Abstract
The roughness of surface soil and the benefits produced by tillage for slope runoff and sediment reduction have attracted considerable interest; however, there are inconsistencies in existing research results. In this study, we have studied the anti-erosion influences of several typical tillage practices on both runoff and sediment generation in areas of sloping farmland in the Loess Plateau of northwest China. Rough surfaces were prepared manually, according to the surface microtopography of the plateau’s sloping farmland, using four tillage practices; a smooth surface was used as a control. Rainfall simulation experiments were performed using three rainfall intensities and five slope gradients. A path analysis was used to analyze the interactive effects of the slope gradient, rainfall intensity, and the surface roughness on the sediment yield and runoff volume. According to our findings, the gradient of a slope and the intensity of the rainfall both had a positive effect, while the surface roughness had a negative effect; the rate of 40.8% and 21.0% was lower than the values under CK on sediment yield and runoff volume. The interaction between the rainfall intensity and surface roughness always had a runoff reduction effect. Conversely, there was a critical slope gradient between 5° and 10° for sediment yield. The interaction between the slope gradient and surface roughness also had a runoff reduction effect, which was diminished by increasing the rainfall intensity. However, their interactive influence on sediment yield was inconsistent, with a critical slope gradient between 10° and 15°. Based on the comprehensive interactive effects among all three factors, we concluded that rainfall intensity, slope gradient, and surface roughness collectively played a crucial role in promoting runoff and sediment generation under tillage. The results support soil and water conservation by tillage on the sloping farmlands of the Loess Plateau.
1. Introduction
The Loess Plateau (LP) of northwest China is not only the birthplace of agricultural civilization in China but is also one of the regions experiencing the most severe soil erosion, globally [1]. Based on thousands of years of agricultural activities, local farmers have developed numerous measures to reduce soil erosion, which supports sustainable agricultural development in the plateau region. Therefore, technical agricultural cultivation strategies are considered to fall under one of the three major approaches (engineering, biological, and agricultural measures) of water and soil conservation in China [2].
Agricultural tillage practices often result in uneven soil surfaces. The roughness of the surface soil that is caused by tillage could directly influence rainfall infiltration, depression storage, and confluence, thereby interfering with runoff and sediment generation [3,4]. Generally, an increase in the roughness of the surface soil reduces the sediment yield and runoff volume [5,6]. However, there are two major opposite perspectives on the influence of soil random roughness. According to one view, a higher random roughness index reduces soil erosion, while according to the other viewpoint, a higher random roughness index increases potential scouring and, in turn, accelerates soil erosion [7].
Slope gradient and rainfall intensity are the key factors affecting soil erosion. There have been global studies of the impact on soil erosion by slope gradient [8]. There have also been studies on the impact that rainfall intensity has on the runoff volumes of loess slopes [9], which show that rainfall intensity has the greatest impact. In addition, some scholars have studied the risk posed to agricultural soils from erosion by rainstorms and associated winds; these studies have focused on the impacts of the intensity of the rainfall and slopes on the production of furrow diking [10,11,12]. Based on 10 previous studies (Table 1) under different surface roughness levels, different slope gradients, and different rainfall intensities, the following three key forms of tillage effects have been identified: (1) it increases the runoff volume and sediment yield; (2) it reduces the sediment yield and runoff volume; and (3) there is a dual effect on runoff and sediment generation (promoting and limiting).
Table 1.
Tillage effects on soil erosion, reported in 10 previous studies.
The inconsistent effects of tillage could be associated with the diverse parameters measured under varying rainfall intensities or slope gradients in the respective studies. Some authors have already investigated combined effects, such as between slope gradient and rainfall intensity [22], and slope gradient and surface roughness [23,24], but few studies have considered the combined impacts on soil erosion by slope gradient, surface roughness, and rainfall intensity.
The characteristics of the LP region include high elevations, steep slopes, and deep gullies. Sloping farmland accounts for 55.7% of the total farmland in the region, including 698.13 hm2 of areas at the slope gradient of 6°–25° and 177.84 hm2 of areas at >25° [25]. Local farmers have mainly adopted tillage practices, such as artificial digging (AD), contour drilling (CD), contour plowing (CP), and manual hoeing (MH), for agricultural production. However, the soil and water conservation benefits of the roughness of the surface soil under such tillage practices remain unclear. In addition, hardly any studies have examined the roughness of the surface soil in combination with other factors, such as rainfall intensity and slope gradient, when assessing the anti-erosion effects of different tillage practices. Therefore, in the present study, we investigated the effects of several typical tillage practices on runoff and sediment generation on sloping farmland (3°–20°) under different intensities of rainfall (60–120 mm h−1) in the LP region.
2. Materials and Methods
2.1. Study Site
Experiments were conducted in the runoff plots of the Soil and Water Conservation Laboratory, Northwest A&F University, Yangling, Shaanxi Province, China. The experimental site falls within a semi-humid continental monsoon climate zone, with an annual average temperature of 12.9 °C. January and July are the coldest and hottest months of the year, with mean temperatures of −1.2 °C and 26.1 °C, respectively. Around 60% of the average annual precipitation of 635.1 mm occurs between July–October, with most precipitation occurring as rainstorms. The mean annual potential evaporation is 993.2 mm. The soil type here is “Lou soil” (in Chinese: 塿 [lǒu]), which can be described as the uppermost part of natural soil that contains a maturing, deep artificial layer. The local soil develops from the quaternary parent loess material that has been accumulated by the wind and is defined as Eum-Orthic Anthrosols, by the IUSS Working Group WRB (2015). The major physical and chemical properties of the soil are listed in Table 2 [26].
Table 2.
Selected physical and chemical characteristics of the experimental soil.
2.2. Experimental Strategy
2.2.1. Runoff Plots
In 2009, soil boxes (4.0 m × 1.0 m × 0.6 m) were used to established 20 runoff plots. Topsoil was obtained from a depth of 0–20 cm in Yangling farmlands. After drying in air in a laboratory, the initial soil–water content was found to be 10–14%. Subsequently, soil samples were packed in runoff plots at 1.35 g cm−3 bulk density [27]. Because the farmland slope gradient is different across LP region, mainly in the range of 14°–28° [28], five slope gradients of 3°, 5°, 10°, 15°, and 20° were selected to evaluate their effect on soil erosion. Four runoff plots were applied for each slope gradient, corresponding to different tillage practices (Figure 1).
Figure 1.
The overall view of the runoff plots.
