Improving Water Use Efficiency through Reduced Irrigation for Sustainable Cotton Production
Abstract
1. Introduction
2. Materials and Methods
2.1. Experimental Site
2.2. Experimental Design
2.3. Data Collections
2.3.1. Actual Evapotranspiration
2.3.2. Water Use Efficiency
2.4. Soil Physico-Chemical Parameters
2.5. Leaf Area Index (LAI) and Seed Cotton Yield
2.6. Gas Exchange Parameters
2.7. Statistical Analysis
3. Results
3.1. Soil Water Storage and Actual Evapotranspiration
3.2. Leaf Area Index
3.3. Seed Cotton Yield
3.4. Water Use Efficiency
3.5. Physiological Parameters
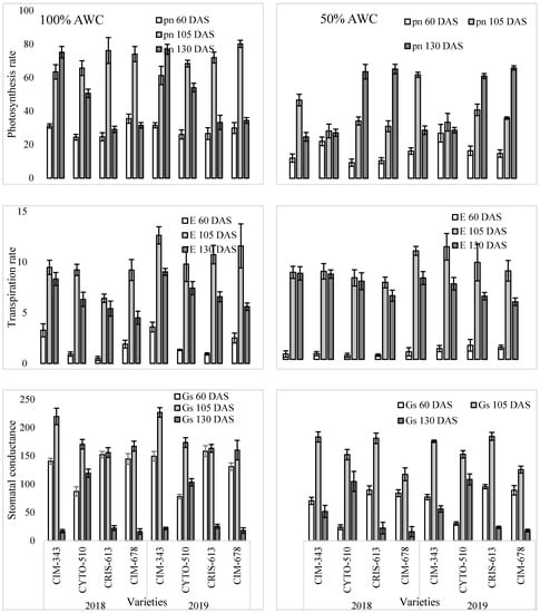
3.5.1. Net Photosynthesis Rate
3.5.2. Transpiration Rate
3.5.3. Stomatal Conductance
4. Discussion
5. Conclusions
Author Contributions
Funding
Institutional Review Board Statement
Informed Consent Statement
Data Availability Statement
Acknowledgments
Conflicts of Interest
References
- Latif, M.; Haider, S.S.; Rashid, M.U. Adoption of high efficiency irrigation systems to overcome scarcity of irrigation water in Pakistan. Proc. Pak. Acad. Sci. 2016, 53, 243–252. [Google Scholar]
- Annonymous. Economic Survey of Pakistan; Finance Division, Government of Pakistan: Islamabad, Pakistan, 2018.
- Shareef, M.; Gui, D.; Zeng, F.; Waqas, M.; Zhang, B.; Iqbal, H. Water productivity, growth, and physiological assessment of deficit irrigated cotton on hyperarid desert-oases in northwest China. Agric. Water Manag. 2018, 206, 1–10. [Google Scholar] [CrossRef]
- Gu, Z.; Qi, Z.; Ma, L.; Gui, D.; Xu, J.; Fang, Q.; Yuan, S.; Feng, G. Development of an irrigation scheduling software based on model predicted crop water stress. Comput. Electron. Agric. 2017, 143, 208–221. [Google Scholar] [CrossRef]
- Ashraf, M.; Rao, M.I.; Salam, H.A.; Bhatti, A.Z. Determining water requirements of major crops in the lower indus basin of Pakistan using drainage type lysimeters. Pak. J. Agric. Sci. 2018, 55, 973–978. [Google Scholar] [CrossRef]
- Chapagain, A.K.; Hoekstra, A.Y. The global component of freshwater demand and supply: An assessment of virtual water flows between nations as a result of trade in agricultural and industrial products. Water Int. 2008, 33, 19–32. [Google Scholar] [CrossRef]
- Sahito, A.; Baloch, Z.A.; Mahar, A.; Otho, S.A.; Kalhoro, S.A.; Ali, A.; Kalhoro, F.A.; Soomro, R.N.; Ali, F. Effect of water stress on the growth and yield of Cotton crop (Gossypium hirsutum L.). Am. J. Plant Sci. 2015, 6, 1027–1039. [Google Scholar] [CrossRef]
- Zhang, H.; Khan, A.; Tan, D.K.Y.; Luo, H. Rational water and nitrogen management improves root growth, increases yield and maintains water use efficiency of cotton under mulch drip irrigation. Front. Plant Sci. 2017, 8, 1–10. [Google Scholar] [CrossRef]
- Tsakmakis, I.; Kokkos, N.; Pisinaras, V.; Papaevangelou, V.; Hatzigiannakis, E.; Arampatzis, G.; Gikas, G.D.; Linker, R.; Zoras, S.; Evagelopoulos, V.; et al. Operational Precise Irrigation for Cotton Cultivation through the Coupling of Meteorological and Crop Growth Models. Water Resour. Manag. 2017, 31, 563–580. [Google Scholar] [CrossRef]
- Tsakmakis, I.D.; Zoidou, M.; Gikas, G.D.; Sylaios, G.K. Impact of irrigation technologies andstrategies on Cotton water footprint using AquaCrop and CROPWAT models. Environ. Process. 2018, 5, 181–199. [Google Scholar] [CrossRef]
