The Conversion of Calcium-Containing Phases and Their Separation with NaCl in Molten Salt Chlorinated Slags at High Temperature
Abstract
:1. Introduction
2. Experimental Materials and Methods
2.1. Experimental Materials
2.2. Experimental Equipment and Methods
2.2.1. Experimental Equipment
2.2.2. Experimental Methods
- The prepared sample is mixed evenly and placed in a 100 mL crucible, Crucible A, for later use.
- The muffle furnace is heated to the set temperature. The prepared sample is placed in the muffle furnace and reacts at high temperature for 1 h.
- The honeycomb filter is placed on another crucible, Crucible B, and the crucible is placed in a muffle furnace for preheating for 10 min.
- In the muffle furnace, Crucible A is placed upside down on Crucible B and allowed to stand for 20 min at a high temperature to ensure it is completely separated.
- The quality of filtrate and filter slag are weighed and calculated separately.
- The filtrate and filter slag are sampled after cooling. The phase composition and the content of each element in the sample are tested.
2.3. Analytical Method
3. Thermodynamic Analysis
3.1. Thermodynamic Reactions of Phase Transformation of Calcium Chloride at High Temperatures
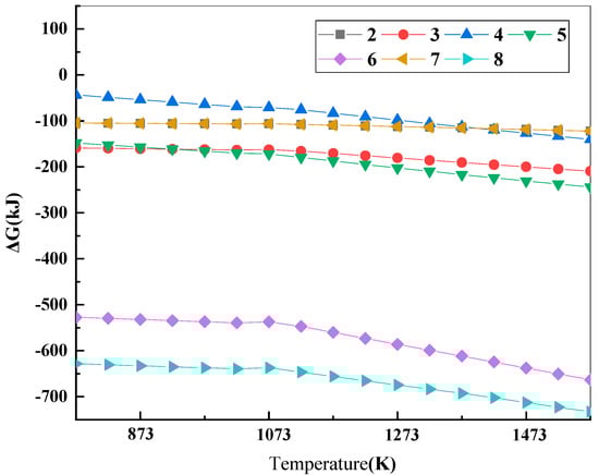
3.2. Reaction Equilibrium Phase Diagram Analysis
4. Phase Conversion and Removal Behavior of Calcium at High Temperature
4.1. Additive Dosage
4.2. Phase Conversion Temperature
4.3. Phase Conversion Atmosphere
5. Conclusions
Author Contributions
Funding
Institutional Review Board Statement
Informed Consent Statement
Data Availability Statement
Acknowledgments
Conflicts of Interest
References
- Liu, Z.; He, B.; Lyu, T.; Zou, Y. A Review on Additive Manufacturing of Titanium Alloys for Aerospace Applications: Directed Energy Deposition and Beyond Ti-6Al-4V. JOM 2021, 73, 1804–1818. [Google Scholar] [CrossRef]
- Reddy, R.G.; Shinde, P.S.; Liu, A. Review—The Emerging Technologies for Producing Low-Cost Titanium. J. Electrochem. Soc. 2021, 168, 042502. [Google Scholar] [CrossRef]
- Ai, G.; Hua, Y.; Xu, C.; Li, J.; Li, Y.; Ru, J. Roles of SiO2 Additive on Preparation of Ferrotitanium from Ilmenite Concentrate by Electrochemical Reduction in CaCl2 Molten Salt. JOM 2020, 72, 3836–3842. [Google Scholar] [CrossRef]
- Zhang, G.; Luo, D.; Deng, C.; Lv, L.; Liang, B.; Li, C. Simultaneous extraction of vanadium and titanium from vanadium slag using ammonium sulfate roasting-leaching process. J. Alloy. Compd. 2018, 742, 504–511. [Google Scholar] [CrossRef]
- Wang, X.; Lu, F.; Jia, H.; Hao, B.; Ma, Y. The Outline of Titanium Industry in China. Titan. Ind. Prog. 2008, 1, 5–8. [Google Scholar]
- Li, X.; Wen, S. Actuality of Dioxide and Titanium Sponge Feedstock Industry in the World and Key Points of Domestic Developing. Titan. Ind. Prog. 2011, 28, 9–13. [Google Scholar]
