehicles. In Proceedings of the 11th International Conference on Automotive User Interfaces and Interactive Vehicular Applications: Adjunct Proceedings, Utrecht, The Netherlands, 21–25 September 2019. [Google Scholar] [CrossRef]
- Nakagawa, T.; Nishimura, R.; Iribe, Y.; Ishiguro, Y.; Ohsuga, S.; Kitaoka, N. A Human Machine Interface Framework for Autonomous Vehicle Control. In Proceedings of the 2017 IEEE 6th Global Conference on Consumer Electronics (GCCE), Las Vegus, NV, USA, 24–27 October 2017. [Google Scholar] [CrossRef]
- Antrobus, V.; Burnett, G.; Krehl, C. Driver-passenger collaboration as a basis for human- machine interface design for Vehicle Navigation Systems. Ergonomics 2016, 60, 321–332. [Google Scholar] [CrossRef]
- Tang, G.; Shi, Q.; Zhang, Z.; He, T.; Sun, Z.; Lee, C. Hybridized wearable patch as a multi-parameter and multi-functional human-machine interface. Nano Energy 2021, 81, 105582. [Google Scholar] [CrossRef]
- François, M.; Osiurak, F.; Fort, A.; Crave, P.; Navarro, J. Automotive HMI design and participatory user involvement: Review and Perspectives. Ergonomics 2016, 60, 541–552. [Google Scholar] [CrossRef]
- Bazilinskyy, P.; Beaumont, C.; van der Geest, X.; de Jonge, R.; van der Kroft, K.; de Winter, J. Blind driving by means of a steering-based predictor algorithm. In Advances in Intelligent Systems and Computing, Proceedings of the AHFE 2017 International Conference on Human Factors in Transportation, Los Angeles, CA, USA, 17–21 July 2017; Springer: Cham, Switzerland, 2017; pp. 457–466. [Google Scholar]
- Nacpil, E.J.; Zheng, R.; Kaizuka, T.; Nakano, K. Implementation of a SEMG-machine interface for steering a virtual car in a driving simulator. In Advances in Human Factors in Simulation and Modeling, Proceedings of the AHFE 2017 International Conference on Human Factors in Simulation and Modeling, Los Angeles, CA, USA, 17–21 July 2017; Springer: Cham, Switzerland, 2017; pp. 274–282. [Google Scholar] [CrossRef]
- Amditis, A.; Bertolazzi, E.; Bimpas, M.; Biral, F.; Bosetti, P.; Da Lio, M.; Danielsson, L.; Gallione, A.; Lind, H.; Saroldi, A.; et al. A holistic approach to the integration of safety applications: The INSAFES subproject within the European framework programme 6 integrating project PReVENT. IEEE Trans. Intell. Transp. Syst. 2010, 11, 554–566. [Google Scholar] [CrossRef]
- Yontem, A.O.; Li, K.; Chu, D.; Meijering, V.; Skrypchuk, L. Prospective immersive human- machine interface for future vehicles: Multiple zones turn the full windscreen into a head-up display. IEEE Veh. Technol. Mag. 2021, 16, 83–92. [Google Scholar] [CrossRef]
- Tateno, S.; Zhu, Y.; Meng, F. Hand gesture recognition system for in-car device control based on Infrared Array Sensor. In Proceedings of the 2019 58th Annual Conference of the Society of Instrument and Control Engineers of Japan (SICE), Hiroshima, Japan, 10–13 September 2019. [Google Scholar] [CrossRef]
- Liao, X.; Song, W.; Zhang, X.; Huang, H.; Wang, Y.; Zheng, Y. Directly printed wearable electronic sensing textiles towards human-machine interfaces. J. Mater. Chem. C 2018, 6, 12841–12848. [Google Scholar] [CrossRef]
- Clamann, M.; Aubert, M.; Cummings, M.L. Evaluation of Vehicle-to-Pedestrian Communication Displays for Autonomous Vehicles. In Proceedings of the Transportation Research Board 96th Annual Meeting, Washington, DC, USA, 8–12 January 2017. [Google Scholar]
- Walch, M.; Lange, K.; Baumann, M.; Weber, M. Autonomous driving. In Proceedings of the 7th International Conference on Automotive User Interfaces and Interactive Vehicular Applications, Nottingham, UK, 3 September 2015. [Google Scholar] [CrossRef]
- Merat, N.; Jamson, A.H.; Lai, F.C.H.; Daly, M.; Carsten, O.M.J. Transition to manual: Driver behaviour when resuming control from a highly automated vehicle. Transp. Res. Part F Traffic Psychol. Behav. 2014, 27, 274–282. [Google Scholar] [CrossRef] [Green Version]
- Banks, V.A.; Eriksson, A.; O’Donoghue, J.; Stanton, N.A. Is partially automated driving a bad idea? observations from an on-road study. Appl. Ergon. 2018, 68, 138–145. [Google Scholar] [CrossRef] [Green Version]
