Abstract
Indagation in the sphere of nanoparticle utilisation has provided commendatory upshots in discrete areas of application varying from medicinal use to environmental degradation alleviation. This study incorporates alumina nanoparticles as additives to diesel and biodiesel blends. The prime objective of the present study was the scrutinisation of the denouement of Al2O3 nanoparticle incorporation in diesel–biodiesel blends on a diesel engine’s performance and emission characteristics. Test fuel samples were prepared by blending different proportions of biodiesel and dispersing two concentrations of alumina nanoparticles (25 and 50 ppm) in the diesel. Dispersion was made without the use of a nanoparticle stabiliser to meet real-world feasibility. High-speed shearing was employed to blend the biodiesel and diesel, while nanoparticles were dispersed in the blends by ultrasonication. The blends so devised were tested using a single-cylinder diesel engine at fixed RPM and applied load for three compression ratios. Upshots of brake-specific fuel consumption (BSFC) and brake thermal efficiency (BTE) for fuel samples were measured with LabView-based software, whereas CO emissions and unburnt hydrocarbon (UBHC) emissions were computed using an external gas analyser attached to the exhaust vent of the engine. Investigation revealed that the inclusion of Al2O3 nanoparticles culminates in the amelioration of engine performance along with the alleviation of deleterious exhaust from engine. Furthermore, the incorporation of alumina nanoparticles assisted in the amelioration of dwindled performance attributed to biodiesel blending. More favourable results of nanoparticle inclusion were obtained at higher compression ratios compared to lower ones. Reckoning evinced that the Al2O3 nanoparticle is a lucrative introduction for fuels to boost the performance and dwindle the deleterious exhaust of diesel engines.
1. Introduction
The contribution of energy cannot be neglected in the headway of any country. Energy data regarding supply and consumption can be considered an indicator of the growth of that country. Energy consumed per year can be deemed a criterion of the prosperity of the country in addition to GDP. Growing energy demand and depleting conventional energy resources have given impetus to research work for finding new alternatives to the existing energy reservoirs and efficient and effective utilisation of available resources at optimised cost. The domain encompassing the notional losses in acquired power, efficiency and economy of conventional fuels, and the conjectural copious outflow of deleterious emissions that emanate as repercussions of hydrocarbon fuel combustion requires the pressing heed of researchers. As per the “Global energy and CO2 status report 2018”, in the pre-COVID-19 era, fossil fuels contributed more than three-fourths of the world’s total energy supply. Propelled by soaring energy demand in 2018, the CO2 emissions escalated by 1.7% to an unprecedented level of 33.1 Gt. While the “Global energy review 2021” delineated that, albeit in the midst of the lockdown period due to COVID-19, global oil demand was observed to be greater than one-fifth below pre-pandemic levels, it is envisioned to recoil by 6% in 2021, nimbler than other fuels. Global environmental disquietudes and envisageable meagreness in fossil energy have elevated the exigency of indagation in the concerned sphere.
Researchers are working diligently to unearth various possibilities to improve the functioning and effectiveness of existing machinery, such as reducing automobile materials’ weight, incorporating various fuzzy logics to ameliorate comfort, indagation of machining parameters and joining techniques, etc. [1]. In today’s scenario, the diesel engine is the most economical device to generate electricity drive agricultural equipment, transportation, the rural sector, etc., in their size range. Therefore, diesel engines are most effective prime movers available nowadays. Moreover, the higher thermal efficiency revealed by diesel engines is generally, in the case of automotive applications, owing to their greater fuel economy when compared to gasoline engines.