2.2.2. Tillage Treatments
Rough surfaces were manually prepared with the four tillage practices of CP, MH, AD, and CD [29]; a control plot with a smooth surface was also prepared (CK: Figure 2). The practices were as follows: (1) CP represents a customary tillage technique for preparation of new soil for planting. The technique uses one plow for the preparation of a fine seedbed, without creating furrows or ridges. (2) MH—a broad hoe is used for the cultivation of soil at a length of 40–50 cm and a depth of 7 cm, with an average volume slope pit of 0.033 m3. (3) AD represents a manual agricultural practice using a narrow hoe for digging depressions approximately 22 cm wide and 9 cm deep, 20–25 cm from each other, and with a 0.083 m3 average volume slope pit. (4) CD represents a traditional tillage technique in which a “Lou plow” (in Chinese: 耧 [lǒu]) is used for the creation of ridges and furrows, with a slope pit average volume of 0.068 m3, adjacent ridge distance of approximately 15 cm, and ridge height of approximately 6 cm.
Figure 2.
Tools for tilling (top) and corresponding runoff plots for different treatments (bottom) before simulated rainfall. (1) A lou is a traditional farming implement, which looks like a plow and is used for the preparation of the seedbeds of crop plants, such as sorghum, millet, and wheat. This implement comprises an iron handle, extending 1.6–1.7 m, and two toes that are 15 cm apart to form ridges and furrows. (2) A narrow hoe is another agricultural tool used to create shallow and narrow furrows and it consists of a wooden handle, with a length of 1.5–1.7 m, and a deep (20 cm) and narrow (9 cm) iron blade at the handle end. (3) A broad hoe is a tool employed for loosening soil, cultivating deep soil, and chopping weeds and it consists of an iron blade, with a depth and width of 10 cm and 18 cm, respectively, and a wooden handle, with a length of 1.5–1.7 m. (4) A plow is usually applied for breaking and turning over soil for seedbed preparation and consists of an iron handle, 1.5–1.7 m long, that terminates with an iron blade. Plow depth is 20 cm.
2.2.3. Experimental Simulation of Rainfall
Simulations of rainfall were conducted using a transportable rainfall simulator, planned and constructed by the Institute of Soil and Water Conservation, Chinese Academy of Sciences (Yangling, Xianyang, Shaanxi Province, China). The device comprises a single water tank with a length, width and height of 2.0 m × 2.0 m × 1.5 m, pipes for supplying water (inner diameter of 48 mm), a water pump (2.2 kW), two side-spray nozzles, and two tripods (7 m high). Rainfall intensities of 30 and 120 mm h−1 were adjusted by altering the water pressure of the pipe water or by altering the nozzle size. Two tripods, each holding a nozzle, were placed 5 m away on the lower and upper sides of the soil box. The tripods were 7 m high to guarantee the raindrop fall velocity of almost the same as terminal velocity [30,31]. Rainfall kinetic energy, the average raindrop diameter, and the effective rainfall area were 27.0 J m2 mm−1, 2.33 mm, and 4 m × 5 m, respectively. The uniformity of rainfall was estimated to be >80%, using the Christiansen coefficient [32,33].
Our experimental conditions were based on the local precipitation, which is unevenly distributed during the year. Most of the rainstorms take place during summer, with frequent and sudden storms and rainfall intensities of 70–110 mm h−1 (data were obtained from Shaanxi Meteorology Bureau of Chian). Therefore, rainfall intensities of 60, 90, and 120 mm h−1, for 60, 40, and 30 min per plot were used. To control the water content of the soil, the topsoil (0–20 cm) of the plots was replaced with initial soil that had a water content of 10–14% before each rainfall. In rainfall simulations, samples of surface runoff and sediment were constantly gathered into small buckets made of plastic, with known weights. Depending on the applied runoff rate, empty buckets were substituted in 0.5–2 min intervals. The rates of runoff at the initial runoff generation stages were not low. Therefore, the sampling times or intervals were longer, and decreased with an increase in the runoff rate.
2.3. Analysis of Data
2.3.1. Surface Roughness Estimation
For the estimation of the roughness of the surface soil, after completing tillage, the surface elevations of the runoff plots were measured with a laser scanner (Topcon, GLS-1500, Tokyo, Japan). For measuring, the scanner was arranged 5 m from the front of the runoff plot. Therefore, the entire area of the plot could be scanned. Consequently, the measured area of the plot overestimated the actual area. ArcGIS 10.2 (ESRI Inc., Redlands, CA, USA) was applied for the generation of digital elevation models (DEM) at a spatial resolution of 2 mm, based on the laser-scanned elevation points. Subsequently, DEM were obtained based on the plot boundaries. For each surface, approximately 9504 elevation points were achieved. Finally, the random roughness (RR) index, introduced by Zheng et al. [16], was calculated based on the difference of the average absolute elevation.
2.3.2. Measuring Sediment and Runoff Generation
The time required to initiate surface runoff and the time required for the runoff to reach the plot outlet from the initiation of the rainfall simulation was recorded for each experiment session. The surface sediment and runoff samples obtained with plastic buckets were left for 24 h to set. After this, supernatant was discarded, while sediment was decanted into aluminum boxes and dried in an oven at 105 °C until constant weight. The dry sample was weighed as the sediment yield and runoff volume were calculated using Equation (1), which is as follows:
In Equation (1), Ry (L) is the volume of runoff during the experiment, Sd (kg) is the yield of sediment after oven-drying, Sa (kg) represents the total weight of runoff and sediment, and ρ (kg m−3) is the density of water. The sediment yield and runoff volume were divided by plot area to obtain per unit area data.
2.3.3. Statistical Analysis
Experiment sessions were replicated two times in two years (2013 and 2015) for each plot and average index values were calculated. To determine significant differences in the average index values across different treatments, IBM SPSS Statistics 19 (IBM Corp., Armonk, NY, USA) was used for performing the analysis of variance (ANOVA).
According to [34], we conducted a path analysis by linear regression in IBM SPSS Statistics 19 to analyze the direct and indirect effects of the slope gradient, rainfall intensity, and surface roughness on the sediment yield and runoff volume. The correlation coefficient and path coefficient were obtained using correlation and path coefficient analyses, respectively. The indirect path coefficient was calculated using Equation (2), which is as follows:
where is the indirect path coefficient of x1 passing through the corresponding variable y of x2; is the correlation coefficient between x1 and x2; and is the direct effect of x2 on dependent variable y (path coefficient).
3. Results
3.1. Effects of Different Tillage Approaches on the Variation of Surface Roughness
There were different RR0 values under different tillage practices, but no significant difference was observed in the RR0 values of five slope gradients by one-way ANOVA (p > 0.05). Therefore, the average RR0 value of each tillage practice at the different slope gradients was calculated as follows: CD > AD > MH > CP > CK at 0.1340 ± 0.0061, 0.0979 ± 0.0081, 0.0844 ± 0.0080, 0.0444 ± 0.0026, and 0.0024 ± 0.004, respectively (Table 3). The variation characteristics of surface roughness before and after the rainfall simulation are illustrated in Figure 3. RR0/RR > 1 means that the surface roughness value became smaller and smaller during the rainfall simulation; otherwise, the surface roughness after the rainfall simulation was greater than that before the rainfall simulation.
