Fertilization Practices: Optimization in Greenhouse Vegetable Cultivation with Different Planting Years
Abstract
:1. Introduction
2. Materials and Methods
2.1. Site Description
2.2. Experimental Design
2.3. Data Collection and Sample Analysis
2.4. Calculations and Statistical Analysis
3. Results
3.1. Properties of Soils with Different Planting Years
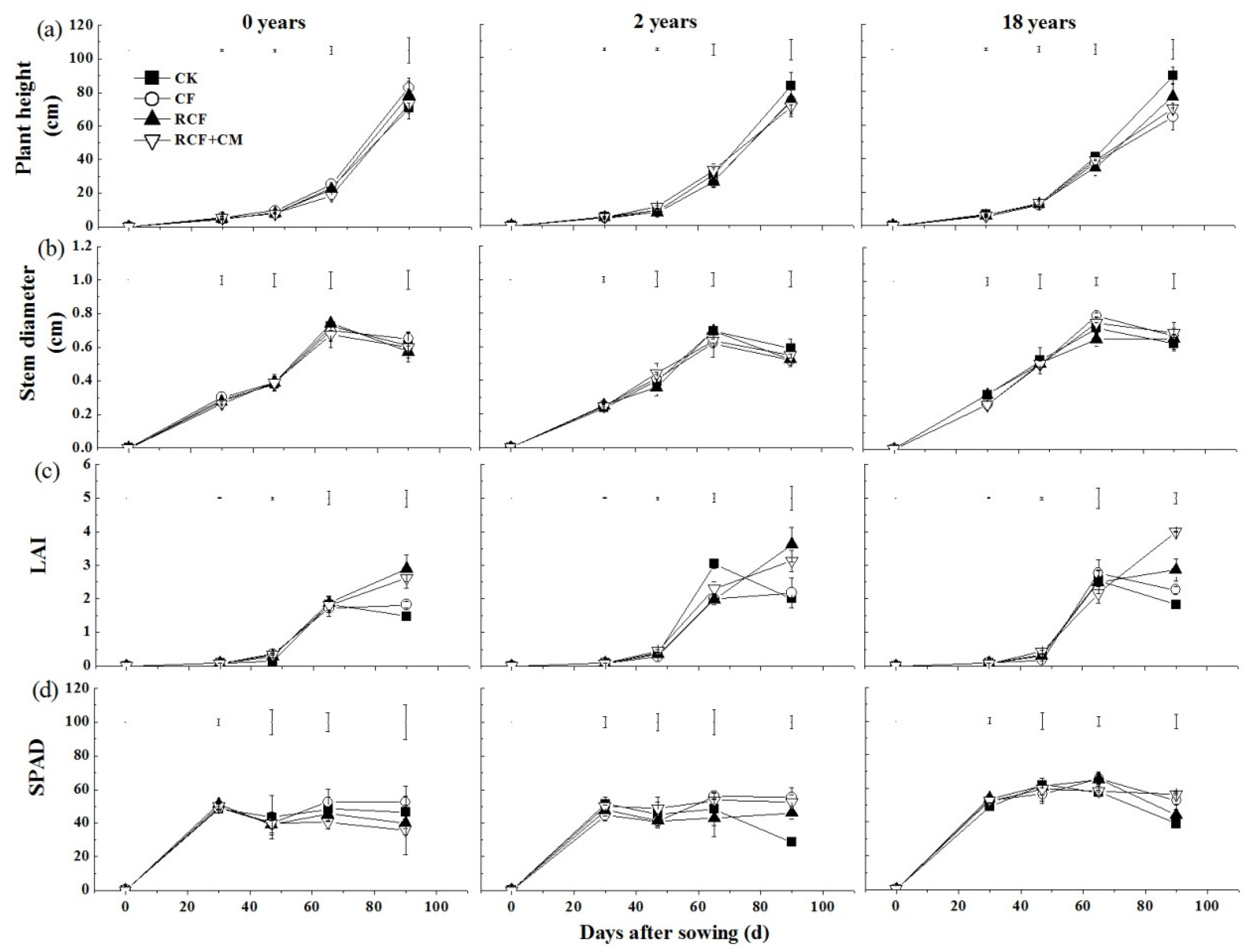
3.2. Response of Plant Growth to Fertilizer Practices in Three Soils
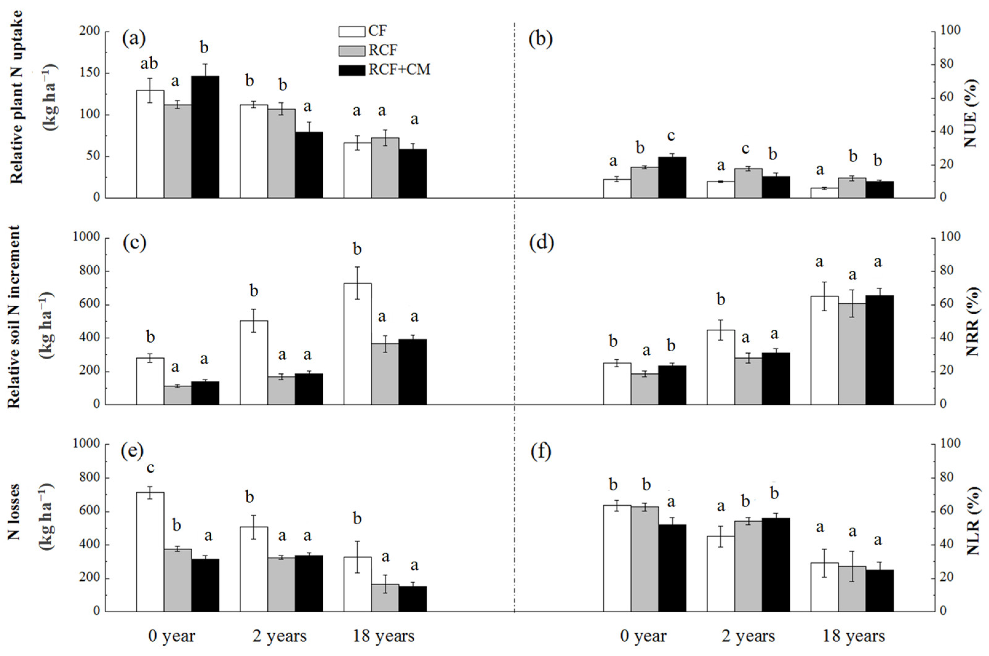
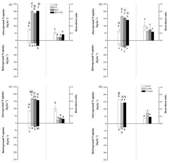
3.3. Response of Plant N Uptake to Fertilizer Practices in Three Soils
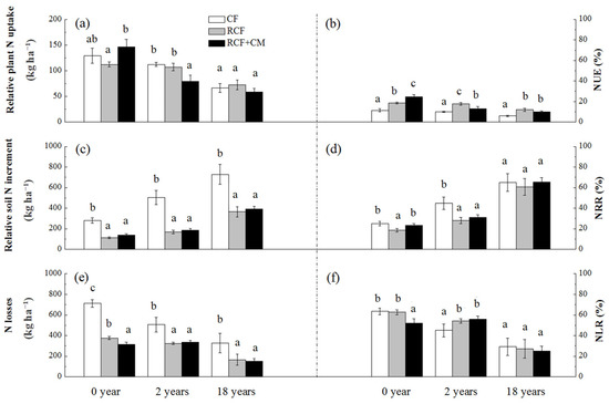
3.4. N Use Efficiency, Residue, and Losses Rate of Different Fertilizer Practices in Three Soils
4. Discussion
4.1. Cucumber Plant Growth
4.2. N Uptake, Residue, and Losses
5. Conclusions
Author Contributions
Funding
Institutional Review Board Statement
Data Availability Statement
Acknowledgments
Conflicts of Interest
References
- Hu, W.; Zhang, Y.; Huang, B.; Teng, Y. Soil environmental quality in greenhouse vegetable production systems in eastern China: Current status and management strategies. Chemosphere 2017, 170, 183–195. [Google Scholar] [CrossRef] [PubMed]
- Zhao, H.; Zhai, X.; Guo, L.; Yang, Y.; Li, J.; Ren, C.; Wang, K.; Liu, X.; Zhan, R.; Wang, K. Comparing protected cucumber and field cucumber production systems in China based on emergy analysis. J. Clean. Prod. 2019, 236, 11723648. [Google Scholar] [CrossRef]
- Miao, Y.; Stewart, B.A.; Zhang, F. Long-term experiments for sustainable nutrient management in China. A review. Agron. Sustain. Dev. 2011, 31, 397–414. [Google Scholar] [CrossRef] [Green Version]
- Qasim, W.; Xia, L.; Lin, S.; Wan, L.; Zhao, Y.; Butterbach-Bahl, K. Global greenhouse vegetable production systems are hotspots of soil N2O emissions and nitrogen leaching: A meta-analysis. Environ. Pollut. 2021, 272, 116372. [Google Scholar] [CrossRef]
- Zhao, H.; Li, X.; Jiang, Y. Response of Nitrogen Losses to Excessive Nitrogen Fertilizer Application in Intensive Greenhouse Vegetable Production. Sustainability 2019, 11, 1513. [Google Scholar] [CrossRef] [Green Version]
- Wang, X.; Zou, C.; Gao, X.; Guan, X.; Zhang, Y.; Shi, X.; Chen, X. Nitrate leaching from open-field and greenhouse vegetable systems in China: A meta-analysis. Environ. Sci. Pollut. Res. 2018, 25, 31007–31016. [Google Scholar] [CrossRef]
- Liang, B.; Kang, L.; Ren, T.; Junliang, L.; Chen, Q.; Wang, J. The impact of exogenous N supply on soluble organic nitrogen dynamics and nitrogen balance in a greenhouse vegetable system. J. Environ. Manag. 2015, 154, 351–357. [Google Scholar] [CrossRef] [PubMed]
- Chen, X.; Ma, C.; Zhou, H.; Liu, Y.; Huang, X.; Wang, M.; Cai, Y.; Su, D.; Muneer, M.A.; Guo, M.; et al. Identifying the main crops and key factors determining the carbon footprint of crop production in China, 2001–2018. Resour. Conserv. Recycl. 2021, 172, 105661. [Google Scholar] [CrossRef]
