Economic Transition and the Evolution of City-Size Distribution of China’s Urban System
Abstract
1. Introduction
2. Methods and Data
2.1. Theoretical Model
2.2. Data
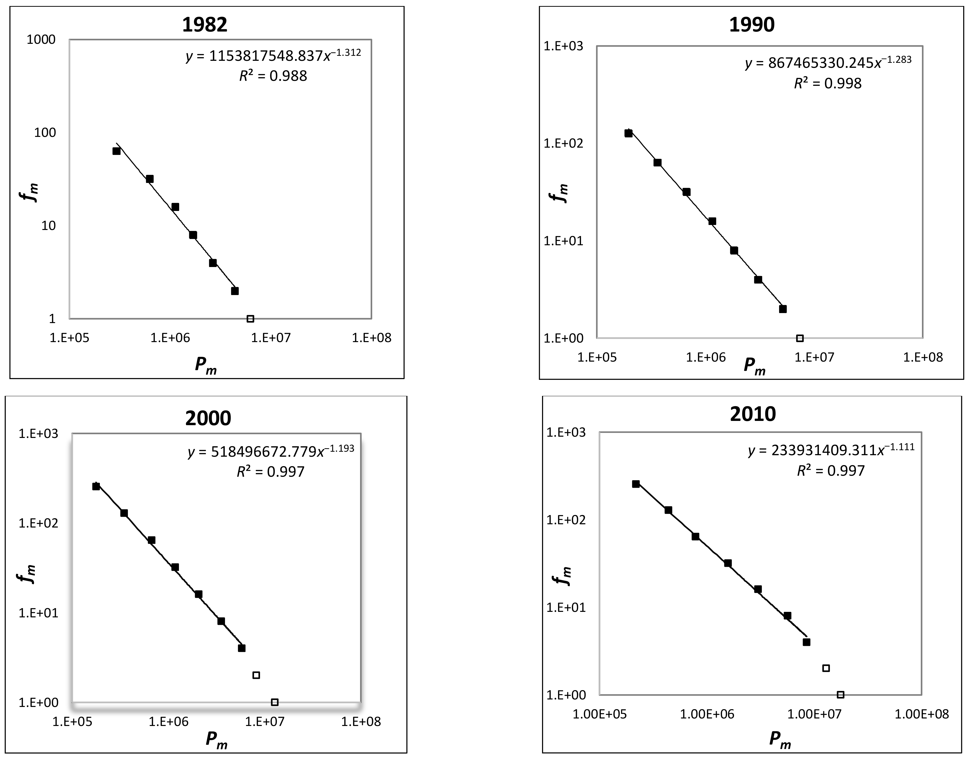
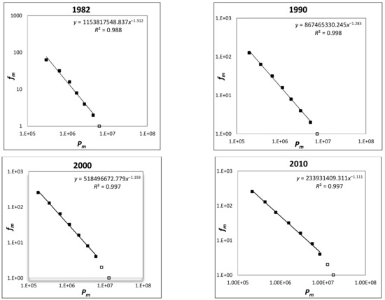
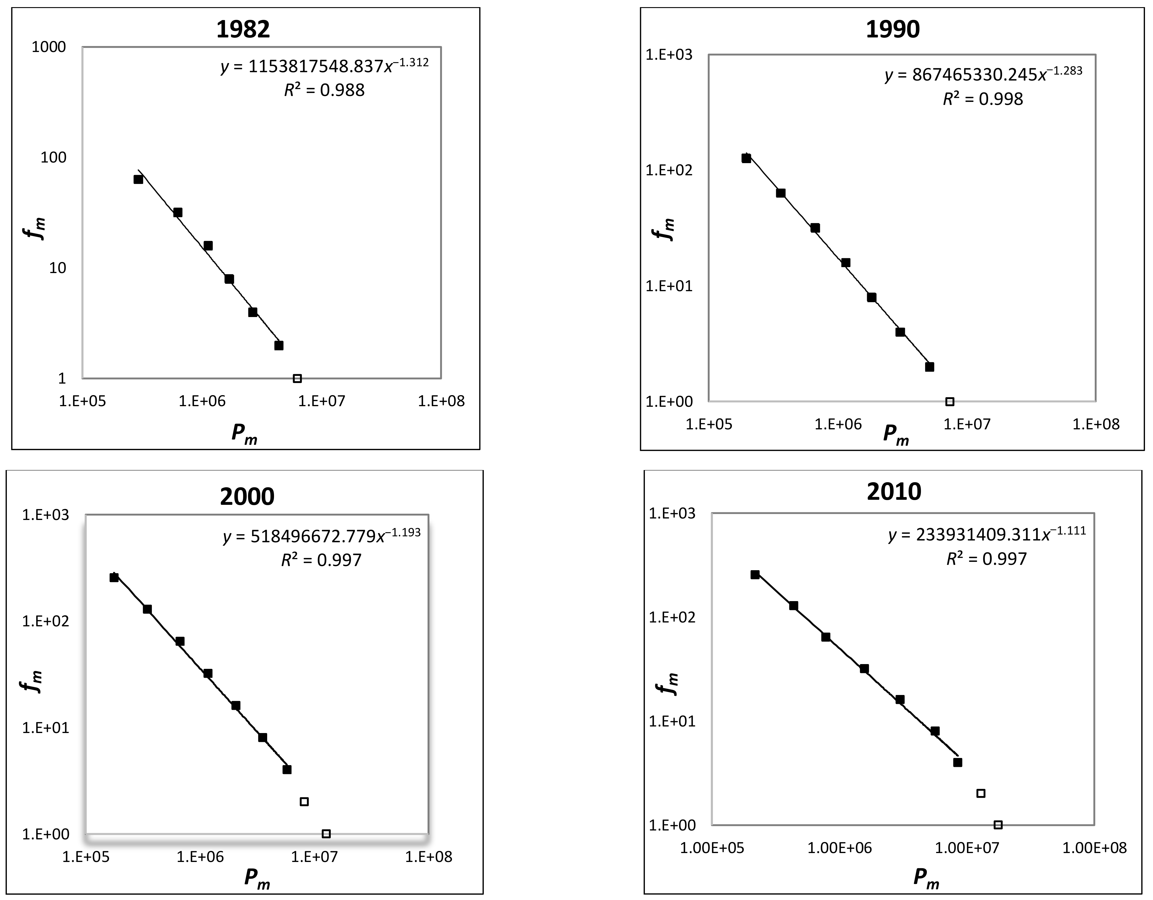
3. Results
4. Economic Transition and Urban System Development in China
4.1. Market-Oriented Reforms and Evolution of City Size Distribution
4.2. State’s Influence on City Size Distribution
5. Discussion
6. Conclusions
Author Contributions
Funding
Institutional Review Board Statement
Informed Consent Statement
Data Availability Statement
Conflicts of Interest
References
- Allen, P.M. Cities and Regions as Self-Organizing Systems: Models of Complexity; Gordon and Breach Science Pub: Amsterdam, The Netherlands, 1997. [Google Scholar]
- Allen, P.M.; Sanglier, M. Urban evolution, self-organization, and decision making. Environ. Plan. A 1981, 13, 167–183. [Google Scholar] [CrossRef]
- Portugali, J. Self-Organization and the City; Springer Science & Business Media: Berlin, Germany, 2012. [Google Scholar]
- Haken, H.; Portugali, J. A synergetic approach to the self-organization of cities and settlements. Environ. Plan. B Plan. Des. 1995, 22, 35–46. [Google Scholar] [CrossRef]
- Batty, M. Hierarchy in cities and city systems. In Hierarchy in Natural and Social Sciences; Pumain, D., Ed.; Springer: Dordrecht, The Netherlands, 2006; pp. 143–168. [Google Scholar]
- Alperovich, G. The size distribution of cities: On the empirical validity of the rank-size rule. J. Urban Econ. 1984, 16, 232–239. [Google Scholar] [CrossRef]
- Berry, B.J.L.; Okulicz-Kozaryn, A. The city size distribution debate: Resolution for US urban regions and megalopolitan areas. Cities 2012, 29 (Suppl. 1), S17–S23. [Google Scholar] [CrossRef]
- Carroll, G.R. National city size distributions what do we know after 67 years of research? Prog. Hum. Geogr. 1982, 6, 1–43. [Google Scholar] [CrossRef]
- Anderson, G.; Ge, Y. The size distribution of Chinese cities. Reg. Sci. Urban Econ. 2005, 35, 756–776. [Google Scholar] [CrossRef]
- Benguigui, L.; Blumenfeld-Lieberthal, E. Beyond the power law–a new approach to analyze city size distributions. Comput. Environ. Urban Syst. 2007, 31, 648–666. [Google Scholar] [CrossRef]