Table 3.
Random roughness index of sloping surface under different tillage practices before rainfall.
Figure 3.
Variation characteristics of surface roughness under different treatments (CD, AD, MH, CP, CK, RR0, and RR represent contour drilling, artificial digging, manual hoeing, contour plowing, smooth, and surface roughness before the rainfall simulation, and surface roughness after the rainfall simulation, respectively). Values for various tillage practices under each slope gradient denoted with different letters (a–e) were very different, at p < 0.05, according to LSD test.
The smooth surface of the CK treatment had an RR value near zero. Parallel furrows and ridges were created along the surface contour in CD. Such intense surface disturbances along the vertical and horizontal directions gave the highest RR0 value. Conversely, the CP treatment disturbance had the lowest intensity, while the depth in AD treatment was greater than that in MH.
From the overall trend, as the slope gradient increased, the value of RR0/RR changed from >1 to <1 by degrees. It indicated that the value of surface roughness after the rainfall simulation had decreased, compared with that before the rainfall simulation under the condition of a lower slope (3° and 5°), and then increased with the increase of the slope gradient. For the CK, the value of surface roughness had an increased trend as the slope increased.
For a single tillage practice, the value of RR0/RR of CD was less than one, only if the conditions of the intensity of the rainfall and the gradient of the slope of 90 mm/h and 20°, and of 120 mm/h and 20°, were met, respectively. Similarly, the tillage practices of MH and CP had similar change rules, but the required conditions of rainfall intensity and slope gradient for the case of RR0/RR > 1 were lower than those of CD, while for AD, the value of RR0/RR was not significantly greater than one.
3.2. Variation in the Generation of Sediment and Runoff under Different Tillage Practices
3.2.1. Effects of Single Factors
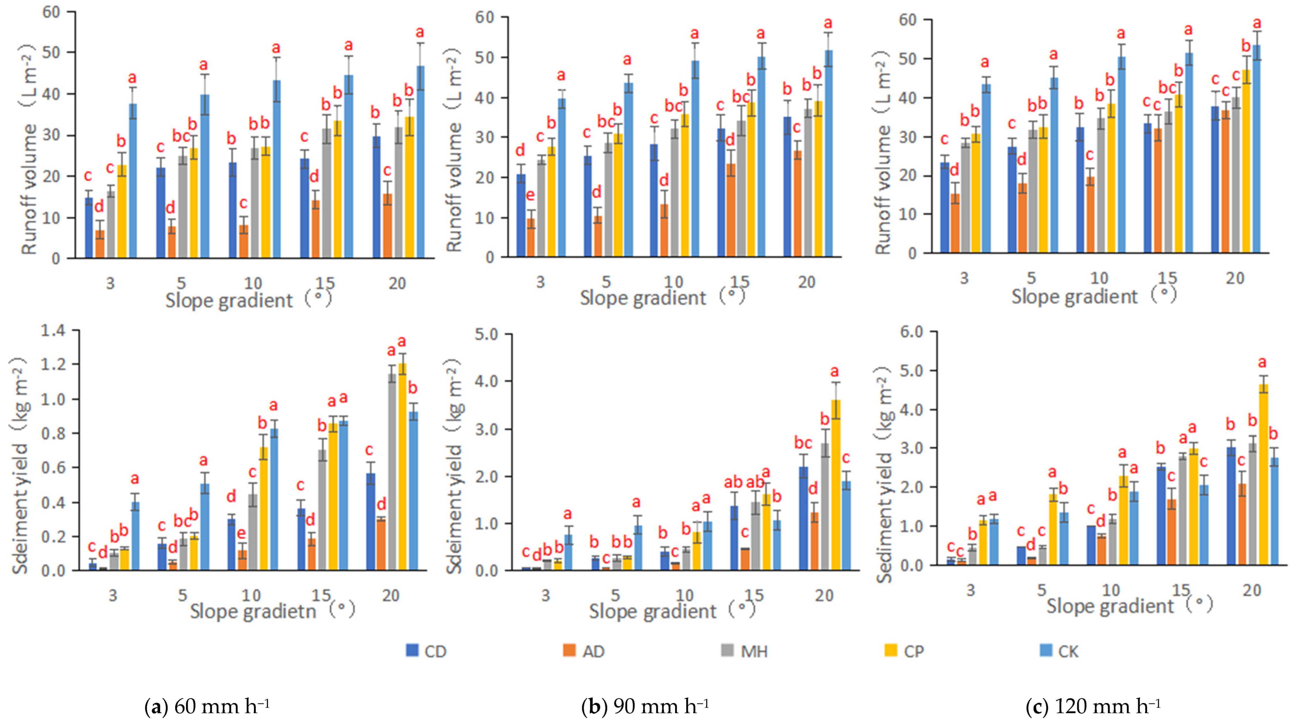
The sediment yield (Sd) and runoff volume (Ry) under different tillage practices, in relation to various slope gradients and rainfall intensities are illustrated in Figure 4. For CK, both the Ry and Sd increased substantially when the slope gradient and rainfall intensity were increased, and the upward trend of the Sd was more obvious. For example, at the 10° slope gradient, the Ry increased by 11.7% and 2.5%, while the Sd increased by 20.7% and 44.8%, with the increase in the intensity of the rainfall from 60 to 120 mm h−1, respectively. The relative increase in the Sd was much greater than that in the Ry, which indicates that rainfall intensity has a more pronounced effect in promoting sediment generation. At the rainfall intensity of 90 mm h−1, the Ry increased by 9.8%, 12.9%, 2.2%, and 3.2%, with an increase of the slope gradient from 3° to 5°, 10°, 15°, and 20°, respectively; the corresponding Sd increased by 28.4% (5°), 68.5% (10°), 2.6% (15°), and 78.9% (20°). The relative increases of the Ry and Sd between 10° and 15° were apparently limited. The promoting effect of the same slope gradient on sediment generation was higher than that on runoff generation.
Figure 4.
Volume of runoff and yield of sediment under different tillage practices. CD, contour drilling; AD, artificial digging; MH, manual hoeing; CP, contour plowing; and CK, smooth surface (control). Values for various tillage practices under each slope gradient denoted with different letters (a–e) were very different at p < 0.05, according to LSD test.