- Chen, X.; Yu, W.; Cai, Y.; Zhang, S.; Muneer, M.A.; Zhu, Q.; Xu, D.; Ma, C.; Yan, X.; Li, Y.; et al. How to identify and adopt cleaner strategies to improve the continuous acidification in orchard soils? J. Clean. Prod. 2022, 330, 129826. [Google Scholar] [CrossRef]
- Guo, J.H.; Liu, X.J.; Zhang, Y.; Shen, J.L.; Han, W.X.; Zhang, W.F.; Christie, P.; Goulding, K.W.T.; Vitousek, P.M.; Zhang, F.S. Significant Acidification in Major Chinese Croplands. Science 2010, 327, 1008–1010. [Google Scholar] [CrossRef] [Green Version]
- Li, J.; Wan, X.; Liu, X.; Chen, Y.; Slaughter, L.C.; Weindorf, D.C.; Dong, Y. Changes in soil physical and chemical characteristics in intensively cultivated greenhouse vegetable fields in North China. Soil Tillage Res. 2019, 195, 104366. [Google Scholar] [CrossRef]
- Zikeli, S.; Deil, L.; Möller, K. The challenge of imbalanced nutrient flows in organic farming systems: A study of organic greenhouses in Southern Germany. Agric. Ecosyst. Environ. 2017, 244, 1–13. [Google Scholar] [CrossRef]
- Zhou, J.; Jiang, X.; Wei, D.; Zhao, B.; Ma, M.; Chen, S.; Cao, F.; Shen, D.; Guan, D.; Li, J. Consistent effects of nitrogen fertilization on soil bacterial communities in black soils for two crop seasons in China. Sci. Rep. 2017, 7, 3267. [Google Scholar] [CrossRef] [PubMed] [Green Version]
- Potter, D.A.; Bridges, B.L.; Gordon, F.C. Effect of N Fertilization on Earthworm and Microarthropod Populations in Kentucky Bluegrass Turf 1. Agron. J. 1985, 77, 367–372. [Google Scholar] [CrossRef]
- Yang, L.; Huang, B.; Mao, M.; Yao, L.; Niedermann, S.; Hu, W.; Chen, Y. Sustainability assessment of greenhouse vegetable farming practices from environmental, economic, and socio-institutional perspectives in China. Environ. Sci. Pollut. Res. 2016, 23, 17287–17297. [Google Scholar] [CrossRef]
- Fan, Y.; Zhang, Y.; Hess, F.; Huang, B.; Chen, Z. Nutrient balance and soil changes in plastic greenhouse vegetable production. Nutr. Cycl. Agroecosyst. 2020, 117, 77–92. [Google Scholar] [CrossRef]
- Cui, Z.; Wang, G.; Yue, S.; Wu, L.; Zhang, W.; Zhang, F.; Chen, X. Closing the N-Use Efficiency Gap to Achieve Food and Environmental Security. Environ. Sci. Technol. 2014, 48, 5780–5787. [Google Scholar] [CrossRef]
- Zhao, Y.; Lu, C.; Shi, Y.; Huang, B.; Chen, X. Soil fertility and fertilization practices affect accumulation and leaching risk of reactive N in greenhouse vegetable soils. Can. J. Soil Sci. 2016, 96, 281–288. [Google Scholar] [CrossRef] [Green Version]
- Chen, X.; Cui, Z.; Fan, M.; Vitousek, P.; Zhao, M.; Ma, W.; Wang, Z.; Zhang, W.; Yan, X.; Yang, J.; et al. Producing more grain with lower environmental costs. Nature 2014, 514, 486–489. [Google Scholar] [CrossRef]
- Ullah, I.; Mao, H.; Rasool, G.; Gao, H.; Javed, Q.; Sarwar, A.; Khan, M.I. Effect of Deficit Irrigation and Reduced N Fertilization on Plant Growth, Root Morphology, and Water Use Efficiency of Tomato Grown in Soilless Culture. Agronomy 2021, 11, 228. [Google Scholar] [CrossRef]
