Using Regression Model to Develop Green Building Energy Simulation by BIM Tools
Abstract
:1. Introduction
1.1. Background
1.2. Problem Definition
1.3. Objectives
- To investigate and proficiently apply the modelling or data analysis tools required for the thesis, such as “Autodesk Kits” and R-Programming;
- To conduct energy simulations for seven fundamental prototype building models in addition to the case building;
- To develop standardized regression coefficients and conduct an analysis of the sensitivity of design parameters to energy optimization in buildings;
- To use a specific case study to validate the regression models;
- To outline energy optimization recommendations that can be provided to engineers throughout the initial stages of building design.
2. Literature Review
2.1. Introduction
2.2. Future Directions of BIM
2.3. Needs to Address Multiple Linear Regression
2.4. Application in Building Energy Simulation
2.5. Design Variables
2.6. Recent Research on the Relationship between Building Parameters and Building Energy Performance
2.7. Contributions Compared to Relation Research
3. Method
3.1. Introduction
3.2. Geometric Modelling in Revit
3.3. ABS Case Study
3.4. Design Variables
3.5. Regression Theory
3.6. t-Test
3.7. Monte Carlo Analysis
3.8. Suitability of Regression Equation
3.9. Sensitivity Test
4. Results
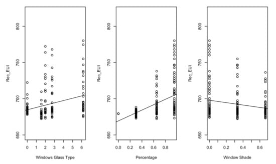
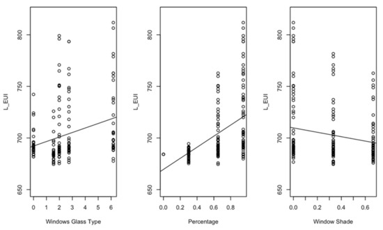
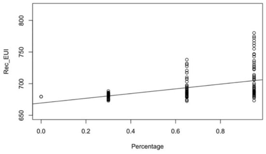
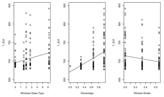
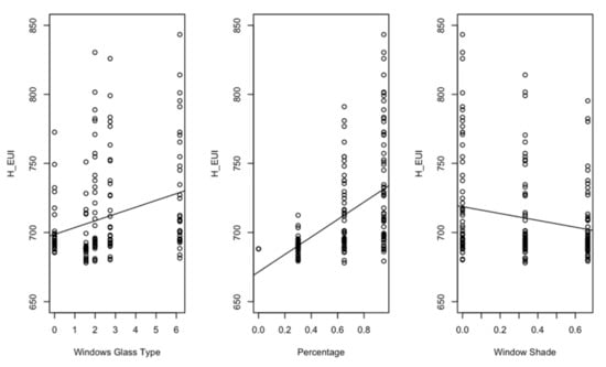
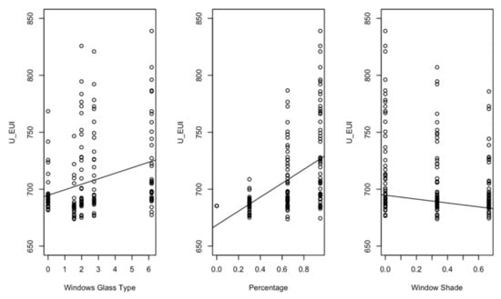
4.1. Correlation Analysis for Multi-Linear Regression—WWR
4.2. Parametric Analysis
5. Discussion
5.1. Multilinear Regression Models
5.2. Limitations and Future Improvement
5.3. Conclusions of Results
6. Recommendations
- Using the building envelope such as shading devices and window glazing appropriately;
- Considering the impacts of enhancing the thermal transmittance of exterior buildings to control the amount of sunlight and reduce energy demand;
- The appropriate use of natural energy sources to reduce HVAC and lighting system demand;
- Advance simulation of the building occupancy schedule to automate the intensity adjustment of ventilation and HVAC systems;
- Adopting compact and simple geometric designs, such as avoiding diamond shapes to reduce the energy demand.
- In addition, improvements suggested for such energy simulation studies include:
- Increasing the variety of building design parameters by considering the complexity of real-world building design;
- Increasing the number of runs of energy simulations to keep the experimental error within 5%;
- Considering more research regarding the simulation of energy alternatives;
- Conducting a more in-depth study of lifecycle energy performance.