Based on the comparisons of the Ry and Sd across different tillage treatments, the surface roughness had a negative effect on the Ry under all tillage treatments, in the order of CK > CP > MH > CD > AD. However, the effect on the Sd was quite different. For example, at a rainfall intensity of 90 mm h−1 and a slope gradient of 10°, the Ry values of CD, CP, MH, and AD were 42.2%, 27.1%, 34.7%, and 72.9% lower than those of CK, and the Sd values were 40.9%, 56.1%, 84.1%, and 60.3%, lower, respectively. At a rainfall intensity of 90 mm h−1 and a slope gradient of 15°, the Ry values of the CP, MH, AD, and CD treatments decreased by 23.1%, 31.8%, 53.1%, and 35.6%, compared to those of CK, while the Sd values changed by 51.3%, −35.5%, −56.1%, and 29.0%, respectively. The surface roughness effect on the Ry was minimal, but that on the Sd varied based on rainfall intensity and slope gradient, even shifting from sediment reduction to increase. Overall, the average Ry and Sd values of all the four tillage practices were 40.8% and 21.0% lower, respectively, than the values observed under CK, indicating a limiting effect of surface roughness on the generation of sediment and runoff.
3.2.2. Interaction of Rainfall Intensity and Surface Roughness
According to the path analysis results (Figure 5), surface roughness had a negative effect on the Ry under all treatments, which was greater than the positive rainfall intensity effect on the Ry. In other words, the interaction between the two factors had a limiting effect on the generation of runoff. In addition, the direct influence of surface roughness on Sd was mostly negative; however, the effect was weakened gradually by increasing the slope gradient. For example, at a 15° slope gradient, the surface roughness effect on the Sd even became positive. With regard to the interaction between the rainfall intensity and surface roughness, the effect on the Sd was generally negative at mild gradients of slope (e.g., 3° and 5°); however, the effect was weakened gradually by increasing the slope gradient and shifted to positive at a 10° slope gradient. The results indicated a critical slope gradient between 5° and 10° for the interaction between rainfall intensity and surface roughness, where the rainfall intensity’s effect on the sediment yield was counteracted by the surface roughness effect.
Figure 5.
Interactive effects of surface roughness and intensity of rainfall on the volume of runoff (Ry) and yield of sediment (Sd) based on path analysis. Ry: runoff volume (L m−2); Sd: sediment yield (kg m−2); RI: rainfall intensity (mm h−1); and RR: random roughness.
For example, at a slope gradient of 10°, the Ry and Sd of CK increased by 7.9% and 53.6% on average, respectively, by increasing the rainfall intensity. Under similar rainfall intensity, the Ry and Sd of the CK decreased by 29.3% and 4.3% on average, respectively, compared to the values observed under the CP treatment. The limiting impact of the roughness of the surface on the generation of runoff far exceeded the promoting effect of rainfall intensity on the generation of runoff. On the contrary, the limiting impact of the roughness of the surface on the generation of sediment was much lower than the promoting effect of rainfall intensity. Compared to values in the CK treatment under a rainfall intensity of 60 mm h−1, the Ry and Sd values of CP treatment under higher rainfall intensities (90 and 120 mm h−1) were 14.4% and −88.3% lower on average, respectively. The results indicated that the interaction between the surface roughness and rainfall intensity limited the runoff generation and promoted sediment generation (Figure 5). The other tillage practices produced similar results.
3.2.3. Interaction between Slope Gradient and Surface Roughness
According to the path analysis results (Figure 6), slope gradient had a positive effect on the Ry and Sd, while surface roughness had a negative effect on the Ry and Sd. The interactive effect between the two factors was inconsistent. There was a negative interactive effect on the Ry: the slope gradient effect on runoff increase was lower than that of surface roughness on runoff reduction. This interactive effect on the Ry was weakened under higher rainfall intensities. Conversely, the interaction between the two factors had a positive effect on the Sd.
Figure 6.
Interactive effects of surface roughness and slope gradient on sediment yield (Sd) and runoff volume (Ry), based on a path analysis. Ry: volume of runoff (L m−2); Sd: yield of sediment (kg m−2); SG: slope gradient (°); and RR: random roughness.
For instance, a 90 mm h−1 rainfall intensity increased the Ry and Sd of CK by 7.0% and 29.2% on average, respectively, by increasing the slope gradient. However, the Ry and Sd of the MH treatment decreased by 33.9% and 24.5% on average, respectively, compared to the values of CK across all slope gradients. This result indicated that the effect of runoff reduction attributed to surface roughness was much greater than the effect of runoff increase attributed to the slope gradient. Conversely, the effect of sediment generation attributed to the slope gradient was much greater than the effect of sediment generation attributed to surface roughness. Compared to the CK values at the 3° slope gradient, the Ry of the MH treatment decreased by 27.9%; 19.0%; 13.7%; and 8.8% (average 17.4%), and the corresponding Sd changed by −63.8%; −39.8%; 90.7%; and 255.5% (average 60.6%), respectively, with the increase of the slope gradient to 5°; 10°; 15°; and 20°, respectively. The result also indicated a negative interactive effect between the roughness of the surface and the gradient of the slope on Ry. However, an increase in the gradient of the slope resulted in the interactive effect on the Sd transitioning from negative to positive between the 10° and 15° slope gradients. In addition, the positive effect of sediment generation after transformation was much greater than the negative effect at the low slope gradients before the transformation. Therefore, the interaction between the slope gradient and the surface roughness played a role in promoting sediment generation (Figure 6). The results confirmed the presence of a critical slope gradient between 10° and 15° for sediment yield, where the effect of the slope gradient counteracted the effect of the surface roughness.
3.2.4. Interaction between the Slope Gradient, Roughness of the Surface, and Intensity of Rainfall
Table 4 lists the direct and indirect impacts of the gradient of the slope, the surface roughness, and the intensity of rainfall on the Ry and Sd, based on path analysis. Overall, both the gradient of the slope and the intensity of rainfall had a positive effect on the Ry and Sd, whereas the surface roughness had a negative effect. The impact of the roughness of the surface on the Ry exceeded the effect of the two other factors separately, whereas the opposite trend was observed for the Sd. However, on the whole, the total effects of the gradient of the slope and the intensity of rainfall on the Sd and Ry were greater than that of the surface roughness. The results showed that the interaction of the three factors played a role in promoting runoff and sediment generation.
Table 4.
Interactive impacts of gradient of slope, intensity of rainfall, and surface roughness on runoff volume (Ry) and yield of sediment (Sd), based on path analysis.
By considering the values of CK at the 3° slope gradient, at the intensity of rainfall of 60 mm h−1 as a benchmark, we selected CP treatment as an example and calculated the relative reduction rates of the Ry and Sd by increasing the rainfall intensity and the gradient of the slope. In the case of the 10° slope gradient, at the intensity of rainfall of 120 mm h−1, the reduction rate of the Ry shifted from negative to positive. The results obtained revealed that the surface roughness effect (runoff reduction) was greater than the synthetic effect of the low slope gradient and the rainfall intensity (runoff increase), but was less than the synthetic effect of the high slope gradient and the rainfall intensity (runoff increase).