- Benguigui, L.; Blumenfeld-Lieberthal, E. A dynamic model for city size distribution beyond Zipf’s law. Phys. A Stat. Mech. Appl. 2007, 384, 613–627. [Google Scholar] [CrossRef]
- Chen, Y.; Zhou, Y. Scaling laws and indications of self-organized criticality in urban systems. Chaos Solit. Fractals 2008, 35, 85–98. [Google Scholar] [CrossRef]
- Gangopadhyay, K.; Basu, B. City size distributions for India and China. Phys. A Stat. Mech. Appl. 2009, 388, 2682–2688. [Google Scholar] [CrossRef]
- Swerts, E. A Data Base on Chinese Urbanization: ChinaCities. Cybergeo: European Journal of Geography: Paris, France. 2017. Available online: http://journals.openedition.org/cybergeo/28554 (accessed on 21 September 2017). [CrossRef]
- Swerts, E.; Liao, L. The Chinese Urban System: Political Evolution and Economic Transition. In International and Transnational Perspectives on Urban Systems.; Springer: Singapore, 2018; pp. 215–235. [Google Scholar]
- Wu, F. Emerging cities and urban theories: A Chinese perspective. In Theories and models of urbanization; Pumain, D., Ed.; Springer: Berlin, Germany, 2019; pp. 171–182. [Google Scholar]
- Wu, F.; Xu, J.; Yeh, A.G.O. Urban Development in Post-Reform China: State, Market, Space; Routledge: New York, NY, USA, 2007. [Google Scholar]
- Pannell, C.W. Recent growth and change in China’s urban system. In Urban Development in Modern China; Ma Laurence, J., Hanten, E.W., Eds.; Westview Press: Boulder, CO, USA, 1982; pp. 91–114. [Google Scholar]
- Chang, S.D. The changing system of Chinese cities. Ann. Assoc. Am. Geogr. 1976, 66, 398–415. [Google Scholar] [CrossRef]
- Chang, S.D. Modernization and China’s urban development. Ann. Assoc. Am. Geogr. 1981, 71, 202–219. [Google Scholar] [CrossRef]
- Lin, G.C.S. Chinese Urbanism in Question: State, Society, and the Reproduction of Urban Spaces. Urban Geogr. 2007, 28, 7–29. [Google Scholar] [CrossRef]
- Fan, C.C. The vertical and horizontal expansions of China’s city system. Urban Geogr. 1999, 20, 493–515. [Google Scholar] [CrossRef]
- Zhao, S.X.B.; Zhang, L. Urban performance and the control of urban size in China. Urban Stud. 1995, 32, 813–846. [Google Scholar] [CrossRef]
- Huang, Y. Capitalism with Chinese Characteristics: Entrepreneurship and the State; Cambridge University Press: Oxford, UK, 2008; Volume 1. [Google Scholar]