- Sarwar, A.; Qureshi, A.S. Water Management in the Indus Basin in Pakistan: Challenges and Opportunities. Mt. Res. Dev. 2011, 31, 252–260. [Google Scholar]
- Dagdelen, N.; Basal, H.; Yilmaz, E.; Gurbuz, T.; Akcay, S. Different drip irrigation regimes affect cotton yield, water use efficiency and fiber quality in western Turkey. Agric. Water Manag. 2009, 96, 111–120. [Google Scholar] [CrossRef]
- Ahmad, F.; Uddin, S.; Ahmad, N.; Islam, R. Phosphorus-microbes interaction on growth, yield and phosphorus-use efficiency of irrigated cotton. Arch. Agron. Soil Sci. 2013, 59, 341–351. [Google Scholar] [CrossRef]
- Iqbal, M.A.; Bodner, G.; Heng, L.K.; Eitzinger, J.; Hassan, A. Assessing yield optimization and water reduction potential for summer-sown and spring-sown maize in Pakistan. Agric. Water Manag. 2010, 97, 731–737. [Google Scholar] [CrossRef]
- Imran, M.; Iqbal, M.; Ullah, E.; Šimunek, J. Assessment of actual evapotranspiration and yield of wheat under different irrigation regimes with potassium application Assessment of actual evapotranspiration and yield of wheat under different irrigation regimes with potassium application. Soil Environ. 2015, 34, 156–165. [Google Scholar]
- Smith, M.; Allen, R.; Pereira, L. Revised FAO methodology for crop-water requirements. Int. Energy Agency 1998, 29, 51–58. [Google Scholar]
- Hussain, G.; Al-Jaloud, A.A.; AI-Shammary, S.F.; Karimulla, S. Effect of saline irrigation on the biomass yield, and the protein, nitrogen, phosphorus, and potassium composition of alfalfa in a pot experiment. J. Plant Nutr. 1995, 18, 2389–2408. [Google Scholar] [CrossRef]
- Blake, G.R.; Hartage, K.H. Methods of Soil Analysis, Part 1. Phys. Miner. Methods 1986, 9, 363–375. [Google Scholar]
- Saxton, K.E.; Rawls, W.J. Soil Water Characteristic Estimates by Texture and Organic Matter for Hydrologic Solutions. Soil Sci. Soc. Am. J. 2006, 70, 1569–1578. [Google Scholar] [CrossRef]
- Grantz, D.A.; Zhang, X.J.; Metheney, P.D.; Grimes, D.W. Indirect measurement of leaf area index in Pima cotton (Gossypium barbadense L.) using a commercial gap inversion method. Agric. For. Meteorol. 1993, 67, 1–12. [Google Scholar] [CrossRef]
- Bhagwat, M.A.; Bk, R.; Parmar, P.R.; Ramani, H. Physiological characterization of cotton genotypes (Gossypium herbaceum L.) for salinity at seedling stage. IJCS 2020, 8, 2306–2312. [Google Scholar]
- Steel, R.G.D.; Torrie, J.H.; Dicky, D.A. Principles and Procedures of Statistics, 3rd ed.; Approach, A., Ed.; Book Co. Inc.: New York, NY, USA, 1997. [Google Scholar]
- Ünlü, M.; Kanber, R.; Koc, D.L.; Tekin, S. Effects of deficit irrigation on the yield and yield components of drip irrigated cotton in a mediterranean environment. Agric. Water Manag. 2011, 98, 597–605. [Google Scholar] [CrossRef]
- Fereres, E.; Soriano, M.A. Deficit irrigation for reducing agricultural water use. J. Exp. Bot. 2007, 58, 147–159. [Google Scholar] [CrossRef] [PubMed]
- Ertek, A.; Kanber, R. Effects of different drip irrigation programs on the boll number and shedding percentage and yield of cotton. Agric. Water Manag. 2003, 60, 1–11. [Google Scholar] [CrossRef]
- Basal, H.; Dagdelen, N.; Unay, A.; Yilmaz, E. Effects of deficit drip irrigation ratios on cotton (Gossypium hirsutum L.) yield and fibre quality. J. Agron. Crop Sci. 2009, 195, 19–29. [Google Scholar] [CrossRef]
