Zero Tillage, Residue Retention and System-Intensification with Legumes for Enhanced Pearl Millet Productivity and Mineral Biofortification
Abstract
:1. Introduction
2. Materials and Methods
2.1. Experiment Site, Climate, and Soil
2.2. Experimental Treatments and Crop Management
2.3. Yield Attributes and Yield Performance
2.4. Estimation of Proline Content in Plant Samples
2.5. Chemical Analysis of Plant Samples
2.6. Sampling and Estimation of Greenhouse Gas Emissions
2.7. Adaptive Trials and Technology Transfer Methodologies
2.8. Statistical Analysis
3. Results and Discussion
3.1. Yield Attributes
3.2. Yield Performance
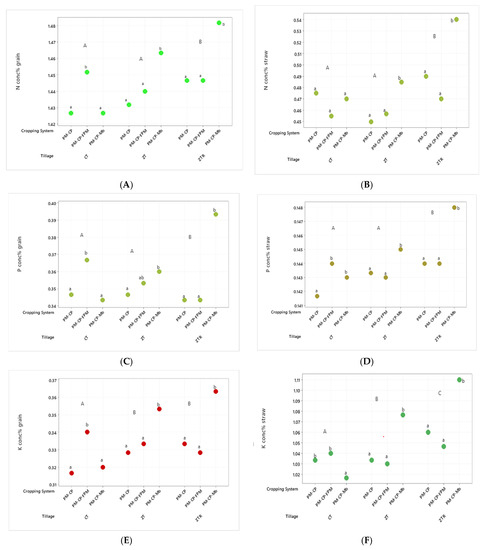
3.3. Nutrient Concentration
3.4. Total Nutrient Uptake
3.5. Micronutrient Biofortification
3.6. Greenhouse Gas Emissions
3.7. Adaptive Trials and Technology Transfer
4. Conclusions
Author Contributions
Funding
Institutional Review Board Statement
Informed Consent Statement
Data Availability Statement
Acknowledgments
Conflicts of Interest
References
- Bamboriya, S.D.; Bana, R.S.; Pooniya, V.; Rana, K.S.; Singh, Y.V. Planting density and nitrogen management effects on productivity, quality and water-use efficiency of rainfed pearl millet (Pennisetum glaucum L.) under conservation agriculture. Indian J. Agron. 2017, 62, 363–366. [Google Scholar]
- Manoj, K.N.; Shekara, B.G.; Sridhara, S.; Jha, P.K.; Prasad, P.V.V. Biomass Quantity and Quality from Different Year-Round Cereal–Legume Cropping Systems as Forage or Fodder for Livestock. Sustainability 2021, 13, 9414. [Google Scholar] [CrossRef]
- Kumar, A.; Rana, K.S.; Choudhary, A.K.; Bana, R.S.; Sharma, V.K.; Prasad, S.; Gupta, G.; Choudhary, M.; Pradhan, A.; Rajpoot, S.K.; et al. Energy budgeting and carbon footprints of zero–tilled pigeonpea–wheat cropping system under sole or dual crop basis residue mulching and Zn-fertilization in a semi-arid agro-ecology. Energy 2021, 231, 120862. [Google Scholar] [CrossRef]
- Jukanti, A.K.; Gowda, C.L.L.; Rai, K.N.; Manga, V.K.; Bhatt, R.K. Pearl Millet (Pennisetum glaucum L.): An important source of food security, nutrition and health in the arid and semi-arid tropics. Food Secur. 2016, 8, 307e29. [Google Scholar] [CrossRef]
- Louhar, G.; Bana, R.S.; Kumar, V.; Kumar, H. Nutrient management technologies of millets for higher productivity and nutritional security. Indian J. Agric. Sci. 2020, 90, 2243–2250. [Google Scholar]
- Choudhary, A.K.; Bana, R.S.; Pooniya, V.; Dass, A.; Varatharajan, T. Integrated crop management technology for enhanced productivity, resource-use efficiency and soil health in legumes–A review. Indian J. Agric. Sci. 2020, 90, 1839–1849. [Google Scholar]
- Singh, G.; Bhattacharyya, R.; Das, T.K.; Sharma, A.R.; Ghosh, A.; Das, S.; Jha, P. Crop rotation and residue management effects on soil enzyme activities, glomalin and aggregate stability under zero tillage in the Indo–Gangetic Plains. Soil Tillage Res. 2018, 184, 291–300. [Google Scholar] [CrossRef]
- Page, K.L.; Dang, Y.P.; Dalal, R.C. The ability of conservation agriculture to conserve soil organic carbon and the subsequent impact on soil physical, chemical, and biological properties and yield. Front. Sustain. Food Syst. 2020, 4, 31. [Google Scholar] [CrossRef] [Green Version]