The differences revealed that the interactive effect of the three factors on the Ry transformed under the conditions of 120 mm h−1 rainfall intensity and a 10° slope gradient. Similarly, we observed that the interactive effect of the three factors on the Sd transformed under the conditions of 120 mm h−1 rainfall intensity and a 5° slope gradient.
Using multiple regression analysis, we obtained the relationships among rainfall intensity, slope gradient, surface roughness, Ry, and Sd (Table 5). Rainfall intensity and slope gradient were directly proportional to the Ry and Sd, while the surface roughness was inversely proportional to the Ry and Sd.
Table 5.
Regression analysis of runoff volume and sediment yield factors.
4. Discussion
4.1. Variation in Roughness of the Surface before and after Rainfall Simulation
There were two main changes in the variation in surface roughness during the rainfall simulation. On the one hand, runoff erosion could remove the surface soil and reduce the elevation of microtopography, resulting in a reduction in surface roughness [35,36,37]. On the other hand, with the development of erosion, rill erosion emerged and developed, which resulted in an increase in surface roughness [38,39]. Under the lower slope gradient (3° and 5°), rainfall only reduced the elevation of surface microtopography, and the rill distribution was not evident, which led to a decrease in the surface roughness. However, as the slope gradient increased, the soil erosion became more intense [10,11], with rill distribution and rill erosion developing. Furthermore, ridges and depressions contributed to rill formation and strengthened soil erosion [23], which increased the surface roughness gradually after the rainfall simulation.
The variation characteristics of the surface roughness are not only closely related to the rainfall intensity and slope gradient, but also have a bearing on the initial surface roughness (surface roughness before rainfall simulation). This result satisfies the hypothesis of Magunda et al. [40], that rainfall erosion brings about a variation in surface roughness, but that the trends are dependent on the initial surface roughness characteristics.
4.2. Impacts of the Gradient of Slope and Intensity of Rainfall on Erosion of Soil
We conducted a systematic analysis of the effects of different factors on the sediment yield and runoff volume in sloping farmlands. According to our results, both slope gradient and rainfall intensity play key roles in promoting runoff and sediment generation under tillage. Based on an earlier study, rainfall intensity had the greatest impact on the runoff volumes of the loess slopes, and it contributed to 21.8% of the effects [41]. Sediment yields and runoff are mainly influenced by rainfall intensity since it is an erosive force, resulting in soil erosion [42,43]. Moreover, an increase in the rainfall intensity increases the initial runoff generation time, and a significant negative correlation is observed between these two factors [44,45].
With regard to the effect of the slope gradient, a key factor to consider is material source. During an entire erosion process, sheet erosion and interrill erosion dominate slope erosion, and the splash effect of raindrops is the major source of erosion sediment [46]. When the rainfall erosivity is constant, the total dispersion and the net transport of splash erosion decreases, by increasing the slope gradient the supply of slope material increases accordingly. Another key factor is the runoff rate, which plays a leading role in sediment yield during an erosion event, in which sheet and interrill erosions are dominant [47]. By increasing the slope gradient, the soil component forced along the slope increases and the soil stability decreases, which, in turn, causes a decrease in the erosion resistance of surface soil. Similarly, with an increase in the slope gradient, the runoff intensity and the rill runoff velocity increases [48], resulting in the promotion of runoff and sediment generation.
4.3. Runoff and Sediment Reduction by Surface Roughness
In the present study, we observed a negative surface roughness effect on runoff volume: runoff generation was reduced significantly on sloping surfaces under various tillage practices, when compared to no-tillage control. Generally, surface roughness also had a negative effect on sediment yield, but the effect varied among the tillage treatments. It was found that various tillage practices provided different amounts of sediment deposition on sloping surfaces, when compared to the control. The high sediment deposition meant low sediment losses, which was consistent with the results obtained by Locke et al. [49] in a Dundee silt loam near Stoneville, USA, and those obtained by Rhoton et al. [50] in a Grenada and a Rayne silt loam in Senatobia, USA. The phenomenon could be associated with the increased surface depression rainfall storage, particularly for AD with the highest depth of approximately 9 cm. Furthermore, a small mound was left downslope of the depression at the pour point on the AD treatment soil surface, hindering the runoff flow and formation and reducing the sediment yield and runoff volume.
The runoff rate hydrograph of the CK significantly exceeded those of the four tillage treatments (Figure 7a). At slope gradients of 3° and 5°, the sediment yield hydrograph of the CK significantly exceeded those of the four tillage treatments (Figure 7b). Under the conditions above, the surface roughness caused by different tillage practices had a significant sediment reduction effect. The effect was more pronounced than the sediment increase associated with rainfall intensity and slope gradient. Higher roughness of the surface soil increases surface microtopography undulations. During rainfall, the roughness of the surface soil restricts the runoff generation, and the retention of rainfall by surface depressions facilitates infiltration. The consideration of a shallow and wide flow, according to the flow depth, can be used to illustrate the effect of splash erosion under different gradients of slope. In particular, the impacts of raindrops under increasing gradients of slope and decreasing volumes of runoff can be examined [51,52,53,54]. The rate of infiltration tends to stabilize as runoff stabilizes. The deposition of sediment by the collapse of furrows results in the initial depression storage initiating runoff generation and the associated transportation of sediments. The different tillage approaches result in reductions in total runoff [55]. Similarly, the roughness of the surface soil increases flow confluence. The breakdown of the surface microtopography results in the appearance of rills and head fall, thereby gradually increasing the yield of sediment and the volume of runoff.

Figure 7.
Runoff rate (a) and sediment rate (b) time series for different surface roughnesses resulting from tillage practices, under the rainfall intensity of 90 mm h−1. CD, AD, MH, CP, and CK represent contour drilling, artificial digging, manual hoeing, contour plowing, and smooth surface (control), respectively.
Authors should discuss the results and how they can be interpreted from the perspective of previous studies and of the working hypotheses. These findings and their implications should be discussed in the broadest context possible. Future research directions should also be highlighted.
4.4. Increase in Sediment and Runoff by Surface Roughness
When the slope gradient was >5° and the rainfall intensity reached 120 mm h−1, the sediment yield in the CP treatment increased compared to the control. Similarly, in the case of rainfall intensities >90 mm h−1 and slope gradients >15°, the sediment yield in the CP and MH treatments increased compared to the control. The results indicate that with increases in the slope gradient and rainfall intensity, tillage-induced surface roughness gradually played a role in promoting runoff and sediment generation on sloping surfaces. Luo et al. [56] demonstrated that ridge tillage had a more considerable limiting effect on water erosion; once the ridge collapsed, however, the tillage practice could even accelerate soil erosion, which is consistent with our finding under the CD treatment.