Due to the rapid reduction in availability and upgoing costs of hydrocarbon fossil fuels, biodiesel has emerged as a more lucrative option [2]. Experts’ opinion has pointed out that current oil and gas reserves will be available only for a few upcoming decades [3]. A recent investigation conducted on a diesel engine with castor methyl ester (CME) biodiesel–diesel blends along with nanoparticle dispersion evinced that 25 ppm in 20% CME blend improves BTE and curtails BSFC. The same concentration also provided reduction in HC and CO emission [4]. In a similar study, candle nut and soap nut biodiesel were used along with alumina nanoparticles. Upshots evinced higher BTE, lower BSFC, and curtailed emissions [5]. Cerium oxide nanoparticles along with corn oil biodiesel delineated reduction in CO and UBHC, while a marginal increase in NOx was observed [6]. A study using magnetised biodiesel–diesel blends evaluated the noise levels of a CI engine and described the effect of frequency for the purpose [7]. A study of an engine fuelled with marginatum biodiesel–diesel blends reported significant enhancement in performance characteristics and abatement in fume pollutants [8]. To cope with the impending fuel crisis, the replacement of reducing oil reserves by renewable fuels such as biodiesel has become a fascinating option for technological advancement. Another study using biodiesel blends with carbon nanotube nanoparticles exhibited noteworthy curtailment in harmful exhausts, including NOx [9]. Another effort from the viewpoint of fume pollutant reduction used various biodiesel–diesel blends and exhaust gas recirculation techniques and culminated in a 25–75% reduction in emissions [10]. Biodiesel can be directly used in a compression ignition engine in place of diesel. Biodiesel has combustion characteristics similar to those of petroleum diesel and generates fewer pollutants. Biodiesel is principally being churned out from soybean, rapeseed, palm oil, and neem oil. In developed countries, there is vast ongoing research in the field of renewable energy, and an upward trend towards using latest technologies. Biofuels are becoming cost wise very competitive with fossil fuels.
Various researchers have incorporated nanoparticles in diesel and biodiesel blends for the augmentation of the performance and curtailment of baleful emissions from diesel engines. A study on a diesel engine, comprising the inclusion of ZnO nanoparticles in biodiesel and ethanol blends has been orchestrated with the aspiration of achieving ameliorated performance [11]. Al nanoparticles behave as potential energy carriers and give rise to initial combustion temperature. This may cause a reduction in ignition delay and may contribute to better combustion [12]. The insertion of ceria nanoparticles in diesel emulsion fuel has manifested notable alleviation of particulate matter, carbon dioxide, and unburnt hydrocarbons [13]. The incorporation of alumina and silica nanoparticles in diesel–butanol blends was shown to manifest an augmentation in the compression ignition engine’s performance and mitigate soot emissions [14]. The inclusion of aluminium nanoparticles in diesel in different volume percentages displayed notable abatement of fuel consumption and NOx and particulate matter emission [15]. In another study, alumina oxide nanoparticles along with cupric oxide nanoparticles were added to diesel fuel, and the refined combustion attributes were documented [16]. Study showed that test fuels with nanoparticle dispersion has manifested superior thermophysical properties owing to its higher surface to volume ratio, and apropos of NOx emission, nanoparticles serve as oxygen buffer [17]. The dispersion of metal-based nano-additives has displayed significant abatement in fuel consumption. Furthermore, notable curtailment in diesel emission has been evidenced by using nanometal oxides as additives. The reason behind the emission drop is that the reaction of metal and water produces hydroxyl radicals, which augments the oxidation of soot, resulting in a drop in oxidation temperature [18,19].
The intent of the present study was to inspect the effects of the inclusion of alumina nanoparticles in different fractions in various blends of diesel and neem biodiesel on the fuel properties, combustion attributes, performance, and emission attributes of a variable compression ratio (VCR) diesel engine. For the investigation, neem biodiesel was prepared through a transesterification process from commercially purchased neem oil. Various blends with different percentages of neem biodiesel and diesel along with different PPM of alumina nanoparticles were prepared. Alumina nanoparticles were blended in neem biodiesel and diesel by using a high-energy ultrasonic probe sonicator of 120 W rated capacity.
2. Materials and Methodology
In the current work, neem (Azadirachta indica) biodiesel, prepared through a two-stage transesterification process along with diesel and Al2O3 nanoparticles as additives was employed in a four-stroke, water-cooled, single-cylinder, VCR engine.
2.1. Fuel Preparation
For the probing purpose, neem biodiesel was churned out from dewaxed neem oil via an acid-catalysed transesterification process and, thenceforth, by a base-catalysed transesterification process. Sulphuric acid was employed as the acid catalyst, whereas sodium hydroxide was utilised as the base catalyst for the aspiration. The fatty acid composition of neem oil is delineated in Table 1. For experimentation, five blends of diesel with biodiesel whose percentages varied from 10% to 50%, were commingled through a high-speed shearer at 2000 RPM. These blends were further dosed with 25 ppm and 50 ppm nanoparticles to formulate new compositions. To obtain proper dispersion of nanoparticles in the blends, a 120 W probe sonicator at 15 s “ON” and 30 s “OFF” cycle was used for 30 min. To verify the random dispersion of nanoparticles in blends, transmission electron microscopy (TEM) on HRTEM, JEOL GEM 2100 was conducted at AIIMS, New Delhi. The result of which is delineated in Figure 1. Figure 1 clearly implies that Al2O3 nanoparticles are uniformly and random dispersed in diesel and bio-diesel blends. Properties of Al2O3 nanoparticles shown in Table 2 blends were then tested on the engine and compared against diesel for engine performance and emission attributes. Table 3 depicts details of exhaust gas analyser AIRVISOR 5 Gas Analyser AVG-500 used in study.
