Effect of Different Combustion Modes on the Performance of Hydrogen Internal Combustion Engines under Low Load
Abstract
:1. Introduction
1.1. Research Background
1.2. Development Status of HICE
2. Materials and Methods
2.1. Three-Dimensional Model of HICE
2.2. CFD Model and Reaction Mechanism
2.3. Model Verification
3. Results
3.1. Combustion Characteristics
3.1.1. Variation of OH Concentration
3.1.2. Variation of In-Cylinder Pressure
3.1.3. Variation of In-Cylinder Temperature
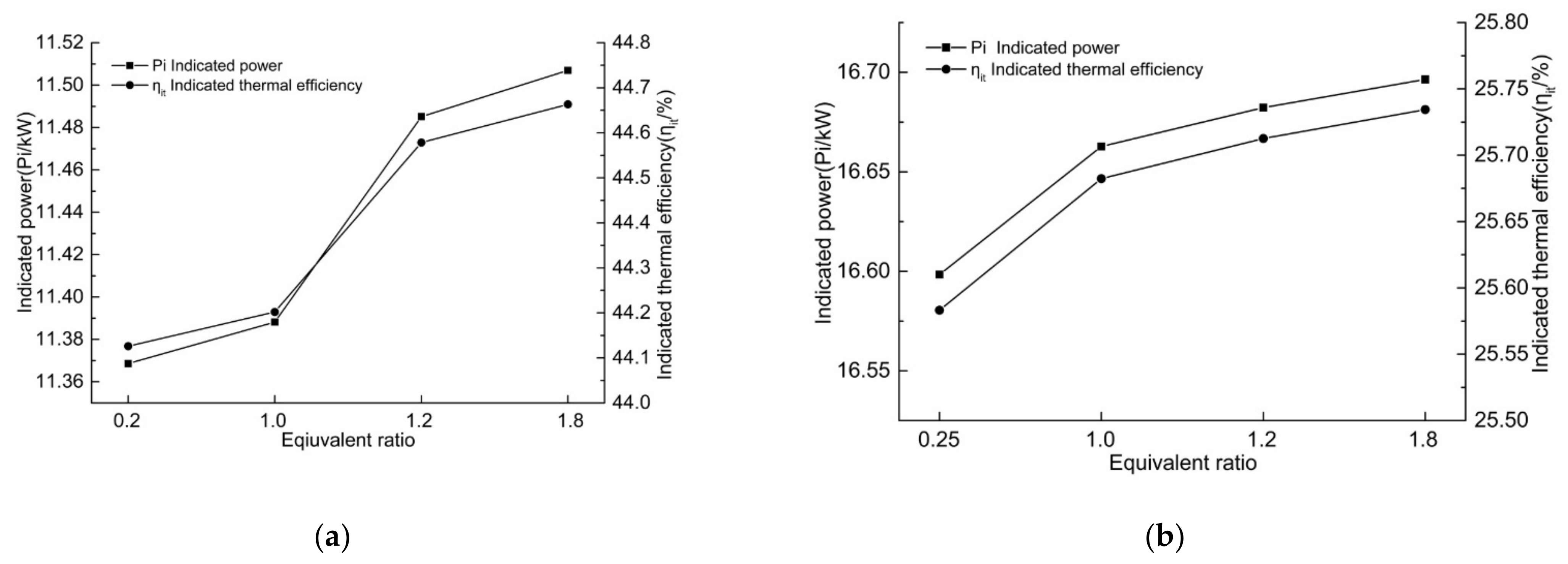
3.1.4. Variations of Indicated Power and Indicated Thermal Efficiency
3.2. Emission Characteristics and Mechanism
3.2.1. Distribution of NO Concentration during Rapid Combustion
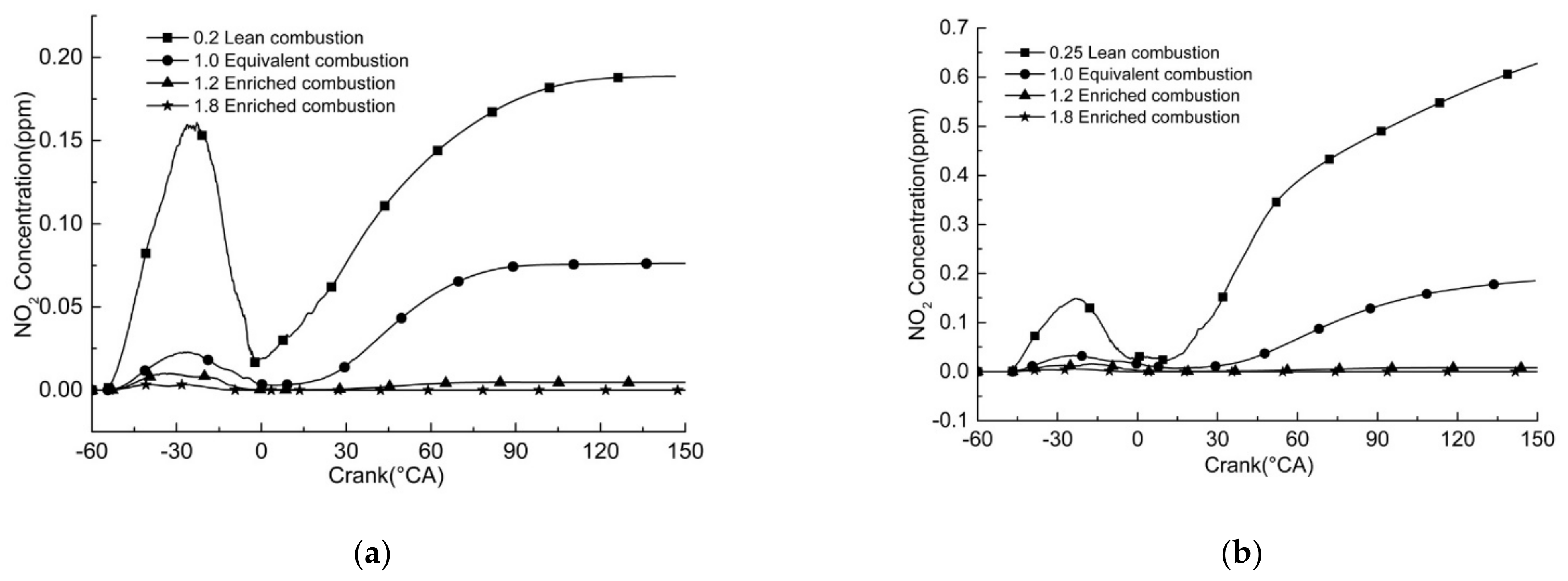
3.2.2. Formation of NO2 and N2O
4. Conclusions
Author Contributions
Funding
Institutional Review Board Statement
Informed Consent Statement
Data Availability Statement
Conflicts of Interest
References
- British Petroleum Company. BP World Energy Yearbook. Available online: https://www.bp.com/zh_cn/china/reports-and-publications/_bp2017.html (accessed on 5 May 2017).
- Wang, J. Urban automobile exhaust emission and environmental pollution and its prevention and control countermeasures. Sci. Technol. Inf. 2013, 1, 445–446. [Google Scholar]
- Xing, L.; Su, X. Spatial and temporal distribution characteristics of air quality index in Central Plains Urban agglomeration. J. North China Univ. Water Resour. Electr. Power (Soc. Sci. Ed.) 2017, 33, 38–44. [Google Scholar]
- Beatty, T.; Shimshack, J.P. Air pollution and children’s respiratory health: A cohort analysis. J. Environ. Econ. Manag. 2014, 67, 39–57. [Google Scholar] [CrossRef]
- Jacquemin, B.; Kauffmann, F.; Pin, I.; Le Moual, N.; Bousquet, J.; Gormand, F.; Just, J.; Nadif, R.; Pison, C.; Vervloet, D.; et al. Air pollution and asthma control in the epidemiological study on the genetics and environment of asthma. J. Epidemiol. Community Health 2012, 66, 796. [Google Scholar] [CrossRef] [Green Version]
- Meng, X.; Wang, C.; Cao, D.; Wong, C.-M.; Kan, H. Short-term effect of ambient air pollution on COPD mortality in four Chinese cities. Atmos. Environ. 2013, 77, 149–154. [Google Scholar] [CrossRef]
- Gauderman, W.J.; Vora, H.; McConnell, R.; Berhane, K.; Gilliland, F.; Thomas, D.; Lurmann, F.; Avol, E.; Kunzli, N.; Jerrett, M.; et al. Effect of exposure to traffic on lung development from 10 to 18 years of age: A cohort study. Lancet 2007, 369, 571–577. [Google Scholar] [CrossRef]