- Jia, H.; Lu, F.; Hao, B. Report on China titanium industry in 2020. Iron Steel Vanadium Titan. 2021, 42, 1–9. [Google Scholar]
- Jia, Y. Physicochemical Research on Molten Salt System for Carbochlorination of High Calcium Magnesium Titanium Slag. Master’s Thesis, Kunming University of Science and Technology, Kunming, China, 2021. [Google Scholar]
- Feng, N.; Ma, J.; Cao, K. Applied Research on the Production of Crude Titanium Tetrachloride by the Means of Molten Salt Chlorination. J. Liaoning Univ. Technol. (Nat. Sci. Ed.) 2017, 37, 180–182. [Google Scholar]
- Tian, J.; Zhang, X.; Huang, J.; Zhu, Y.; Huang, H. Technical Analysis and Comprehensive Utilization of Chlorinated Waste During the Production of TiCl4 by Fluidized Bed Chlorination. Titan. Ind. Prog. 2018, 35, 6–10. [Google Scholar]
- Liu, J. Study on the Process of Producing Titanium Tetrachloride by Molten Salt Chlorination. Mod. Min. 2019, 35, 221–225. [Google Scholar]
- Lian, R. Analysis of titanium tetrachloride process technology. Tianjin Chem. Ind. 2019, 33, 52–53. [Google Scholar]
- Liu, C.; Hou, S.; Yang, L.; Zhang, J.; Xia, J.; Zheng, S.; Cheng, Y.; Zha, X.; Huang, Z. Resource Treatment Method of Molten Salt Chlorinated Slag. Chinese Patent CN105883911A, 2016. Available online: http://libdb.csu.edu.cn:80/rwt/CNKI/https/NNYHGLUDN3WXTLUPMW4A/kcms/detail/detail.aspx?FileName=CN105883911A&DbName=SCPD2016/ (accessed on 15 November 2021).
- Wu, X.; Cheng, X.; Miao, H.; Ye, E.; Zhang, J.; Zhang, X. Recovery Method of Molten Salt Chlorinated Waste Residue. Chinese Patent CN104445386A, 2015. Available online: http://libdb.csu.edu.cn:80/rwt/CNKI/https/NNYHGLUDN3WXTLUPMW4A/kcms/detail/detail.aspx?FileName=CN104445386A&DbName=SCPD2015/ (accessed on 15 November 2021).
- Yang, S. Factors affecting the quality of primary brine preparation. China Chlor-Alkali 2003, 12–13. Available online: http://libdb.csu.edu.cn:80/rwt/CNKI/https/NNYHGLUDN3WXTLUPMW4A/kcms/detail/detail.aspx?FileName=JLGZ200306004&DbName=CJFQ2003/ (accessed on 15 November 2021).
- Zhang, H.; Liu, C.; Yang, L. Method for Preparing Magnesia by Using Molten Salt Chlorinated Slag. Chinese Patent CN110668476A, 2020. Available online: http://libdb.csu.edu.cn:80/rwt/CNKI/https/NNYHGLUDN3WXTLUPMW4A/kcms/detail/detail.aspx?FileName=CN110668476A&DbName=SCPD2020/ (accessed on 15 November 2021).
- Cao, D.; Zhang, F. A Method for Processing Chlorinated Waste Produced in the Production of TiCl4. Chinese Patent CN102443710A, 2012. Available online: http://libdb.csu.edu.cn:80/rwt/CNKI/https/NNYHGLUDN3WXTLUPMW4A/kcms/detail/detail.aspx?FileName=CN102443710A&DbName=SCPD2012/ (accessed on 15 November 2021).
- Hu, Y. Main influence factors and control methods of molten salt chlorination. Sci. Technol. Inf. 2011. Available online: http://libdb.csu.edu.cn:80/rwt/CNKI/https/NNYHGLUDN3WXTLUPMW4A/kcms/detail/detail.aspx?FileName=KJXX201119364&DbName=CJFQ2011/ (accessed on 15 November 2021).
