Abstract
The effects of two digestates split up in liquid and solid fractions were investigated on tomato production. The objectives were (1) to verify if the two digestates different in composition differently affected the growth and the quality of tomato; (2) to assess the effectiveness of the two digestate fractions (liquid and solid) on tomato growth and quality characteristics of the harvested tomato fruit. In short, our results evidenced different effects between the two digestates and also between solid and liquid fractions, suggesting that the type of solid fraction (Uliva or Fattoria) rather than the concentration, or their interaction mainly influenced plant growth parameters. Conversely, the effectiveness of liquid fractions were mostly due to the concentrations rather than to the type of digestate. Results also evidenced positive effects of both digestates on the nutritional values of tomatoes, largely explained by the increase in various health-promoting compounds, including vitamin C, flavonoids, and phenolic compounds. The contemporary increase in these different bio-compounds with a wide range of physiological properties and multi target actions confers to digestate treated tomato a nutraceutical benefit. The use of both fractions of both digestates as fertilizer may represent an effective strategy to obtain, even if in some cases at the expense of growth, high-quality fruit in a sustainable way from an economic and environmental point of view.
1. Introduction
Tomato (Solanum lycopersicum L.), native to the Andean region, was brought to Europe in the 15th century. The implementation of domestication, breeding, and research activities developed modern tomato varieties (mainly hybrids) with different kinds of shapes, colors, and sizes and a better taste, shelf life, and nutrients [1,2].
The worldwide tomato production reached 182 million tons in 2019 with the highest regional production in Asia (61.5%), followed by Europe (25.5%) and Americas (13%) [3].
Tomato fruits are part of a healthy diet regime, as nutrients like pro-vitamin A, ascorbic acid, potassium, and folate are present in significant concentrations; otherwise, tomatoes are low in fats and cholesterol free. Consumption of tomatoes exerts positive effects on human health and their intake is inversely related to the incidence of cancer, cardiovascular diseases, and ageing problems. Non-nutritive phytochemicals like carotenoids (lycopene, phytoene, and b-carotene) and polyphenols (flavonoids, flavanones, and flavones), are present in significant amounts in tomato [4]. It is because of the high content of these bioactive health-promoting compounds that this fruit is considered a useful ingredient for functional foods, because many of its phytochemicals are not affected but are even fortified with maturation and cooking [5]. Generally, the continuous use of mineral fertilization for tomato production is leading to soil fertility loss [6] and a reduction of protein content and carbohydrate quality in tomato fruit [7]. Tomato grown on mineral over-fertilized soils is also more inclined to pest diseases [8].
The reduction and elimination of the adverse effects of synthetic fertilizers and pesticides to preserve human health and to reduce the negative impact on the environment is the priority and the challenge of agriculture in the last decades. There is the need to adopt sustainable low cost agricultural practices to produce sufficient quantity of quality food. This means that a sustainable use of agricultural waste residues could be an advantageous solution to maintain high yields, reducing the production costs mainly for small family business.
Numerous publications demonstrated the effectiveness of digestate as suitable nutrient source in agriculture [9,10,11], evidencing also that its chemical properties mainly depend on the anaerobic digester’s feedstock and operation results [12,13].
Among the agricultural waste residues, digestate when added to soil can affect N cycle, resulting in an increase in the proportion of total N and in a decrease of C/N ratio. Its application could also cause risk of volatilization and/or dispersal of nitrogen forms, mainly if disposed on soil surface. The negative effects of digestate on long-term sustainability in terms of soil fertility and environmental impact at field level were in any case of minor relevance [13]. The first step in digestate processing is generally the separation of solid fraction from the liquid ones for its easy management and use. The solid fraction is directly used in agriculture for fertilizer purpose; instead, the liquid fraction, based on its composition, is often employed for fertigation scopes, since it provides water and nutrients simultaneously.
N, P, K, Ca, Mg, and S, are needed in large amounts by tomato for its normal growth and reproduction, and it is well known that application of fertilizers and manures can increase tomato yield by several folds compared to that without fertilization. Additionally, numerous studies [10,14,15] demonstrated that the quantity and type of nutrients influenced its mineral content, taste, and post-harvest storage quality.
Additionally, Barzee et al., 2019 [10], showed that field application of digestate increased the contents of protein, soluble sugar, vitamin C, and beta-carotene in tomato fruits and higher total and soluble solids contents compared to the synthetically fertilized tomatoes. Starting from the above assertions and considering that the above-mentioned nutrients are normally present in the digestates at high levels, our research hypothesis is that digestate could be used as a suitable fertilizer not only for improving tomato growth, but mainly to increase its quality.
In this study, we used two digestates, previously characterized, (Fattoria and Uliva), that showed different composition and agronomic quality [13]. The specific objectives of our study were (1) to verify if the two digestates different in composition differently affected the growth and the quality of tomato; (2) to assess the effectiveness of the two digestate fractions (liquid and solid) on tomato growth and quality characteristics of the harvested tomato fruit; (3) to verify the possibility of using digestate as partial substitution of substrate in proportions from 25% to 75%. In particular the antioxidant power as carotenoids (β-carotene and lycopene), vitamin C, individual phenolics compounds, and flavonoids, have been evaluated because of their well-known positive effects on human health. Reusing a waste to reduce its environmental impact and to increase the economic benefit of anaerobic digestion plants and agricultural sectors should draw increasing interest in the future.
