Exploring the Climatic Potential of Somo’s Surf Spot for Tourist Destination Management
Abstract
1. Introduction
2. Literature Review
3. Study Area, Data and Methods
3.1. Study Area
3.2. Data and Methods
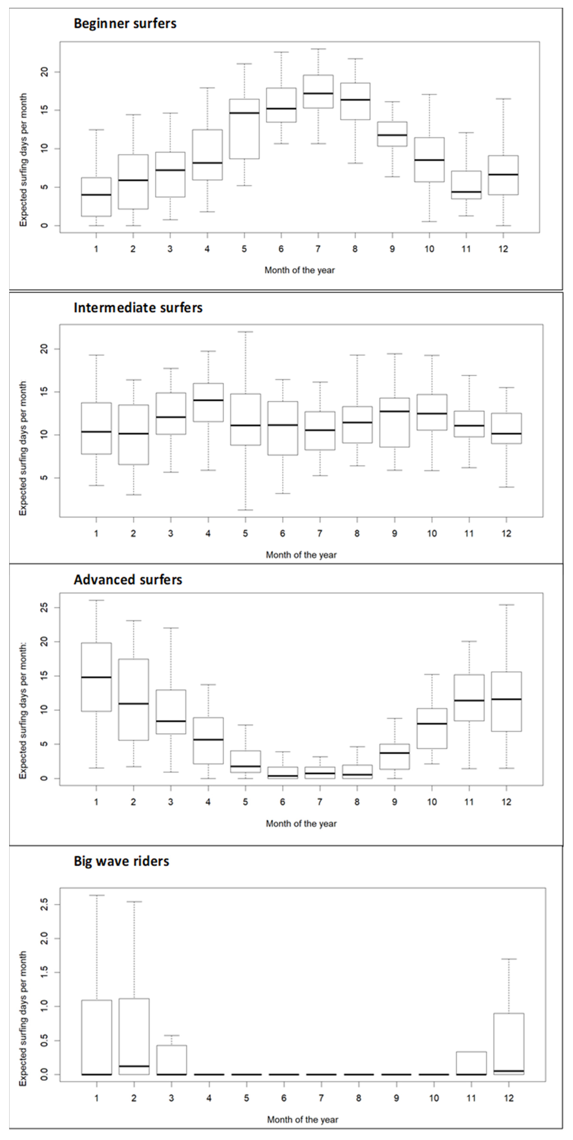
4. Results
4.1. Surf Climatologies
4.2. Alternative Offer
4.3. Hazards Management for Surfers and Swimmers
5. Discussion
6. Conclusions and Perspectives
Author Contributions
Funding
Institutional Review Board Statement
Informed Consent Statement
Data Availability Statement
Conflicts of Interest
References
- World Meteorological Organization. Implementation Plan of the Global Framework for Climate Services; WMO: Geneva, Switzerland, 2014. [Google Scholar]
- Hewitt, C.; Mason, S.; Walland, D. The global framework for climate services. Nat. Clim. Change 2012, 2, 831–832. [Google Scholar] [CrossRef]
- Swart, R.; Celliers, L.; Collard, M.; Prats, A.G.; Huang-Lachmann, J.T.; Sempere, F.L.; Timmermans, W. Reframing climate services to support municipal and regional planning. Clim. Serv. 2021, 22, 100227. [Google Scholar] [CrossRef]
- Mahon, R.; Petrie, J.A.; Trotman, A.; Eyzaguirre, J.; Burrowes, R.; Matthews, L.; Charles, A. Climate services for tourism: Insights from Caribbean Small Island Developing States. Clim. Serv. 2021, 24, 100262. [Google Scholar] [CrossRef]
- André, K.; Järnberg, L.; Gerger Swartling, Å.; Berg, P.; Segersson, D.; Amorim, J.H.; Strömbäck, L. Assessing the Quality of Knowledge for Adaptation–Experiences from Co-designing Climate Services in Sweden. Front. Clim. 2021, 3, 11. [Google Scholar] [CrossRef]
- Ibarra, A.M.S.; Hewitt, C.; Winarto, Y.T.; Walker, S.; Keener, V.W.; Bayala, J.; van den Hurk, B. Resilience through climate services. One Earth 2021, 4, 1050–1054. [Google Scholar] [CrossRef]
- Demiroglu, O.C.; Saygili-Araci, F.S.; Pacal, A.; Hall, C.M.; Kurnaz, M.L. Future Holiday Climate Index (HCI) performance of urban and beach destinations in the Mediterranean. Atmosphere 2020, 11, 911. [Google Scholar] [CrossRef]
- Font Barnet, A.; Boqué Ciurana, A.; Olano Pozo, J.X.; Russo, A.; Coscarelli, R.; Antronico, L.; Aguilar, E. Climate services for tourism: An applied methodology for user engagement and co-creation in European destinations. Clim. Serv. 2021, 23, 100249. [Google Scholar] [CrossRef]
- Boqué Ciurana, A.; Aguilar, E. Which Meteorological and Climatological Information Is Requested for Better Surfing Experiences? A Survey-Based Analysis. Atmosphere 2021, 12, 293. [Google Scholar] [CrossRef]
- De Freitas, C.R.; Scott, D.; McBoyle, G. A second generation climate index for tourism (CIT): Specification and verification. Int. J. Biometeorol. 2008, 52, 399–407. [Google Scholar] [CrossRef]
- Scott, D.; Rutty, M.; Amelung, B.; Tang, M. An inter-comparison of the Holiday Climate Index (HCI) and the Tourism Climate Index (TCI) in Europe. Atmosphere 2016, 7, 80. [Google Scholar] [CrossRef]
- Rutty, M.; Scott, D.; Matthews, L.; Burrowes, R.; Trotman, A.; Mahon, R.; Charles, A. An Inter-Comparison of the Holiday Climate Index (HCI:Beach) and the Tourism Climate Index (TCI) to Explain Canadian Tourism Arrivals to the Caribbean. Atmosphere 2020, 11, 412. [Google Scholar] [CrossRef]