Table 1.
Fatty acid composition of neem oil.
Figure 1.
TEM image of nanoparticle-dispersed diesel.
Table 2.
Properties of Al2O3 nanoparticles.
Table 3.
Technical specifications of emission analyser.
2.2. Performance Evaluation
The calorific value and density of all blends were evaluated commensurate to the IS 1448 P-6 and IS 1448 P-32 standards, respectively, while kinematic viscosity was evaluated in accordance with the ASTM D-15 standard. Figure 2 depicts the variation in density (a), calorific value (b), and kinematic viscosity (c) for diesel with nanoparticle dispersion. The setup had a panel box comprising an air box, a pair of fuel tanks for the dyad fuel test, a manometer for pressure measurement, a fuel consumption computing unit, transmitters for fuel and airflow estimation, and process and engine indicators. For cooling water flow computations, a rotameter was applied. Performance evaluation of the VCR engine for brake thermal efficiency (BTE), brake power (BP), brake-specific fuel consumption (BSFC), A/F ratio, and heat balance was conducted through the experimental setup. In addition, direct digital performance assessment was conducted through the LabView-based Engine Performance Analysis software package “Enginesoft LV”.
Figure 2.
Variation in physiochemical properties of diesel with nanoparticle dispersion: (a) density, (b) calorific value, and (c) kinematic viscosity.
The study describes the effects of nanoparticle inclusion on the physiochemical properties of various blends. The inclusion of Al2O3 nanoparticles in pure diesel exhibited very low improvement in kinematic viscosity and density, while a marginal increment in calorific value was discerned as depicted in Figure 2a–c.
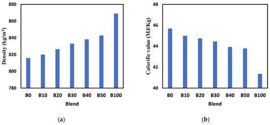
The blending of neem biodiesel also influenced the properties of diesel. The properties of different blends were compared with that of diesel and are shown in Figure 3a–c. Outcomes manifested notable enhancement in kinematic viscosity and density of diesel when blended with neem biodiesel, whereas abatement was descried in calorific value owing to the relatively meagre calorific value of neem biodiesel.

Figure 3.
Variation in properties of diesel with varying percentages of biodiesel: (a) density, (b) calorific value, and (c) kinematic viscosity.
2.3. Exhaust Emission Analysis
Exhaust from an engine consists of many pollutants in different proportions. An AVL 4000 Light Di-gas analyser was used to measure the UBHC, CO, and CO2 emissions from the exhaust. This analyser measures oxygen (O2), carbon monoxide (CO), carbon dioxide (CO2), and hydrocarbons (HCs). For the measurement of the above pollutants, the analyser’s inlet manifold was connected to the exhaust valve of the engine so that the required parameters could be noted.
3. Results and Discussion
In the current work, the engine performance and emission attributes of a single-cylinder VCR engine were evaluated at different CRs. The varied volume fractions from 10% to 50% of neem biodiesel were blended in diesel. Furthermore, 25 ppm and 50 ppm concentrations of Al2O3 nanoparticles were incorporated as additives to prepare the test blends. These blends were employed as test fuel for the diesel engine for the assessment of performance facets and emission attributes of the diesel engine.
3.1. Performance and Emission Characteristics
Engine performance is highly influenced by the properties of the fuel such as calorific value, kinematic viscosity, flash point, fire point, etc. Many phenomena taking place in the combustion chamber are responsible for performance change. Pressure variation in the combustion chamber, fuel inlet timing, valve timing, delay period, injection timing, and injection pressure are some of the phenomena taking place inside the combustion chamber that have a very high impact on performance and combustion parameters. Fuel properties play an acute role in performance characteristic alterations [20,21,22]. In this work, results from the engine are contrasted on the basis of performance parameters such as BTE, BSFC, and emissions from the engine varying with respect to different compression ratios with varying concentrations of biodiesel and nanoparticle additives at 8 kg load and at a sustained speed (1500 RPM).