2. Materials and Methods
2.1. Reagents, Chemicals, and Instrumentation
HPLC-grade acetonitrile and methanol were supplied by Sigma-Aldrich (St. Louis, MO, USA). All the other reagents and chemicals used in this study were of analytical grade and were purchased from Sigma (Sigma-Aldrich GmbH, Sternheim, Germany).
2.2. Plant Material and Experimental Conditions
The two digestates were obtained from two plants differently fed. The digestate named Fattoria came from the digester mainly powered with animal manures (poultry, cow, and sheep), while the digester Uliva was mainly fed with olive waste and citrus pulp and in minor extent with animal manure and maize silage. Chemical and biological analysis showed a lower phenol amount and a higher microbial activity in Fattoria digestate in comparison with Uliva digestate [13].
The experiments were conducted in a greenhouse, under controlled environment (23 ± 2 °C temperature) for three months. The experiment design was replicated for three years, and the data are the average values of the three years. Plastic pots (26 cm diameter × 27 cm height) were filled with 4.5 kg of an alkaline sandy-loam soil [13] and amended with two different digestates separated in liquid and solid fractions. The two digestates were arbitrarily called Fattoria and Uliva [12]. The two solid fractions, named SF for fattoria and SU for Uliva [12,13] and on basis of previous results, were used at 25, 50, and 75% w/w. The liquid fractions (LF for Fattoria and Ul for Uliva) were used at 10, 20, and 30% v/w. Soil without digestate and fertilized with NPK (20:10:10, 1.2 g/pot) was used as control. The pots were arranged randomly on bench, three replicates were carried out for each treatment, and the soil moisture was maintained at 70% of the field capacity. At harvesting time, after three months from treatments, plant height, leaf number and leaf area, collar diameter, flower, and fruit numbers were evaluated.
After harvesting, tomato fruits were analyzed for size, weight, pH, titratable acidity, and total soluble solids content.
2.3. Total Soluble Solids (TSS) Content and Titratable Acidity (TA)
Total soluble solids (TSS) were determined for each sample fruit in two replications using an Atago DR-A1digital refractometer (Atago Co. Ld.,Tokyo, Japan) at 20 °C and expressed as °Brix.
Titratable acidity (TA) was detected by titrating 5 mL of tomato juice with 0.1 N NaOH up to pH 8.1 with a pH meter (HANNA Instruments, Woonsocket, RI, USA). The result was expressed as grams of citric acid per 100 g of fresh weight.
2.4. Fruit Chemical Analysis
Fruits were stored whole at −40 °C until analysis. Prior to extraction, partially frozen fruits (5 g) were blended and homogenized with 15 mL of MeOH:H2O (80:20), centrifuged at 3000 rpm for 15 min, and filtered through a 0.45 µm filter (Millipore Corporation, Bedford, TX, USA). The extract was frozen at −80 °C until analysis.
Total phenols were determined using the Folin–Ciocalteu (FC) assay with a modified procedure [16]. An aliquot (500 µL) of each extract was added to 3.5 mL of distilled water and 250 µL of FC reagent and vortexed for 10–20 s. After the addition of 2 mL of filtered 20% sodium carbonate solution, the mixture was filled up to 50 mL with deionized water and placed in the dark for 1 h. The absorbance of the blue color that developed was read at 685 nm using a UV–Vis Agilent 8453 spectrophotometer (Agilent Technologies, Santa Clara, CA, USA). Results were expressed in mg gallic acid 100 g−1 fresh weight.
Total flavonoids were determined following the colorimetric method [17] with some modifications. Extracts (2 mL) were mixed with 300 µL of a 5% NaNO2 water solution. After 5 min, 600 µL of 10% AlCl3 solution in water was added to samples, and after 5 min followed by the addition of 2 mL of 1 M NaOH and of distilled water up to 10 mL. Absorbance was read at 510 nm against the blank (water) using a UV–Vis Agilent 8453 spectrophotometer (Agilent Technologies, CA USA), and flavonoid content was expressed as mg rutin equivalents/100 g FW by a calibration curve.
Lycopene was determined by a spectrophotometric method [18]. Approximately 0.6 g (determined to the nearest 0.01 g) duplicate samples were weighed and added with 5 mL of 0.05% (w/v) butylated hydroxytoluene (BHT) in acetone, 5 mL of 95% USP grade ethanol, and 10 mL of hexane under stirring. Samples were extracted on an orbital shaker at 180 rpm (Lab-Line Instrument Co., Melrose Park, IL, USA) for 15 min on ice. After shaking, 3 mL of deionized water were added, and the samples were shaken for an additional 5 min on ice. Shaking was stopped, and vials were left at room temperature for 5 min to allow for phase separation. The absorbance of the upper, hexane layer was measured in a 1 cm path length quartz cuvette at 503 nm blanked with hexane.
Vitamin C was assayed as reported in Panuccio et al. [19]. Sample (2 g) was homogenized in 8 mL 6% (w/v) trichloroacetic acid, centrifuged at 3500 rpm for 20 min, and the supernatant was analyzed. The assay is based on the reduction of Fe3+ to Fe2+ by vitamin C in an acidic solution, giving a pink color with the maximum absorbance at 525 nm. The supernatants were analyzed by a UV–Vis Agilent 8453 spectrophotometer (Agilent Technologies, Santa Clara, CA, USA). The results were expressed as mg of ascorbic acid/100 g fresh weight by a calibration curve.
