Boosting the Higher Heating Value of Eucalyptus globulus via Thermochemical Liquefaction
Abstract
1. Introduction
2. Materials and Methods
2.1. Materials and Chemicals
2.2. Liquefaction Procedure
2.3. Measurement of Liquefaction Extent
2.4. Elemental Analysis
2.5. High Heat Value (HHV) Determination
2.6. Fourier Transformed Infrared (FTIR-ATR) Analysis
2.7. Thermogravimetric Analysis (TGA)
3. Results
4. Conclusions
Author Contributions
Funding
Institutional Review Board Statement
Data Availability Statement
Acknowledgments
Conflicts of Interest
References
- Rosendahl, L. (Ed.) Direct Thermochemical Liquefaction for Energy Applications; Elsevier: Amsterdam, The Netherlands, 2018; ISBN 9780081010297. [Google Scholar]
- Alper, K.; Tekin, K.; Karagöz, S. Hydrothermal Liquefaction of Lignocellulosic Biomass Using Potassium Fluoride-Doped Alumina. Energy Fuels 2019, 33, 3248–3256. [Google Scholar] [CrossRef]
- Dahiya, A. Bioenergy: Biomass to Biofuels, 1st ed.; Elsevier Inc.: Amsterdam, The Netherlands, 2015; ISBN 9780124079090. [Google Scholar]
- Clark, J.H.; Budarin, V.; Deswarte, F.E.I.; Hardy, J.J.E.; Kerton, F.M.; Hunt, A.J.; Luque, R.; Macquarrie, D.J.; Milkowski, K.; Rodriguez, A.; et al. Green chemistry and the biorefinery: A partnership for a sustainable future. Green Chem. 2006, 8, 853–860. [Google Scholar] [CrossRef]
- Doassans-Carrère, N.; Ferrasse, J.-H.; Boutin, O.; Mauviel, G.; Lédé, J. Comparative Study of Biomass Fast Pyrolysis and Direct Liquefaction for Bio-Oils Production: Products Yield and Characterizations. Energy Fuels 2014, 28, 5103–5111. [Google Scholar] [CrossRef]
- Mateus, M.M.; Guerreiro, D.; Ferreira, O.; Bordado, J.C.; Galhano dos Santos, R.; dos Santos, R. Heuristic analysis of Eucalyptus globulus bark depolymerization via acid-liquefaction. Cellulose 2017, 24, 659–668. [Google Scholar] [CrossRef]
- Xu, J.; Xie, X.; Wang, J.; Jiang, J. Directional liquefaction coupling fractionation of lignocellulosic biomass for platform chemicals. Green Chem. 2016, 18, 3124–3138. [Google Scholar] [CrossRef]