- Min, J.; Shi, W.; Xing, G.; Zhang, H.; Zhu, Z. Effects of a catch crop and reduced nitrogen fertilization on nitrogen leaching in greenhouse vegetable production systems. Nutr. Cycl. Agroecosyst. 2011, 91, 31–39. [Google Scholar] [CrossRef]
- Chen, Z.; Zhang, H.; Tu, X.; Sun, X.; Wang, J.; Cheng, Y.; Zhang, J.; Cai, Z.; Chang, S.X. Characteristics of organic material inputs affect soil microbial NO 3–immobilization rates calculated using different methods. Eur. J. Soil Sci. 2020, 72, 480–486. [Google Scholar] [CrossRef]
- Yansheng, C.; Fengliang, Z.; Zhongyi, Z.; Tongbin, Z.; Huayun, X. Biotic and abiotic nitrogen immobilization in soil incorporated with crop residue. Soil Tillage Res. 2020, 202, 104664. [Google Scholar] [CrossRef]
- Ma, Q.; Zheng, J.; Watanabe, T.; Funakawa, S. Microbial immobilization of ammonium and nitrate fertilizers induced by starch and cellulose in an agricultural soil. Soil Sci. Plant Nutr. 2020, 67, 89–96. [Google Scholar] [CrossRef]
- Burger, M.; Jackson, L.E. Microbial immobilization of ammonium and nitrate in relation to ammonification and nitrification rates in organic and conventional cropping systems. Soil Biol. Biochem. 2003, 35, 29–36. [Google Scholar] [CrossRef]
- Ren, T.; Wang, J.; Chen, Q. Is the heavy supply of manure adequate to stabilize soil organic matter in greenhouse vegetable planting system? Acta Hortic. 2014, 1018, 167–174. [Google Scholar] [CrossRef]
- Zhu, J.; Li, X.; Christie, P.; Li, J. Environmental implications of low nitrogen use efficiency in excessively fertilized hot pepper (Capsicum frutescens L.) cropping systems. Agric. Ecosyst. Environ. 2005, 111, 70–80. [Google Scholar] [CrossRef] [Green Version]
- Liu, X.; Zhang, Y.; Ren, X.; Chen, B.; Shen, C.; Wang, F. Long-term greenhouse vegetable cultivation alters the community structures of soil ammonia oxidizers. J. Soils Sediments 2018, 19, 883–902. [Google Scholar] [CrossRef]
- Ma, Q.; Wen, Y.; Wang, D.; Sun, X.; Hill, P.W.; Macdonald, A.; Chadwick, D.R.; Wu, L.; Jones, D.L. Farmyard manure applications stimulate soil carbon and nitrogen cycling by boosting microbial biomass rather than changing its community composition. Soil Biol. Biochem. 2020, 144, 107760. [Google Scholar] [CrossRef]
- Pan, F.-F.; Yu, W.-T.; Ma, Q.; Zhou, H.; Jiang, C.-M.; Xu, Y.-G.; Ren, J.-F. Influence of 15N-labeled ammonium sulfate and straw on nitrogen retention and supply in different fertility soils. Biol. Fertil. Soils 2017, 53, 303–313. [Google Scholar] [CrossRef]
- Liang, B.; Yang, X.; Murphy, D.; He, X.; Zhou, J. Fate of 15 N-labeled fertilizer in soils under dryland agriculture after 19 years of different fertilizations. Biol. Fertil. Soils 2013, 49, 977–986. [Google Scholar] [CrossRef]