2.5. Antioxidant Activities
DPPH activity was detected according to Brand-Williams [20]. A 2.4 mL of 0.06 mM DPPH· methanolic solution was added to 100 µL of aqueous extract. The change in absorbance of the violet solution was recorded at 517 nm after 30 min of incubation at 37 °C. A blank without extract was prepared for each sample. The decrease in absorbance in percentage was analyzed utilizing the following equation: absorbance decrease (%) = (At0 − AS)/At0) × 100, where At0 is the DPPH· absorbance of blank (reference solution) and AS is the DPPH· absorbance of the sample. Results have been expressed as Trolox equivalent (TE) using a calibration curve.
The ABTS assay was performed as reported [21]. A solution of 7 mmol L−1 ABTS+• (final concentration) and 2.45 mmol L−1 ammonium persulfate (final concentration) in phosphate-buffered saline (PBS) was kept in the dark at room temperature for 12–16 h. Aliquots of extracts (25, 50, and 100 μL) were added to 0.5 mL of ABTS+• solution (7 mmol L−1 ABTS+• and 2.45 mmol L−1 ammonium persulfate in phosphate-buffered saline) and brought to a final volume of 600 μL with phosphate-buffered saline (PBS). The samples were incubated for 6 min in the dark at room temperature and after the absorbance was recorded at 734 nm by a UV–visible spectrophotometer. The inhibition I (%) of radical-scavenging activity was calculated as I (%) = [(A0 − AS)/A0] × 100.
A0 is the absorbance of the control, and AS is the absorbance of the sample after incubation. Results were expressed as μmol L−1 TE using a Trolox (1–50 μmol L−1) calibration curve.
2.6. Detection of Individual Phenolic and Flavonoid Compounds by HPLC Analysis
Tomato samples (2.5 g) were homogenized with a 5 mL of MeOH:H2O (80:20) solution. After centrifugation at 3000 rpm for 15 min, the supernatant was passed through a 0.45 µm filter (Millipore Corporation, Bedford, USA) and analyzed immediately. Separation of phenolic and flavonoid compounds was performed by a HPLC/DAD Knauer system (Asi Advanced Scientific Instruments, Berlin, Germany), equipped with two pumps: Smartiline Pump 1000, a Rheodyne injection valve (20 µL), and a photodiode array detector UV/VIS provided with a semi micro-cell. UV spectra (range 210–365 nm) and simultaneous detection by diode array at 254, 280, and 365 nm were performed. Clarity Software (Chromatography Station for windows) was used for processing data. Phenolic compounds were separated on a Phenomenex C18 column (250 mm × 4.6 mm, 5 µm). The mobiles phases used were: A, acidified water (0.5% acetic acid, v/v); B, acetonitrile. The programmed gradient was as follows: 0 min, 0% B; 10 min, 20% B; 15 min, 30% B; 20 min, 50% B; 25 min, 75% B; 30 min, 100% B; 32 min 0% B. At the end, the initial conditions were held for 8 min as a re-equilibration step. The flow rate was set at 0.80 mL/min. The identification of the compounds has been performed by comparison with calibration curves obtained with known concentration of thirteen phenolic compounds (five phenolic acids and eight flavonoids). Quantitative analysis was carried out by integration of the areas of the peaks as average values of triplicate injections.
2.7. Mineral Assay
Cations (Na, K, Ca, and Mg) were extracted as reported in Muscolo et al. [21], and the samples were analyzed using ion chromatography (DIONEX ICS-1100, Thermo Fisher Scientific Waltham, MA, USA) with 20 mM methane-sulfonic acid as eluent.
2.8. Statistical Analysis
The values of the data are expressed as means of three years ± standard deviation. One-way analysis of variance (ANOVA) has been performed on the obtained results, and Tukey’s test was run to check the significance of the difference between samples and respective controls. A p < 0.05 value indicates significant statistically difference. Two way ANOVA was performed to analyze the effects of both digestates, of concentrations and their interaction on plant height, collar diameter, leaf, flower and fruit numbers, and leaf area. All analyses were conducted using SYSTAT 13 for Windows.
3. Results and Discussion
Treatments with Fattoria (FS) solid fraction increased plant height and leaf area in a concentration dependent manner. With 75% FS, plant height doubled, and leaf area tripled (Figure 1). Flowers and fruit numbers and collar diameter increased significantly in presence of FS up to a concentration of 50%, then decreased, but up to values higher than control. Solid Uliva (US) had an opposite effect on tomato growth; increasing US concentrations, all growth parameters decreased except for leaf area. Plants treated with 75% US produced no flowers and fruits. The results of the two way ANOVA suggested that the type of solid fraction (Uliva or Fattoria), rather than the concentration or their interaction, induced the major changes on plant growth parameters (Figure 1).

Figure 1.
Effects of Uliva and Fattoria digestate fractions on: height, collar diameter, leaf and fruit number, and leaf area of tomato plants. Values are means ± SE (n = 3). Lower-case and upper-case letters indicate differences within each digestate treatment. Means followed by different letters are significantly different (Tukey’s test at p < 0.05). * p < 0.05; ** p < 0.01; *** p < 0.001.