- Mateus, M.M.; Gaspar, D.; Matos, S.; Rego, A.; Motta, C.; Castanheira, I.; Bordado, J.M.; Galhano dos Santos, R. Converting a residue from an edible source (Ceratonia siliqua L.) into a bio-oil. J. Environ. Chem. Eng. 2019, 7, 103004. [Google Scholar] [CrossRef]
- Wang, C.; Pan, J.; Li, J.; Yang, Z. Comparative studies of products produced from four different biomass samples via deoxy-liquefaction. Bioresour. Technol. 2008, 99, 2778–2786. [Google Scholar] [CrossRef] [PubMed]
- Wang, H.; Chen, H.-Z. A novel method of utilizing the biomass resource: Rapid liquefaction of wheat straw and preparation of biodegradable polyurethane foam (PUF). J. Chin. Inst. Chem. Eng. 2007, 38, 95–102. [Google Scholar] [CrossRef]
- dos Santos, R.G.; Bordado, J.C.; Mateus, M.M. Microwave-assisted Liquefaction of Cork—From an Industrial Waste to Sustainable Chemicals. Ind. Eng. Manag. 2015, 4, 173–177. [Google Scholar] [CrossRef]
- Mateus, M.M.; do Vale, M.; Rodrigues, A.; Bordado, J.C.; Galhano dos Santos, R. Is biomass liquefaction an option for the viability of poplar short rotation coppices? A preliminary experimental approach. Energy 2017, 124, 40–45. [Google Scholar] [CrossRef]
- Grilc, M.; Likozar, B.; Levec, J. Kinetic model of homogeneous lignocellulosic biomass solvolysis in glycerol and imidazolium-based ionic liquids with subsequent heterogeneous hydrodeoxygenation over NiMo/Al2O3 catalyst. Catal. Today 2015, 256, 302–314. [Google Scholar] [CrossRef]
- Braz, A.; Mateus, M.M.; dos Santos, R.G.; Machado, R.; Bordado, J.M.; Correia, M.J.N. Modelling of pine wood sawdust thermochemical liquefaction. Biomass Bioenergy 2019, 120, 200–210. [Google Scholar] [CrossRef]
- Galhano dos Santos, R.; Bordado, J.C.; Mateus, M.M. Potential biofuels from liquefied industrial wastes—Preliminary evaluation of heats of combustion and van Krevelen correlations. J. Clean. Prod. 2016, 137, 195–199. [Google Scholar] [CrossRef]