- Habibovic, A.; Lundgren, V.M.; Andersson, J.; Klingegård, M.; Lagström, T.; Sirkka, A.; Fagerlönn, J.; Edgren, C.; Fredriksson, R.; Krupenia, S.; et al. Communicating intent of automated vehicles to pedestrians. Front. Psychol. 2018, 9, 1336. [Google Scholar] [CrossRef]
- Dey, D.; Terken, J. Pedestrian Interaction with Vehicles: Roles of Explicit and Implicit Communication. In Proceedings of the 9th International Conference on Automotive User Interfaces and Interactive Vehicular Applications, Oldenburg, Germany, 27 September 2017. [Google Scholar] [CrossRef]
- Dey, D.; Habibovic, A.; Pfleging, B.; Martens, M.; Terken, J. Color and animation preferences for a light band ehmi in interactions between automated vehicles and pedestrians. In Proceedings of the 2020 CHI Conference on Human Factors in Computing System, Honolulu, HI, USA, 25–30 April 2020. [Google Scholar] [CrossRef]
- Yang, H.; Zhao, Y.; Wang, Y. Identifying modeling forms of instrument panel system in intelligent shared cars: A study for perceptual preference and in-vehicle behaviors. Environ. Sci. Pollut. Res. 2019, 27, 1009–1023. [Google Scholar] [CrossRef]
- Faas, S.M.; Mathis, L.-A.; Baumann, M. External HMI for self-driving vehicles: Which information shall be displayed? Transp. Res. Part F Traffic Psychol. Behav. 2020, 68, 171–186. [Google Scholar] [CrossRef]
- Ackermans, S.; Dey, D.; Ruijten, P.; Cuijpers, R.H.; Pfleging, B. The effects of explicit intention communication, conspicuous sensors, and pedestrian attitude in interactions with automated vehicles. In Proceedings of the 2020 CHI Conference on Human Factors in Computing Systems, Honolulu, HI, USA, 25–30 April 2020. [Google Scholar] [CrossRef]
- Pu, X.; Tang, Q.; Chen, W.; Huang, Z.; Liu, G.; Zeng, Q.; Chen, J.; Guo, H.; Xin, L.; Hu, C. Flexible triboelectric 3D touch pad with unit subdivision structure for effective XY positioning and pressure sensing. Nano Energy 2020, 76, 105047. [Google Scholar] [CrossRef]
- Yang, L.; Babayi Semiromi, M.; Xing, Y.; Lv, C.; Brighton, J.; Zhao, Y. The identification of non-driving activities with associated implication on the take-over process. Sensors 2021, 22, 42. [Google Scholar] [CrossRef]
- Ono, S.; Sasaki, H.; Kumon, H.; Fuwamoto, Y.; Kondo, S.; Narumi, T.; Tanikawa, T.; Hirose, M. Improvement of driver active interventions during automated driving by displaying trajectory pointers-a driving simulator study. Traffic Inj. Prev. 2019, 20, S152–S156. [Google Scholar] [CrossRef] [Green Version]
- Kraft, A.-K.; Maag, C.; Cruz, M.I.; Baumann, M.; Neukum, A. Effects of explaining system failures during maneuver coordination while driving manual or Automated. Accid. Anal. Prev. 2020, 148, 105839. [Google Scholar] [CrossRef]
- Monsaingeon, N.; Caroux, L.; Mouginé, A.; Langlois, S.; Lemercier, C. Impact of interface design on drivers’ behavior in partially automated cars: An on-road study. Transp. Res. Part F Traffic Psychol. Behav. 2021, 81, 508–521. [Google Scholar] [CrossRef]
- Eisma, Y.B.; van Bergen, S.; ter Brake, S.M.; Hensen, M.T.; Tempelaar, W.J.; de Winter, J.C. External human-machine interfaces: The effect of display location on crossing intentions and Eye Movements. Information 2019, 11, 13. [Google Scholar] [CrossRef] [Green Version]
- Dey, D.; Walker, F.; Martens, M.; Terken, J. Gaze patterns in pedestrian interaction with vehicles. In Proceedings of the 11th International Conference on Automotive User Interfaces and Interactive Vehicular Applications, Utrecht, The Netherlands, 21–25 September 2019. [Google Scholar] [CrossRef]
- De Winter, J.; Bazilinskyy, P.; Wesdorp, D.; de Vlam, V.; Hopmans, B.; Visscher, J.; Dodou, D. How do pedestrians distribute their visual attention when walking through a parking garage? an eye-tracking study. Ergonomics 2021, 64, 793–805. [Google Scholar] [CrossRef] [PubMed]
Publisher’s Note: MDPI stays neutral with regard to jurisdictional claims in published maps and institutional affiliations. |
© 2022 by the authors. Licensee MDPI, Basel, Switzerland. This article is an open access article distributed under the terms and conditions of the Creative Commons Attribution (CC BY) license (https://creativecommons.org/licenses/by/4.0/).