- Terrado, M.; Christel, I.; Bojovic, D.; Soret, A.; Doblas-Reyes, F.J. Climate change communication and user engagement: A tool to anticipate climate change. In Handbook of Climate Change Communication; Springer: Cham, Switzerland, 2018; Volume 3, pp. 285–302. [Google Scholar]
- Terrado, M.; Calvo, L.; Urquiza, D.; Octenjak, S.; Nicodemou, A.; Bojovic, D.; Christel, I. Towards more effective visual-isations in climate services: Best practices and recommendations (No. EMS2021-355). In Proceedings of the Copernicus Meetings, Austria, 4 May 2021. [Google Scholar]
- Simm, J.; Gouldby, B.; Lumbroso, D.; Matthewson, T. Effective Coastal Climate Services—An End-User Perspective for Resilient Infrastructure. Front. Mar. Sci. 2021, 1135. [Google Scholar] [CrossRef]
- WTO and UNEP. Climate Change and Tourism—Responding to Global Challenges; World Tourism Organization (WTO) and United Nations Environment Programme (UNEP); WTO: Madrid, Spain, 2008; p. 256. [Google Scholar]
- Álvarez-Díaz, M.; Rosselló-Nadal, J. Forecasting British tourist arrivals in the Balearic Islands using meteorological variables. Tour. Econ. 2010, 16, 153–168. [Google Scholar] [CrossRef]
- Rosselló-Nadal, J.; Riera-Font, A.; Cárdenas, V. The impact of weather variability on British outbound flows. Clim. Change 2011, 105, 281–292. [Google Scholar] [CrossRef]
- Førland, E.J.; Jacobsen, J.K.S.; Denstadli, J.M.; Lohmann, M.; Hanssen-Bauer, I.; Hygen, H.O.; Tømmervik, H. Cool weather tourism under global warming: Comparing Arctic summer tourists’ weather preferences with regional climate statistics and projections. Tour. Manag. 2013, 36, 567–579. [Google Scholar] [CrossRef]
- Day, J.; Chin, N.; Sydnor, S.; Cherkauer, K. Weather, climate, and tourism performance: A quantitative analysis. Tour. Manag. Perspect. 2013, 5, 51–56. [Google Scholar] [CrossRef]
- Falk, M. Impact of long-term weather on domestic and foreign winter tourism demand. Int. J. Tour. Res. 2013, 15, 1–17. [Google Scholar] [CrossRef]
- Forster, J.; Schuhmann, P.W.; Lake, I.R.; Watkinson, A.R.; Gill, J.A. The influence of hurricane risk on tourist destination choice in the Caribbean. Clim. Change 2012, 114, 745–768. [Google Scholar] [CrossRef]
- Hamzah, J.; Habibah, A.; Buang, A.; Jusoff, K.; Toriman, M.E.; Mohd Fuad, M.J.; Azima, A.M. Flood disaster, impacts and the tourism providers’ responses: The Kota Tinggi experience. Adv. Nat. Appl. Sci. 2012, 6, 26–32. [Google Scholar]
- Tsai, H.T.; Tseng, C.J.; Tzeng, S.Y.; Wu, T.J.; Day, J.D. The impacts of natural hazards on Taiwan’s tourism industry. Nat. Hazards 2012, 62, 83–91. [Google Scholar] [CrossRef]
- Arent, D.J.; Tol, R.S.J.; Faust, E.; Hella, J.P.; Kumar, S.; Strzepek, K.M.; Tóth, F.L.; Yan, D. Key economic sectors and services. In Climate Change 2014: Impacts, Adaptation, and Vulnerability; Part A: Global and Sectoral Aspects; Contribution of Working Group II to the Fifth Assessment Report of the Intergovernmental Panel on Climate Change; Field, C.B., Barros, V.R., Dokken, D.J., Mach, K.J., Mastrandrea, M.D., Bilir, T.E., Chatterjee, M., Ebi, K.L., Estrada, Y.O., Genova, R.C., et al., Eds.; Cambridge University Press: Cambridge, UK; New York, NY, USA, 2014; pp. 659–708. [Google Scholar]