7. Summary
Author Contributions
Funding
Institutional Review Board Statement
Informed Consent Statement
Data Availability Statement
Conflicts of Interest
Abbreviations
| BEP | Building energy performance |
| BIM | Building Information Modelling |
| GBS | Green Building Studio |
| SDG | Sustainable development goals |
| BEPS | Building Energy Performance Simulation |
| WWR | Window-To-Wall Ratio |
| HVAC | Heating, Ventilation and Air-Conditioning |
| GBA | Green building assessments |
| MLR | Multiple linear regression |
| IBE | Inter-building effect |
| CSV | Comma-separated values |
| ACH | Air Change per Hour |
| EUI | Energy Use Intensity |
| EER | Energy Efficiency Ratio |
| MSE | Mean Squared Error |
| RMSE | Root Variant |
| MAE | Mean Absolute Error |
| MAPE | Percentage Variant |
| LCA | Life Cycle Assessment |
| DL | Deep Learning |
| WSNs | Wireless Sensor Networks |
| DFA | Data Fusion Algorithm |
| BPNN | Backpropagation Neural Network |
Appendix A
| Material Thermal Properties | |
|---|---|
| Roofs | 4 in lightweight concrete, U = 1.2750 W/(m2·K) |
| Exterior Walls | 8 in lightweight concrete block, U = 0.8108 W/(m2·K) |
| Interior Walls | Frame partition with ¾ in gypsum board, U = 1.4733 W/(m2·K) |
| Ceilings | 8 in lightweight concrete ceiling, U = 1.3610 W/(m2·K) |
| Floors | Passive floor, no insulation, tile or vinyl, U = 2.9582 W/(m2·K) |
| Slabs | Un-insulated solid, U = 0.7059 W/(m2·K) |
| Doors | Metal, U = 3.7021 W/(m2·K) |
| Exterior Windows | Large, double-glazed windows (reflective coating)—industry, U = 2.9214 W/(m2·K), SHGC = 0.13 |
| Interior Windows | Large single-glazed windows, U = 3.6898 W/(m2·K), SHGC = 0.86 |
| Skylights | Large, double-glazed windows (reflective coating)—industry, U = 2.9214 W/(m2·K), SHGC = 0.13 |
References
- Asadi, S.; Amiri, S.S.; Mottahedi, M. On the development of multi-linear regression analysis to assess energy consumption in the early stages of building design. Energy Build. 2014, 85, 246–255. [Google Scholar] [CrossRef]
- World Green Building Council (WGBC). New Report: The Building and Construction Sector Can Reach Net Zero Carbon Emissions by 2050; World Green Building Council: Toronto, ON, Canada, 2019. [Google Scholar]
- Hygh, J.S.; DeCarolis, J.; Hill, D.B.; Ranjithan, S.R. Multivariate regression as an energy assessment tool in early building design. Build. Environ. 2012, 57, 165–175. [Google Scholar] [CrossRef]
- Tahmasebinia, F.; Jiang, R.; Sepasgozar, S.; Wei, J.; Ding, Y.; Ma, H. Implementation of BIM energy analysis and monte carlo simulation for estimating building energy performance based on regression approach: A case study. Buildings 2022, 12, 449. [Google Scholar] [CrossRef]
- Coakley, D.; Raftery, P.; Keane, M. A review of methods to match building energy simulation models to measured data. Renew. Sustain. Energy Rev. 2014, 37, 123–141. [Google Scholar] [CrossRef] [Green Version]
- Laine, T.; Karola, A.; Oy, O.G. Benefits of Building Information Models in Energy Analysis. In Proceedings of the Clima 2007 WellBeing Indoors, Helsinki, Finland, 10–14 June 2007. [Google Scholar]
- Lu, Y.; Wu, Z.; Chang, R.; Li, Y. Building Information Modeling (BIM) for green buildings: A critical review and future directions. Autom. Constr. 2017, 83, 134–148. [Google Scholar] [CrossRef]
- Lam, J.C.; Wan, K.K.; Liu, D.; Tsang, C. Multiple regression models for energy use in air-conditioned office buildings in different climates. Energy Convers. Manag. 2010, 51, 2692–2697. [Google Scholar] [CrossRef]
- Tian, W.; Choudhary, R. A probabilistic energy model for non-domestic building sectors applied to analysis of school buildings in greater London. Energy Build. 2012, 54, 1–11. [Google Scholar] [CrossRef] [Green Version]