- Kheirbek, I.; Wheeler, K.; Walters, S.; Kass, D.; Matte, T. PM2.5 and ozone health impacts and disparities in New York City: Sensitivity to spatial and temporal resolution. Air Qual. Atmos. Health 2013, 6, 473–486. [Google Scholar] [CrossRef] [Green Version]
- Liu, X. On the prospect of non-petroleum fuel vehicle engine. Automob. Technol. 2002, 3, 13–14. [Google Scholar]
- Mao, Z. Hydrogen-Green Energy of 21th Century; Chemical Industry Press: Beijing, China, 2005; pp. 24–29. [Google Scholar]
- Zhang, Q. Experimental Investigation on the Combustion and Emission Characteristics of Alcohol-Fueled Engine with Hydrogen Addition; Beijing University of Technology: Beijing, China, 2017. [Google Scholar]
- Junjun, Z.; Xinqi, Q.; Zhen, W.; Bin, G.; Zhen, H. Experimental investigation of low temperature combustion (ltc) in an engine fueled with dimethyl ether (DME). Energy Fuels 2009, 23, 170–174. [Google Scholar] [CrossRef]
- Wang, Y.; Guo, Z.; He, L.; Li, W.; Zhou, L. Study on PCCI-DI combustion in dimethyl ether engine. Trans. Csice 2008, 4, 170–174. [Google Scholar]
- Li, B. Research progress of methanol and dimethyl ether as alternative fuels. Shanghai Auto 2004, 5, 36–39. [Google Scholar]
- Wu, J.; Wu, J.; Liu, H. Research status and prospect of methanol as alternative fuel for diesel engines. Energy Conserv. Technol. 2021, 39, 9–14. [Google Scholar]
- Gao, Y. The Research of the Effects of Alcohol Fuel on the Single-Cylinder Two-Stroke Gasoline Engine; Beijing Forestry University: Beijing China, 2010. [Google Scholar]
- Ke, W. Vigorously develop alcohol fuels to replace traditional energy. Chin. J. Bioeng. 2007, 3, 501. [Google Scholar]
- Liu, Z. Feasibility Analysis of Based Alternative Fuel Vehicles; Jilin University: Jilin, China, 2004. [Google Scholar]
- Wang, J. Investigation into In-Cylinder Gas Movement and Combustion of Dme Engine; Shanghai Jiao Tong University: Shanghai, China, 2016. [Google Scholar]
- Han, Z. Rationality analysis of dimethyl ether as alternative fuel. Shandong Chem. Ind. 2014, 43, 115–117. [Google Scholar]
- Zhang, W. Research on Characteristics of Diaphragm Pump for the Fuel Injection System of Dimethyl ether Engine; Wuhan University of Science and Technology: Wuhan, China, 2011. [Google Scholar]
- Huang, J. Dimethyl ether replaces automotive fuel to speed up the process. China Environ. News 2006, 7, 18. [Google Scholar]
- Xiao, Y. Energy conservation and emission reduction drive the promising natural gas vehicle market. New Mater. Ind. 2010, 7, 63–67. [Google Scholar]
- Grzesik, Z.; Smola, G.; Adamaszek, K. High temperature corrosion of valve steels in combustion gases of petrol containing ethanol addition. Corros. Sci. 2013, 77, 369–374. [Google Scholar] [CrossRef]