- Das, T.K.; Bandyopadhyay, K.K.; Bhattacharyya, R.; Sudhishri, S.; Sharma, A.R.; Behera, U.K.; Saharawat, Y.S.; Sahoo, P.K.; Pathak, H.; Vyas, A.K.; et al. Effects of conservation agriculture on crop productivity and water use efficiency under an irrigated pigeonpea–wheat cropping system in the western Indo–Gangetic Plains. J. Agric. Sci. 2016, 15, 1327–1342. [Google Scholar] [CrossRef]
- Singh, U.; Choudhary, A.K.; Sharma, S. Agricultural practices modulate the bacterial communities, and nitrogen cycling bacterial guild in rhizosphere: Field experiment with soybean. J. Sci. Food Agric. 2021, 101, 2687–2695. [Google Scholar] [CrossRef] [PubMed]
- Monjardino, M.; López-Ridaura, S.; Van Loon, J.; Mottaleb, K.A.; Kruseman, G.; Zepeda, A.; Hernández, E.O.; Burgueño, J.; Singh, R.G.; Govaerts, B.; et al. Disaggregating the Value of Conservation Agriculture to Inform Smallholder Transition to Sustainable Farming: A Mexican Case Study. Agronomy 2021, 11, 1214. [Google Scholar] [CrossRef]
- Sarkar, S.; Skalicky, M.; Hossain, A.; Brestic, M.; Saha, S.; Garai, S.; Ray, K.; Brahmachari, K. Management of Crop Residues for Improving Input Use Efficiency and Agricultural Sustainability. Sustainability 2020, 12, 9808. [Google Scholar] [CrossRef]
- Parihar, C.M.; Parihar, M.D.; Sapkota, T.B.; Nanwal, R.K.; Singh, A.K.; Jat, S.L.; Nayak, H.S.; Mahala, D.M.; Singh, L.K.; Kakraliya, S.K.; et al. Long–term impact of conservation agriculture and diversified maize rotations on carbon pools and stocks, mineral nitrogen fractions and nitrous oxide fluxes in Inceptisol of India. Sci. Total Environ. 2018, 640–641, 1382–1392. [Google Scholar] [CrossRef] [PubMed]
- Bana, R.S.; Shivay, Y.S.; Sepat, S.; Rana, K.S.; Pooniya, V. Effect of summer forage crops and phosphogypsum–enriched urea on productivity of basmati rice–wheat cropping system. Res. Crop. 2013, 14, 649–653. [Google Scholar]
- Bana, R.S.; Sepat, S.; Rana, K.S.; Pooniya, V.; Choudhary, A.K. Moisture-stress management under limited and assured irrigation regimes in wheat (Triticum aestivum): Effects on crop and water productivity, grain quality, nutrient acquisition and soil fertility. Indian J. Agric. Sci. 2018, 88, 1606–1612. [Google Scholar]
- Stagnari, F.; Maggio, A.; Galieni, A.; Pisante, M. Multiple benefits of legumes for agriculture sustainability: An overview. Chem. Biol. Technol. Agric. 2017, 4, 2. [Google Scholar] [CrossRef] [Green Version]
- Zahan, T.; Hossain, M.F.; Chowdhury, A.K.; Ali, M.O.; Ali, M.A.; Dessoky, E.S.; Hassan, M.M.; Maitra, S.; Hossain, A. Herbicide in Weed Management of Wheat (Triticum aestivum L.) and Rainy Season Rice (Oryza sativa L.) under Conservation Agricultural System. Agronomy 2021, 11, 1704. [Google Scholar] [CrossRef]
- Choudhary, A.K.; Yadav, D.S.; Sood, P.; Rahi, S.; Arya, K.; Thakur, S.K.; Lal, R.; Kumar, S.; Sharma, J.; Dass, A.; et al. Post-emergence herbicides for effective weed management, enhanced wheat productivity, profitability and quality in NW Himalayas: A ‘Participatory-mode’ technology development and dissemination. Sustainability 2021, 13, 5425. [Google Scholar] [CrossRef]
