Can Crop Insurance Encourage Farmers to Adopt Environmentally Friendly Agricultural Technology—The Evidence from Shandong Province in China
Abstract
:1. Introduction
2. Materials and Methods
2.1. Questionnaire Design
2.2. Sampling Method
2.3. Basic Models
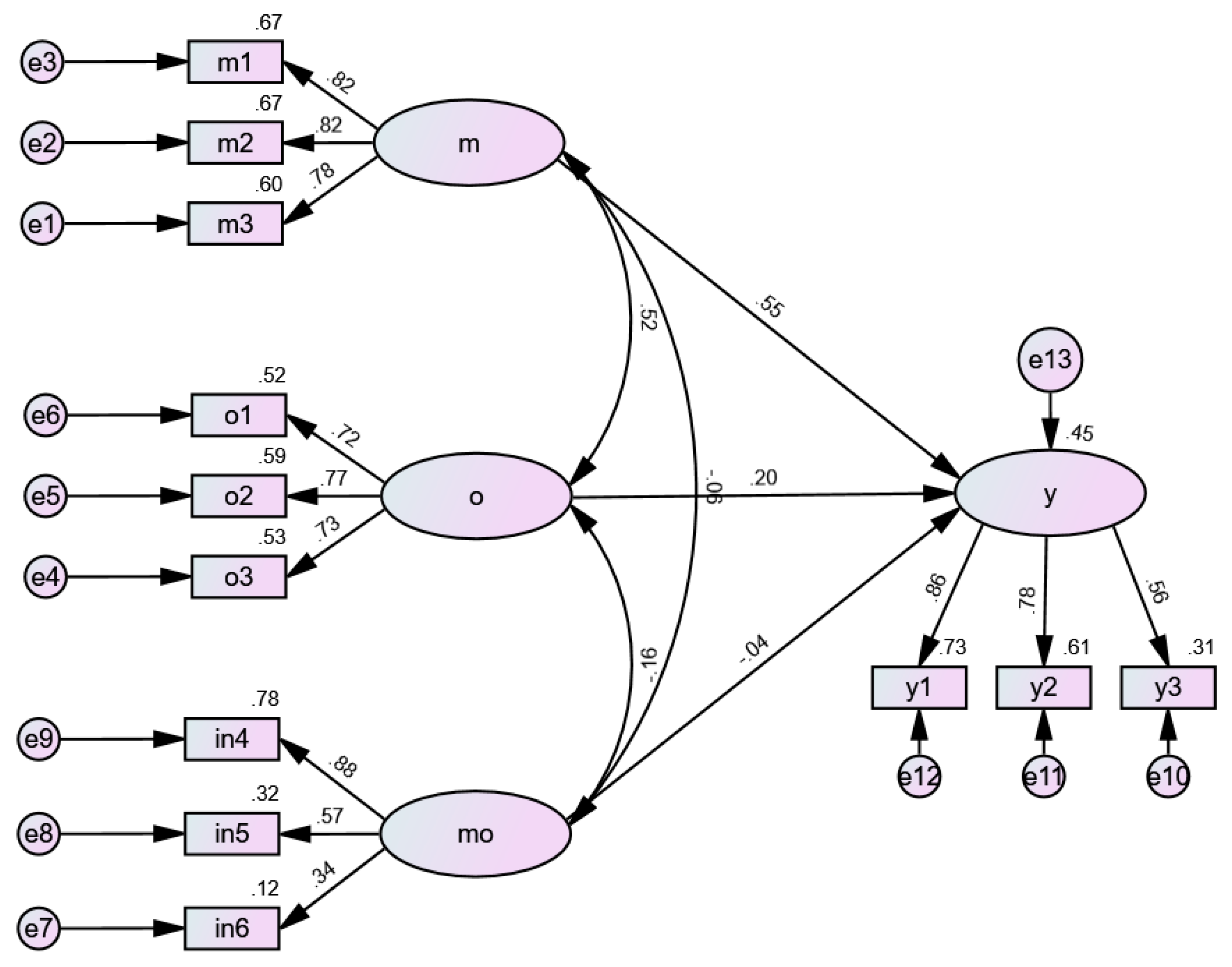
3. Results
3.1. Data Description
3.2. Test of Reliability and Validity
3.3. Main Results
3.4. Comparing Results of Moderating Models
4. Discussion
5. Conclusions
- (1)
- Crop insurance can promote technology adoption through three paths: motivation, opportunity, and ability, among which motivation has the strongest effect on the adoption. In other words, farmers will be more eager to adopt technology if crop insurance is structured to incentivize them by offering price insurance, yield insurance, and honor incentives.