- Thiruvengadam, A.; Besch, M.; Padmanaban, V.; Pradhan, S.; Demirgok, B. Natural gas vehicles in heavy-duty transportation-a review. Energy Policy 2018, 122, 253–259. [Google Scholar] [CrossRef]
- Chong, Z.R.; Yang, S.H.B.; Babu, P.; Linga, P.; Li, X.S. Review of natural gas hydrates as an energy resource: Prospects and challenges. Appl. Energy 2016, 162, 1633–1652. [Google Scholar] [CrossRef]
- Du, G. Study on the Expansion of High Efficiency and Stable Operation Range of Compression Ignition Natural Gas Engine; Jilin University: Jilin, China, 2021. [Google Scholar]
- Lin, l.; Xu, M. Effect of initial temperature on combustion characteristics of biomass diesel oil. Fire Sci. Technol. 2019, 38, 462–464. [Google Scholar]
- Wang, C.; Cui, F.; Song, Y. Research status and development prospect of biodiesel. China Oils Fats 2014, 39, 44–48. [Google Scholar]
- Bai, X. Study on Combustion and Emissions Characteristics of a Hydrogen Fueled Internal Combustion Engine under Cold Start Conditions; Beijing University of Technology: Beijing, China, 2019. [Google Scholar]
- Zhang, Y.; Luo, Q.; Liu, F. Research Status and Prospect of Hydrogen Fuel internal Combustion Engine. Small Inernal Combust. Engine Motorcycle 2007, 36, 70–73. [Google Scholar]
- Zhao, P.; Zhang, H. analysis of application prospect for hydrogen combustion engines. China Resour. Compr. Util. 2020, 38, 72–74. [Google Scholar]
- Yilancia, A.; Dincer, I.; Ozturk, H.K. A review on solar-hydrogen/fuel cell hybrid energy systems for stationary applications. Prog. Energy Combust Sci. 2009, 35, 231–244. [Google Scholar] [CrossRef]
- Yu, C.; Zhang, X.; Zhang, K.; Liu, Y.; Shen, Y. Application and development of small hydrogen fuel cell. Chin. Battery Ind. 2021, 25, 317–320. [Google Scholar]
- Zhu, Y.; Huang, X.; Chen, H.; Ni, P.; Zhang, X. Development status and prospect of hydrogen internal combustion engine. Mod. Chem. Res. 2021, 24, 5–7. [Google Scholar]
- Xu, H. Application status and development trend of hydrogen fuel cell technology. Sci. Technol. Innov. 2019, 2, 160–161. [Google Scholar]
- Wang, Y. Numerical Simulation of Fatigue Crack Growth of Proton Exchange Membrane for Hydrogen Fuel Cells; Tianjin University: Tianjin, China, 2020. [Google Scholar]
- Cheng, Y. Application status and development trend of hydrogen fuel cell technology. Green Pet. Petrochem. 2018, 3, 5–13. [Google Scholar]
- Sun, B.; Bao, L.; Luo, Q. Development and Trends of Direct Injection Hydrogen Internal Combustion Engine Technology. J. Automot. Saf. Energy 2021, 12, 265–278. [Google Scholar]