- Yeh, A.G.O.; Yang, F.F.; Wang, J. Economic transition and urban transformation of China: The interplay of the state and the market. Urban Stud. 2015, 52, 2822–2848. [Google Scholar] [CrossRef]
- Chan, K.W.; Buckingham, W. Is China abolishing the hukou system? China Q. 2008, 195, 582–606. [Google Scholar] [CrossRef]
- Bak, P. How Nature Works: The Science of Self-Organized Criticality; Springer: New York, NY, USA, 1996. [Google Scholar]
- Cristelli, M.; Batty, M.; Pietronero, L. There is More than a Power Law in Zipf. Sci. Rep. 2012, 2, 812. [Google Scholar] [CrossRef] [PubMed]
- Chen, Y. The rank-size scaling law and entropy-maximizing principle. Phys. A Stat. Mech. Appl. 2012, 391, 767–778. [Google Scholar] [CrossRef]
- Zipf, G.K. Human Behavior and the Principle of Least Effort; Addison-Wesley Press: Cambridge, MA, USA, 1949. [Google Scholar]
- Gabaix, X.; Ioannides, Y.M. The Evolution of City Size Distributions. In Handbook of Regional and Urban Economics; Thisse, J.-F., Henderson, J.V., Eds.; Elsevier: London, UK, 2004; Volume 4, pp. 2341–2378. [Google Scholar]
- Chen, Y.; Zhou, Y. The rank-size rule and fractal hierarchies of cities: Mathematical models and empirical analyses. Environ. Plan. B Plan. Des. 2003, 30, 799–818. [Google Scholar] [CrossRef]
- Chen, Y. Modeling fractal structure of city size distributions using correlation functions. PLoS ONE 2011, 6, e24791. [Google Scholar] [CrossRef]
- Chen, Y. The mathematical relationship between Zipf’s law and the hierarchical scaling law. Phys. A: Stat. Mech. Appl. 2012, 391, 3285–3299. [Google Scholar] [CrossRef]
- Jiang, B.; Yao, X. Geospatial Analysis and Modelling of Urban Structure and Dynamics; Springer Science & Business Media: London, UK, 2010; Volume 99. [Google Scholar]
- Zhou, Y.X.; Yu, H. Restructuring city population size hierarchy of China based on the Fifth Population Census (1). City Plan. Rev. 2004, 28, 49–55. (In Chinese) [Google Scholar]
- Skinner, G.W. Regional urbanization in 19th-century China. In The City in Late Imperial China; Skinner, G.W., Ed.; Stanford University Press: Stanford, CA, USA, 1977; pp. 211–249. [Google Scholar]
- Kornai, J. Growth, Shortage, and Efficiency: A Macrodynamic Model of the Socialist Economy; University of California Press: Berkeley/Los Angeles, CA, USA, 1982. [Google Scholar]