- Liang, B.; Zhao, W.; Yang, X.; Zhou, J. Fate of nitrogen-15 as influenced by soil and nutrient management history in a 19-year wheat–maize experiment. Field Crop. Res. 2013, 144, 126–134. [Google Scholar] [CrossRef]
- Van, E.; Laura, L.; O’Reilly, K.A. Yield, nitrogen dynamics, and fertilizer use efficiency in machine-harvested cucumber. HortScience 2009, 44, 1712–1718. [Google Scholar] [CrossRef] [Green Version]
- Joris, H.A.W.; Vitti, A.C.; Ferraz-Almeida, R.; Otto, R.; Cantarella, H. Long-term N fertilization reduces uptake of N from fertilizer and increases the uptake of N from soil. Sci. Rep. 2020, 10, 18834. [Google Scholar] [CrossRef]
- Bao, S.D. Soil Agrochemical Analysis; China Agriculture Press: Beijing, China, 2008. [Google Scholar]
- Hanson, W.C. The photometric determination of phosphorus in fertilizers using the phosphovanado-molybdate complex. J. Sci. Food Agr. 1950, 1, 172–173. [Google Scholar] [CrossRef]
- Rhoades, J.D. Soluble salts. In Methods of Soil Analysis. Part 2. Chemical and Microbiological Properties; Page, A.L., Ed.; American Society of Agronomy, Soil Science Society of America: Madison, WI, USA, 1982; pp. 167–179. [Google Scholar]
- Lu, R.K. Soil Agricultural Chemical Analysis; China Agriculture Press: Beijing, China, 2000. [Google Scholar]
- Pei, X.B.; Li, S.C.; Zhang, F.M.; Cai, R. Study on leaf area calculation and its correlation with plant height of cucumber in greenhouse. Chin. Agric. Sci. Bull. 2005, 21, 80–82. (In Chinese) [Google Scholar] [CrossRef]
- Guo, H.Y.; Yang, X.G.; Huang, B.; Zhang, M.C.; Wang, N.Z. Establishment of growth status assessment system for crops in estern Gansu. Agr. Res. Arid Areas 2005, 23, 16–20+25. (In Chinese) [Google Scholar] [CrossRef]
- Yu, H.-Y.; Li, T.-X.; Zhang, X.-Z. Nutrient Budget and Soil Nutrient Status in Greenhouse System. Agric. Sci. China 2010, 9, 871–879. [Google Scholar] [CrossRef]
- Sallam, B.N.; Lu, T.; Yu, H.; Li, Q.; Sarfraz, Z.; Iqbal, M.S.; Khan, S.; Wang, H.; Liu, P.; Jiang, W. Productivity Enhancement of Cucumber (Cucumis sativus L.) through Optimized Use of Poultry Manure and Mineral Fertilizers under Greenhouse Cultivation. Horticulturae 2021, 7, 256. [Google Scholar] [CrossRef]
- Wang, S.; Chen, Z.; Man, J.; Zhou, J. Effect of Large Inputs of Manure and Fertilizer on Nitrogen Mineralization in the Newly Built Solar Greenhouse Soils. HortScience 2019, 54, 1600–1604. [Google Scholar] [CrossRef]
- Zhao, M.; Shi, Y.; Chen, X.; Ma, J. Soil Nitrogen Accumulation in Different Ages of Vegetable Greenhouses. Procedia Environ. Sci. 2011, 8, 21–25. [Google Scholar] [CrossRef] [Green Version]
- Huang, Y.; Li, T.X.; Zhang, X.Z.; Ji, L.; Wu, Y.P. Characteristics of nitrogen transportation and fractions in different organs of barley genotype with high nitrogen utilization efficiency. Sci. Agric. Sin. 2015, 48, 1151–1161. (In Chinese) [Google Scholar] [CrossRef]
- Ahmadi, M.; Souri, M.K. Growth and mineral content of coriander (Coriandrum sativum L.) plants under mild salinity with different salts. Acta Physiol. Plant. 2018, 40, 194. [Google Scholar] [CrossRef]