3.1.1. Brake Thermal Efficiency (BTE)
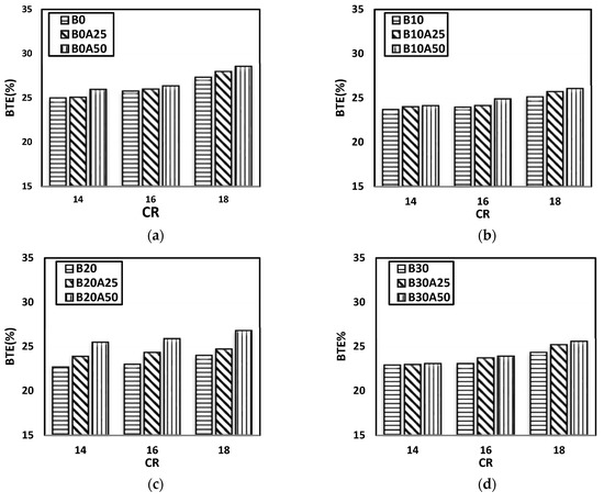
The deviation of the BTE of the engine at discrete compression ratios fuelled with pure diesel and with the insertion of nanoparticles is delineated in Figure 4a. Apparently, the dispersion of nanoparticles in pure diesel imparts a favourable impact on BTE. At a higher compression ratio, the improvement observed in BTE is greater because, at higher compression ratios, the heat liberated is greater, and at higher-temperatures, the nanoparticles suspended in the fuel absorb heat and aid in sustaining a stable temperature in the later stages of combustion and afterwards. Figure 4b shows the combined effect of neem biodiesel blending (10%) and alumina nanoparticle addition (25 ppm and 50 ppm concentrations). Albeit the blending of mere biodiesel emanates lower BTE than that of pure diesel, the addition of nanoparticles improves the combustion since metal oxides help in the rapid vaporisation of fuel, culminating in better commixing, which in turn provides supplemental surface area for fuel to react with oxygen molecules, which again results in better combustion [23]. Further results for increased biodiesel fraction till 50%, keeping the nanoparticle dispersion percentage constant, are plotted in Figure 4c–f. The inferior calorific value of biodiesel continues to culminate in lesser BTE for blends than that of diesel. However, this setback gets counterbalanced by the inclusion of Al2O3 nanoparticles. A maximum augmentation of 4.5% in BTE was achieved when the concentration of alumina nanoparticles was kept constant at 50 ppm, as compared to that of pure diesel at CR 18. The addition of alumina nanoparticles also improved the BTE of neem biodiesel. In the B20 blend, a 7% decrement was observed when tested without the addition of alumina nanoparticles at CR 18 when compared to pure diesel, but with the addition of nanoparticles at 50 ppm and at the same CR, this loss of BTE came down to 2% with respect to pure diesel [24].

Figure 4.
Variation of brake thermal efficiency (BTE) vs. compression ratio (CR) at a constant load of 8 kg: (a) B0, (b) B10, (c) B20, (d) B30, (e) B40, and (f) B50.
Comparison of BTE vs. CR for all blends without nanoparticles and at 25 ppm and at 50 ppm is depicted under Figure 5a–c. The inferior calorific value and overlying viscosity of biodiesel culminate in irregular atomisation inside the combustion chamber leading to the diminution of BTE [25]; however, nanoparticle dispersion counterpoises this hitch.
Figure 5.
Variation of brake thermal efficiency for biodiesel blends with respect to compression ratio: (a) without nanoparticles, (b) at 25 ppm Al2O3, and (c) at 50 ppm Al2O3.