- (2)
- Crop insurance may boost desire through boosting skills, including catastrophe prevention and mitigation, as well as technological application assistance, but the moderating impact reveals that, as the role of ability develops, the beneficial effect of crop insurance motivation on readiness to use technology declines.
- (3)
- The opportunity of crop insurance has the weakest effect on farmers, probably because the farmers in the sample are small-scale and elderly; they are less eager to expand their production and have less clear demand for financing.
Author Contributions
Funding
Institutional Review Board Statement
Informed Consent Statement
Data Availability Statement
Acknowledgments
Conflicts of Interest
References
- He, K.; Zhang, J.; Zeng, Y.; Zhang, L. Households’ willingness to accept compensation for agricultural waste recycling: Taking biogas production from livestock manure waste in Hubei, P.R. China as an example. J. Clean. Prod. 2016, 13, 410–420. [Google Scholar] [CrossRef]
- Gao, Y.; Niu, Z.; Yang, H.; Yu, L. Impact of green control techniques on family farms’ welfare. Ecol. Econ. 2019, 161, 91–99. [Google Scholar] [CrossRef]
- Gao, Y.; Zhang, X.; Lu, J.; Wu, L.; Yin, S. Adoption behavior of green control techniques by family farms in China: Evidence from 676 family farms in Huang-Huai-Hai Plain. Crop. Prot. 2017, 99, 76–84. [Google Scholar] [CrossRef]
- Feder, G.; Just, R.E.; Zilberman, D. Adoption of agricultural innovation in development countries—A Survey. Econ. Dev. Cult. Chang. 1985, 33, 255–298. [Google Scholar] [CrossRef] [Green Version]
- Lambrecht, I. Understanding the process of agricultural technology adoption: Mineral fertilizer in eastern DR Congo. World Dev. 2014, 59, 132–146. [Google Scholar] [CrossRef]
- Lybbert, T.J.; Sumner, D.A. Agricultural technology for climate change in developing countries: Policy options for innovation and technology diffusion. Food Policy 2012, 37, 114–123. [Google Scholar] [CrossRef]
- Mazzeo, R.S.; Tanaka, H. Exercise prescription for the elderly. Sports Med. 2001, 31, 809–818. [Google Scholar] [CrossRef] [PubMed]
- Bosek, M.; Grzegorzewski, B.; Kowalczyk, A.; Lubiński, I. Degradation of postural control system as a consequence of Parkinson’s disease and ageing. Neurosci. Lett. 2005, 376, 215–220. [Google Scholar] [CrossRef]
- Verhaeghen, P.; Salthouse, T.A. Meta-analyses of age-cognition relations in adulthood: Estimates of linear and nonlinear age effects and structural models. Psychol. Bull. 1997, 122, 231. [Google Scholar] [CrossRef]
- Binswanger, H.P. Attitudes toward risk: Experimental measurement in rural India. Am. J. Agric. Econ. 1980, 62, 395–407. [Google Scholar] [CrossRef] [Green Version]
- Kabir, M.H.; Rainins, R. Adoption and intensity of integrated pest management (IPM) vegetable farming in Bangladesh: An approach to sustainable agricultural development. Environ. Dev. Sustain. 2015, 17, 1413–1429. [Google Scholar] [CrossRef]
- Korir, J.K.; Affognon, H.; Ritho, C.N.; Ekesi, S. Grower adoption of an integrated pest management package for management of mango-infesting fruit flies (Diptera: Tephritidae) in Embu, Kenya. Int. J. Trop. Insect Sci. 2015, 35, 80–89. [Google Scholar] [CrossRef]
- Bonabana-Wabbi, J.; Taylor, D.B.A. Limited dependent variable analysis of integrated pest management adoption in Uganda. J. Agric. Sci. Tech. A 2012, 2, 1162. [Google Scholar]
- Abebaw, D.; Haile, M.G. The impact of cooperatives on agricultural technology adoption: Empirical evidence from Ethiopia. Food Policy 2013, 38, 82–91. [Google Scholar] [CrossRef]
- Kremer, K.S.; Carolan, M.; Gasteyer, S.; Tirmizi, S.N.; Korsching, P.F.; Peter, G.; Tong, P. Evolution of an agricultural innovation: The N-Trak soil nitrogen test adopt and discontinue, or reject? Technol. Soc. 2001, 23, 93–108. [Google Scholar] [CrossRef]