- Lee, J.-J.; Park, R.-D.; Kim, Y.-W.; Shim, J.-H.; Chae, D.-H.; Rim, Y.-S.; Sohn, B.-K.; Kim, T.-H.; Kim, K.-Y. Effect of food waste compost on microbial population, soil enzyme activity and lettuce growth. Bioresour. Technol. 2004, 93, 21–28. [Google Scholar] [CrossRef] [PubMed]
- Li, P.F.; Hou, Z.A. Effect of NaCl stress on growth and mineral element absorption of clove (Medicago Sativa L.) seedling during changes of soil moisture. Chin. J. Soil Sci. 2001, 33, 100–108. (In Chinese) [Google Scholar] [CrossRef]
- Zhang, X.; Guo, J.; Vogt, R.D.; Mulder, J.; Wang, Y.; Qian, C.; Wang, J.; Zhang, X. Soil acidification as an additional driver to organic carbon accumulation in major Chinese croplands. Geoderma 2020, 366, 114234. [Google Scholar] [CrossRef]
- Kuzyakov, Y.; Xu, X. Competition between roots and microorganisms for nitrogen: Mechanisms and ecological relevance. New Phytol. 2013, 198, 656–669. [Google Scholar] [CrossRef]
- Zhao, Y.; Luo, J.-H.; Chen, X.-Q.; Zhang, X.-J.; Zhang, W.-L. Greenhouse tomato–cucumber yield and soil N leaching as affected by reducing N rate and adding manure: A case study in the Yellow River Irrigation Region China. Nutr. Cycl. Agroecosystems 2012, 94, 221–235. [Google Scholar] [CrossRef]
- Xu, Y.; Ding, F.; Gao, X.; Wang, Y.; Li, M.; Wang, J. Mineralization of plant residues and native soil carbon as affected by soil fertility and residue type. J. Soils Sediments 2018, 19, 1407–1415. [Google Scholar] [CrossRef]
- Souri, M.K.; Sooraki, F.Y.; Moghadamyar, M. Growth and quality of cucumber, tomato, and green bean under foliar and soil applications of an aminochelate fertilizer. Hortic. Environ. Biotechnol. 2017, 58, 530–536. [Google Scholar] [CrossRef]
- Dong, J.; Li, X.; Duan, Z.-Q. Biomass allocation and organs growth of cucumber (Cucumis sativus L.) under elevated CO2 and different N supply. Arch. Agron. Soil Sci. 2016, 62, 277–288. [Google Scholar] [CrossRef]
- Nerson, H.; Edelstein, M.; Ben Hur, M. Mineral nutrition of winter-grown cucumbers under irrigation with effluent or fresh water. Acta Hortic. 2009, 807, 347–352. [Google Scholar] [CrossRef]
- Pan, M.; Yau, P.C.; Lee, K.C.; Man, H.Y. Effects of Different Fertilizers on the Germination of Tomato and Cucumber Seeds. Water Air Soil Pollut. 2022, 233, 25. [Google Scholar] [CrossRef]
- Solaiman, Z.; Shafi, M.; Beamont, E.; Anawar, H. Poultry Litter Biochar Increases Mycorrhizal Colonisation, Soil Fertility and Cucumber Yield in a Fertigation System on Sandy Soil. Agriculture 2020, 10, 480. [Google Scholar] [CrossRef]
- Xiao, F.; Yang, Z.; Huang, H.; Yang, F.; Zhu, L.; Han, D. Nitrogen Fertilization in Soil Affects Physiological Characteristics and Quality of Green Tea Leaves. HortScience 2018, 53, 715–722. [Google Scholar] [CrossRef] [Green Version]