- Pessenlehner, W.; Mahdavi, A. Building morphology, transparency, and energy performance. In Proceedings of the Eighth International IBPSA Conference, Eindhoven, The Netherlands, 11–14 August 2003. [Google Scholar]
- Ratti, C. The lineage of the line: Space syntax parameters from the analysis of urban DEMs. Environ. Plan. B Plan. Des. 2005, 32, 547–566. [Google Scholar] [CrossRef]
- AlAnzi, A.; Seo, D.; Krarti, M. Impact of building shape on thermal performance of office buildings in Kuwait. Energy Convers. Manag. 2009, 50, 822–828. [Google Scholar] [CrossRef]
- Lapisa, R.; Bozonnet, E.; Salagnac, P.; Abadie, M.O. Optimized design of low-rise commercial buildings under various climates—Energy performance and passive cooling strategies. Build. Environ. 2018, 132, 83–95. [Google Scholar] [CrossRef]
- Price, B.A.; Smith, T.F. Thermal response of composite building envelopes accounting for thermal radiation. Energy Convers. Manag. 1995, 36, 23–33. [Google Scholar] [CrossRef]
- Sadineni, S.B.; Madala, S.; Boehm, R.F. Passive building energy savings: A review of building envelope components. Renew. Sustain. Energy Rev. 2011, 15, 3617–3631. [Google Scholar] [CrossRef]
- Alothman, A.; Ashour, S.; Krishnaraj, L. Energy Performance Analysis of Building for Sustainable Design Using Bim: A Case Study on Institute Building. Int. J. Renew. Energy Res. 2021, 11, 556–565. [Google Scholar]
- Khahro, S.H.; Kumar, D.; Siddiqui, F.; Ali, T.; Raza, M.; Khoso, A. Optimizing Energy Use, Cost and Carbon Emission through Building Information Modelling and a Sustainability Approach: A Case-Study of a Hospital Building. Sustainability 2021, 13, 3675. [Google Scholar] [CrossRef]
- Yakut, M.Z.; Esen, S. Impact of energy efficient design parameters on energy consumption in hot-humid climate zones. Res. Eng. Struct. Mater. 2020, 6, 197–206. [Google Scholar] [CrossRef]
- Al Ka’bi, A.H. Comparison of energy simulation applications used in green building. Ann. Telecommun. 2020, 75, 271–290. [Google Scholar] [CrossRef]
- Singh, P.; Sadhu, A. Multicomponent energy assessment of buildings using building information modeling. Sustain. Cities Soc. 2019, 49, 101603. [Google Scholar] [CrossRef]
- Amani, N.; Soroush, A.A.R. Building energy management using building information modeling: Evaluation of building components and construction materials. J. Renew. Energy Environ. 2021, 18, 31–38. [Google Scholar]
- Najjar, M.K.; Tam, V.W.Y.; Di Gregorio, L.T.; Evangelista, A.C.J.; Hammad, A.W.A.; Haddad, A. Integrating Parametric Analysis with Building Information Modeling to Improve Energy Performance of Construction Projects. Energies 2019, 12, 1515. [Google Scholar] [CrossRef] [Green Version]
- Motalebi, M.; Rashidi, A.; Nasiri, M.M. Optimization and BIM-based lifecycle assessment integration for energy efficiency retrofit of buildings. J. Build. Eng. 2022, 49, 104022. [Google Scholar] [CrossRef]
- Changsaar, C.; Abidin, N.I.; Khoso, A.R.; Luenhui, L.; Yaoli, X.; Hunchuen, G. Optimising energy performance of an Eco-Home using Building Information Modelling (BIM). Innov. Infrastruct. Solut. 2022, 7, 140. [Google Scholar] [CrossRef]
- Wang, W.; Guo, H.; Li, X.; Tang, S.; Xia, J.; Lv, Z. Deep learning for assessment of environmental satisfaction using BIM big data in energy efficient building digital twins. Sustain. Energy Technol. Assess. 2022, 50, 101897. [Google Scholar] [CrossRef]
- Ge, L. Green building design based on the concept of energy saving and environmental protection—Comment on “key technology of green building design and operation”. Concr. Cem Prod. 2020, 8, 97. [Google Scholar]
- Chen, Y.; Cai, X.; Li, J.; Zhang, W.; Liu, Z. The values and barriers of Building Information Modeling (BIM) implementation combination evaluation in smart building energy and efficiency. Energy Rep. 2022, 8, 96–111. [Google Scholar] [CrossRef]