- Shen, Y.; McLaughlin, N.; Zhang, X.; Xu, M.; Liang, A. Effect of tillage and crop residue on soil temperature following planting for a black soil in northeast China. Sci. Rep. 2018, 8, 4500. [Google Scholar] [CrossRef] [PubMed] [Green Version]
- Lal, R. Soil Erosion and Gaseous Emissions. Appl. Sci. 2020, 10, 2784. [Google Scholar] [CrossRef] [Green Version]
- Singh, U.; Choudhary, A.K.; Sharma, S. Comparative performance of conservation agriculture vis-a-vis organic and conventional farming in enhancing plant attributes and rhizospheric bacterial diversity in Cajanus cajan: A field study. Eur. J. Soil Biol. 2020, 99, 103197. [Google Scholar] [CrossRef]
- Powlsona, D.S.; Stirling, C.M.; Thierfelder, C.; Whited, R.P.; Jat, M.L. Does conservation agriculture deliver climate change mitigation through soil carbon sequestration in tropical agro-ecosystems? Agric. Ecosyst. Environ. 2016, 220, 164–174. [Google Scholar] [CrossRef]
- Chethan, C.R.; Singh, P.K.; Dubey, R.P.; Chander, S.; Gosh, D.; Choudhary, V.K.; Fagodiya, R.K. Crop residue management to reduce GHG emissions and weed infestation in Central India through mechanized farm operations. Carbon Manag. 2020, 6, 565–576. [Google Scholar] [CrossRef]
- Tian, S.; Wang, Y.; Ning, T.; Zhao, H.; Wang, B.; Li, N.; Li, Z.; Chi, S. Greenhouse gas flux and crop productivity after 10 years of reduced and no tillage in a wheat–maize cropping system. PLoS ONE 2013, 8, e73450. [Google Scholar] [CrossRef] [PubMed] [Green Version]
- Fagodiya, R.K.; Pathak, H.; Bhatia, A.; Jain, N.; Gupta, D.K.; Kumar, A.; Malyan, S.K.; Dubey, R.; Radhakrishanan, S.; Tomer, R. Nitrous oxide emission and mitigation from maize–wheat rotation of upper Indo–Gangetic plains. Carbon Manag. 2019, 10, 489–499. [Google Scholar] [CrossRef]
- Langeroodi, A.S.; Osipitan, O.A.; Radicetti, E. Benefits of sustainable management practices on mitigating greenhouse gas emissions in soybean crop (Glycine max). Sci. Total Environ. 2019, 660, 1593–1601. [Google Scholar] [CrossRef] [PubMed]
- Bouyoucos, G.J. A recalibration of the hydrometer method for making mechanical analysis of soils. Agronomy 1951, 43, 434–438. [Google Scholar] [CrossRef] [Green Version]
- Richards, L.A. Diagnosis and improvement of saline alkaline soils. In USDA Handbook No. 60; USDA Publication: Washington, DC, USA, 1954. [Google Scholar]
- Piper, C.S. Soil and Plant Analysis; Asia Hans Publisher: Bombay, India, 1966. [Google Scholar]
- Rana, K.S.; Choudhary, A.K.; Sepat, S.; Bana, R.S.; Dass, A. Methodological and Analytical Agronomy; Post Graduate School IARI: New Delhi, India, 2014; p. 276. [Google Scholar]
- Jackson, M.L. Soil Chemical Analysis; Prentice Hall of India Pvt. Ltd.: New Delhi, India, 1973; p. 498. [Google Scholar]
- Jackson, M.L. Soil Chemical Analysis; Prentice Hall, Inc.: Englewood Cliffs, NJ, USA, 1958; p. 498. [Google Scholar]
- Olsen, S.R.; Cole, C.L.; Watanabe, F.S.; Dean, L.A. Estimation of Available Phosphorus in Soil by Extraction with Sodium Bicarbonate; USDA Circular No. 939; USDA Publication: Washington, DC, USA, 1954; pp. 72–75. [Google Scholar]