Treatments with liquid fractions of Fattoria (FL) and Uliva (UL), at all concentrations, increased height, collar diameter, and leaf number and area in comparison with untreated plants. FL at a concentration of 20% doubled the number of flowers compared to control, while UL especially enhanced leaf area (+150% over the control). The results of two-way ANOVA indicated that the effects of liquid fractions were mainly related to the concentrations rather than to the type of digestate.
All treatments decreased fresh biomass, length, and diameter of tomato fruit in comparison with controls (Table 1). The reduction in size could be due to the effects of salinity induced by the presence of the digestate [22]. In our experimental conditions, salinity (EC) increased in soil, mainly when liquid fraction was used, and the increase was positively correlated to the concentration used [13].
Table 1.
Biomass, shape parameters (equatorial and longitudinal diameters), pH, titrable acidity, and Brix degree of tomato fruits grown with different concentrations (%) of Fattoria Liquid (FL), Fattoria Solid (FS), Uliva Liquid (UL), and Uliva Solid (US) digestate fractions. Different letters indicate significant differences among the different treatments (Tukey’s test, p ≤ 0.05).
The pH, soluble solids (°Brix), and titratable acidity (percentage) were measured as indices of tomato quality (Table 1). The pH decreased significantly in presence of UL at all concentrations and US at the two highest concentrations. No significant pH variations were observed when FL and FS were used. Titratable acidity increased with all the digestate fractions. The titratable acidity, measuring the total acid concentration acidity of the fruit, is a better predictor than pH of how organic acids impact the flavor in tomato food and products. A high titratable acidity influences the taste of fresh tomato fruits [23], also enhancing their culinary properties, as reported by Moschetti [24]. Total soluble solids (°Brix), mainly constituted by sugars (sucrose and hexoses, ∼65%), organic acids (citric and malic, ∼13%), and other minor components (phenols, aminoacids, soluble pectin, acids and minerals, ∼22%), increased in presence of UL and decreased with all other treatments. The amount was within the range (3.5–5.5 °Brix) generally reported in literature for the different genotypes of tomato [25] These results evidenced that the treatments with solid and liquid fractions of both digestates did not affect taste intensity and consequently sweetness and fruitiness of fresh tomatoes [26].
Tomato is a vegetable of great interest because of its high content of health benefiting molecules, such as carotenoids, vitamins, flavonoids, and phenolic compounds [27,28]. These compounds have a key role as free-radical scavengers, metal chelator, inhibitor of cellular proliferation, and modulator of the activity of numerous enzymes [29]. Beta-carotene increased only in fruits of tomato grown with 20 and 30% of LU. No significant differences with respect to control were observed in presence of LF at all concentrations. Lycopene, the predominant carotenoid in tomatoes, increased only in fruits of plants amended with 30% LF and 20% and 30% OL. Both solid fractions decreased the beta-carotene and Lycopene amount in tomatoes. The two fractions of both digestates increased the amount of Vitamin C in respect to control (Table 2).
Table 2.
Antioxidant compounds in ethanol extracts of tomato fruit grown with different concentrations (%) of Fattoria Liquid (FL), Fattoria Solid (FS), Uliva Liquid (UL), and Uliva Solid (US). Different letters indicate significant differences among the different treatments (Tukey’s test, p ≤ 0.05).
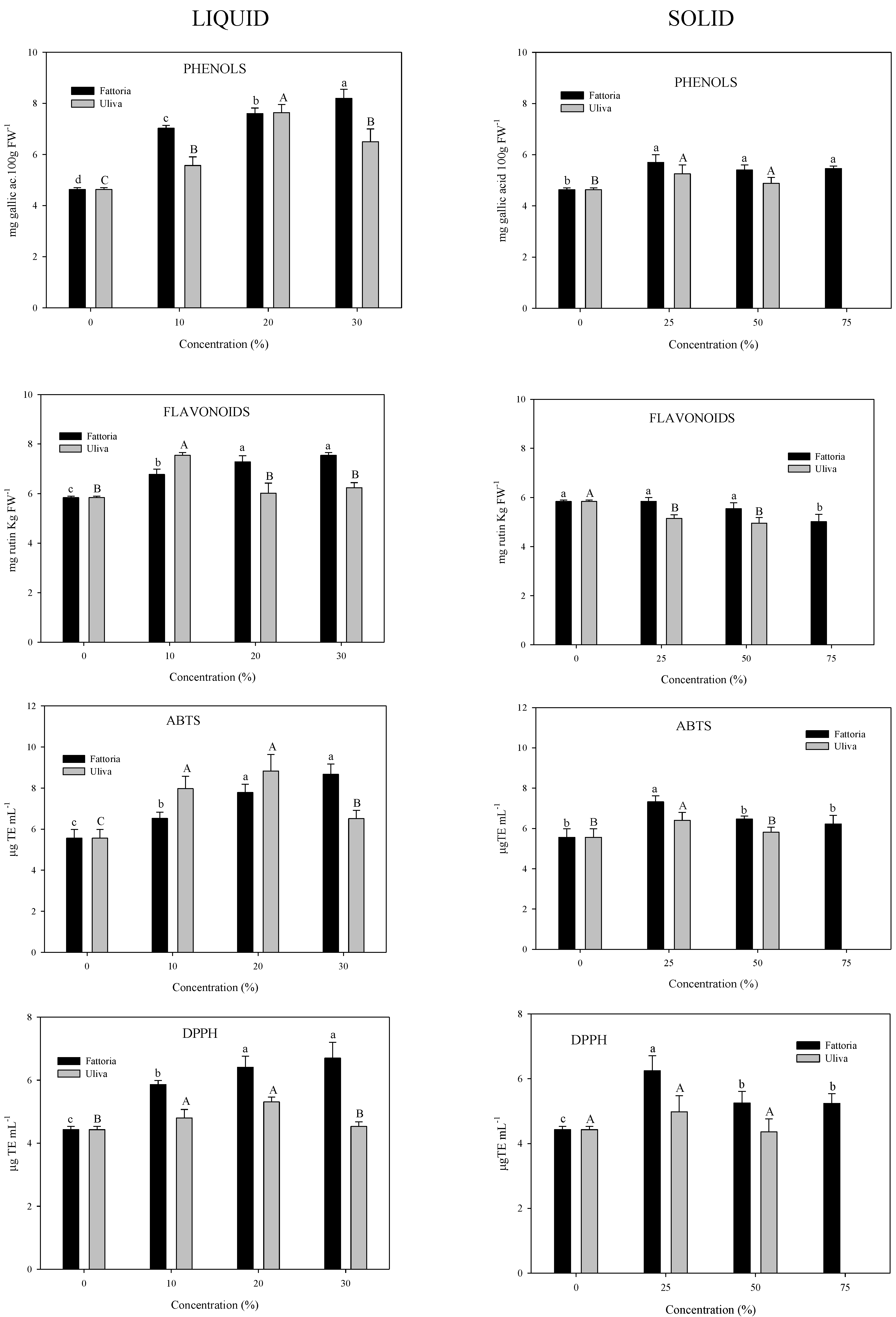