Higher slope gradients can easily break down surface microtopography, increasing rill depth, width and density [57]. For example, upslope area sediment depositions relatively increase the height of the depressional area; the raindrop effect relatively decreases height in mound areas; and runoff scouring results in the failure of ridges and the development of a surface rill network. All the above changes could change the processes and mechanisms of the erosion of soil, increasing variations in water and soil losses. Consequently, during rainfall there is an increase in runoff connectivity on a tilled surface [14,58]. He et al. [59] observed that an increase in the slope gradient promoted the fragmentation and vertical and headward erosions of rill on sloped surfaces. In addition, an increase in the slope gradient created a stable maximum value in total erosion, which implied the presence of a potential gradient of slope under which soil erosion began to decline. Furthermore, dynamic erosion and flow characteristics change considerably with rill occurrence and development (Figure 8).
Figure 8.
Runoff plots of different tillage treatments after simulated rainfall. Plots were treated under the intensity of rainfall of 90 mm h−1 and at the gradient of slope of 20°.
Although Ding and Huang [57] obtained similar results, as reported here, they only selected one slope gradient (10°) and one tillage practice (simulating chisel-tool tillage). Moreover, He et al. [59] selected four slope gradients, but they did not include any tillage treatment. In contrast, the current study selected four typical tillage practices and five slope gradients, based on the situation in the LP region. In addition, we have presented insights that are more comprehensive on the anti-erosion effects of tillage on sloping farmland. Because of the flow confluence effect, flow rate and rill flow are increased [41]. Furthermore, with the increase in runoff soil’s carrying capacity, the slope erosion is increased. Therefore, the reduction effect of the roughness of the surface soil on sediment yield and runoff volume is diminished and transformed by increasing the slope gradient. Zhao et al. [23] also demonstrated such transformation; they observed that soil erosion reduction only occurred during erosion by overland flow because of the deposition of soil in depressions. Furthermore, mounds and depressions facilitate the generation of rill and enhance the erosion of soil in the following rainfall stages under tillage with mounds and depressions (e.g., AD). However, regarding the effect of tillage with ridges and furrows (e.g., CD), the results of the above studies were inconsistent with ours. We observed that sediment yield hydrographs of tillage treatments gradually became higher than that of CK by increasing the slope gradient (Figure 7), and that the sediment yield (except under AD) exhibited a similar trend (Figure 4). This result indicated that surface roughness had a promoting effect on sediment generation at higher slope gradients.
5. Conclusions
In this work, we evaluated the anti-erosion impacts of different typical tillage techniques on the sloping farmlands of LP, China. The results revealed interactive effects among the three factors on soil erosion, which facilitated a more comprehensive understanding of the anti-erosion effects of the surface roughness on the sloping farmlands in plateau regions.
The surface roughness limited runoff and sediment generation; however, there was a substantial difference in the effect on the sediment yield, with changing the slope gradient and the rainfall intensity. The interaction between the rainfall intensity and surface roughness always had a runoff reduction effect, irrespective of the slope gradient. In contrast, there was a critical slope gradient between 5° and 10°, where the interactive effect of the rainfall intensity and surface roughness shifted from limiting to promoting sediment generation. The interaction between the slope gradient and surface roughness also had a runoff reduction effect, which diminished with an increase in the rainfall intensity. However, their interaction had inconsistent effects on the sediment yield, which shifted from limiting to promoting sediment generation at a critical slope gradient between 10° and 15°. To summarize, the anti-erosion of surface roughness was gradually weakened as the slope gradient and rain intensity was increased.
Based on the results of a comprehensive analysis of the interactions among all three factors, we concluded that the total positive effect of the slope gradient and rainfall intensity was greater than the negative effect of the surface roughness on the yield of sediment and runoff volume. The interaction among the three factors, therefore, played a role in promoting runoff and sediment generation. The critical slope gradient for an interactive effect was 5° with regard to the sediment yield and 10° with regard to the runoff volume.
Author Contributions
Data curation, T.L. and Y.W.; Formal analysis, T.L.; Funding acquisition, F.W.; Investigation, T.L. and Y.W.; Methodology, T.L. and F.W.; Project administration, F.W.; Resources, F.W.; Supervision, F.W.; Validation, T.L.; Writing—original draft, T.L.; Writing—review & editing, Y.W. and F.W. All authors have read and agreed to the published version of the manuscript.
Funding
This research was funded by the National Natural Science Foundation of China (41977065) and the University’s Scientific Research Start-up Fund (WGKQ2021064).
Institutional Review Board Statement
Not applicable.
Informed Consent Statement
Written informed consent has been obtained from the patient(s) to publish this paper.
Data Availability Statement
The data that support the findings of this study are available from the corresponding author upon reasonable request.
Acknowledgments
This work was financially supported by the National Natural Science Foundation of China (41977065) and the university’s scientific research start-up fund (WGKQ2021064). The authors gratefully acknowledge Z. Wang, Q. Lin, J. Sun, L. Hou, and Y. Wang for their rainfall simulation assistance.
Conflicts of Interest
The authors declared that they have no conflict of interest.