- Mieczkowski, Z. The tourism climatic index: A method of evaluating world climates for tourism. Can. Geogr. Géographe Can. 1985, 29, 220–233. [Google Scholar] [CrossRef]
- Becken, S.; Hay, J.E. Tourism and climate change. In Tourism and Climate Change; Channel View Publications: Bristol, UK, 2007. [Google Scholar]
- Adiguzel, F.; Bozdogan Sert, E.; Dinc, Y.; Cetin, M.; Gungor, S.; Yuka, P.; Vural, E. Determining the relationships between climatic elements and thermal comfort and tourism activities using the tourism climate index for urban planning: A case study of Izmir Province. Theor. Appl. Climatol. 2021, 147, 1105–1120. [Google Scholar] [CrossRef]
- Adiguzel, F.; Bozdogan Sert, E.; Dinc, Y.; Cetin, M.; Gungor, S.; Yuka, P.; Vural, E.; Dogan, O.S.; Kaya, E.; Karakaya, K. Confort climático en la Argentina: Un recurso intangible para el turismo. Cuad. Geográficos 2021, 60, 52–72. [Google Scholar]
- Scott, D.; Lemieux, C. Weather and climate information for tourism. Procedia Environ. Sci. 2010, 1, 146–183. [Google Scholar] [CrossRef]
- Scott, D. Sustainable tourism and the grand challenge of climate change. Sustainability 2021, 13, 1966. [Google Scholar] [CrossRef]
- Olano Pozo, J.X.; Boqué Ciurana, A.; Font Barnet, A.; Russo, A.; Saladié Borraz, Ò.; Anton-Clavé, S.; Aguilar, E. Co-developing climate services with local agents: The INDECIS Snow Tourism Index. In Proceedings of the EGU General Assembly Conference Abstracts, Virtual Event, 4–8 May 2020; p. 8926. [Google Scholar]
- Rice, H.; Cohen, S.; Scott, D.; Steiger, R. Climate change risk in the Swedish ski industry. Curr. Issues Tour. 2021, 1–16. [Google Scholar] [CrossRef]
- Köberl, J.; François, H.; Cognard, J.; Carmagnola, C.; Prettenthaler, F.; Damm, A.; Morin, S. The demand side of climate services for real-time snow management in Alpine ski resorts: Some empirical insights and implications for climate services development. Clim. Serv. 2021, 22, 100238. [Google Scholar] [CrossRef]
- Boqué Ciurana, A.; Aguilar, E. Expected distribution of surfing days in the Iberian Peninsula. J. Mar. Sci. Eng. 2020, 8, 599. [Google Scholar] [CrossRef]
- Martin, S.A.; Assenov, I. The genesis of a new body of sport tourism literature: A systematic review of surf tourism research (1997–2011). J. Sport Tour. 2012, 17, 257–287. [Google Scholar] [CrossRef]
- Amorim, R.C.; Rocha, A.; Oliveira, M.; Ribeiro, C. Efficient delivery of forecasts to a nautical sports mobile application with semantic data services. In Proceedings of theNinth International C* Conference on Computer Science & Software Engineering, Porto, Portugal, 20–22 July 2016; C3S2E ’16. Association for Computing Machinery: New York, NY, USA, 2016; pp. 7–12. [Google Scholar]
- Martínez Vázquez, R.M.; Milán García, J.; De Pablo Valenciano, J. Analysis and trends of global research on nautical, maritime and marine tourism. J. Mar. Sci. Eng. 2021, 9, 93. [Google Scholar] [CrossRef]
- Portugal, A.C.; Campos, F.; Martins, F.; Melo, R. Understanding the relation between serious surfing, surfing profile, surf travel behaviour and destination attributes preferences. Eur. J. Tour. Res. 2017, 16, 57–73. [Google Scholar] [CrossRef]