Caris-Veyrat et al. [30] found that ascorbic acid content was 31% higher in organic tomatoes, and the larger the fruit, the lower the vitamin C content resulted. Premuzic et al. [31] compared the ascorbic acid content in the tomatoes cultivated with an organic substrate with hydroponically cultivated tomatoes. They found higher ascorbic acid content in fruits using organic compost. The antioxidant content is important to preserve and protect plant products against oxidative damage to avoid loss of their efficacy in foods with consequent decrease of their commercial and nutritional value. In tomatoes, the flavonoid accumulation (quercetin, rutin, kaempferol, and naringenin) occurs during fruit maturation with a decrease in chlorophyll content and ripening of peels [5]. Our results evidenced that the liquid fractions of Fattoria and Uliva increased phenols in a concentration dependent manner in respect to control. A similar effect was observed for FL on flavonoids, while UL positively influenced flavonoids up to 10% concentration. Solid fractions increased phenolic content in tomatoes, but did not change flavonoid amount (Figure 2). These results are also in agreement with a previous work showing the stimulatory effects of two digestates, Fattoria and Uliva, on flavonoid and phenol synthesis in cucumber fruits, suggesting that the two digestates, rich in carbon and phenols, stimulated plant-resource reallocation to secondary metabolites production [19].
Figure 2.
Effects of Uliva and Fattoria digestate fractions on phenol and flavonoid content and ABTS and DPPH activities in tomato fruits. Values are means ± SE (n = 3). Lower-case and upper-case letters indicate differences within each digestate treatment. Means followed by different letters are significantly different (Tukey’s test at p < 0.05).
The increase in phenol production correspond to an increase in natural defenses in plants against biotic and abiotic stresses. In our case, the higher content of phenols in digestate treated tomato fruits can also be due to the major incidence of pests and pathogens in the organic cultivation method in which pesticides are not used, as previously demonstrated by other authors [30,32,33]. Many authors showing an increase in antioxidants and antioxidant activities in organic amended plants and fruits [34,35] reported similar findings.
Antioxidant activities were determined by ABTS and DPPH tests (Figure 2). ABTS and DPPH radicals are scavenged by electron- or hydrogen-transfer mechanisms, although with a different specificity. Prior et al. [36] reported that antioxidant activity determined by the ABTS assay has far more significant impact (83%) on total antioxidant activity in tomatoes. Antioxidant activities were significantly increased only by both liquid fractions. The increase in ABTS activity compared to untreated controls could be related to the higher ascorbic acid content as reported by Kotíková et al. [27]. Uliva liquid fraction caused the highest DPPH activities, positively related to used concentrations. This result could be explained by the highest lycopene content in UL treated tomatoes, based on the hypothesis of Raffo et al. [37] that a greater DPPH activity in tomatoes essentially derived from carotenoids, in particular from lycopene. Individual phenols and flavonoids varied significantly in treated tomato compared to control. Gallic, caffeic, and para coumaric acids decreased in presence of two fractions of both digestates; conversely, chlorogenic acid (CGA) increased. Among phenols, chlorogenic acid is an important biologically active dietary polyphenol, with relevant positive effects on human health. It has been reported in recent basic and clinical research studies that the consumption of CGA reduces the risk of developing cardiovascular diseases and tumors [38].
Rutin and kaempferol, conjugate flavonols belonging to the flavonoid class, significantly increased in all treated tomato fruits, and the greatest increase was observed with the highest LU concentrations (Table 3). It is well known that flavonols, such as kaempferol and rutin, are potentially health-protecting components for their high antioxidant capacity [39]. Rutin exhibited peripheral and central antinociceptive activities as well demonstrated antiarthritic antidiabetic and antiulcer effects [5]. Kaempferol reduced the risk of chronic diseases, especially cancer, and augmented human body’s antioxidant defense against free radicals, limiting liver injury, obesity, and diabetes [39].