- Yao, F.; Jia, Y.; Mao, Z.Q. The cost analysis of hydrogen life cycle in China. Int. J. Hydrogen Energy 2010, 35, 2727–2731. [Google Scholar] [CrossRef]
- Wang, L.; Yang, Z.; Si, A.; Ge, L. Development and prospect of hydrogen fuel internal combustion engine. Small Intern. Combust. Engines Motorcycl. 2009, 35, 230–244. [Google Scholar]
- Ma, F.; Liu, H.; Li, Y.; Wang, Y.; Zhao, S. Internal combustion characteristics of hydrogen internal combustion engine. Intern. Combust. Engine Eng. 2008, 1, 29–33. [Google Scholar]
- Sun, B.; Zhang, D.; Liu, F. Cycle variation characteristics of hydrogen internal combustion engine. Combust. Sci. Technol. 2013, 19, 311–316. [Google Scholar]
- Sun, B.; Zhang, D.; Liu, F. Evaluation method for cycle variation characteristics of hydrogen internal combustion engine. Trans. CSICE 2013, 31, 133–138. [Google Scholar]
- Ji, C.; Yan, H.; Wang, S.; Zhang, Q.; Zhang, M.; Zhou, X. Simulation study on thin combustion performance of gasoline mixed hydrogen Internal combustion Engine. J. Beijing Univ. Technol. 2012, 38, 417–422. [Google Scholar]
- Sun, D.; Liu, F.; Sun, B.; Zhou, L. Experimental study on the effect of hot EGR on performance and emission of hydrogen combustion engine. Trans. CSICE 2009, 27, 134–139. [Google Scholar]
- Ren, T.; Guo, H.; Chu, C. Effect of different EGR on combustion characteristics of hydrogen internal combustion engine. Automob. Appl. Technol. 2014, 2, 29–32. [Google Scholar]
- Liu, F. CFD Study on Hydrogen Engine Mixture Formation and Combustion; Cuvillier Press: Goettingen, Germany, 2004. [Google Scholar]
- Duan, J. Combustion and Emission Formation Mechanisms of Hydrogen Fueled Internal Combustion Engine under Dilution Condition; Beijing Institute of Technology: Beijing, China, 2015. [Google Scholar]
- Fan, Y. Study on Combustion and Emission Characteristics of Hydrogen under Thermal EGR; Beijing Institute of Technology: Beijing, China, 2016. [Google Scholar]
- Hao, J.; Sun, B. Research on improving the compression ratio of hydrogen internal combustion engines by using exhaust gas recirculation and miller cycle. Chin. Intern. Combust. Engine Eng. 2021, 42, 52–59. [Google Scholar]
- Sharma, P.K.; Sharma, D.; Soni, S.L.; Jhalani, A.; Singh, D.; Sharma, S. Characterization of the hydrogen fueled compression ignition engine under dual fuel mode: Experimental and numerical simulation. Int. J. Hydrogen Energy 2020, 45, 8067–8081. [Google Scholar] [CrossRef]
- Sharma, P.K.; Sharma, D.; Soni, S.L.; Jhalani, A.; Singh, D.; Sharma, S. Energy, and emission analysis of a hydroxyl fueled compression ignition engine under dual fuel mode. Fuel 2020, 265, 116923. [Google Scholar] [CrossRef]