3.1.2. Brake-Specific Fuel Consumption (BSFC)
It is apparent from Figure 6a that, at higher CR, the engine consumes lesser fuel. The addition of nanoparticles further reduces the BSFC, owing to improved combustion characteristics of the fuel. This is because, as the compression ratio increases, temperature is also increased, and due to increase in temperature, there is a decrease in viscosity of fuel and also an improvement in the properties of fuel, which brings out the apposite atomisation of fuel. Hence, at a higher compression ratio, the BSFC decreases [26]. Figure 6b,c show the combined effect of biodiesel blending (10% and 20%, respectively) and alumina nanoparticle addition in 25 ppm and 50 ppm concentrations. A rise in BSFC on biodiesel addition was observed, which may be due to the marginal heating value of biodiesel, but the addition of nanoparticle provides lower BSFC, which might be because the addition of nanoparticles provides better atomisation of fuel and assists in better combustion, which further results in more heat liberation [27]. Figure 6d–f show the effect of nanoparticle mixing in B30, B40, and B50, respectively; We can observe that alumina nanoparticle mixing reduces the BSFC of blended compared to non-Al2O3-added biodiesel blend. A maximum 11% decrease in BSFC was attained with 50 ppm concentration of alumina nanoparticles in pure diesel when compared to pure diesel at CR 18. At CR 14, about a 9% decrease in BSFC was observed at the same concentration of nanoparticle dosing. It can also be seen from Figure 7a–c that the BSFC is lesser for diesel at all compression ratio values and escalates as the proportion of biodiesel in blend is enhanced, owing to abatement in calorific value and enhancement in density.

Figure 6.
Variation of brake-specific fuel consumption with respect to compression ratio at load 8 kg: (a) B0, (b) B10, (c) B20, (d) B30, (e) B40, and (f) B50.
Figure 7.
Variation of brake-specific fuel consumption for biodiesel blends with respect to compression ratio: (a) without nanoparticles, (b) at 25 ppm Al2O3, and (c) at 50 ppm Al2O3.
3.1.3. CO Emission
Figure 8a shows that, as the compression ratio escalates, the CO emission reduces for pure diesel and that the incorporation of alumina nanoparticles also help in the abatement of CO emission.
Figure 8.
Variation of CO with respect to compression ratio at load 8 kg: (a) B0, (b) B10, (c) B20, (d) B30, (e) B40, and (f) B50.
At CR 18, the addition of alumina nanoparticles at 25 ppm and 50 ppm concentrations shows a 5% and 12% reduction in CO emission, respectively, when compared to pure diesel. From Figure 8b–f, it is apparent that the addition of neem biodiesel as well as Al2O3 nanoparticles helps in the reduction of harmful CO emissions. It is because of increase in oxygen content with increase in the concentration of biodiesel in the blend, which provides more oxygen to burn with the fuel [27]. Moreover, the addition of nanoparticles provides more-uniform conditions of combustion and results in favourable conditions for complete combustion and lesser CO emission. At CR 18, blends B20 and B20A50 exhibited 24% and 36% reductions in CO emission, respectively. Higher CR accounts for fuel properties such as viscosity and density to reduces and culminates in complete combustion, which leads to a reduction in CO. For the B50 blend, a 36% reduction in CO was observed, while a similar reduction was obtained with 20% biodiesel blending when dosed with 50 ppm nanoparticles.
At CR 18, we achieved reduction of 12% when 50 ppm Al2O3 was added to diesel compared to pure diesel, and a maximum 39% reduction in CO emission was found for the B50A50 blend at 8 kg load compared to pure diesel. Figure 9a–c show the effect of biodiesel blending with various concentrations of alumina nanoparticles, with respect to CR. We can conclude that as CR increases, CO emission reduces and the addition of alumina nanoparticles acts as a catalyst for CO reduction.
Figure 9.
Variation of CO for biodiesel blends with respect to compression ratio: (a) without nanoparticles, (b) at 25 ppm Al2O3, and (c) at 50 ppm Al2O3.
3.1.4. Unburned Hydrocarbon (HC) Emission
Unburned hydrocarbon (HC) emission of the engine occurs due to incomplete combustion of fuel because less oxygen is available near the fuel particles. The amount of oxygen depends on the air–fuel ratio, the mixing of the air and fuel, the atomisation of fuel particles, and the temperature of the cylinder walls. As the compression ratio of the engine increases, the temperature of the chamber increases with decrease in HC emission.
In addition, as the percentage of neem biodiesel is increased in the fuel, HC emission decreases due to increase in oxygen in the fuel for better combustion, causing a reduction in HC emission [28]. Figure 10a depicts the effect of alumina nanoparticle blending on pure diesel with respect to CR, a 16% reduction in HC emission was obtained when pure diesel was dosed with 50 ppm nanoparticles. Figure 10b–f display the effect of biodiesel blending from 10% to 50%, respectively, along with nanoparticle dispersion at 25 ppm and 50 ppm on HC emission. B10A50 shows a reduction of 25% in HC emissions, compared to pure diesel at 18 CR.