Table 3.
Phenolic acids and flavonoids (mg L−1) in tomato fruit cultivated with different concentrations (%) of Fattoria Liquid (FL), Fattoria Solid (FS), Uliva Liquid (UL), and Uliva Solid (US) digestate fractions. Gallic acid, GAL, Caffeic acid, CAF, p coumaric acid, p-COUM; Chlorogenic acid, CHL; Rutin, RUT; Kaempferol, KAEM; all data were means of triplicate measurements. Means with the same letters, in the same column, are not significantly different (Tukey’s test. p ≤ 0.05).
Both digestates are also an important source of essential cations (Table 4) such as Ca, Mg, and K. In digestate treated tomato, sodium content increased, as probable consequence of soil salinization due particularly to the addition of liquid fractions. The salinity increase can explain the decrease in fruit size and fresh biomass, as already reported by Zhang et al. [40], that demonstrated an improvement in salt treated tomato fruit quality, but a decrement in plant growth and fruit production. The highest Mg levels were detected in tomato grown with LF and UL. Fattoria digestate produced the highest nutrient accumulation in tomatoes in comparison with Uliva (Table 4).
Table 4.
Sodium, calcium, magnesium, and potassium in tomato fruit grown with different concentrations (%) of Fattoria Liquid (FL), Fattoria Solid (FS), Uliva Liquid (UL), and Uliva Solid (US) digestate fractions. The data are expressed in mg/g dw. Different letters indicate significant differences at p ≤ 0.05.
In short, our results evidenced positive effects of both digestates on the nutritional value of tomatoes, largely explained by the increase in various health-promoting compounds, including vitamin C, flavonoids, and phenolic compounds. The contemporary increase in different bio-compounds with a wide range of physiological properties and multi target actions confers to digestate treated tomato a nutraceutical value. The use of both fractions of both digestates as fertilizer may represent an effective strategy to obtain, even if in some cases at the expense of growth, high-quality fruit in a sustainable way from an economic and environmental point of view.
4. Conclusions
This study revealed the possibility of using digestate as a supplement of the soil to derive multiple benefits to tomato growth and quality, emphasizing the need to reduce the use of chemical fertilizers in agriculture, especially for edible crops. The reduction in number and size of digestate treated fruits is compensated by their higher nutritional value for the increase in health-promoting bio-compounds. The use of Fattoria induced the best results in terms of plant growth and tomato nutrient content, while both digestates improved antioxidant activity by increasing content of vitamin C, phenols, and flavonoids, even if at different extents. Considering that it is not possible to standardize the use and concentration of digestates on the basis of our results, the use of both liquid fractions up to 20% and both solid fractions up to 50% concentrations could be suggested. Overall, our research provides synthetic information on the different beneficial effects of two different digestates for tomato cultivation, which could help unite the waste management and agriculture towards a society with a more circular economy.
Author Contributions
All authors discussed the results and commented on the manuscript. A.M. designed the project, M.R.P. analyzed the data, C.M. and E.A. worked in the green house and laboratory, and A.M. and M.R.P. wrote the manuscript. All authors have read and agreed to the published version of the manuscript.
Funding
This research received no external funding.
Informed Consent Statement
Not applicable.
Data Availability Statement
Publicly available datasets were analyzed in this study. This data can be found here: https://iris.unirc.it.
Conflicts of Interest
The authors confirm that they have no conflicts of interest with respect to the work described in this manuscript.
Correction Statement
This article has been republished with a minor correction to an Academic Editor’s name. The editorial office conducted a post publication peer review of the article due to concerns about a conflict of interest between the original academic editor and the authors. The editorial office invited a new Editorial Board Member, Iain J. Gordon, who does not have a COI, to examine the peer review process. The post peer review process confirmed that the peer review process was appropriate. This change does not affect the scientific content of the article.
References
- Bai:, Y.; Lindhout, P. Domestication and Breeding of Tomatoes: What have We Gained and What Can We Gain in the Future? Ann. Bot. 2007, 100, 1085–1094. [Google Scholar] [CrossRef]
- Saavedra, T.M.; Figueroa, G.A.; Cauih, J.G.D. Origin and evolution of tomato production Lycopersicon esculen-tum in México. Ciência Rural 2017, 47, 1–8. [Google Scholar] [CrossRef]
- FAO. FAOSTAT. 2019. Available online: http://www.fao.org/faostat/en/#data/QC (accessed on 21 January 2021).