- Chen, N.; Liu, J.; Ba, Z.; Zhong, J.; Liu, X. The Construction and Research of Marine Tourism Management System Based on the Perspective of Industrial Integration. J. Coast. Res. 2020, 112, 132–135. [Google Scholar] [CrossRef]
- Martin, S.A. The conservation of coastal surfing resources in Thailand: The Andaman Sea. In Proceedings of the International Conference on the Environment and Natural Resources (ICENR), Bangkok, Thailand, 5 November 2010; pp. 262–280. [Google Scholar]
- Arroyo, M.; Levine, A.; Brenner, L.; Seingier, G.; Leyva, C.; Espejel, I. Indicators to measure pressure, state, impact and responses of surf breaks: The case of Bahía de Todos Santos World Surfing Reserve. Ocean. Coast. Manag. 2020, 194, 105252. [Google Scholar] [CrossRef]
- Atkin, E.A.; Reineman, D.R.; Reiblich, J.; Revell, D.L. Applicability of management guidelines for surfing resources in California. Shore Beach 2020, 88, 53–64. [Google Scholar] [CrossRef]
- Reineman, D.R.; Koenig, K.; Strong-Cvetich, N.; Kittinger, J.N. Conservation Opportunities Arise from the Co-Occurrence of Surfing and Key Biodiversity Areas. Front. Mar. Sci. 2021, 8, 253. [Google Scholar] [CrossRef]
- Valencia, L.; Monterrubio, C.; Osorio-García, M. Social representations of surf tourism’s impacts in Mexico. Int. J. Tour. Policy 2021, 11, 29–51. [Google Scholar] [CrossRef]
- Fox, N.; Marshall, J.; Dankel, D.J. Ocean Literacy and Surfing: Understanding How Interactions in Coastal Ecosystems Inform Blue Space User’s Awareness of the Ocean. Int. J. Environ. Res. Public Health 2021, 18, 5819. [Google Scholar] [CrossRef]
- McGinnis, M.D.; Ostrom, E. Social-ecological system framework: Initial changes and continuing challenges. Ecol. Soc. 2014, 19, 30. [Google Scholar] [CrossRef]
- Mindes, A.R. The Perception of Hazards Among Surfers in Southern California; California State University: Long Beach, CA, USA, 1997. [Google Scholar]
- Brander, R.W. Rip currents. In Coastal and Marine Hazards, Risks, and Disasters; Elsevier: Amsterdam, The Netherlands, 2015; pp. 335–379. [Google Scholar]
- Brander, R.W.; Bradstreet, A.; Sherker, S.; MacMahan, J. Responses of swimmers caught in rip currents: Perspectives on mitigating the global rip current hazard. Int. J. Aquat. Res. Educ. 2011, 5, 11. [Google Scholar] [CrossRef][Green Version]
- Dalrymple, R.A.; MacMahan, J.H.; Reniers, A.J.; Nelko, V. Rip currents. Annu. Rev. Fluid Mech. 2011, 43, 551–581. [Google Scholar] [CrossRef]
- Attard, A.; Brander, R.W.; Shaw, W.S. Rescues conducted by surfers on Australian beaches. Accid. Anal. Prev. 2015, 82, 70–78. [Google Scholar] [CrossRef] [PubMed]
- De Andrés, C.; Torrego, J.A.; Júnior, S.; Escamilla, V.; Ortiz, R.; Borgonovo, M.; del Estal, A. Valoración del Equilibrio con Y-balance Test en Surfistas de Competición y Población no Surfista en España. Available online: https://www.researchgate.net/profile/Alejandro-Martinez-22/publication/317175801_Valoracion_del_Equilibrio_con_Y-balance_Test_en_Surfistas_de_Competicion_y_Poblacion_no_Surfista_en_Espana/links/59297851458515e3d469c4af/Valoracion-del-Equilibrio-con-Y-bal (accessed on 9 June 2022).