Figure 10.
Variation of HC with respect to compression ratio at load 8 kg: (a) B0, (b) B10, (c) B20, (d) B30, (e) B40, and (f) B50.
Figure 10c shows a 31% reduction in HC emission for B20A50 at CR 18. The Reduction in HC emission on the addition of nanoparticles is observed because of hydrocarbon oxidation and the atomisation effect due to nanoparticles [29]. A maximum reduction of 38% was achieved for B50A50. It is evident from the results that both biodiesel blending and nanoparticle dispersion exhibit alleviation of HC emission and that simultaneous incorporation of both culminates in further reduction. Figure 11a–c depict that HC emission and compression ratio evince an inverse correlation. For all blends, the higher the CR, the lesser the HC emission.
Figure 11.
Variation of HC for biodiesel blends with respect to compression ratio: (a) without nanoparticles, (b) at 25 ppm Al2O3, and (c) at 50 ppm Al2O3.
4. Conclusions
The inclusion of alumina nanoparticles did not culminate in a substantial deviation of physiochemical properties. From the engine performance perspective, the incorporation of alumina nanoparticles in diesel exhibits more favourable upshots for diesel, whereas meagre alleviation of damage caused by biodiesel blending was observed. This study was conducted with an approach to observe the effect of the inclusion of alumina nanoparticles in diesel and diesel–biodiesel blends at scanty concentrations. With higher concentration, the ill performance caused by biodiesel blending might be dwindled to a higher extent. This study leaves scope for that. Prominent upshots of the study are as follows.
- Compression ratio exhibited a proportional demeanor with respect to BTE, whereas the converse relationships with BSFC, CO, and HC emissions were discerned. A similar effect was noticed when Al2O3 nanoparticles were added in fuel blend. Improved combustion characteristics might be a reason for improved performance of the engine.
- B0A50 results in a 4.5% increase in BTE, an 11% decrease in BSFC, a 12% decrease in CO, and a 16% decrease in HC when compared to diesel at compression ratio 18 and load 8 kg.
- B20A50 results in a 2% decrease in BTE as compared to B0 while a 5% increase occurred when compared to B20 and an 18% increase in BSFC when compared to pure diesel, while a 11% reduction when compared to B20 was observed at 18 CR and 8 kg load.
- For the same CR and load, a 37% decrease in CO emission and a 31% reduction in HC emission was noticed as compared to that of pure diesel fuel for the same CR and load, while, when compared to B20, about a 16% reduction in CO and a 12% reduction in HC emission were observed.
- Observation of all results suggests B20A50 as a suitable blend for optimum performance and exhaust emission.
Author Contributions
All authors contributed to the study conception and design. Material preparation, data collection, and analysis were performed by Y.K., V.V., K.K.S., C.P., L.R.G. and S.D. The first draft and revision of the manuscript was written by Y.K., V.V., K.K.S., C.P., L.R.G. and S.D. All authors have read and agreed to the published version of the manuscript.
Funding
Ministry of Science and Higher Education of the Russian Federation as part of the World-class Research Centre program: Advanced Digital Technologies (contract No. 075-15-2022-311, dated 20 April 2022).
Institutional Review Board Statement
Not applicable.
Informed Consent Statement
Not applicable.
Data Availability Statement
Not applicable.
Conflicts of Interest
The authors declare no conflict of interest.