- Soares, B.; Gama, N.; Freire, C.S.R.; Barros-Timmons, A.; Brandão, I.; Silva, R.; Neto, C.P.; Ferreira, A. Spent coffee grounds as a renewable source for ecopolyols production. J. Chem. Technol. Biotechnol. 2015, 90, 1480–1488. [Google Scholar] [CrossRef]
- Galhano dos Santos, R.; Ventura, P.; Bordado, J.C.; Mateus, M.M. Direct and efficient liquefaction of potato peel into bio-oil. Environ. Chem. Lett. 2017, 15, 453–458. [Google Scholar] [CrossRef]
- Mateus, M.M.; Ventura, P.; Rego, A.; Mota, C.; Castanheira, I.; Bordado, J.; dos Santos, R.G. Acid Liquefaction of Potato (Solanum tuberosum) and Sweet Potato (Ipomoea batatas) Cultivars Peels—Pre-Screening of Antioxidant Activity/Total Phenolic and Sugar Contents. BioResources 2017, 12, 1463–1478. [Google Scholar] [CrossRef]
- Domingos, I.J.; Fernandes, A.P.; Ferreira, J.; Cruz-Lopes, L.; Esteves, B.M. Polyurethane foams from liquefied Eucalyptus globulus branches. BioResources 2019, 14, 31–43. [Google Scholar] [CrossRef]
- Sheng, C.; Azevedo, J.L.T. Estimating the higher heating value of biomass fuels from basic analysis data. Biomass Bioenergy 2005, 28, 499–507. [Google Scholar] [CrossRef]
- Demirbas, A.; Gullu, D.; Çaglar, A.; Akdeniz, F. Estimation of calorific values of fuels from lignocellulosics. Energy Sources 1997, 19, 765–770. [Google Scholar] [CrossRef]
- Mateus, M.M.; Bordado, J.C.; Dos Santos, R.G. Potential biofuel from liquefied cork—Higher heating value comparison. Fuel 2016, 174, 114–117. [Google Scholar] [CrossRef]
- Wang, Q.; Tuohedi, N. Polyurethane foams and bio-polyols from liquefied cotton stalk agricultural waste. Sustainability 2020, 12, 4214. [Google Scholar] [CrossRef]
- Behrendt, F.; Neubauer, Y.; Oevermann, M.; Wilmes, B.; Zobel, N. Direct liquefaction of biomass. Chem. Eng. Technol. 2008, 31, 667–677. [Google Scholar] [CrossRef]
- Lee, S.H.; Ohkita, T. Rapid wood liquefaction by supercritical phenol. Wood Sci. Technol. 2003, 37, 29–38. [Google Scholar] [CrossRef]