- Sun, D.; Liu, F. Research on the performance and emission of a port fuel injection hydrogen internal combustion engine. In Proceedings of the International Conference on Computer Distributed Control and Intelligent Environmental Monitoring, Changsha, China, 19–20 February 2011; pp. 963–966. [Google Scholar]
- Duan, J.; Yang, Z.; Sun, B.; Chen, W.; Wang, L. Study on the NOx emissions mechanism of an HICE under high load. Int. J. Hydrog. Energy 2017, 42, 22027–22035. [Google Scholar] [CrossRef]
- Sun, B.; Zhao, J.; Zhao, L. Experimental study on NOx emission characteristics of hydrogen combustion engine. Intern. Combust. Engine Eng. 2011, 32, 53–56. [Google Scholar]
- Conaire, M.Ó.; Curran, H.J.; Simmie, J.M.; Pitz, W.J.; Westbrook, C.K. A comprehensive modeling study of hydrogen oxidation. Int. J. Chem. Kinet. 2004, 36, 603–622. [Google Scholar] [CrossRef]











| Parameters | Value |
|---|---|
| Fuel type | Hydrogen |
| Ignition mode | Spark ignition |
| Displacement/L | 2.0 |
| Fuel supply mode | Port fuel injection |
| Cylinder number | 4 |
| Bore/mm | 86 |
| Stroke/mm | 86 |
| Compression ratio | 10:1 |
| Intake valve open degree | −368 °CA |
| Intake valve close degree | −128 °CA |
| Exhaust valve open degree | −560 °CA |
| Exhaust valve open degree | −354 °CA |
Publisher’s Note: MDPI stays neutral with regard to jurisdictional claims in published maps and institutional affiliations. |
© 2022 by the authors. Licensee MDPI, Basel, Switzerland. This article is an open access article distributed under the terms and conditions of the Creative Commons Attribution (CC BY) license (https://creativecommons.org/licenses/by/4.0/).
Share and Cite
Wei, W.; He, X.; Zhu, H.; Duan, J.; Qin, G. Effect of Different Combustion Modes on the Performance of Hydrogen Internal Combustion Engines under Low Load. Sustainability 2022, 14, 6095. https://doi.org/10.3390/su14106095
Wei W, He X, Zhu H, Duan J, Qin G. Effect of Different Combustion Modes on the Performance of Hydrogen Internal Combustion Engines under Low Load. Sustainability. 2022; 14(10):6095. https://doi.org/10.3390/su14106095
Chicago/Turabian StyleWei, Wei, Xu He, Hairong Zhu, Junfa Duan, and Gaolin Qin. 2022. "Effect of Different Combustion Modes on the Performance of Hydrogen Internal Combustion Engines under Low Load" Sustainability 14, no. 10: 6095. https://doi.org/10.3390/su14106095
APA StyleWei, W., He, X., Zhu, H., Duan, J., & Qin, G. (2022). Effect of Different Combustion Modes on the Performance of Hydrogen Internal Combustion Engines under Low Load. Sustainability, 14(10), 6095. https://doi.org/10.3390/su14106095