- Qin, X. Analysis of Process of Melting Salt Chlorination with Titanium Slag in Panzhihua. Iron Steel Vanadium Titan. 2015, 36, 16–19. [Google Scholar]
- Li, L.; Zhu, F.; Deng, P.; Zhang, D.; Jia, Y.; Li, K.; Kong, L.; Liu, D. Behavior of magnesium impurity during carbochlorination of magnesium-bearing titanium slag in chloride media. J. Mater. Res. Technol. 2021, 13, 204–215. [Google Scholar] [CrossRef]
- Ju, D.; Qing, Y.; Yan, D.; Chen, Z.; Li, X. Thermodynamic Analysis of Ca2+ and Mg2+ CuringProcess in Molten Chlorides. Iron Steel Vanadium Titan. 2011, 32, 25–29. [Google Scholar]
- Lu, H.; Wang, H.; Yang, R.; Meng, J.; Xie, G.; Xie, H. Analysis of Deterioration Cause and Investigation on the Stability Control Measures of Molten Salt System in TiCl4 Molten Salt Chlorinator. Rare Met. Cem. Carbides 2014, 42, 16–22. [Google Scholar]
- Lu, H. Comprehensive Treatment Method for Waste Molten Salt Produced by Chlorination of Titanium Tetrachloride Molten Salt and Dust Collection Slag. Chinese Patent CN104772317A, 2014. Available online: http://libdb.csu.edu.cn:80/rwt/CNKI/https/NNYHGLUDN3WXTLUPMW4A/kcms/detail/detail.aspx?FileName=CN104772317A&DbName=SCPD2015/ (accessed on 15 November 2021).
- He, B.; Zhao, B.; Ma, Y.; Liu, H. Analysis and study of the production process of titanium tetrachloride. Chem. Enterp. Manag. 2019, 210–211+221. Available online: http://libdb.csu.edu.cn:80/rwt/CNKI/https/NNYHGLUDN3WXTLUPMW4A/kcms/detail/detail.aspx?FileName=FGGL201925128&DbName=CJFQ2019/ (accessed on 15 November 2021).
- Rong, Z.; Pan, G.; Lu, J.; Liu, S.; Ding, J.; Wang, W.; Lee, D. Ab-initio molecular dynamics study on thermal property of NaCl-CaCl2 molten salt for high-temperature heat transfer and storage. Renew. Energy 2021, 163, 579–588. [Google Scholar] [CrossRef]
- Wei, X.; Xie, P.; Zhang, X.; Wang, W.; Lu, J.; Ding, J. Research on preparation and thermodynamic properties of chloride molten salt materials. CIESC J. 2020, 71, 2423–2431. [Google Scholar]
- Chen, F.; Wen, Y.; Guo, Y.; Zheng, F.; Wang, S.; Yang, L.; Zheng, Y.; Li, D.; Ren, Y. Research status of viscosity characteristics of chlorinated molten salt system. Inorg. Chem. Ind. 2021. [Google Scholar] [CrossRef]











Publisher’s Note: MDPI stays neutral with regard to jurisdictional claims in published maps and institutional affiliations. |
© 2021 by the authors. Licensee MDPI, Basel, Switzerland. This article is an open access article distributed under the terms and conditions of the Creative Commons Attribution (CC BY) license (https://creativecommons.org/licenses/by/4.0/).
Share and Cite
Chen, F.; Liu, C.; Wen, Y.; Zhu, F.; Yao, H.; Guo, Y.; Wang, S.; Yang, L. The Conversion of Calcium-Containing Phases and Their Separation with NaCl in Molten Salt Chlorinated Slags at High Temperature. Sustainability 2022, 14, 293. https://doi.org/10.3390/su14010293
Chen F, Liu C, Wen Y, Zhu F, Yao H, Guo Y, Wang S, Yang L. The Conversion of Calcium-Containing Phases and Their Separation with NaCl in Molten Salt Chlorinated Slags at High Temperature. Sustainability. 2022; 14(1):293. https://doi.org/10.3390/su14010293
Chicago/Turabian StyleChen, Feng, Changlin Liu, Yuekai Wen, Fuxing Zhu, Hongguo Yao, Yufeng Guo, Shuai Wang, and Lingzhi Yang. 2022. "The Conversion of Calcium-Containing Phases and Their Separation with NaCl in Molten Salt Chlorinated Slags at High Temperature" Sustainability 14, no. 1: 293. https://doi.org/10.3390/su14010293
APA StyleChen, F., Liu, C., Wen, Y., Zhu, F., Yao, H., Guo, Y., Wang, S., & Yang, L. (2022). The Conversion of Calcium-Containing Phases and Their Separation with NaCl in Molten Salt Chlorinated Slags at High Temperature. Sustainability, 14(1), 293. https://doi.org/10.3390/su14010293