- Piper, C.S. Soil and Plant Analysis; The University of Adelaide: Adelaide, SA, Australia, 1950; pp. 286–287. [Google Scholar]
- Bana, R.C.; Gupta, A.K.; Puniya, R.; Singh, P. Effect of zinc ferti-fortification on yield and economics of basmati rice under subtropical region of Jammu. Green Farming Int. J. 2020, 1, 52–55. [Google Scholar] [CrossRef]
- Bates, L.S.; Waldren, R.P.; Teare, I.D. Rapid determination of free proline for water stress studies. Plant Soil 1973, 39, 205–207. [Google Scholar] [CrossRef]
- Prasad, R.; Shivay, Y.S.; Kumar, D.; Sharma, S.N. Learning by Doing Exercise in Soil Fertility-A Practical Manual for Soil Fertility; Division of Agronomy IARI: New Delhi, India, 2006; p. 68. [Google Scholar]
- Bhatia, A.; Ghosh, A.; Kumar, V.; Tomer, R.; Singh, S.D.; Pathak, H. Effect of elevated tropospheric ozone on methane and nitrous oxide emission from rice soil in north India. Agric. Ecosyst. Environ. 2011, 144, 21–28. [Google Scholar] [CrossRef]
- Bhatia, A.; Sasmal, S.; Jain, N.; Pathak, H.; Kumar, R.; Singh, A. Mitigating nitrous oxide emission from soil under conventional and no-tillage in wheat using nitrification inhibitors. Agric. Ecosyst. Environ. 2010, 136, 247–253. [Google Scholar] [CrossRef]
- Malyan, S.K.; Bhatia, A.; Kumar, S.S.; Fagodiya, R.K.; Pugazhendhi, A.; Duc, P.A. Mitigation of greenhouse gas intensity by supplementing with Azolla and moderating the dose of nitrogen fertilizer. Biocatal. Agric. Biotechnol. 2019, 20, 101266. [Google Scholar] [CrossRef]
- Gomez, K.A.; Gomez, A.A. Statistical Procedures for Agricultural Research. Second Edition, An International Rice Research Institute Book; Wiley-Inter-Science Publication; John Wiley & Sons: New York, NY, USA, 1984. [Google Scholar]
- Bana, R.S.; Pooniya, V.; Choudhary, A.K.; Rana, K.S.; Tyagi, V.K. Influence of organic nutrient sources and moisture management on productivity, bio-fortification and soil health in pearl millet (Pennisetum glaucum) + clusterbean (Cyamopsis tetragonaloba) intercropping system of semi-arid India. Indian J. Agron. 2016, 86, 1418–1425. [Google Scholar]
- Abdallah, A.M.; Jat, H.S.; Choudhary, M.; Abdelaty, E.F.; Sharma, P.C.; Jat, M.L. Conservation Agriculture Effects on Soil Water Holding Capacity and Water-Saving Varied with Management Practices and Agroecological Conditions: A Review. Agronomy 2021, 11, 1681. [Google Scholar] [CrossRef]
- Varatharajan, T.; Choudhary, A.K.; Pooniya, V.; Dass, A.; Meena, M.C.; Gurung, B.; Harish, M.N. Influence of integrated crop management practices on yield, PAR interception, resource-use-efficiency and energetics in pigeonpea (Cajanus cajan) in north Indian Plains. J. Environ. Biol. 2019, 40, 1204–1210. [Google Scholar] [CrossRef]
- He, J.; Shi, Y.; Zhao, J.; Yu, Z. Strip rotary tillage with a two-year subsoiling interval enhances root growth and yield in wheat. Sci. Rep. 2019, 9, 11678. [Google Scholar] [CrossRef] [PubMed] [Green Version]
- Kar, S.; Pramanick, B.; Brahmachari, K.; Saha, G.; Mahapatra, B.S.; Saha, A.; Kumar, A. Exploring the best tillage option in rice based diversified cropping systems in alluvial soil of eastern India. Soil Tillage Res. 2021, 205, 104761. [Google Scholar] [CrossRef]