- Tan, H.; Thomas-Ahner, J.M.; Grainger, E.M.; Wan, L.; Francis, D.M.; Schwartz, S.J.; Clinton, S.K. Tomato-based food products for prostate cancer prevention: What have we learned? Cancer Metastasis Rev. 2010, 29, 553–568. [Google Scholar] [CrossRef] [PubMed]
- Chaudhary, P.; Sharma, A.; Singh, B.; Nagpal, A.K. Bioactivities of phytochemicals present in tomato. J. Food Sci. Technol. 2018, 55, 2833–2849. [Google Scholar] [CrossRef] [PubMed]
- Shimbo, S.; Watanabe, T.; Zhang, Z.W.; Ikeda, M. Cadmium and lead contents in rice and other cereal products in Japan in 1998–2000. Sci. Total Environ. 2001, 281, 165–175. [Google Scholar] [CrossRef]
- Marzouka, H.A.; Kassem, H.A. Improving fruit quality, nutritional value and yield of Zaghloul datesby the application of organic and/or mineral fertilizers. Sci. Hort. 2011, 127, 249–254. [Google Scholar] [CrossRef]
- Karungi, J.; Ekbom, B.; Kyamanywa, S. Effects of organic versus conventional fertilizers on insect pests, natural enemies and yield of Phaseolus vulgaris. Agric. Ecosyst. Environ. 2006, 115, 51–55. [Google Scholar] [CrossRef]
- Nkoa, R. Agricultural benefits and environmental risks of soil fertilization with anaerobic digestates: A review. Agron. Sustain. Dev. 2014, 34, 473–492. [Google Scholar] [CrossRef]
- Barzee, T.J.; Edalati, A.; El-Mashad, H.; Wang, D.; Scow, K.; Zhang, R. Digestate biofertilizers support similaror higher tomato yields and quality than mineral fertilizer in a subsurface drip fertigation system. Front. Sustain. Food Syst. 2019, 3, 58. [Google Scholar] [CrossRef]
- Möller, K.; Müller, T. Effects of anaerobic digestion on digestate nutrient availability and crop growth: A review. Eng. Life Sci. 2012, 12, 242–257. [Google Scholar] [CrossRef]
- Panuccio, M.R.; Attinà, E.; Basile, C.; Mallamaci, C.; Muscolo, A. Use of Recalcitrant Agriculture Wastes to Produce Biogas and Feasible Biofertilizer. Waste Biomass Valori. 2016, 7, 267–280. [Google Scholar] [CrossRef]
- Muscolo, A.; Settineri, G.; Papalia, T.; Attinà, E.; Basile, C.; Panuccio, M.R. Anaerobic co-digestion of recalcitrant agricultural wastes: Characterizing of biochemical parameters of digestate and its impacts on soil ecosystem. Sci. Total Environ. 2017, 586, 746–752. [Google Scholar] [CrossRef]
- Scholberg, J.; McNeal, B.L.; Boote, K.J.; Jones, J.W.; Locascio, S.J.; Olson, S.M. Nitrogen Stress Effects on Growth and Nitrogen Accumulation by Field-Grown Tomato. Agron. J. 2000, 92, 159–167. [Google Scholar] [CrossRef]
- Hartz, T.; Hanson, B. Drip Irrigation and Fertigation Management of Processing Tomato; Vegetable Research and Information Center: Berkeley, CA, USA, 2009; pp. 1–11. [Google Scholar]
- Singleton, V.L.; Orthofer, R.; Lamuela-Raventós, R.M. Methods in Enzymology; Packer, L., Ed.; Elsevier Inc.: Amsterdam, The Netherlands, 1999; Volume 299, pp. 152–178. [Google Scholar]
- Yoo, K.M.; Lee, K.W.; Park, J.B.; Lee, H.J.; Hwang, I.K. Variation in major antioxidants and total antioxidant activity of citron (Citrus junos Sieb ex Tanaka) during maturation and between cultivars. J. Agric. Food Chem. 2004, 52, 5907–5913. [Google Scholar] [CrossRef] [PubMed]
- Wayne, W.; Fish, W.; Perkins-Veazie, P.; Collins, J.K. A Quantitative Assay for Lycopene That Utilizes Reduced Volumes of Organic Solvents. J. Food Compos. Anal. 2002, 15, 309–317. [Google Scholar] [CrossRef]
- Panuccio, M.R.; Papalia, T.; Attinà, E.; Giuffrè, A.; Muscolo, A. Use of digestate as an alternative to mineral fertilizer: Effects on growth and crop quality. Arch. Agron. Soil Sci. 2018, 65, 700–711. [Google Scholar] [CrossRef]
- Brand-Williams, W.; Cuvelier, M.; Berset, E.C. Use of a free radical method to evaluate antioxidant activity. Food Sci. Technol. 1995, 28, 25–30. [Google Scholar] [CrossRef]
- Muscolo, A.; Calderaro, A.; Papalia, T.; Settineri, G.; Mallamaci, C.; Panuccio, M.R. Soil salinity improves nutritional and health promoting compounds in three varieties of lentil (Lens culinaris Med.). Food Biosci. 2020, 35, 100571. [Google Scholar] [CrossRef]
- Moya, C.; Oyanedel, E.; Verdugo, G.; Flores, M.F.; Urrestarazu, M.; Álvaro, J.E. Increased Electrical Conductivity in Nutrient Solution Management Enhances Dietary and Organoleptic Qualities in Soilless Culture Tomato. HortScience 2017, 52, 868–872. [Google Scholar] [CrossRef]
- Ferraro, G.; Borlotti, S.; Mortera, P.; Schlereth, A.; Stitt, M.; Car-rari, F. Novel glutamate dehydrogenase genes showincreased transcript and protein abundances in mature tomatofruits. J. Plant Physiol. 2012, 169, 899–907. [Google Scholar] [CrossRef]