- Sariego López, I.; Moreno Melgarejo, A. El desarrollo turístico y territorial basado en el Surf: Ribamontán al Mar,“Surf a Toda Costa”. Estud. Turísticos 2015, 205, 119–138. [Google Scholar]
- Köppen, W.P. Grundriss der Klimakunde; Walter de Gruyter GmbH: Berlin, Germany, 1931. [Google Scholar]
- Rafael, C. Climate Atlas of the Cantabrian Region; CMT CAS; Technical note; National Institute of Meteorology: Brasilia Brazil, 1992. [Google Scholar]
- Hellín Medina, J. Análisis Climatológico del Mar Cantábrico y su Influencia en la Navegación; 2009. Available online: https://upcommons.upc.edu/bitstream/handle/2099.1/7451/An%E1lisis%20Climatol%F3gico%20del%20Mar%20Cant%E1brico%20y%20su%20influencia%20en%20la%20Navegaci%F3n.pdf?sequence=1 (accessed on 9 June 2022).
- Camus, P.; Mendez, F.J.; Medina, R. A hybrid efficient method to downscale wave climate to coastal areas. Coast. Eng. 2011, 58, 851–862. [Google Scholar] [CrossRef]
- Camus, P.; Mendez, F.J.; Medina, R.; Tomas, A.; Izaguirre, C. High resolution downscaled ocean waves (DOW) reanalysis in coastal areas. Coast. Eng. 2013, 72, 56–68. [Google Scholar] [CrossRef]
- Reguero, B.G.; Menéndez, M.; Méndez, F.J.; Mínguez, R.; Losada, I.J. A Global Ocean Wave (GOW) calibrated reanalysis from 1948 onwards. Coast. Eng. 2012, 65, 38–55. [Google Scholar] [CrossRef]
- Perez, J.; Menendez, M.; Losada, I.J. GOW2: A global wave hindcast for coastal applications. Coast. Eng. 2017, 124, 1–11. [Google Scholar] [CrossRef]
- Saha, S.; Moorthi, S.; Pan, H.L.; Wu, X.; Wang, J.; Nadiga, S.; Tripp, P.; Kistler, R.; Woollen, J.; Goldberg, M.; et al. The NCEP Climate Forecast System Reanalysis. Bull. Am. Meteorol. Soc. 2010, 91, 1015–1058. [Google Scholar] [CrossRef]
- ha, S.; Moorthi, S.; Wu, X.; Wang, J.; Nadiga, S.; Tripp, P.; Behringer, D.; Hou, Y.; Chuang, H.; Iredell, M.; et al. The NCEP Climate Forecast System Version 2. J. Clim. 2014, 27, 2185–2208. [Google Scholar]
- Holthuijsen, L.H. Waves in Oceanic and Coastal Waters; Cambridge University press: Cambridge, UK, 2010. [Google Scholar]
- Espejo, A.; Losada, I.J.; Méndez, F.J. Surfing wave climate variability. Glob. Planet. Change 2014, 121, 19–25. [Google Scholar] [CrossRef]
- Yukawa, H.; Iino, M.; Fujiwara, T. Estimation and visualization of paddling effort for stand up paddle boarding with a geographical information system. Procedia Eng. 2015, 112, 552–555. [Google Scholar] [CrossRef][Green Version]
- Vermeersch, W.; Alcoforado, M.J. Wind as a resource for summer nautical recreation. Guincho beach study case. Finisterra 2013, 48, 95. [Google Scholar] [CrossRef]
- Hutt, J.A.; Black, K.P.; Mead, S.T. Classification of surf breaks in relation to surfing skill. J. Coast. Res. 2001, 29, 66–81. [Google Scholar]
- Koon, W.; Rowhani-Rahbar, A.; Quan, L. Do wave heights and water levels increase ocean lifeguard rescues? Am. J. Emerg. Med. 2018, 36, 1195–1201. [Google Scholar] [CrossRef]
- Mazzone, W.F. Development and Evaluation of a Swimmer’s Rescue Suit; Naval Submarine Base New London: Groton CN, USA, 1961. [Google Scholar]
- Whitcomb, D. So Others May Live: Saving Lives, Defying Death with the Coast Guard’s Rescue Swimmers. Air Power Hist. 2008, 55, 63–64. [Google Scholar]