- Pan, H.; Shupe, T.F.; Hse, C.Y. Characterization of novolac type liquefied wood/phenol/formaldehyde (LWPF) resin. Eur. J. Wood Wood Prod. 2009, 67, 427–437. [Google Scholar] [CrossRef]
- Boocock, D.G.B.; Sherman, K.M. Further aspects of powdered poplar wood liquefaction by aqueous pyrolysis. Can. J. Chem. Eng. 1985, 63, 627–633. [Google Scholar] [CrossRef]
- Pan, H.; Shupe, T.F.; Hse, C.Y. Characterization of liquefied wood residues from different liquefaction conditions. J. Appl. Polym. Sci. 2007, 105, 3739–3746. [Google Scholar] [CrossRef]
- Sarkanen, K.V. Wood Chemistry; Wiley: New York, NY, USA, 1963. [Google Scholar]
- Kobayashi, M.; Asano, T.; Kajiyama, M.; Tomita, B. Analysis on residue formation during wood liquefaction with polyhydric alcohol. J. Wood Sci. 2004, 50, 407–414. [Google Scholar] [CrossRef]
- Pu, S.; Shiraishi, N. Liquefaction of wood without a catalyst, 1: Time course of wood liquefaction with phenols and effects of wood/phenol ratios. J. Jpn. Wood Res. Soc. 1993, 39, 446–452. [Google Scholar]
- Lin, L.Z. Characterization of Phenolated Wood and Study on the Liquefaction Mechanism of Lignin. Ph.D Thesis, Kyoto University, Kyoto, Japan, 1996. [Google Scholar]
- Hassan, E.M.; Shukry, N. Polyhydric alcohol liquefaction of some lignocellulosic agricultural residues. Ind. Crops Prod. 2008, 27, 33–38. [Google Scholar] [CrossRef]
- Pan, H.; Zheng, Z.; Hse, C.Y. Microwave-assisted liquefaction of wood with polyhydric alcohols and its application in preparation of polyurethane (PU) foams. Eur. J. Wood Wood Prod. 2012, 70, 461–470. [Google Scholar] [CrossRef]
- Kumar, A.; Sethy, A.; Chauhan, S. Liquefaction Behaviour of Twelve Tropical Hardwood Species in Phenol. Cienc. Tecnol. 2018, 20, 211–220. [Google Scholar] [CrossRef]
- Phyllis2—ECN Phyllis Classification. Available online: https://phyllis.nl/Browse/Standard/ECN-Phyllis#eucalyptus (accessed on 31 January 2021).