- Shen, J. Understanding dual-track urbanisation in post-reform China: Conceptual framework and empirical analysis. Popul. Space Place 2006, 12, 497–516. [Google Scholar] [CrossRef]
- Sit, V.F.S.; Yang, C. Foreign-investment-induced exo-urbanisation in the Pearl River Delta, China. Urban Stud. 1997, 34, 647–677. [Google Scholar] [CrossRef]
- Au, C.C.; Henderson, J.V. How migration restrictions limit agglomeration and productivity in China. J. Dev. Econ. 2006, 80, 350–388. [Google Scholar] [CrossRef]
- Ran, M.; Berry, B.J.L. Underurbanization policies assessed: China, 1949–1986. Urban Geogr. 1989, 10, 111–120. [Google Scholar] [CrossRef]
- Song, S.; Zhang, K.H. Urbanisation and city size distribution in China. Urban Stud. 2002, 39, 2317–2327. [Google Scholar] [CrossRef]
- Xu, X.Q.; Ouyang, N.J.; Zhou, C.S. The changing urban system of China: New developments since 1978. Urban Geogr. 1995, 16, 493–504. [Google Scholar] [CrossRef]
- Xu, Z.; Zhu, N. City size distribution in China: Are large cities dominant? Urban Stud. 2009, 46, 2159–2185. [Google Scholar] [CrossRef]
- Yeh, A.G.O.; Xu, X.Q. Provincial variation of urbanization and urban primacy in China. Ann. Reg. Sci. 1984, 18, 1–20. [Google Scholar] [CrossRef]
- Chen, Y. Fractal Urban Systems: Scaling, Symmetry, and Spatial Complexity; Scientific Press: Beijing, China, 2008. (In Chinese)
- Jiang, B.; Jia, T. Zipf’s law for all the natural cities in the United States: A geospatial perspective. Int. J. Geogr. Inf. Sci. 2011, 25, 1269–1281. [Google Scholar] [CrossRef]
- Jiang, B.; Liu, X. Scaling of geographic space from the perspective of city and field blocks and using volunteered geographic information. Int. J. Geogr. Inf. Sci. 2012, 26, 215–229. [Google Scholar] [CrossRef]
- Ma, L.J.C. Urban administrative restructuring, changing scale relations and local economic development in China. Political Geogr. 2005, 24, 477–497. [Google Scholar] [CrossRef]
- Zhou, Y.X.; Hu, D.P. An analysis of the impact of the city-administering-county system on the economy of the subordinate counties based on questionnaires. Econ. Geogr. 1992, 12, 8–14. (In Chinese) [Google Scholar]






| m | fm | 1982 | 1990 | 2000 | 2010 | ||||
|---|---|---|---|---|---|---|---|---|---|
| Pm | rp | Pm | rp | Pm | rp | Pm | rp | ||
| 1 | 1 | 6,320,829 | 7,469,509 | 12,720,701 | 17,640,842 | ||||