- Zhang, Y.; Li, Q.; Shen, M.; Kang, Y.; Hu, J. Reducing chemical fertilizer use mitigates obstacles in intensive monocropping of cucumber: A probable role of Pseudomonads in the process. Acta Agric. Scand. Sect. B—Soil Plant Sci. 2017, 67, 308–317. [Google Scholar] [CrossRef]
- Marschner, P.; Crowley, D.; Rengel, Z. Rhizosphere interactions between microorganisms and plants govern iron and phosphorus acquisition along the root axis–model and research methods. Soil Biol. Biochem. 2011, 43, 883–894. [Google Scholar] [CrossRef]
- Yuan, W.-L.; Yuan, S.-Y.; Deng, X.-H.; Gan, C.-X.; Cui, L.; Wang, Q.-F. Effect of N Management on Root Yield and N Uptake of Radishes in Southern China. HortScience 2015, 50, 750–753. [Google Scholar] [CrossRef] [Green Version]
- Malhi, S.; Nyborg, M.; Solberg, E.; Dyck, M.; Puurveen, D. Improving crop yield and N uptake with long-term straw retention in two contrasting soil types. Field Crop. Res. 2011, 124, 378–391. [Google Scholar] [CrossRef]
- Iandolino, A.B.; Williams, L.E. Recovery of 15N Labeled Fertilizer by Vitis vinifera L. cv. Cabernet Sauvignon: Effects of N Fertilizer Rates and Applied Water Amounts. Am. J. Enol. Vitic. 2014, 65, 189–196. [Google Scholar] [CrossRef]
- Habtegebrial, K.; Singh, B.; Haile, M. Impact of tillage and nitrogen fertilization on yield, nitrogen use efficiency of tef (Eragrostis tef (Zucc.) Trotter) and soil properties. Soil Tillage Res. 2007, 94, 55–63. [Google Scholar] [CrossRef]
- Blagodatskaya, E.; Blagodatsky, S.; Anderson, T.-H.; Kuzyakov, Y. Priming effects in Chernozem induced by glucose and N in relation to microbial growth strategies. Appl. Soil Ecol. 2007, 37, 95–105. [Google Scholar] [CrossRef]
- Guo, R.; Miao, W.; Fan, C.; Li, X.; Shi, X.; Li, F.; Qin, W. Exploring optimal nitrogen management for high yielding maize in arid areas via 15N-labeled technique. Geoderma 2021, 382, 114711. [Google Scholar] [CrossRef]
- Said-Pullicino, D.; Cucu, M.A.; Sodano, M.; Birk, J.J.; Glaser, B.; Celi, L. Nitrogen immobilization in paddy soils as affected by redox conditions and rice straw incorporation. Geoderma 2014, 228, 44–53. [Google Scholar] [CrossRef] [Green Version]
- Pan, F.; Yu, W.; Ma, Q.; Zhou, H.; Jiang, C.; Xu, Y. Do organic amendments improve the synchronism between soil N supply and wheat demand? Appl. Soil Ecol. 2018, 125, 184–191. [Google Scholar] [CrossRef]
- Tran, Q.T.; Maeda, M.; Oshita, K.; Takaoka, M. Phosphorus release from cattle manure ash as soil amendment in laboratory-scale tests. Soil Sci. Plant Nutr. 2017, 63, 369–376. [Google Scholar] [CrossRef]
- Yu, W.T.; Pan, F.F.; Ma, Q.; Wang, J.; Zhou, H.; Jiang, C.M.; Xu, Y.G. Alterations of pathways in fertilizer N conservation and supply in soils treated with dicyandiamide, hydroquinone and glucose. Appl. Soil Ecol. 2016, 108, 108–117. [Google Scholar] [CrossRef]
- Chen, Y.S.; Camps-Arbestain, M.; Shen, Q.H.; Singh, B.; Cayuela, M.L. The long-term role of organic amendments in building soil nutrient fertility: A meta-analysis and review. Nutr. Cycl. Agroecosys. 2018, 111, 103–125. [Google Scholar] [CrossRef]