- Moschetti, G. Lo Cunto de li Maccarune, Ovvero Settantacinque Ricette per Perocchiusi, Accuorti e Scialacquoni; Libreria Dante & Descartes: Naples, Italy, 2016; p. 110. [Google Scholar]
- Hamid Majidi, H.; Minaei, S.; Almasi, M.; Mostofi, Y. Total Soluble Solids, Titratable Acidity and Repining Index of Tomato In Various Storage Conditions. Aust. J. Basic Appl. Sci. 2011, 5, 1723–1726. [Google Scholar]
- Balibrea, M.E.; Martínez-Andújar, C.; Cuartero, J.; Bolarín, M.C.; Pérez-Alfocea, F. The high fruit soluble sugar content in wild Lycopersicon species and their hybrids with cultivars depends on sucrose import during ripening rather than on sucrose metabolism. Funct. Plant Biol. 2006, 33, 279–288. [Google Scholar] [CrossRef]
- Kotkov, Z.; Lachman, J.; Hejtmnkov, A.; Hejtmnkov, K. Determination of antioxidant activity and antioxidant content in tomato varieties and evaluation of mutual interactions between antioxidants. LWT Food Sci. Technol. 2011, 44, 1703–1710. [Google Scholar] [CrossRef]
- Vallverdú-Queralt, A.; Medina-Remón, A.; Martínez-Huélamo, M.; Jáuregui, O.; Andres-Lacueva, C.; Lamuela-Raventos, R.M. Phenolic profile and hydrophilic antioxidant capacity as chemotaxonomic markers of tomato varieties. J. Agric. Food Chem. 2011, 59, 3994–4001. [Google Scholar] [CrossRef] [PubMed]
- Crozier, A.; Jaganath, I.B.; Clifford, M.N. Dietary phenolics: Chemistry, bioavailability and effects on health. Nat. Prod. Rep. 2009, 26, 1001–1043. [Google Scholar] [CrossRef] [PubMed]
- Caris-Veyrat, C.; Amiot, M.; Tyssandier, V.; Grasselly, D.; Buret, M.; Mikolajczak, M.; Guilland, J.C.; Bouteloup-Demange, C.; Borel, P. Influence of organic versus conventional agricultural practice on the antioxidant microconstituent content of tomatoes and derived purees; consequences on antioxidant plasma status in humans. J. Agric. Food Chem. 2004, 52, 6503–6509. [Google Scholar] [CrossRef] [PubMed]
- Premuzic, Z.; Bargiela, M.; Garcia, A.; Rondina, A.; Lorio, A. Calcium, iron, potassium, phosphorus, and vitamin C content of organic and hidroponic tomatoes. HortScience 1999, 33, 255–257. [Google Scholar]
- Sirikantaramas, S.; Yamazaki, M.; Saito, K. Mechanisms of resistance to self-produced toxic secondary metabolites in plants. Phytochem. Rev. 2008, 7, 467–477. [Google Scholar] [CrossRef]
- Toor, R.K.; Savage, G.P.; Heeb, A. Influence of different types of fertilizers on the major antioxidant components of tomatoes. J. Food Compost. Anal. 2006, 19, 20–27. [Google Scholar] [CrossRef]
- Luthria, D.; Singh, A.P.; Wilson, T.; Vorsa, N.; Banuelos, G.S.; Vinyard, B.T. Influence of conventional and organic agricultural practices on the phenolic content in eggplant pulp: Plant-to-plant variation. Food Chem. 2010, 121, 406–411. [Google Scholar] [CrossRef]
- Chassy, A.W.; Bui, L.; Renaud, E.N.C.; Horn, M.V.; Mitchell, A. Three-year comparison of the content of antioxidant, microconstituents and several quality characteristics in organic and conventional managed tomatoes and bell peppers. J. Agric. Food Chem. 2006, 54, 8244–8252. [Google Scholar] [CrossRef] [PubMed]
- Prior, R.L.; Wu, X.; Schaich, K. Standardized Methods for the Determination of Antioxidant Capacity and Phenolics in Foods and Dietary Supplements. J. Agric. Food Chem. 2005, 53, 4290–4302. [Google Scholar] [CrossRef] [PubMed]
- Raffo, A.; Leonardi, C.; Fogliano, V.; Ambrosino, P.; Salucci, M.; Gennaro, L.; Bugianesi, R.O.; Giufrida, F.; Quaglia, G. Nutritional value of cherry tomatoes (Lycopersicon esculentum Cv. Naomi F1) harvested at different ripening stages. J. Agric. Food Chem. 2002, 50, 6550–6556. [Google Scholar] [CrossRef]
- Tajik, N.; Tajik, M.; Mack, I. The potential effects of chlorogenic acid, the main phenolic components in coffee, on health: A comprehensive review of the literature. Eur. J. Nutr. 2017, 56, 2215–2244. [Google Scholar] [CrossRef]
- Martí, R.; Roselló, S.; Cebolla-Cornejo, J. Tomato as a Source of Carotenoids and Polyphenols Targeted to Cancer Prevention. Cancers 2016, 8, 58. [Google Scholar] [CrossRef] [PubMed]
- Zhang, P.; Senge, M.; Dai, Y. Effects of salinity stress on growth, yield, fruit quality and water use efficiency of tomato under hydroponics system. Rev. Agric. Sci. 2016, 4, 46–55. [Google Scholar] [CrossRef]
Publisher’s Note: MDPI stays neutral with regard to jurisdictional claims in published maps and institutional affiliations. |
© 2021 by the authors. Licensee MDPI, Basel, Switzerland. This article is an open access article distributed under the terms and conditions of the Creative Commons Attribution (CC BY) license (http://creativecommons.org/licenses/by/4.0/).