| 2 | 2 | 4,397,004 | 1.438 | 5,172,148 | 1.444 | 8,177,726 | 1.556 | 12,950,396 | 1.362 |
| 3 | 4 | 2,653,298 | 1.657 | 3,061,403 | 1.689 | 5,778,874 | 1.415 | 8,512,504 | 1.521 |
| 4 | 8 | 1,691,846 | 1.568 | 1,893,017 | 1.617 | 3,513,397 | 1.645 | 5,617,198 | 1.515 |
| 5 | 16 | 1,127,355 | 1.501 | 1,201,374 | 1.576 | 2,061,115 | 1.705 | 2,999,553 | 1.873 |
| 6 | 32 | 628,812 | 1.793 | 704,224 | 1.706 | 1,170,093 | 1.761 | 1,578,081 | 1.901 |
| 7 | 64 | 293,458 | 2.143 | 367,607 | 1.916 | 667,668 | 1.753 | 786,780 | 2.006 |
| 8 | 128 | 196,327 | 1.872 | 345,750 | 1.931 | 439,690 | 1.789 | ||
| 9 | 256 | 177,006 | 1.953 | 219,370 | 2.004 | ||||
| Average | 1.683 | 1.689 | 1.715 | 1.746 | |||||
| Year | Rank-Size Distribution | Cascade Structure | |||||
|---|---|---|---|---|---|---|---|
| q | R2 | Scaling Range | D | q* | R2 | Scaling Range | |
| 1982 | 0.795 | 0.968 | Ranks 3 to 120 | 1.312 | 0.762 | 0.988 | Classes 2 to 7 |
| 1990 | 0.816 | 0.992 | Ranks 4 to 300 | 1.283 | 0.779 | 0.998 | Classes 2 to 8 |
| 2000 | 0.877 | 0.990 | Ranks 7 to 550 | 1.193 | 0.838 | 0.997 | Classes 3 to 9 |
| 2010 | 0.923 | 0.989 | Ranks 6 to 550 | 1.111 | 0.900 | 0.997 | Classes 3 to 9 |
Publisher’s Note: MDPI stays neutral with regard to jurisdictional claims in published maps and institutional affiliations. |
© 2021 by the authors. Licensee MDPI, Basel, Switzerland. This article is an open access article distributed under the terms and conditions of the Creative Commons Attribution (CC BY) license (http://creativecommons.org/licenses/by/4.0/).
Share and Cite
Wang, J.; Chen, Y. Economic Transition and the Evolution of City-Size Distribution of China’s Urban System. Sustainability 2021, 13, 3287. https://doi.org/10.3390/su13063287
Wang J, Chen Y. Economic Transition and the Evolution of City-Size Distribution of China’s Urban System. Sustainability. 2021; 13(6):3287. https://doi.org/10.3390/su13063287
Chicago/Turabian StyleWang, Jiejing, and Yanguang Chen. 2021. "Economic Transition and the Evolution of City-Size Distribution of China’s Urban System" Sustainability 13, no. 6: 3287. https://doi.org/10.3390/su13063287
APA StyleWang, J., & Chen, Y. (2021). Economic Transition and the Evolution of City-Size Distribution of China’s Urban System. Sustainability, 13(6), 3287. https://doi.org/10.3390/su13063287