- Han, X.; Xu, C.; Dungait, J.A.J.; Bol, R.; Wang, X.J.; Wu, W.L.; Meng, F.Q. Straw incorporation increases crop yield and soil organic carbon sequestration but varies under different natural conditions and farming practices in China: A system analysis. Biogeosciences 2018, 15, 1933–1946. [Google Scholar] [CrossRef] [Green Version]
- Rahman, M.T.; Zhu, Q.H.; Zhang, Z.B.; Zhou, H.; Peng, X. The roles of organic amendments and microbial community in the improvement of soil structure of a Vertisol. Appl. Soil Ecol. 2017, 111, 84–93. [Google Scholar] [CrossRef]






| Treatment | Fertilization | Chicken Manure Application Rate (kg ha−1) | Chemical Fertilizer Application Rate (kg ha−1) | Total Nutrient Input (kg ha−1) | ||||
|---|---|---|---|---|---|---|---|---|
| Urea | Sodium Hydrogen Phosphate | Potassium Chloride | N | P2O5 | K2O | |||
| CK | Control | 0.00 | 0.00 | 600 | 832 | 0.00 | 300 | 525 |
| CF | Chemical fertilizer | 0.00 | 2439 | 1908 | 18352 | 1122 | 954 | 1158 |
| RCF | Reduced chemical fertilizer | 0.00 | 13045 | 600 | 832 | 600 | 300 | 525 |
| RCF+CM | Reduced chemical fertilizer + chicken manure | 5682 | 978 | 0.00 | 741 | 600 | 301 | 525 |
| Cultivation Years | Organic Matter (g kg−1) | Total N (g kg−1) | Total P (g kg−1) | Total K (g kg−1) | pH | EC (mS/m) | Water Holding Capacity (%) |
|---|---|---|---|---|---|---|---|
| 0 years | 12.8 ± 0.40 a | 1.20 ± 0.10 a | 4.34 ± 0.15 a | 1.11 ± 0.35 a | 6.40 ± 0.26 a | 24.7 ± 4.16 a | 46.4 ± 3.42 b |
| 2 years | 15.2 ± 1.74 b | 1.27 ± 0.23 a | 4.06 ± 0.23 a | 1.15 ± 0.21 a | 6.18 ± 0.10 a | 107 ± 2.25 c | 37.5 ± 4.51 a |
| 18 years | 13.3 ± 0.61 ab | 1.73 ± 0.25 b | 6.74 ± 1.58 b | 1.86 ± 0.45 b | 6.33 ± 0.17 a | 89.0 ± 6.22 b | 47.4 ± 4.01 b |
| Cultivation Years | Fertilization | Growth Potential of Cucumber after Different Days of Sowing | |||
|---|---|---|---|---|---|
| 30 Days | 47 Days | 65 Days | 90 Days | ||
| 0 years | CK | 0.41 ± 0.01 a | 1.11 ± 0.05 a | 42.9 ± 8.09 a | 104 ± 5.01 a |
| CF | 0.48 ± 0.05 a | 3.36 ± 0.66 c | 43.1 ± 1.50 a | 151 ± 14.4 b | |
| RCF | 0.45 ± 0.03 a | 2.41 ± 0.50 b | 42.4 ± 5.43 a | 225 ± 0.99 d | |
| RCF+CM | 0.47 ± 0.09 a | 2.63 ± 0.23 bc | 33.4 ± 4.92 a | 192 ± 20.0 c | |
| Average | 0.46A | 2.38A | 40.4A | 168.1A | |
| CV% | 9.30 | 39.4 | 11.6 | 31.0 | |
| 2 years | CK | 0.47 ± 0.04 b | 3.28 ± 0.32 b | 85.23 ± 3.83 c | 163.47 ± 6.70 ab |
| CF | 0.40 ± 0.04 a | 2.35 ± 0.30 a | 52.57 ± 3.33 a | 147.50 ± 24.4 a | |
| RCF | 0.46 ± 0.01 ab | 2.94 ± 0.20 ab | 52.14 ± 11.1 a | 270.81 ± 47.2 c | |
| RCF+CM | 0.49 ± 0.03 b | 5.13 ± 0.68 c | 72.45 ± 3.30 b | 222.94 ± 36.1 bc | |
| Average | 0.46A | 3.42B | 65.6B | 201.2B | |
| CV% | 7.19 | 35.0 | 24.6 | 28.2 | |
| 18 years | CK | 0.59 ± 0.07 a | 4.20 ± 0.88 b | 105 ± 14.61 a | 165.94 ± 16.9 a |
| CF | 0.51 ± 0.08 a | 2.18 ± 0.30 a | 104 ± 17.05 a | 158.94 ± 12.4 a | |