- Carter, M.R.; Cheng, L.; Sarris, A. Where and how index insurance can boost the adoption of improved agricultural technologies. J. Dev. Econ. 2016, 118, 59–71. [Google Scholar] [CrossRef]
- Ning, M.; Miao, Q.; Xing, L.; Zhong, F. An empirical analysis of farmers’ willingness to pay for agricultural insurance—Taking Manas river basin in Xinjiang as an example. Chin. Rural Econ. 2006, 6, 43–51. [Google Scholar]
- Zhang, Z.; Mu, Y.; Hou, L. Does participation in agricultural insurance optimize factor allocation? An analysis of endogenous farmers’ insurance decision-making and its effect on production. Chin. Rural Econ. 2018, 10, 53–70. [Google Scholar]
- Zhang, C.; Lv, K.; Cheng, X. Does agricultural insurance affect farmers’ application of pesticides? Empirical evidence from grain farmers in 4 provinces. J. China Agric. Univ. 2019, 24, 184–194. [Google Scholar]
- Li, Q.; Chen, K.; Chen, L. Impact of crop insurance participation behavior on rural households’ input tendency of chemical elements: A comparative study based on different policy recognition scenarios. J. Agric.-For. Econ. Manag. 2020, 19, 280–287. [Google Scholar]
- MacInnis, D.J.; Jaworski, B.J. Information processing from advertisements: Toward an integrative framework. J. Mark. 1989, 53, 1–23. [Google Scholar] [CrossRef]
- Gruen, T.W.; Osmonbekov, T.; Czaplewski, A.J. How e-communities extend the concept of exchange in marketing: An application of the motivation, opportunity, ability (MOA) theory. Mark. Theory 2005, 5, 33–49. [Google Scholar] [CrossRef]
- Siemsen, E.; Roth, A.V.; Balasubramanian, S. How motivation, opportunity, and ability drive knowledge sharing: The constraining factor model. J. Oper. Manag. 2008, 26, 426–445. [Google Scholar] [CrossRef]
- Radaelli, G.; Lettieri, E.; Mura, M.; Nicola, S. Knowledge sharing and innovative work behaviour in healthcare: A micro-level investigation of direct and indirect effects. Creat. Innov. Manag. 2014, 23, 400–414. [Google Scholar] [CrossRef]
- Bagozzi, R.P.; Dholakia, U. Goal setting and goal striving in consumer behavior. J. Mark. 1999, 63, 19–32. [Google Scholar] [CrossRef]
- Larsson, R.; Bowen, D.E. Organization and customer: Managing design and coordination of services. Acad. Manag. Rev. 1989, 14, 213–233. [Google Scholar] [CrossRef]
- Blazy, J.; Carpentier, A.; Thomas, A. The willingness to adopt agroecological innovations: Application of choice modelling to Caribbean banana planters. Ecol. Econ. 2011, 72, 140–150. [Google Scholar] [CrossRef]
- Bollen, K.A. Structural Equations with Latent Variables; John Wiley & Sons: NewYork, NY, USA, 1989; Volume 210. [Google Scholar]
- Boomsma, J.J.; Van der Lee, G.A.; Van der Have, T.M. On the production ecology of Lasius niger (Hymenoptera: Formicidae) in successive coastal dune valleys. J. Anim. Ecol. 1982, 75–991. [Google Scholar] [CrossRef]
- Hair, J.F. Multivariate Data Analysis with Readings, 5th ed.; Prentice Hall: Upper Saddle River, NJ, USA, 1998. [Google Scholar]
- Alexandra, V.; Grissom, V.R. Predicting CQ development in the context of experiential cross-cultural training: The role of social dominance orientation and the propensity to change stereotypes. Acad. Manag. Learn. Educ. 2018, 17, 62–78. [Google Scholar] [CrossRef] [Green Version]
- Baer, M.D.; Van Der Werff, L.; Colquitt, J.A. Trusting the “look and feel”: Situational normality, situational aesthetics, and the perceived trustworthiness of organizations. J. Acad. Manag. 2018, 61, 1718–1740. [Google Scholar] [CrossRef] [Green Version]
- Chen, A.; Karahanna, E. Life interrupted: The effects of technology-mediated work interruptions on work and nonwork outcomes. MIS Q. 2018, 42, 1023–1042. [Google Scholar]