- Heba, M.N.; Rana, D.S.; Choudhary, A.K.; Rajanna, G.A.; Pande, P. Influence of sulphur and zinc nutrition on productivity, quality and biofortification in groundnut (Arachis hypogea L.) in south-Asian Alluvial soil. J. Plant Nutr. 2021, 44, 1151–1174. [Google Scholar]
- Lee, J.; Six, J.; King, A.P.; Kessel, C.V.; Rolston, E.D. Tillage and Field Scale Controls on Greenhouse Gas Emissions. J. Environ. Qual. 2006, 35, 714–725. [Google Scholar] [CrossRef]
- Gupta, D.K.; Bhatia, A.; Kumar, A.; Das, T.K.; Jain, N.; Tomer, R.; Malyan, S.K.; Fagodiya, R.K.; Dubey, R.; Pathak, H. Mitigation of greenhouse gas emission from rice-wheat system of the Indo-Gangetic plains: Through tillage, irrigation and fertilizer management. Agric. Ecosyst. Environ. 2016, 230, 1–9. [Google Scholar] [CrossRef]
- Bhatia, A.; Pathak, H.; Jain, N.; Singh, P.K.; Tomer, R. Greenhouse gas mitigation in rice-wheat system with leaf color chart-based urea application. Environ. Monit. Assess. 2012, 184, 3095–3107. [Google Scholar] [CrossRef] [PubMed]
- Bhattacharyya, R.; Bhatia, A.; Das, T.K.; Lata, S.; Kumar, A.; Tomer, R.; Singh, G.; Kumar, S.; Biswas, A.K. Aggregate-associated N and global warming potential of conservation agriculture-based cropping of maize-wheat system in the north-western Indo-Gangetic Plains. Soil Tillage Res. 2018, 182, 66–77. [Google Scholar] [CrossRef]






| Parameters | Status/Value | Method of Analysis |
|---|---|---|
| A. Soil mechanical analysis Sand (%) Silt (%) Clay (%) | Modified hydrometer method [27] | |
| Soil texture class | Sandy loam | USDA texture triangle |
| B. Soil physical analysis | ||
| Field capacity (%) | 18.7 | Pressure plate apparatus [28] |
| Permanent wilting point (%) | 6.5 | Pressure membrane apparatus [28] |
| Bulk density (Mg m−3) | 1.54 | Core method [29] |
| Infiltration rate (cm hr−1) | 1.08 | Double ring infiltrometer [30] |
| C. Soil chemical analysis | ||
| Organic carbon (%) | 0.54 | Walkley and Black method [31] |
| KMnO4 oxidizable N (kg ha−1) | 188 | Modified Kjeldal’s method [32] |
| 0.5 N NaHCO3 extractable-P (kg ha−1) | 16.2 | Olsen’s method [33] |
| 1 N NH4OAc-exracable-K (kg ha−1) | 234 | Flame photometer method [32] |
| pH (1:2.5 soil:water) | 7.5 | Glass electrode pH meter [28] |
| EC (dS m−1 at 25 °C) | 0.30 | Conductivity bridge [34] |
| Treatment | Treatment Abbreviation | Tillage and Residue Management |
|---|---|---|
| Zero tillage with residue retained | ZTR | Residue: Approximately 3 t ha−1 of residues from the preceding chickpea crop were retained and manually spread uniformly over the plot Sowing: Crop sown into retained stubble using a happy seeder; crop was sown without any preparatory tillage |
| Zero tillage with residue removed | ZT | Residue: Above-ground residues of previous crop were removed manually, and crop was sown without any preparatory tillage Sowing: Crop sown using a happy seeder |