- Kim, T.K. T test as a parametric statistic. Korean J. Anesthesiol. 2015, 68, 540–546. [Google Scholar] [CrossRef] [Green Version]
- Chicco, D.; Warrens, M.J.; Jurman, G. The coefficient of determination R-squared is more informative than SMAPE, MAE, MAPE, MSE and RMSE in regression analysis evaluation. PeerJ Comput. Sci. 2021, 7, e623. [Google Scholar] [CrossRef]
- Porsani, G.B.; Del Valle de Lersundi, K.; Gutiérrez, A.S.-O.; Bandera, C.F. Interoperability between Building Information Modelling (BIM) and Building Energy Model (BEM). Appl. Sci. 2021, 11, 2167. [Google Scholar]
- González, J.; Soares, C.A.P.; Najjar, M.; Haddad, A.N. BIM and BEM Methodologies Integration in Energy-Efficient Buildings Using Experimental Design. Buildings 2021, 11, 491. [Google Scholar] [CrossRef]
- Watfa, M.K.; Hawash, A.E.; Jaafar, K. Using Building Information & Energy Modelling for Energy Efficient Designs. J. Inf. Technol. Constr. 2021, 26, 427–440. [Google Scholar]
- Yang, Y.; Pan, Y.; Zeng, F.; Lin, Z.; Li, C. A gbXML Reconstruction Workflow and Tool Development to Improve the Geometric Interoperability between BIM and BEM. Buildings 2022, 12, 221. [Google Scholar] [CrossRef]
- Carvalho, J.P.; Almeida, M.; Bragança, L.; Mateus, R. BIM-Based Energy Analysis and Sustainability Assessment—Application to Portuguese Buildings. Buildings 2021, 11, 246. [Google Scholar] [CrossRef]
- Pereira, V.; Santos, J.; Leite, F.; Escórcio, P. Using BIM to improve building energy efficiency—A scientometric and systematic review. Energy Build. 2021, 250, 111292. [Google Scholar] [CrossRef]
- Olanrewaju, O.I.; Enegbuma, W.I.; Donn, M.; Chileshe, N. Building information modelling and green building certification systems: A systematic literature review and gap spotting. Sustain. Cities Soc. 2022, 81, 103865. [Google Scholar] [CrossRef]
- Guo, K.; Li, Q.; Zhang, L.; Wu, X. BIM-based green building evaluation and optimization: A case study. J. Clean. Prod. 2021, 320, 128824. [Google Scholar] [CrossRef]
- Habibi, S. Role of BIM and energy simulation tools in designing zero-net energy homes. Constr. Innov. 2022, 22, 101–119. [Google Scholar] [CrossRef]
- Amiri, S.S.; Mottahedi, M.; Asadi, S. Using multiple regression analysis to develop energy consumption indicators for commercial buildings in the U.S. Energy Build. 2015, 109, 209–216. [Google Scholar] [CrossRef]
- Bellos, E.; Tzivanidis, C.; Touris, I. Effect of thermal mass in the cooling and heating loads of buildings. In Proceedings of the 6th IC-SCCE Conference, Athens, Greece, 6–9 July 2014. [Google Scholar]
- Bryde, D.; Broquetas, M.; Volm, J.M. The project benefits of Building Information Modelling (BIM). Int. J. Proj. Manag. 2013, 31, 971–980. [Google Scholar] [CrossRef] [Green Version]
- Crawley, D.B.; Lawrie, L.K.; Winkelmann, F.C.; Buhl, W.; Huang, Y.; Pedersen, C.O.; Strand, R.K.; Liesen, R.J.; Fisher, D.E.; Witte, M.J.; et al. EnergyPlus: Creating a new-generation building energy simulation program. Energy Build. 2001, 33, 319–331. [Google Scholar] [CrossRef]
- Enshassi, M.A.; al Hallaq, K.A.; Tayeh, B.A. Limitation factors of building information modeling (BIM) Implementation. Open Constr. Build. Technol. J. 2019, 13, 189–196. [Google Scholar] [CrossRef]
- Fumo, N.; Mago, P.; Luck, R. Methodology to estimate building energy consumption using EnergyPlus Benchmark Models. Energy Build. 2010, 42, 2331–2337. [Google Scholar] [CrossRef]
- Gao, H.; Koch, C.; Wu, Y. Building information modelling based building energy modelling: A review. Appl. Energy 2019, 238, 320–343. [Google Scholar] [CrossRef]