- Mateus, M.M.; Acero, N.F.; Bordado, J.C.; dos Santos, R.G. Sonication as a foremost tool to improve cork liquefaction. Ind. Crops Prod. 2015, 74, 9–13. [Google Scholar] [CrossRef]
- Aleme, H.G.; Barbeira, P.J.S. Determination of flash point and cetane index in diesel using distillation curves and multivariate calibration. Fuel 2012, 102, 129–134. [Google Scholar] [CrossRef]
- Xiao, B.; Sun, X.F.; Sun, R. Chemical, structural, and thermal characterizations of alkali-soluble lignins and hemicelluloses, and cellulose from maize stems, rye straw, and rice straw. Polym. Degrad. Stab. 2001, 74, 307–319. [Google Scholar] [CrossRef]
- Leclerc, D.F. Fourier Transform Infrared Spectroscopy in the Pulp and Paper Industry. Encycl. Anal. Chem. 2006, 11–12. [Google Scholar] [CrossRef]
- Mohebby, B. Application of ATR Infrared Spectroscopy in Wood Acetylation. J. Agric. Sci. Technol. 2010, 10, 253–259. [Google Scholar]
- Kizil, R.; Irudayaraj, J.; Seetharaman, K. Characterization of irradiated starches by using FT-Raman and FTIR spectroscopy. J. Agric. Food Chem. 2002, 50, 3912–3918. [Google Scholar] [CrossRef]
- Maia, A.A.D.; de Morais, L.C. Kinetic parameters of red pepper waste as biomass to solid biofuel. Bioresour. Technol. 2016, 204, 157–163. [Google Scholar] [CrossRef]




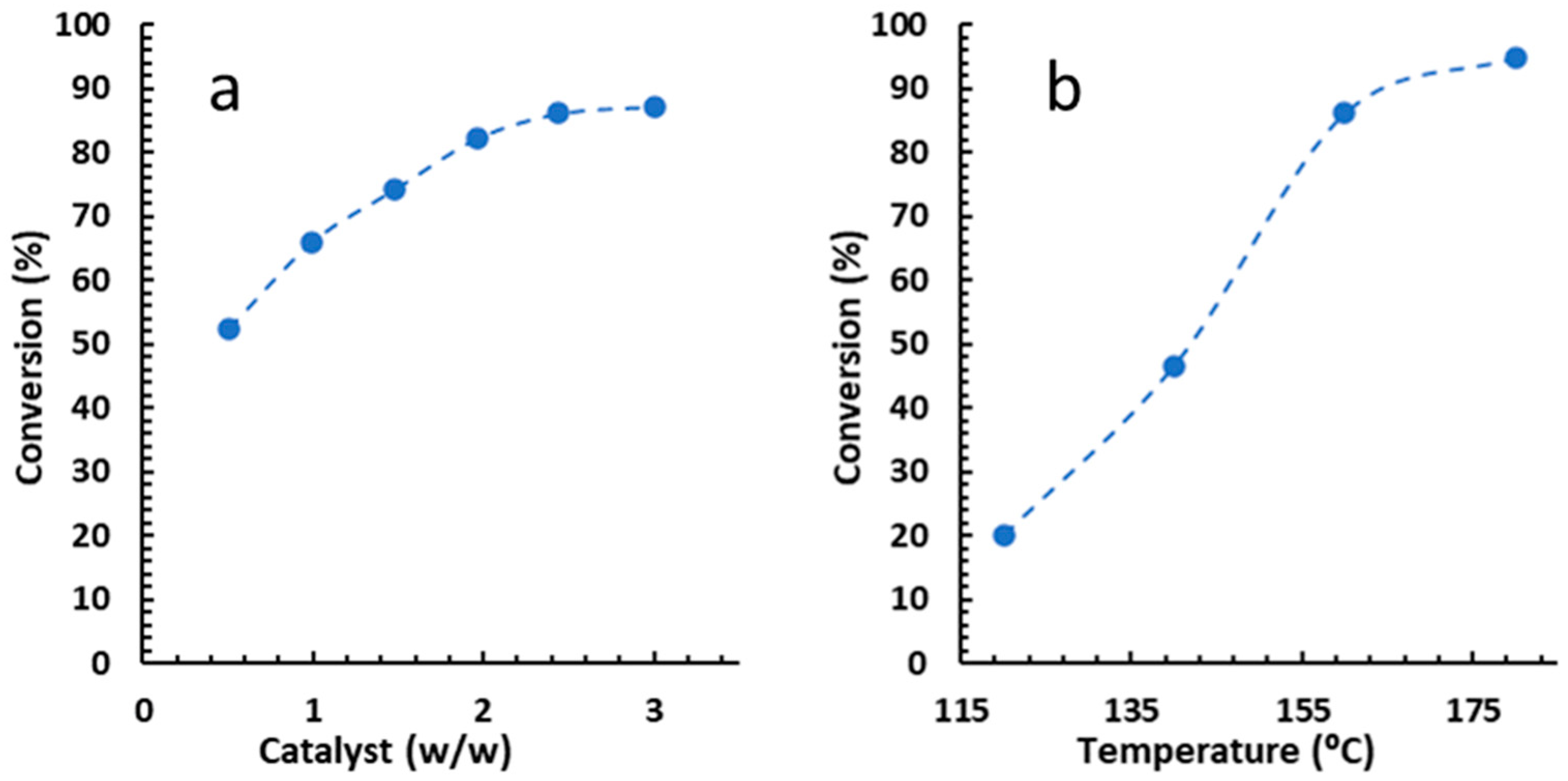
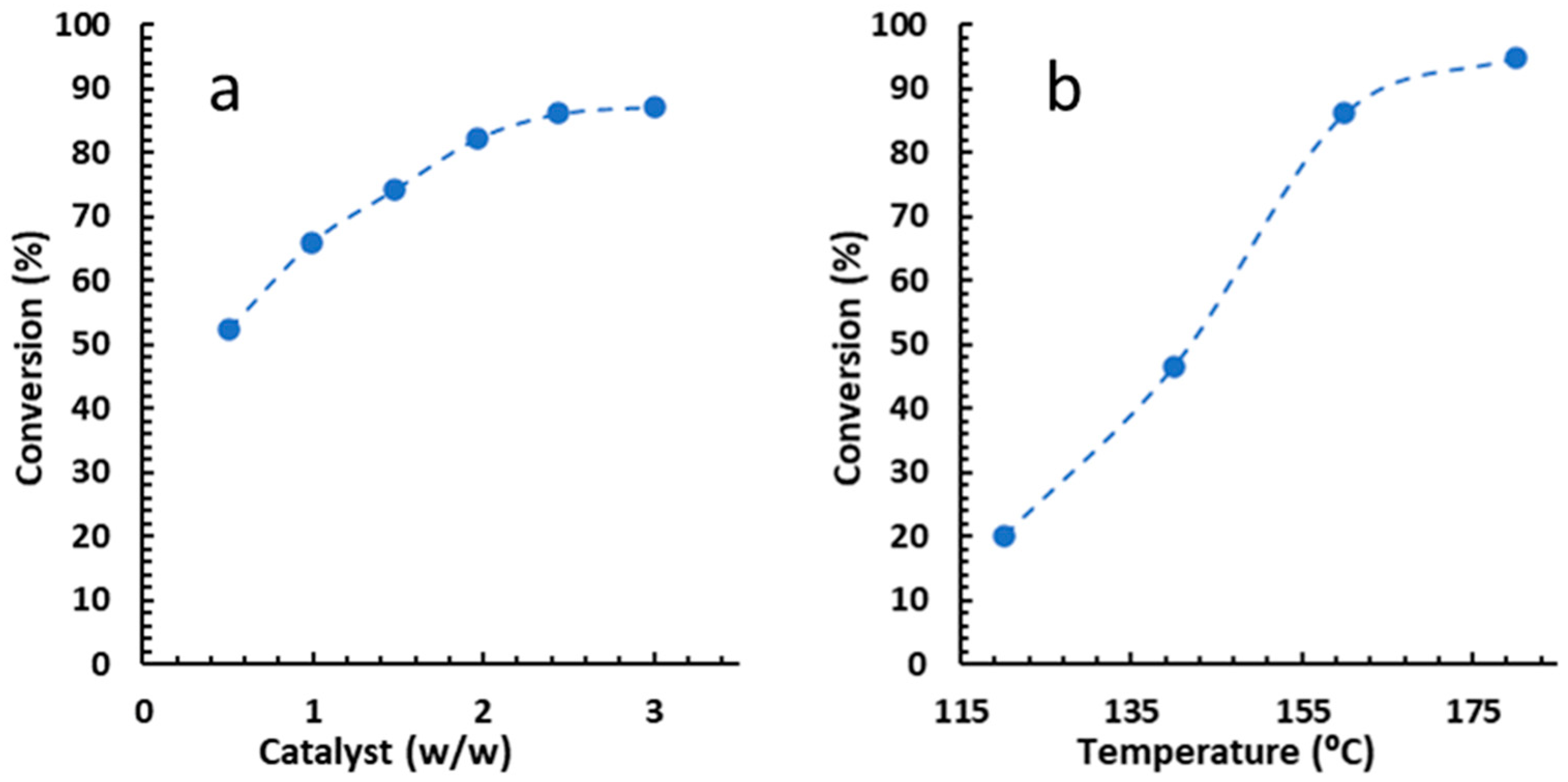
| Run | Biomass/Solvent | Time (min) | Temperature (°C) | Catalyst (% w/w) | Conversion (%) |
|---|---|---|---|---|---|
| 1 | 1:5 | 90 | 160 | 0.5 | 52.4 |
| 2 | 0.99 | 66 | |||
| 3 | 1.48 | 74.3 | |||
| 4 | 1.96 | 82.2 | |||
| 5 | 2.44 | 86.1 | |||
| 6 | 3 | 87.2 |
| Run | Biomass/Solvent | Time (min) | Temperature (°C) | Catalyst (% w/w) | Conversion (%) |
|---|---|---|---|---|---|
| 7 | 1:5 | 90 | 120 | 2.44 | 19.9 |
| 8 | 140 | 46.6 | |||
| 5 | 160 | 86.1 | |||
| 9 | 180 | 94.8 |
| Run | Biomass/Solvent | Time (min) | Temperature (°C) | Catalyst (% w/w) | Conversion (%) |
|---|---|---|---|---|---|
| 9 | 1:5 | 90 | 180 | 2.44 | 94.8 |
| 10 | 1:2 | 22.4 | |||
| 11 | 1:1 | 0 |