| Conventional tillage with residue removed | CT | Residue: Above-ground residues of previous crop were removed manually Tillage: Soil thoroughly tilled with one deep ploughing and two passes of a cultivator Sowing: Crop sown using a mechanized planter |
| Cropping System Tillage Practice | PM–CP | PM–CP–MB | PM–CP–FPM | |||
|---|---|---|---|---|---|---|
| 2019 | 2020 | 2019 | 2020 | 2019 | 2020 | |
| ZTR | 22.3 | 21.2 | 22.0 | 21.4 | 22.1 | 21.2 |
| ZT | 21.2 | 21.7 | 21.4 | 22.5 | 20.9 | 21.7 |
| CT | 20.8 | 21.1 | 20.7 | 21.0 | 20.8 | 21.5 |
| LSD (p = 0.05) main plot (A) | 0.38 | 0.43 | ||||
| LSD (p = 0.05) sub plot (B) | NS | NS | ||||
| LSD (p = 0.05) B at same level of A | NS | NS | ||||
| LSD (p = 0.05) A at same level of B | NS | NS | ||||
| Treatment | Fe (mg kg−1) | Zn (mg kg−1) | Mn (mg kg−1) | Cu (mg kg−1) | ||||
|---|---|---|---|---|---|---|---|---|
| 2019 | 2020 | 2019 | 2020 | 2019 | 2020 | 2019 | 2020 | |
| Tillage practices | ||||||||
| ZTR | 128.7 | 128.1 | 36.3 | 34.9 | 44.7 | 43.9 | 15.7 | 15.7 |
| ZT | 122.5 | 123.6 | 34.3 | 33.2 | 42.8 | 43.0 | 14.6 | 14.5 |
| CT | 121.6 | 122.0 | 33.3 | 32.3 | 41.9 | 42.4 | 14.4 | 14.3 |
| SEm± | 0.49 | 0.47 | 0.12 | 0.2 | 0.3 | 0.35 | 0.4 | 0.32 |
| LSD (p = 0.05) | 2.0 | 2.2 | 1.5 | 1.4 | 1.6 | 1.4 | 1.0 | 0.9 |
| Cropping Systems | ||||||||
| PM–CP | 123.2 | 122.9 | 33.7 | 33.0 | 42.0 | 42.3 | 14.5 | 14.3 |
| PM–CP–MB | 125.1 | 125.6 | 35.3 | 34.1 | 43.8 | 43.7 | 15.2 | 15.1 |
| PM–CP–FPM | 124.5 | 125.1 | 34.9 | 33.3 | 43.6 | 43.4 | 14.9 | 15.0 |
| SEm± | 0.55 | 0.5 | 0.09 | 0.07 | 0.2 | 0.1 | 0.1 | 0.13 |
| LSD (p = 0.05) | 1.7 | 1.6 | 0.7 | 0.6 | 1.3 | 1.1 | 0.5 | 0.7 |
| Treatment | Fe (mg kg−1) | Zn (mg kg−1) | Mn (mg kg−1) | Cu (mg kg−1) | ||||
|---|---|---|---|---|---|---|---|---|
| 2019 | 2020 | 2019 | 2020 | 2019 | 2020 | 2019 | 2020 | |
| Tillage practices | ||||||||
| ZTR | 244.8 | 241.9 | 26.7 | 26.8 | 73.8 | 72.8 | 25.6 | 25.1 |
| ZT | 236.5 | 236.3 | 25.6 | 25.7 | 71.6 | 70.6 | 24.5 | 24.4 |
| CT | 233.8 | 235.2 | 25.1 | 25.2 | 71.2 | 70.0 | 24.3 | 24.3 |
| LSD (p = 0.05) | 5.7 | 6.1 | 0.5 | 0.8 | 2.2 | 1.8 | 0.2 | 0.3 |
| Cropping Systems | ||||||||
| PM–CP | 235.2 | 236.3 | 25.5 | 25.7 | 71.2 | 70.5 | 24.6 | 24.3 |
| PM–CP–MB | 241.3 | 239.5 | 26.4 | 26.1 | 73.1 | 71.9 | 25.0 | 24.9 |
| PM–CP–FPM | 238.6 | 237.7 | 25.7 | 25.9 | 72.3 | 71.0 | 24.9 | 24.5 |
| LSD (p = 0.05) | 1.6 | 1.9 | 0.2 | 0.13 | 1.4 | 0.6 | 0.3 | 0.25 |
| Treatment | CO2 kg ha−1 | N2O g ha−1 |
|---|---|---|
| Tillage practices | ||
| ZTR | 2037.3 | 495.9 |
| ZT | 1719.8 | 490.0 |
| CT | 1652.7 | 476.0 |
| LSD (p = 0.05) | 266.4 | 19.3 |
| Cropping systems | ||
| PM–CP | 1568.5 | 439.4 |
| PM–CP–MB | 1613.4 | 448.0 |
| PM–CP–FPM | 1625.9 | 455.6 |
| LSD (p = 0.05) | 49.8 | NS |
| Treatment | Grain Yield (t ha−1) | Stover Yield (t ha−1) | Gross Returns (US$ ha−1) | Net Returns (US$ ha−1) |
|---|---|---|---|---|
| Tillage practices | ||||
| ZTR | 3.04 | 7.39 | 1277 | 746 |
| ZT | 2.39 | 6.64 | 1048 | 669 |
| CT | 2.51 | 6.84 | 1095 | 672 |
| LSD (p = 0.05) | 0.28 | 0.72 | - | - |
| Cropping systems | ||||
| PM–CP | 2.44 | 6.60 | 1062 | 639 |
| PM–CP–MB | 2.90 | 7.35 | 1234 | 784 |
| PM–CP–FPM | 2.63 | 6.88 | 1133 | 682 |
| LSD (p = 0.05) | 0.24 | 0.66 | - | - |