- Kneifel, J. Life-cycle carbon and cost analysis of energy efficiency measures in new commercial buildings. Energy Build. 2010, 42, 333–340. [Google Scholar] [CrossRef]
- Korolija, I.; Zhang, Y.; Halburd, L.M.; Hanby, V.I. Regression models for predicting UK office building energy consumption from heating and cooling demands. Energy Build. 2013, 59, 214–227. [Google Scholar] [CrossRef]
- Maile, T.; Fischer, M.; Bazjanac, V. Building Energy Performance Simulation Tools—A Life-Cycle and Interoperable Perspective; CIFE Working Paper #WP107; Center for Integrated Facility Engineering (CIFE): Stanford, CA, USA, 2007. [Google Scholar]
- Monetti, V.; Davin, E.; Fabrizio, E.; André, P.; Filippi, M. Calibration of Building Energy Simulation Models Based on Optimization: A Case Study. Energy Procedia 2015, 78, 2971–2976. [Google Scholar] [CrossRef] [Green Version]
- Nguyen, A.-T.; Reiter, S.; Rigo, P. A review on simulation-based optimization methods applied to building performance analysis. Appl. Energy 2014, 113, 1043–1058. [Google Scholar] [CrossRef]
- Oduyemi, O.; Okoroh, M. Building performance modelling for sustainable building design. Int. J. Sustain. Built Environ. 2016, 5, 461–469. [Google Scholar] [CrossRef] [Green Version]
- Raof, B. The correlation between building shape and building energy performance. Int. J. Adv. Res. 2017, 5, 552–561. [Google Scholar] [CrossRef]
- Shi, X.; Tian, Z.; Chen, W.; Si, B.; Jin, X. A review on building energy efficient design optimization rom the perspective of architects. Renew. Sustain. Energy Rev. 2016, 65, 872–884. [Google Scholar] [CrossRef]
- Tian, W. A review of sensitivity analysis methods in building energy analysis. Renew. Sustain. Energy Rev. 2013, 20, 411–419. [Google Scholar] [CrossRef]
- Tian, Z.; Zhang, X.; Jin, X.; Zhou, X.; Si, B.; Shi, X. Towards adoption of building energy simulation and optimization for passive building design: A survey and a review. Energy Build. 2018, 158, 1306–1316. [Google Scholar] [CrossRef]
- Zhang, Y.; Wang, W.; Wang, Z.; Gao, M.; Zhu, L.; Song, J. Green building design based on solar energy utilization: Take a kindergarten competition design as an example. Energy Rep. 2021, 7, 1297–1307. [Google Scholar] [CrossRef]
- Zhou, Z.; Zhang, S.; Wang, C.; Zuo, J.; He, Q.; Rameezdeen, R. Achieving energy efficient buildings via retrofitting of existing buildings: A case study. J. Clean. Prod. 2016, 112, 3605–3615. [Google Scholar] [CrossRef]
- Zotkin, S.P.; Ignatova, E.V.; Zotkina, I.A. The Organization of Autodesk Revit Software Interaction with Applications for Structural Analysis. Procedia Eng. 2016, 153, 915–919. [Google Scholar] [CrossRef] [Green Version]















| Aim | Method | Findings and Limitations |
|---|---|---|
| Apply BIM to make an energy performance analysis of an institute building for evaluating the energy performance impact of whole building components and the energy need for each component. [15]. | Building simulation based on Revit Architecture 2018, the energy consumption measuring via GBSbased on DOE 2.2 dynamic thermal whole building energy simulation engine. | (1) Autodesk Revit 2018 and GBS can be utilized to effectively evaluate the energy performance impact of various parameters; (2) the highest impact of energy performance (0.21% and 0.19%) comes from the wall and HVAC systems, respectively, while a low contribution (0.07% and 0.11%) comes from the orientation and the roof. |
| Evaluating the positive effect of BIM for identifying different parameters and components of building to make sustainable decisions of the green building project [16]. | Developing the model by Autodesk Revit, questionnaire Data analysis by SPSS version 24, Energy analysis on GBS. | BIM and GBS can effectively provide optimized results, by alternative trials, in the early design stage for green building. Only energy consumption of the operational phase was focused on by this research, the energy use of the construction phase was not covered. |