| RCF | 0.54 ± 0.09 a | 4.08 ± 0.86 b | 85.6 ± 10.83 a | 219.86 ± 18.1 b | |
| RCF+CM | 0.54 ± 0.09 a | 5.48 ± 0.05 c | 84.2 ± 13.51 a | 278.88 ± 11.7 c | |
| Average | 0.55B | 3.99C | 94.6C | 206B | |
| CV% | 6.38 | 34.1 | 11.9 | 27.1 | |
| Cultivation Years | Fertilization | Cucumber Biomass Yield (kg ha−1, DW) | |||
|---|---|---|---|---|---|
| Belowground | Aboveground | Root-Shoot Ratio | Total | ||
| 0 years | CK | 165 ± 29.4 a | 1209 ± 133 a | 0.14 ± 0.01 a | 1374 ± 162 a |
| CF | 156 ± 25.5 a | 1541 ± 50.2 b | 0.10 ± 0.02 a | 1697 ± 54.0 b | |
| RCF | 327 ± 93.1 b | 1532 ± 39.1 b | 0.21 ± 0.06 b | 1858 ± 70.8 b | |
| RCF+CM | 237 ± 48.0 ab | 1480 ± 10.1 b | 0.16 ± 0.03 ab | 1718 ± 50.5 b | |
| Average | 221B | 1440B | 0.15A | 1662B | |
| CV% | 38.9 | 10.8 | 35.1 | 12.2 | |
| 2 years | CK | 295 ± 70.5 a | 1678 ± 70.0 b | 0.18 ± 0.05 a | 1972 ± 110 b |
| CF | 427 ± 72.3 b | 1423 ± 48.2 a | 0.30 ± 0.04 b | 1850 ± 120 ab | |
| RCF | 403 ± 30.9 b | 1415 ± 76.8 a | 0.28 ± 0.01 b | 1818 ± 104 ab | |
| RCF+CM | 277 ± 65.6 a | 1444 ± 77.8 a | 0.19 ± 0.04 a | 1721 ± 137 a | |
| Average | 350C | 1490B | 0.24B | 1840C | |
| CV% | 25.0 | 8.60 | 27.4 | 7.50 | |
| 18 years | CK | 165 ± 2.19 a | 1218 ± 69.2 a | 0.14 ± 0.01 a | 1383 ± 67.0 a |
| CF | 120 ± 22.9 a | 1210 ± 87.8 a | 0.10 ± 0.02 a | 1330 ± 92.4 a | |
| RCF | 180 ± 28.8 a | 1242 ± 38.9 a | 0.14 ± 0.02 a | 1422 ± 67.6 a | |
| RCF+CM | 170 ± 54.8 a | 1191 ± 59.6 a | 0.14 ± 0.04 a | 1361 ± 113 a | |
| Average | 159A | 1215A | 0.13A | 1374A | |
| CV% | 23.4 | 4.90 | 21.5 | 5.97 | |
Publisher’s Note: MDPI stays neutral with regard to jurisdictional claims in published maps and institutional affiliations. |
© 2022 by the authors. Licensee MDPI, Basel, Switzerland. This article is an open access article distributed under the terms and conditions of the Creative Commons Attribution (CC BY) license (https://creativecommons.org/licenses/by/4.0/).
Share and Cite
Pan, F.; Pan, S.; Tang, J.; Yuan, J.; Zhang, H.; Chen, B. Fertilization Practices: Optimization in Greenhouse Vegetable Cultivation with Different Planting Years. Sustainability 2022, 14, 7543. https://doi.org/10.3390/su14137543
Pan F, Pan S, Tang J, Yuan J, Zhang H, Chen B. Fertilization Practices: Optimization in Greenhouse Vegetable Cultivation with Different Planting Years. Sustainability. 2022; 14(13):7543. https://doi.org/10.3390/su14137543
Chicago/Turabian StylePan, Feifei, Sha Pan, Jiao Tang, Jingping Yuan, Huaixia Zhang, and Bihua Chen. 2022. "Fertilization Practices: Optimization in Greenhouse Vegetable Cultivation with Different Planting Years" Sustainability 14, no. 13: 7543. https://doi.org/10.3390/su14137543
APA StylePan, F., Pan, S., Tang, J., Yuan, J., Zhang, H., & Chen, B. (2022). Fertilization Practices: Optimization in Greenhouse Vegetable Cultivation with Different Planting Years. Sustainability, 14(13), 7543. https://doi.org/10.3390/su14137543