References
- Gao, H.D.; Li, Z.B.; Jia, L.L.; Li, P.; Xu, G.C.; Ren, Z.P.; Pang, G.W.; Zhao, B.H. Capacity of soil loss control in the Loess Plateau based on soil erosion control degree. J. Geogr. Sci. 2016, 26, 457–472. [Google Scholar] [CrossRef] [Green Version]
- Wu, F.Q.; Shi, D.M. Agricultural Technology of Soil and Water Conservation; Science Press: Beijing, China, 2012. [Google Scholar]
- Cogo, N.P.; Moldenhaver, W.C.; Foster, G.R. Effect of crop residue, tillage induced roughness and runoff velocity on size distribution of eroded soil aggregates. Soil Sci. Soc. Am. J. 1983, 47, 1005–1008. [Google Scholar] [CrossRef]
- Zhao, L.S.; Liang, X.L.; Wu, F.Q. Soil surface roughness change and its effect on runoff and erosion on the Loess Plateau of China. J. Arid. Land 2014, 6, 400–409. [Google Scholar] [CrossRef] [Green Version]
- Takken, I.; Govers, G.; Jetten, V.; Nachtergaele, J.; Steegen, A.; Poesen, J. Effects of tillage on runoff and erosion patterns. Soil Tillage Res. 2001, 61, 55–60. [Google Scholar] [CrossRef]
- Rai, R.K.; Upadhyay, A.; Singh, V.P. Effect of variable roughness on runoff. J. Hydrol. 2010, 382, 115–127. [Google Scholar] [CrossRef]
- Darboux, F.; Huang, C. Does soil surface roughness increase or decrease water and particle transfers. Soil Sci. Soc. Am. J. 2005, 69, 748–756. [Google Scholar] [CrossRef] [Green Version]
- Huang, C.H. Sediment regimes under different slope and surface hydrologic conditions. Soil Sci. Soc. Am. 1998, 62, 423–430. [Google Scholar] [CrossRef]
- Wang, X.Y.; Bi, B.X.; Gao, L.B.; Chang, Y.F.; Xu, H.S. Discrimination of factors influencing the runoffs of different spatial scales on loess region in Western Shanxi. J. Northwest AF Univ. 2014, 42, 159–166. [Google Scholar]
- Marzen, M.; Iserloh, T.; Lima, J.D.; Fister, W.; Ries, J.B. Impact of severe rain storms on soil erosion: Experimental evaluation of wind-driven rain and its implications for natural hazard management. Sci. Total Environ. 2017, 590–591, 502. [Google Scholar] [CrossRef]
- Arshad, R.R.; Mahmoodabadi, M.; Farpoor, M.H.; Fekri, M. Experimental investigation of rain-induced splash and wash processes under wind-driven rain—Sciencedirect. Geoderma 2019, 337, 1164–1174. [Google Scholar] [CrossRef]
- Liu, Y.; Xin, Y.; Xie, Y.; Wang, W. Effects of slope and rainfall intensity on runoff and soil erosion from furrow diking under simulated rainfall. Catena 2019, 177, 92–100. [Google Scholar] [CrossRef]
- Wang, J.; Wu, F.Q.; Meng, Q.Q. Analysis on Mechanism of Soil and Water Conservation Farming Measures. Soil Water Conserv. China 2005, 2, 13–15. [Google Scholar]
- Darboux, F.; Davy, P.; Gascuel-Odoux, C.; Huang, C. Evolution of soil surface roughness and flowpath connectivity in overland flow experiments. Catena 2002, 46, 125–139. [Google Scholar] [CrossRef]
- Idowu, O.J.; Rickson, R.J.; Godwin, R.J. Analysis of surface roughness in relation to soil loss and runoff at high rainfall intensities. Hydrol. Processes 2002, 16, 2339–2345. [Google Scholar] [CrossRef] [Green Version]
- Zheng, Z.C.; Wu, F.Q.; He, S.Q. Effect of cultivation management on runoff. Soils 2004, 36, 327–330. (In Chinese) [Google Scholar]
- Helming, K.; Römkens, M.J.M.; Prasad, S.N. Surface Roughness Related Processes of Runoff and Soil Loss: A Flume Study. Soil Sci. Soc. Am. J. 1998, 62, 243–250. [Google Scholar] [CrossRef]
- Roberto, D.R.J.P.; Bhattarai, R.; Fernandes, R.B.A.; Kalita, P.K.; Vaz Andrade, F. Soil surface roughness under tillage practices and its consequences for water and sediment losses. J. Soil Sci. Plant Nutr. 2016, 16, 1065–1074. [Google Scholar] [CrossRef] [Green Version]
- Zheng, Z.C.; Wu, F.Q.; He, S.Q.; Wang, J.; She, D. Effects of soil surface roughness on runoff and sediment discharges with laboratory experiments. Trans. Chin. Soc. Agric. Eng. 2007, 10, 19–24. [Google Scholar]
- Wang, T.; Ren, Z.P.; Li, P.; Zhang, H.; Su, Y.Y.; Zhi, Z.X.; Ma, T.T.; Sun, Q. Effect of slope gradient and surface roughness on runoff and sediment yield under simulated rainfall. J. Soil Water Conserv. 2016, 30, 1–6. (In Chinese) [Google Scholar]
- Wang, Z.G.; Wei, Z.Y.; Duan, X.M.; Gao, C.Z.; Wang, C.H. Study on slope field erosion under simulated rainfall on Loess Broken Plateau—The comprehensive analysis of factor effected on rill erosion. J. Soil Water Conserv. 1995, 2, 51–57. [Google Scholar]
- Chaplot, V.A.M.; Bissonnais, Y.L. Runoff Features for Interrill Erosion at Different Rainfall Intensities, Slope Lengths, and Gradients in an Agricultural Loessial Hillslope. Soil Sci. Soc. Am. J. 2003, 67, 844–851. [Google Scholar] [CrossRef]
- Zhao, L.S.; Hou, R.; Wu, F.Q. Effect of tillage on soil erosion before and after rill development. Land Degrad. Dev. 2017, 29, 2506–2513. [Google Scholar] [CrossRef]
- Zheng, Z.C.; Qin, F.; Li, T.X. Changes in soil surface microrelief of purple soil under different slope gradients and its effects on soil erosion. Trans. Chin. Soc. Agric. Eng. 2015, 31, 168–175. (In Chinese) [Google Scholar]
- Xie, J.Q. Sloping Farmland in China; Chinese Earth Press: Beijing, China, 2005. [Google Scholar]
- Chang, Q.; Yan, X.; Lei, M.; Gao, Y.; Cui, Y. The discussion on Lou soil position in soil classification. Northwest Sci. Tech. Univ. Agric. For. 2001, 29, 48–52. [Google Scholar]
- Wang, L.H.; Dalabay, N.; Lu, P.; Wu, F.Q. Effects of tillage practices and slope on runoff and erosion of soil from the Loess Plateau, China, subject to simulated rainfall. Soil Tillage Res. 2017, 166, 147–156. [Google Scholar] [CrossRef]
- Fu, B. Soil erosion and its control in the loess plateau of China. Soil Use Manag. 1989, 5, 76–82. [Google Scholar] [CrossRef]
- Li, T.T.; Zhao, L.S.; Duan, H.T.; Yang, Y.F.; Wang, Y.; Wu, F.Q. Exploring the interaction of surface roughness and slope gradient in controlling rates of soil loss from sloping farmland on the Loess Plateau of China. Hydrol. Processes 2020, 34, 339–354. [Google Scholar] [CrossRef]
- Laws, J.O. Measurements of the fall-velocity of water -drops and raindrops. Trans. Am. Geophys. Union 1941, 22, 709–721. [Google Scholar] [CrossRef]