| Evaluating the energy consumption effects of building design parameters in hot-humid climate zones [17]. | Building modeling by BIM software Autodesk Revit, energy performance analysis and design alternatives evaluation based on GBS. | (1) The HVAC system is the main source of effect for energy consumption; (2) The process of energy performance analysis can be significantly accelerated by the application of BIM in the design process because design alternatives can be easily established. |
| Assessing the performance of the most common simulating and modeling applications for green building energy consumption [18]. | Result completion and ranking for the energy performance analysis via DesignBuilder, IDA-ICE, IES-VE, EnergyPlus, TRNSYS, eQUEST, AutodeskGBS Ecotect, RIUSKA, and VIP-Energy software. | The performance of ten energy modeling applications can be ranked in descending order through the comparison results: (1) TRNSYS, (2) Ecotect, (3) Autodesk-GBS, (4) EnergyPlus, (5) IES-VE, (6) IDAICE, (7) VIP-Energy, (8) DesignBuilder, (9) eQUEST, and (10) RIUSKA. |
| To develop a new method to identify critical parameters which will influence the energy efficiency considering with various external and internal factors [19]. | Building energy simulation by GBS building components modeling based on Revit Architecture software, inter-building effect (IBE) analysis. | The building lifecycle budget can be affected by the external or internal configuration changes of the structure; the location of the building relative to the sun’s path decide the building’s ability to get heat from solar energy; Changing the WWR plays an important role in optimizing building energy performance. |
| Using BIM to evaluate the impact of the building components and materials for building energy consumption in a mild climate zone [20]. | Building modeling based on Autodesk Revit software, Energy modeling and analysis by Autodesk GBS software. | Using BIM to adjust the design parameters, which can affect building energy consumption, is an effective way to decrease energy costs. The HVAC system contributes the most impact on building energy consumption. |
| Investigating a framework to improve the building energy consumption management in different climatic conditions [21]. | The utilization of Autodesk Revit software for the building components and climate data defining, building modeling; Linear regression analysis via Minitab software; energy consumption estimation through the Autodesk GBS software. | Building energy consumption can be significantly influenced by the type of building design and the climate data. The WWR has more influence on building energy consumption than using super-high insulation building components. Limitation: this research did not consider the impact of building classification on energy consumption, and the range of selected building materials is not sufficient. |
| Develop an innovative framework to improve the decision-making of energy optimization for existing buildings [22]. | Mathematical optimization; 3D model design, energy modeling and simulation by Autodesk REVIT software and GBS; environmental impact analysis through Life Cycle Assessment (LCA) based on Tally REVIT software. | The service life costs and energy consumption of buildings can be significantly reduced by the framework based on the integration of mathematical optimization, BIM, and LCA (24–58% energy saving for the studied case building). Energy performance is mainly influenced by building evaporative of coolers and envelopes. |