| S. No. | Technology Component | Pre-Training (%) | Post-Training (%) | Knowledge Improvement (%) |
|---|---|---|---|---|
| 1 | Benefits of legume inclusion in rotation on productivity | 60.0 | 95.4 | 59.0 |
| 2 | Crop rotation effects on soil health | 49.2 | 93.1 | 89.1 |
| 3 | Crop rotation effects on yield | 70.8 | 100.0 | 41.3 |
| 4 | Crop rotation effects on biofortification | 26.2 | 98.5 | 276.5 |
| 5 | Crop rotation effects on income enhancement | 30.0 | 91.5 | 205.1 |
| 6 | Knowledge about zero tillage | 36.9 | 97.7 | 164.6 |
| 7 | Residue retention effects on soil moisture conservation | 31.5 | 100.0 | 217.1 |
| 8 | Residue retention effects on thermal moderation | 20.8 | 96.9 | 366.7 |
| 9 | Residue retention effects on biofortification | 29.2 | 94.6 | 223.7 |
| 10 | Knowledge about pre- and post-emergence herbicide use in zero-tillage | 79.2 | 100.0 | 26.2 |
| 11 | Economic benefits of conservation agriculture | 51.5 | 100.0 | 94.0 |
| 12 | Economic benefits of herbicidal weed management | 33.8 | 90.8 | 168.2 |
| 13 | Environmental gains from zero-tillage | 18.5 | 86.9 | 370.8 |
| 14 | Environmental benefits of legume inclusion | 23.8 | 89.2 | 274.2 |
| 15 | Effects on human health due to biofortification | 20.8 | 100.0 | 381.5 |
Publisher’s Note: MDPI stays neutral with regard to jurisdictional claims in published maps and institutional affiliations. |
© 2022 by the authors. Licensee MDPI, Basel, Switzerland. This article is an open access article distributed under the terms and conditions of the Creative Commons Attribution (CC BY) license (https://creativecommons.org/licenses/by/4.0/).
Share and Cite
Faiz, M.A.; Bana, R.S.; Choudhary, A.K.; Laing, A.M.; Bansal, R.; Bhatia, A.; Bana, R.C.; Singh, Y.V.; Kumar, V.; Bamboriya, S.D.; et al. Zero Tillage, Residue Retention and System-Intensification with Legumes for Enhanced Pearl Millet Productivity and Mineral Biofortification. Sustainability 2022, 14, 543. https://doi.org/10.3390/su14010543
Faiz MA, Bana RS, Choudhary AK, Laing AM, Bansal R, Bhatia A, Bana RC, Singh YV, Kumar V, Bamboriya SD, et al. Zero Tillage, Residue Retention and System-Intensification with Legumes for Enhanced Pearl Millet Productivity and Mineral Biofortification. Sustainability. 2022; 14(1):543. https://doi.org/10.3390/su14010543
Chicago/Turabian StyleFaiz, Mukhtar Ahmad, Ram Swaroop Bana, Anil Kumar Choudhary, Alison M. Laing, Ruchi Bansal, Arti Bhatia, Ramesh Chand Bana, Yudh Vir Singh, Vipin Kumar, Shanti Devi Bamboriya, and et al. 2022. "Zero Tillage, Residue Retention and System-Intensification with Legumes for Enhanced Pearl Millet Productivity and Mineral Biofortification" Sustainability 14, no. 1: 543. https://doi.org/10.3390/su14010543
APA StyleFaiz, M. A., Bana, R. S., Choudhary, A. K., Laing, A. M., Bansal, R., Bhatia, A., Bana, R. C., Singh, Y. V., Kumar, V., Bamboriya, S. D., Padaria, R. N., Khaswan, S. L., & Dabas, J. P. S. (2022). Zero Tillage, Residue Retention and System-Intensification with Legumes for Enhanced Pearl Millet Productivity and Mineral Biofortification. Sustainability, 14(1), 543. https://doi.org/10.3390/su14010543