- Mhaske, S.N.; Pathak, K.; Basak, A. A comprehensive design of rainfall simulator for the assessment of soil erosion in the laboratory. Catena 2019, 172, 408–420. [Google Scholar] [CrossRef]
- Wu, Q.; Wang, L.; Wu, F. Tillage—Impact on infiltration of the Loess Plateau of China. Acta Agric. Scand. Sect. B Soil Plant Sci. 2014, 64, 341–349. [Google Scholar] [CrossRef]
- Aksoy, H.; Unal, N.E.; Cokgor, S.; Gedikli, A.; Yoon, J.; Koca, K.; Inci, S.B.; Eris, E. A rainfall simulator for laboratory-scale assessment of rainfall-runoff-sediment transport processes over a two-dimensional flume. Catena 2012, 98, 63. [Google Scholar] [CrossRef]
- Du, J.J.; Chen, Z.W. The method of path analysis by SPSS linear regression. Bull. Biol. 2010, 45, 4–6. [Google Scholar]
- Dexter, A.R. Effect of rainfall on the surface micro-relief of tilled soil. J. Terramechanics 1977, 14, 11–22. [Google Scholar] [CrossRef]
- Römkens, M.J.M.; Wang, J.Y. Effect of tillage on surface roughness. Trans. ASAE 1986, 29, 429–433. [Google Scholar] [CrossRef]
- De Oro, L.A.; Buschiazzo, D.E. Degradation of the soil surface roughness by rainfall in two loess soils. Geoderma 2011, 164, 46–53. [Google Scholar] [CrossRef]
- Darboux, F.; Gascuel-Odoux, C.; Davy, P. Effects of surface water storage by soil roughness on overland-flow generation. Earth Surf. Processes Landf. 2002, 27, 223–233. [Google Scholar] [CrossRef]
- Gomez, J.A.; Darboux, F.; Nearing, M.A. Development and evolution of rill networks under simulated rainfall. Water Resour. Res. 2003, 39, 1148–1162. [Google Scholar] [CrossRef] [Green Version]
- Magunda, M.K.; Larson, W.E.; Linden, D.R.; Nater, E.A. Changes in microrelief and their effects on infiltration and erosion during simulated rainfall. Soil Technol. 1997, 10, 57–67. [Google Scholar] [CrossRef]
- Wang, L.S.; Cai, Q.G.; Cai, C.F.; Sun, L.Y. Morphological changes of rill on loess slope and it relationship with flow velocity. Trans. Chin. Soc. Agric. Eng. 2014, 30, 110–117. (In Chinese) [Google Scholar]
- Panagos, P.; Ballabio, C.; Borrelli, P.; Meusburger, K.; Klik, A.; Rousseva, S. Rainfall erosivity in Europe. Sci. Total Environ. 2015, 511, 801–814. [Google Scholar] [CrossRef] [Green Version]
- Cuomo, S.; Della Sala, M.; Novità, A. Physically based modelling of soil erosion induced by rainfall in small mountain basins. Geomorphology 2015, 243, 106–115. [Google Scholar] [CrossRef]
- Luo, C.Y.; Tu, S.H.; Pang, L.Y.; Huang, J.J.; Lin, C.W. Effect of Rain Intensity on Nutrient Losses from Sloping Land of Purple Soil. J. Soil Water Conserv. 2009, 23, 24–27. [Google Scholar]
- Zhang, J.Q.; Wang, H.; Zhang, R.F.; Zhou, D.M. Effect of rain intensity on nutrient loss of rainfall in sloping gneiss area. J. Soil Water Conserv. 2014, 28, 42–45. [Google Scholar]
- Wu, P.T.; Zhou, P.H. Study on the relationship between land slope and sheet flow erosion. Bull. Soil Water Conserv. 1993, 13, 1–5. [Google Scholar]
- Cheng, X.A.; Cai, Q.G.; Zhang, L.C.; Qi, J.Y.; Zheng, M.G.; Nie, B.B. Research in critical slope of soil erosion in a hilly loess region on the Loess Plateau. J. Mt. Sci. 2010, 28, 415–421. [Google Scholar]
- Tan, Z.X.; Wang, Z.L.; Wang, S.; Liu, J.E. Rill erosion processes on loess hillslope. Sci. Soil Water Conserv. 2012, 10, 1–5. [Google Scholar] [CrossRef]
- Locke, M.A.; Krutz, L.J.; Steinriede, R.W.; Testa, S. Conservation management improves runoff water quality: Implications for environmental sustainability in a glyphosate-resistant cotton production system. Soil Sci. Soc. Am. J. 2015, 79, 660–671. [Google Scholar] [CrossRef]
- Rhoton, F.E.; Shipitalo, M.J.; Lindbo, D.L. Runoff and soil loss from midwestern and southeastern US silt loam soils as affected by tillage practice and soil organic matter content. Soil Tillage Res. 2002, 66, 1–11. [Google Scholar] [CrossRef]
- Kinnell, P.I.A.; Wood, J.T. Isolating Erosivity and Erodibility Components in Erosion by Rain-Impacted Flow. Trans. ASAE 1992, 35, 201–205. [Google Scholar] [CrossRef]
- Erpul, G. Raindrop and flow interactions for interrill erosion with wind-driven rain. J. Hydraul. Res. 2013, 51, 548–557. [Google Scholar] [CrossRef]
- Erpul, G.; Gabriels, D.; Norton, L.D.; Flanagan, D.C.; Huang, C.; Visser, S.M. Mechanics of interrill erosion with wind-driven rain. Earth Surf. Processes Landf. 2013, 38, 160–168. [Google Scholar] [CrossRef]
- Erpul, G.; Norton, L.D.; Gabriels, D. Splash-saltation trajectories of soil particles under wind-driven rain. Geomorphology 2004, 59, 31–42. [Google Scholar] [CrossRef]
- Liu, Q.J.; Zhang, H.Y.; An, J.; Wu, Y.Z. Soil erosion processes on row sideslopes within contour ridging systems. Catena 2014, 115, 11–18. [Google Scholar] [CrossRef]
- Luo, J.; Zheng, Z.; Li, T.; He, S. Spatial heterogeneity of microtopography and its influence on the flow convergence of slopes under different rainfall patterns. J. Hydrol. 2017, 545, 88–99. [Google Scholar] [CrossRef]
- Ding, W.F.; Huang, C.H. Effect of soil surface roughness on interrill erosion process and sediment particle size distribution. Geomorphology 2017, 295, 801–810. [Google Scholar] [CrossRef]
- Antoine, M.; Javaux, M.; Bielders, C. What indicators can capture runoff-relevant connectivity properties of the micro-topography at the plot scale? Adv. Water Resour. 2009, 32, 1297–1310. [Google Scholar] [CrossRef]
- He, J.J.; Sun, L.Y.; Gong, H.L.; Cai, Q.G.; Jia, L.J. The characteristics of rill development and their effects on runoff and sediment yield under different slope gradients. J. Mt. Sci. 2016, 13, 397–404. [Google Scholar] [CrossRef]
Publisher’s Note: MDPI stays neutral with regard to jurisdictional claims in published maps and institutional affiliations. |
© 2022 by the authors. Licensee MDPI, Basel, Switzerland. This article is an open access article distributed under the terms and conditions of the Creative Commons Attribution (CC BY) license (https://creativecommons.org/licenses/by/4.0/).