- Bagozzi, R.P.; Yi, Y. On the evaluation of structural equation models. J. Acad. Mark. Sci. 1988, 16, 74–94. [Google Scholar] [CrossRef]
- Hu, L.T.; Bentler, P.M.; Kano, Y. Can test statistics in covariance structure analysis be trusted? Psychol. Bull. 1992, 112, 351–362. [Google Scholar] [CrossRef] [PubMed]
- Devellis, R.F. Scale Development Theory and Application; Applied Social Research Methods Series; Sage Publication: London, UK, 1991; pp. 1–133. [Google Scholar]
- Thøgersen, J. Understanding of consumer behaviors as a prerequisite for environmental protection. J. Consum. Policy 1995, 18, 345–385. [Google Scholar]
- MacInnis, D.J.; Moorman, C.; Jaworski, B.J. Enhancing and measuring consumers’ motivation, opportunity, and ability to process brand information from ads. J. Mark. 1991, 55, 32–53. [Google Scholar] [CrossRef]
- Kenny, D.; Judd, C.M. Estimating the nonlinear and interactive effects of latent variables. Psychol. Bull. 1984, 96, 201. [Google Scholar] [CrossRef]
- Brick, K.; Visser, M. Risk preferences, technology adoption and insurance uptake: A framed experiment. J. Econ. Behav. Organ. 2015, 118, 383–396. [Google Scholar] [CrossRef]
- Ghadim, A.K.A.; Pannell, D.J.; Burton, M.P. Risk, uncertainty and learning in adoption of a crop innovation. Agric. Econ. 2005, 33, 1–9. [Google Scholar] [CrossRef]
- Manimozhi, K.; Vaishnavi, N. Eco-friendly fertilizers for sustainable agriculture. Int. J. Sci. Res. 2012, 2, 255–257. [Google Scholar]
- Abdulai, A.; Owusu, V.; Bakang, J. Adoption of safer irrigation technologies and cropping patterns: Evidence from Southern Ghana. Ecol. Econ. 2011, 70, 1415–1423. [Google Scholar] [CrossRef] [Green Version]
- Abate, G.; Rashid, S.; Borzaga, C. Rural finance and agricultural technology adoption in Ethiopia: Does the institutional design of lending organizations matter? World Dev. 2016, 84, 235–253. [Google Scholar] [CrossRef] [Green Version]
- Zulauf, C.; Orden, D.U.S. Crop Insurance Since 1996; Department of Agricultural and Consumer Economics, University of Illinois at Urbana-Champaign: Urbana, IL, USA, 2015. [Google Scholar]




| Variables | Observed Variables | Options | |
|---|---|---|---|
| Motivation | Crop insurance provides me with a greater level of price protection. | Totally Disagree = 1; Disagree = 2; Average = 3; Agree = 4; Strongly Agree = 5 | |
| Crop insurance provides me with a greater level of yield protection. | |||
| Elected as a model farmer and enjoy premium discounts. | |||
| Opportunity | Crop insurance that stimulates technology usage is an excellent alternative. | ||
| Crop insurance can facilitate the loan financing. | |||
| Crop insurance can assist minimize the cost of adopting technology by providing a portion of premium subsidies. | |||
| Ability | Crop insurance will provide technical guidance. | ||
| Crop insurance will help reduce losses when technical risks occur. | |||
| Disaster prevention services provided by crop insurance help strengthen risk response skills. | |||
| Willingness | Willing to pay for crop insurance that promotes technology utilization | ||
| Recommend crop insurance that encourages the use of technology to some relatives. | |||
| Would like to take the time to understand and try to pay for crop insurance that encourages the adoption of technology. | |||
| Variable | Sort | Proportion | Variable | Sort | Proportion |
|---|---|---|---|---|---|
| Age | 25 years old and younger | 1% | Number of Labors | 1 | 5% |
| 26~35 years old | 8% | 2 | 63% | ||
| 36~45 years old | 21% | 3 | 12% | ||
| 46~55 years old | 39% | 4 | 12% | ||
| 56 years old and over | 31% | 5 | 8% | ||
| Gender | Male | 79% | Householder | Yes | 22% |
| Female | 21% | No | 78% | ||