- Giday, H.; Fanourakis, D.; Kjaer, K.H.; Fomsgaard, I.S.; Ottosen, C. Threshold response of stomatal closing ability to leaf abscisic acid concentration during growth. J. Exp. Bot. 2014, 65, 4361–4370. [Google Scholar] [CrossRef]
- Koubouris, G.; Bouranis, D.; Vogiatzis, E.; Nejad, A.R.; Giday, H.; Tsaniklidis, G.; Ligoxigakis, E.K.; Blazakis, K. Scientia Horticulturae Leaf area estimation by considering leaf dimensions in olive tree. Sci. Hortic. 2018, 240, 440–445. [Google Scholar] [CrossRef]
- Wanjura, D.F.; Upchurch, D.R.; Mahan, J.R.; Burke, J.J. Cotton yield and applied water relationships under drip irrigation. Agric. Water Manag. 2002, 55, 217–237. [Google Scholar] [CrossRef]









| Depth (cm) | Particle Fractions (%) | B.D. | * θs | * θFC | * θPWP | * θAWC | * Kfs | SOM | ||
|---|---|---|---|---|---|---|---|---|---|---|
| Sand | Silt | Clay | (Mg m−3) | cm3 cm−3 | cm day−1 | (%) | ||||
| 0–10 | 19.83 ± 0.12 | 56.58 ± 0.10 | 23.59 ± 0.13 | 1.32 ± 0.13 | 0.43 ± 0.021 | 0.318 ± 0.032 | 0.145 ± 0.013 | 0.248 ± 0.014 | 12.23 ± 2.06 | 0.62 ± 0.4 |
| 10–20 | 20.23 ± 0.13 | 55.32 ± 0.15 | 24.45 ± 0.12 | 1.37 ± 0.08 | 0.43 ± 0.035 | 0.319 ± 0.021 | 0.150 ± 0.023 | 0.242 ± 0.013 | 11.58 ± 3.42 | 0.48 ± 0.3 |
| 20–30 | 20.68 ± 0.18 | 54.71 ± 0.21 | 24.61 ± 0.23 | 1.43 ± 0.04 | 0.42 ± 0.051 | 0.323 ± 0.092 | 0.154 ± 0.016 | 0.242 ± 0.011 | 11.58 ± 3.67 | 0.41 ± 0.6 |
| 30–40 | 21.56 ± 0.17 | 54.23 ± 0.24 | 24.21 ± 0.19 | 1.45 ± 0.03 | 0.41 ± 0.012 | 0.328 ± 0.021 | 0.156 ± 0.017 | 0.139 ± 0.012 | 10.97 ± 2.19 | 0.26 ± 0.3 |
Publisher’s Note: MDPI stays neutral with regard to jurisdictional claims in published maps and institutional affiliations. |
© 2021 by the authors. Licensee MDPI, Basel, Switzerland. This article is an open access article distributed under the terms and conditions of the Creative Commons Attribution (CC BY) license (http://creativecommons.org/licenses/by/4.0/).
Share and Cite
Ahmad, H.S.; Imran, M.; Ahmad, F.; Rukh, S.; Ikram, R.M.; Rafique, H.M.; Iqbal, Z.; Alsahli, A.A.; Alyemeni, M.N.; Ali, S.; et al. Improving Water Use Efficiency through Reduced Irrigation for Sustainable Cotton Production. Sustainability 2021, 13, 4044. https://doi.org/10.3390/su13074044
Ahmad HS, Imran M, Ahmad F, Rukh S, Ikram RM, Rafique HM, Iqbal Z, Alsahli AA, Alyemeni MN, Ali S, et al. Improving Water Use Efficiency through Reduced Irrigation for Sustainable Cotton Production. Sustainability. 2021; 13(7):4044. https://doi.org/10.3390/su13074044
Chicago/Turabian StyleAhmad, Hafiz Shahzad, Muhammad Imran, Fiaz Ahmad, Shah Rukh, Rao Muhammad Ikram, Hafiz Muhammad Rafique, Zafar Iqbal, Abdulaziz Abdullah Alsahli, Mohammed Nasser Alyemeni, Shafaqat Ali, and et al. 2021. "Improving Water Use Efficiency through Reduced Irrigation for Sustainable Cotton Production" Sustainability 13, no. 7: 4044. https://doi.org/10.3390/su13074044
APA StyleAhmad, H. S., Imran, M., Ahmad, F., Rukh, S., Ikram, R. M., Rafique, H. M., Iqbal, Z., Alsahli, A. A., Alyemeni, M. N., Ali, S., & Tanveer-ul-Haq. (2021). Improving Water Use Efficiency through Reduced Irrigation for Sustainable Cotton Production. Sustainability, 13(7), 4044. https://doi.org/10.3390/su13074044