- Miloshis, M.; Stephenson, W.J. Rip current escape strategies: Lessons for swimmers and coastal rescue authorities. Nat. Hazards 2011, 59, 823–832. [Google Scholar] [CrossRef]
- Scarfe, B.E.; Healy, T.R.; Rennie, H.G.; Mead, S.T. Sustainable management of surfing breaks—An overview. Reef J. 2009, 1, 44–73. [Google Scholar]
- Tausía Hoyal, J. Spatial and temporal variability of surfing in Cantabria. Master ’s Thesis, Universidad de Cantabria (UC), Santander, Spain, 2020. [Google Scholar]
- Barlow, M.J.; Gresty, K.; Findlay, M.; Cooke, C.B.; Davidson, M.A. The effect of wave conditions and surfer ability on performance and the physiological response of recreational surfers. J. Strength Cond. Res. 2014, 28, 2946–2953. [Google Scholar] [CrossRef]
- Peñas de Haro, P. La Geografía del Surf y el Bodyboard en Mallorca, Clima y Turismo Activo. PhD Thesis, Universitat de les Illes Balears, Palma de Mallorca, Spain, 2015. [Google Scholar]
- Martín González, R.; Gil, A.M.L. Propuesta de diversificación de productos en destinos consolidados: El turismo de surf en la Costa del Sol Occidental. Estud. Turísticos 2014, 199, 63–88. [Google Scholar]
- Short, A.D.; Hogan, C.L. Rip currents and beach hazards: Their impact on public safety and implications for coastal management. J. Coast. Res. 1994, 14, 197–209. [Google Scholar]
- León, C.J.; Giannakis, E.; Zittis, G.; Serghides, D.; Lam-González, Y.E.; García, C. Tourists’ Preferences for Adaptation Measures to Build Climate Resilience at Coastal Destinations. Evidence from Cyprus. Tour. Plan. Dev. 2021, 1–27. [Google Scholar] [CrossRef]
- Bradshaw, L. Surfing the Innovation Waves: Surf Tourism in Portugal. In Tourism Innovation in Spain and Portugal; Springer: Cham, Switzerland, 2021; pp. 149–166. [Google Scholar]
- Borne, G. Surfing and Sustainability; Routledge: London, UK, 2018. [Google Scholar]
- Kumar, U.; Werners, S.E.; Paparrizos, S.; Datta, D.K.; Ludwig, F. Co-producing climate information services with smallholder farmers in the Lower Bengal Delta: How forecast visualization and communication support farmers’ decision-making. Clim. Risk Manag. 2021, 33, 100346. [Google Scholar] [CrossRef]
- Spinrad, R.W. The new blue economy. In Preparing a Workforce for the New Blue Economy; Elsevier: Amsterdam, The Netherlands, 2021; pp. 87–111. [Google Scholar]
- Mach, L.J. Surf Tourism in Uncertain Times: Resident Perspectives on the Sustainability Implications of COVID-19. Societies 2021, 11, 75. [Google Scholar] [CrossRef]
- Mach, L.; Ponting, J. Establishing a pre-COVID-19 baseline for surf tourism: Trip expenditure and attitudes, behaviors and willingness to pay for sustainability. Ann. Tour. Res. Empir. Insights 2021, 2, 100011. [Google Scholar] [CrossRef]
- Silva, G.; Correia, A.; Rachão, S.; Nunes, A.; Vieira, E.; Santos, S.; Fernandes, P.O. A Methodology for the Identification and Assessment of the Conditions for the Practice of Outdoor and Sport Tourism-Related Activities: The Case of Northern Portugal. Sustainability 2021, 13, 7343. [Google Scholar] [CrossRef]
- Janowski, I.; Gardiner, S.; Kwek, A. Dimensions of adventure tourism. Tour. Manag. Perspect. 2021, 37, 100776. [Google Scholar] [CrossRef]










| Alternative Surf Activity | ||
|---|---|---|
| Categorization | Conditions Required | Explanation |