| Run | Biomass/Solvent | Time (min) | Temperature (°C) | Catalyst (% w/w) | Conversion (%) |
|---|---|---|---|---|---|
| 5 | 1:5 | 90 | 160 | 2.44 | 86.1 |
| 12 | 180 | 96.2 | |||
| 13 | 300 | 87.4 |
| Samples | Chemical Composition | HHV (MJ/Kg) | ||||
|---|---|---|---|---|---|---|
| C | H | S | N | O | ||
| E. globulus [36] | 48.72 | 5.99 | 0.01 | 0.39 | 44.67 | 19.44 |
| Bio-oil R12 | 69.53 | 10.14 | <2 | <0.5 | 17.82 | 34.98 * |
Publisher’s Note: MDPI stays neutral with regard to jurisdictional claims in published maps and institutional affiliations. |
© 2021 by the authors. Licensee MDPI, Basel, Switzerland. This article is an open access article distributed under the terms and conditions of the Creative Commons Attribution (CC BY) license (http://creativecommons.org/licenses/by/4.0/).
Share and Cite
Fernandes, F.; Matos, S.; Gaspar, D.; Silva, L.; Paulo, I.; Vieira, S.; C. R. Pinto, P.; Bordado, J.; Galhano dos Santos, R. Boosting the Higher Heating Value of Eucalyptus globulus via Thermochemical Liquefaction. Sustainability 2021, 13, 3717. https://doi.org/10.3390/su13073717
Fernandes F, Matos S, Gaspar D, Silva L, Paulo I, Vieira S, C. R. Pinto P, Bordado J, Galhano dos Santos R. Boosting the Higher Heating Value of Eucalyptus globulus via Thermochemical Liquefaction. Sustainability. 2021; 13(7):3717. https://doi.org/10.3390/su13073717
Chicago/Turabian StyleFernandes, Frederico, Sandro Matos, Daniela Gaspar, Luciana Silva, Ivo Paulo, Salomé Vieira, Paula C. R. Pinto, João Bordado, and Rui Galhano dos Santos. 2021. "Boosting the Higher Heating Value of Eucalyptus globulus via Thermochemical Liquefaction" Sustainability 13, no. 7: 3717. https://doi.org/10.3390/su13073717
APA StyleFernandes, F., Matos, S., Gaspar, D., Silva, L., Paulo, I., Vieira, S., C. R. Pinto, P., Bordado, J., & Galhano dos Santos, R. (2021). Boosting the Higher Heating Value of Eucalyptus globulus via Thermochemical Liquefaction. Sustainability, 13(7), 3717. https://doi.org/10.3390/su13073717