References
- Sonia, P.; Kumari, S. Performance Evaluation of Multi-Fiber (Hybrid) Polymer Composite. IOP Conf. Ser. Mater. Sci. Eng. 2021, 1116, 012027. [Google Scholar] [CrossRef]
- Mesri Gundoshmian, T.; Heidari-Maleni, A.; Jahanbakhshi, A. Evaluation of performance and emission characteristics of a CI engine using functional multi-walled carbon nanotubes (MWCNTs-COOH) additives in biodiesel-diesel blends. Fuel 2021, 287, 119525. [Google Scholar] [CrossRef]
- Ramesh, D.K.; Kumar, J.D.; Kumar, S.H.; Namith, V.; Jambagi, P.B.; Sharath, S. Study on effects of alumina nanoparticles as additive with poultry litter biodiesel on performance, combustion and emission characteristic of diesel engine. Mater. Today Proc. 2018, 5, 1114–1120. [Google Scholar] [CrossRef]
- Pandey, A.K.; Mishra, V.B.; Verma, V. Performance characteristics analysis of CI engine using dual biodiesel. Int. J. Engine Res. 2022, 1–9. [Google Scholar] [CrossRef]
- Al-Kheraif, A.A.; Syed, A.; Elgorban, A.M.; Divakar, D.D.; Shanmuganathan, R.; Brindhadevi, K. Experimental assessment of performance, combustion and emission characteristics of diesel engine fuelled by combined non-edible blends with nanoparticles. Fuel 2021, 295, 120590. [Google Scholar] [CrossRef]
- Muruganantham, P.; Pandiyan, P.; Sathyamurthy, R. Analysis on performance and emission characteristics of corn oil methyl ester blended with diesel and cerium oxide nanoparticle. Case Stud. Therm. Eng. 2021, 26, 101077. [Google Scholar]
- Samadi, S.; Heidarbeigi, K. Acoustic analysis of a single-cylinder diesel engine using magnetised biodiesel-diesel fuel blends. Heliyon 2020, 6, 05113. [Google Scholar] [CrossRef]
- Karthikeyan, S.; Periyasamy, M.; Prathima, A.; Sabariswaran, K. Performance analysis of diesel engine fueled with S. marginatum Macro algae biofuel-diesel blends. Mater. Today Proc. 2020, 33, 3464–3469. [Google Scholar] [CrossRef]
- Shekofteh, M.; Gundoshmian, T.M.; Jahanbakhshi, A.; Heidari-Maleni, A. Performance and emission characteristics of a diesel engine fueled with functionalised multi-wall carbon nanotubes (MWCNTs-OH) and diesel–biodiesel–bioethanol blends. Energy Rep. 2020, 6, 1438–1447. [Google Scholar] [CrossRef]
- Appavu, P.; Madhavan, V.R.; Venu, H.; Mariadoss, A. Effect of fuel additives and exhaust gas recirculation in biodiesel fuelled CI engine: A review. Int. J. Ambient. Energy 2021, 42, 1803–1809. [Google Scholar] [CrossRef]
- Prabakaran, B.; Udhoji, A. Experimental investigation into effects of addition of zinc oxide on performance, combustion and emission characteristics of diesel-biodiesel-ethanol blends in CI engine. Alex. Eng. J. 2016, 55, 3355–3362. [Google Scholar] [CrossRef] [Green Version]
- Mandilas, C.; Karagiannakis, G.; Konstandopoulos, A.G.; Beatrice, C.; Lazzaro, M.; Di Blasio, G.; Molina, S.; Pastor, J.V.; Gil, A. Study of basic oxidation and combustion characteristics of aluminum nanoparticles under enginelike conditions. Energy Fuels 2014, 28, 3430–3441. [Google Scholar] [CrossRef]
- Farfaletti, A.; Astorg, C.; Martini, G.; Manfredi, U.; Mueller, A.; Rey, M.; De Santi, G.; Krasenbrink, A.; Larsen, B.R. Effect of water/fuel emulsions and a cerium-based combustion improver additive on HD and LD diesel exhaust emissions. Environ. Sci. Technol. 2005, 39, 6792–6799. [Google Scholar] [CrossRef] [PubMed]
- Fayyazbakhsh, A.; Pirouzfar, V. Determining the optimum conditions for modified diesel fuel combustion considering its emission, properties and engine performance. Energy Convers. Manag. 2016, 113, 209–219. [Google Scholar] [CrossRef]
- Ghanbari, M.; Mozafari-Vanani, L.; Dehghani-Soufi, M.; Jahanbakhshi, A. Effect of alumina nanoparticles as additive with diesel-biodiesel blends on performance and emission characteristic of a six-cylinder diesel engine using response surface methodology (RSM). Energy Convers. Manag. X 2021, 11, 100091. [Google Scholar] [CrossRef]