| Investigate the probability of utilizing BIM to optimize building energy performance and identify the main types of equipment that could affect the energy consumption of Eco-Home [23]. | 3d modeling by Autodesk Revit 2018 software; base and optimized energy analysis based on GBS software. | The overall energy performance measurements can be effectively improved by energy performance analysis by integration of BIM and GBS. The highest percentage of energy consumption from air conditioner (about 40%) in the case building, and the second is lighting equipment. The equipment with lowest energy needs is the smart ceiling fans. |
| Evaluate the availability of using BIM big data in Building Digital Twins for building energy efficiency [24]. | Deep Learning (DL) approach, building modeling and simulation by BIM, Data collection by Deep Learning by Wireless Sensor Networks (WSNs), improvement of data fusion quality based on Data Fusion Algorithm (DFA) and Backpropagation Neural Network (BPNN), validate effectiveness through the survey of environmental satisfaction of residents. | The result shows that the comprehensive utilization of BIM and Digital Twins applications can provide a positive effect on intelligent buildings in modern times (92.38% of residents satisfied in 525 results). |
| Design Variables | Analysis Methods | |
|---|---|---|
| 1 | WWR |
|
| 2 | Building Orientation (Degrees) |
|
| 3 | Wall Construction (U-Value) |
|
| 4 | Roof Construction (U-Value) |
|
| 5 | Infiltration (ACH) |
|
| 6 | Lighting efficiency |
|
| 7 | Daylighting and Occupancy Control |
|
| 8 | Plug Load Efficiency |
|
| 9 | HVAC Types |
|
| 10 | Operating Schedule |
|
| 11 | Min/Max Internal Loads |
|
| 12 | Min/Max Envelope | |
| 13 | Min/Max Form |
| WWR Dependent Variables Summary | |
|---|---|
| Percent | 0%; 30%; 65%; 95% |
| Direction | Northern; Southern; Western; Eastern |
| Window Glass Type | No change; Single Clr; Double Clr; Double LoE; Triple LoE |
| Window Shade | No change; 1/3 Window; 2/3 Window |
| S1-Rec | S2-Tri | S3-L | S4-T | S5-H | S6-DMD | S7-U | |
|---|---|---|---|---|---|---|---|
| 668.573 | 683.754 | 668.168 | 671.181 | 670.254 | 661.151 | 667.568 | |
| 2.977 | 4.016 | 4.052 | 4.011 | 4.536 | 3.284 | 4.486 | |
| 37.234 | 62.092 | 53.434 | 55.981 | 62.845 | 43.035 | 61.058 | |
| −19.509 | −29.779 | −25.484 | −28.666 | −29.585 | −20.460 | −30.389 | |
| R2 | 0.360 | 0.244 | 0.382 | 0.330 | 0.376 | 0.313 | 0.379 |
Publisher’s Note: MDPI stays neutral with regard to jurisdictional claims in published maps and institutional affiliations. |
© 2022 by the authors. Licensee MDPI, Basel, Switzerland. This article is an open access article distributed under the terms and conditions of the Creative Commons Attribution (CC BY) license (https://creativecommons.org/licenses/by/4.0/).
Share and Cite
Tahmasebinia, F.; Jiang, R.; Sepasgozar, S.; Wei, J.; Ding, Y.; Ma, H. Using Regression Model to Develop Green Building Energy Simulation by BIM Tools. Sustainability 2022, 14, 6262. https://doi.org/10.3390/su14106262
Tahmasebinia F, Jiang R, Sepasgozar S, Wei J, Ding Y, Ma H. Using Regression Model to Develop Green Building Energy Simulation by BIM Tools. Sustainability. 2022; 14(10):6262. https://doi.org/10.3390/su14106262
Chicago/Turabian StyleTahmasebinia, Faham, Ruifeng Jiang, Samad Sepasgozar, Jinlin Wei, Yilin Ding, and Hongyi Ma. 2022. "Using Regression Model to Develop Green Building Energy Simulation by BIM Tools" Sustainability 14, no. 10: 6262. https://doi.org/10.3390/su14106262
APA StyleTahmasebinia, F., Jiang, R., Sepasgozar, S., Wei, J., Ding, Y., & Ma, H. (2022). Using Regression Model to Develop Green Building Energy Simulation by BIM Tools. Sustainability, 14(10), 6262. https://doi.org/10.3390/su14106262