| SUP/SUP yoga/SUP Pilates/Surf polo better than surfing | Ws < 10 Hm0 < 0.5 | Waves are not high enough for surfing, but wind conditions allow the practice of other related activities |
| SUP Wave | Ws < 20 Hm0 > 0.5 ≤ 1.5 | Significant wave height and wind speed will probably make SUP Wave possible |
| Kite surfing, windsurfing, wing better than surfing | Ws > 20 | Wind speed is too extreme for surfing but is suitable for other related activities |
| Surfing Skill-Oriented Climatology | ||
|---|---|---|
| Categorization | Conditions Required | Explanation |
| Beginner/Longboard/Fatty boards | Hm0 ≥ 0.5 < 0.9 Tp ≥ 6 | Small waves useful for beginners, longboarders, or fatty board riders |
| Intermediate | Hm0 ≥ 0.9 < 1.5 Tp ≥ 6 | Wave height is useful for intermediate surfers (in green waves) but also for beginners in white water |
| Advanced | Hm0 ≥ 1.5 < 3 Tp ≥ 6 | Wave height is so high that the surfers require advanced skills to arrive at the peak zone and to surf |
| Big wave rider | Hm0 ≥ 3 Tp ≥ 6 | Wave height is suitable only for big wave riders and tow-in surfers |
| Hazard Management: Surfers versus Swimmers Definition | ||||
|---|---|---|---|---|
| Variable Based | Conditions Required (Swimmers) | Value (Swimmers) | Conditions Required (Surfers) | Value (Surfers) |
| Wind-based | Ws < 10 Wd = all directions | 0 | Ws < 15 Wd = all directions | 0 |
| Ws ≥ 10 < 15 Wd = onshore | 1 | Ws ≥ 15 < 20 Wd = all directions | 3 | |
| Ws ≥ 10 < 15 Wd = offshore | 2 | Wd ≥ 20 Wd = all directions | 4 | |
| Ws ≥ 15 < 20 Wd = onshore | 1 | NA | NA | |
| Ws ≥ 15 < 20 Wd = offshore | 3 | NA | NA | |
| Ws ≥ 20 Wd = all directions | 4 | NA | NA | |
| Significant wave-height-based | Hm0 > 0.5 < 0.9 | 1 | Hm0 > 1.5 > 3 | 1 |
| Hm0 ≥ 0.9 < 1.5 | 2 | Hm0 ≥ 3 | 2 | |
| Hm0 > 1.5 | 3 | NA | NA | |
| Wave energy flux-based | We < 45 | 0 | We ≥ 500 < 1000 | 1 |
| We ≥ 45 < 100 | 1 | We ≥ 1000 | 4 | |
| We ≥ 100 < 1000 | 2 | NA | NA | |
| We ≥ 1000 | 3 | NA | NA | |
Publisher’s Note: MDPI stays neutral with regard to jurisdictional claims in published maps and institutional affiliations. |
© 2022 by the authors. Licensee MDPI, Basel, Switzerland. This article is an open access article distributed under the terms and conditions of the Creative Commons Attribution (CC BY) license (https://creativecommons.org/licenses/by/4.0/).
Share and Cite
Boqué Ciurana, A.; Ménendez, M.; Suárez Bilbao, M.; Aguilar, E. Exploring the Climatic Potential of Somo’s Surf Spot for Tourist Destination Management. Sustainability 2022, 14, 8496. https://doi.org/10.3390/su14148496
Boqué Ciurana A, Ménendez M, Suárez Bilbao M, Aguilar E. Exploring the Climatic Potential of Somo’s Surf Spot for Tourist Destination Management. Sustainability. 2022; 14(14):8496. https://doi.org/10.3390/su14148496
Chicago/Turabian StyleBoqué Ciurana, Anna, Melisa Ménendez, María Suárez Bilbao, and Enric Aguilar. 2022. "Exploring the Climatic Potential of Somo’s Surf Spot for Tourist Destination Management" Sustainability 14, no. 14: 8496. https://doi.org/10.3390/su14148496
APA StyleBoqué Ciurana, A., Ménendez, M., Suárez Bilbao, M., & Aguilar, E. (2022). Exploring the Climatic Potential of Somo’s Surf Spot for Tourist Destination Management. Sustainability, 14(14), 8496. https://doi.org/10.3390/su14148496