- Gumus, S.; Ozcan, H.; Ozbey, M.; Topaloglu, B. Aluminum oxide and copper oxide nanodiesel fuel properties and usage in a compression ignition engine. Fuel 2016, 163, 80–87. [Google Scholar] [CrossRef]
- Heidari-Maleni, A.; Gundoshmian, T.M.; Karimi, B.; Jahanbakhshi, A.; Ghobadian, B. A novel fuel based on biocompatible nanoparticles and ethanol-biodiesel blends to improve diesel engines performance and reduce exhaust emissions. Fuel 2020, 276, 118079. [Google Scholar] [CrossRef]
- Tripathi, D.R.; Vachhani, K.H.; Bandhu, D.; Kumari, S.; Kumar, V.R.; Abhishek, K. Experimental investigation and optimization of abrasive waterjet machining parameters for GFRP composites using metaphor-less algorithms. Mater. Manuf. Process. 2021, 36, 803–813. [Google Scholar] [CrossRef]
- Shafi, M.B.; Daneshwar, F.; Jahani, N.; Mobini, K. Effect of ferro fluid on the performance and emission patterns of four-stroke diesel engine. Adv. Mech. Eng. 2011, 3, 529049. [Google Scholar] [CrossRef] [Green Version]
- Kumari, S.; Nakum, B.; Bandhu, D.; Abhishek, K. Multi-Attribute Group Decision Making (MAGDM) Using Fuzzy Linguistic Modeling Integrated with the VIKOR Method for Car Purchasing Model. Int. J. Decis. Support Syst. Technol. 2022, 14, 1–20. [Google Scholar] [CrossRef]
- Mausam, K.; Sharma, K.; Bharadwaj, G.; Singh, R.P. Multi-objective optimization design of die-sinking electric discharge machine (EDM) machining parameter for CNT-reinforced carbon fibre nanocomposite using grey relational analysis. J. Braz. Soc. Mech. Sci. Eng. 2019, 41, 348. [Google Scholar] [CrossRef]
- Amid, S.; Aghbashlo, M.; Peng, W.; Hajiahmad, A.; Najafi, B.; Ghaziaskar, H.S.; Rastegari, H.; Mohammadi, P.; Hosseinzadeh-Bandbafha, H.; Lam, S.S.; et al. Exergetic performance evaluation of a diesel engine powered by diesel/biodiesel mixtures containing oxygenated additive ethylene glycol diacetate. Sci. Total Environ. 2021, 792, 148435. [Google Scholar] [CrossRef] [PubMed]
- Selvaganapthy, A.; Sundar, A.; Kumaragurubaran, B.; Gopal, P. An experimental investigation to study the effects of various nanoparticles with diesel on DI diesel engine. ARPN J. Sci. Technol. 2013, 3, 5–111. [Google Scholar]
- Shaafi, T.; Velraj, R. Influence of alumina nanoparticle, ethanol and isopropanol blend as additive with diesel-soyabean biodiesl blend fuel: Combustion, engine performance and emission. Renew. Energy 2013, 80, 655–663. [Google Scholar] [CrossRef]
- Gan, Y.; Qiao, L. Combustion Characteristics of Fuel Droplets with Addition of Nano and Micron-Sized Aluminum Particles. Combust. Flame 2013, 158, 354–368. [Google Scholar] [CrossRef]
- Nwafor, O.M.I. The effect of elevated fuel inlet temperature on performance of diesel engine running on neat vegetable oil at constant speed conditions. Renew. Energy 2003, 28, 171–181. [Google Scholar] [CrossRef]
- de Almeid, S.C.A.; Belchior, C.R.; Nascimento, M.V.G.; Vieira, L.d.S.R.; Fleuryb, G. Performance of a diesel generator fueled with palm oil. Fuel 2002, 81, 2097–2102. [Google Scholar] [CrossRef]
- Pradipkumar, B.; Pohit, S.; Kumar, R. Biodiesel from Jatropha: Can India meet the 20% blending target. Energy Policy 2010, 38, 1477–1484. [Google Scholar]
- Ganesh, D.; Shankar, G. Effect of nanofluid additive on emission reduction in a biodiesel fueled CI engine. Electr. Control Eng. 2011, 9, 3453–3459. [Google Scholar]
Publisher’s Note: MDPI stays neutral with regard to jurisdictional claims in published maps and institutional affiliations. |
© 2022 by the authors. Licensee MDPI, Basel, Switzerland. This article is an open access article distributed under the terms and conditions of the Creative Commons Attribution (CC BY) license (https://creativecommons.org/licenses/by/4.0/).