| Education | Primary school and lower | 21% | Area | 0.16–0.8 acre | 56% |
| Junior high school | 58% | 0.96–1.6 acre | 31% | ||
| High school | 19% | 1.76–2.4 acre | 2% | ||
| Undergraduate | 2% | More than 2.4 acre | 11% | ||
| Household income (RMB) | Less than 20 thousand | 2% | Income from vegetable (RMB) | Less than 10 thousand | 6% |
| 20~40 thousand | 16% | 10~20 thousand | 6% | ||
| 40~60 thousand | 18% | 20~30 thousand | 13% | ||
| 60~80 thousand | 21% | 30~40 thousand | 11% | ||
| More than 80 thousand | 42% | More than 40 thousand | 64% | ||
| Farming Years | 1~5 years | 10% | Distance from the county (Km) | 0~10 | 11% |
| 6~15 years | 39% | 10~20 | 51% | ||
| 16~30 years | 43% | 20~30 | 31% | ||
| More than 30 years | 8% | 30~40 | 4% | ||
| More than 40 | 3% |
| Fitting Index | RMSEA | CFI | IFI | TLI | |
|---|---|---|---|---|---|
| Fitted Value | 1.702 | 0.054 | 0.977 | 0.977 | 0.966 |
| Standard | <3 | <0.08 | >0.9 | >0.9 | >0.9 |
| Fitment Quality | Yes | Yes | Yes | Yes | Yes |
| Observed Variables | Estimate | AVE | CR |
|---|---|---|---|
| y3 | 0.562 | 0.55 | 0.78 |
| y2 | 0.794 | ||
| y1 | 0.837 | ||
| m3 | 0.768 | 0.65 | 0.85 |
| m2 | 0.829 | ||
| m1 | 0.817 | ||
| o3 | 0.711 | 0.51 | 0.51 |
| o2 | 0.778 | ||
| o1 | 0.726 | ||
| a3 | 0.801 | 0.68 | 0.86 |
| a2 | 0.829 | ||
| a1 | 0.838 |
| m | o | a | y | |
|---|---|---|---|---|
| m | 0.648 | |||
| o | 0.345 | 0.506 | ||
| a | 0.486 | 0.323 | 0.677 | |
| y | 0.339 | 0.231 | 0.332 | 0.549 |
| Evolution of AVE | 0.805 | 0.711 | 0.823 | 0.741 |
| Index | Standard | Fitted Value | Fitment Quality | |
|---|---|---|---|---|
| Absolute Index | /df | <3 | 1.901 | Yes |
| GFI | >0.9 | 0.944 | Yes | |
| RMSEA | <0.08 | 0.061 | Yes | |
| NFI | >0.9 | 0.938 | Yes | |
| IFI | >0.9 | 0.97 | Yes | |
| Relative Index | TLI | >0.9 | 0.956 | Yes |
| CFI | >0.9 | 0.969 | Yes | |
| Information Index | PNFI | >0.5 | 0.654 | Yes |
| PCFI | >0.6 | 0.676 | Yes | |
| Path | Non-Standard Coefficient | Standard Coefficient | Standard Error | Test Statistics | ||
|---|---|---|---|---|---|---|
| Motivation | → | Willingness | 0.266 | 0.380 *** | 0.071 | 3.755 |
| Opportunity | → | Willingness | 0.112 | 0.143 * | 0.064 | 1.758 |
| Ability | → | Willingness | 0.216 | 0.315 *** | 0.066 | 3.297 |
| Path | Non-Standard Coefficient | Standard Coefficient | Standard Error | Test Statistics | ||
|---|---|---|---|---|---|---|
| Motivation | → | Willingness | 0.379 | 0.545 *** | 0.070 | 5.390 |
| Opportunity | → | Willingness | 0.147 | 0.197 ** | 0.066 | 2.240 |
| Interaction (mo) | → | Willingness | −0.048 | −0.047 | 0.084 | −0.567 |
| Path | Non-Standard Coefficient | Standard Coefficient | Standard Error | Test Statistics | ||
|---|---|---|---|---|---|---|
| Motivation | → | Willingness | 0.299 | 0.422 *** | 0.07 | 4.254 |
| Ability | → | Willingness | 0.203 | 0.296 *** | 0.065 | 3.11 |
| Interaction (ma) | → | Willingness | −0.119 | −0.273 ** | 0.037 | −3.189 |
Publisher’s Note: MDPI stays neutral with regard to jurisdictional claims in published maps and institutional affiliations. |
© 2021 by the authors. Licensee MDPI, Basel, Switzerland. This article is an open access article distributed under the terms and conditions of the Creative Commons Attribution (CC BY) license (https://creativecommons.org/licenses/by/4.0/).
Share and Cite
Wei, T.; Liu, Y.; Wang, K.; Zhang, Q. Can Crop Insurance Encourage Farmers to Adopt Environmentally Friendly Agricultural Technology—The Evidence from Shandong Province in China. Sustainability 2021, 13, 13843. https://doi.org/10.3390/su132413843
Wei T, Liu Y, Wang K, Zhang Q. Can Crop Insurance Encourage Farmers to Adopt Environmentally Friendly Agricultural Technology—The Evidence from Shandong Province in China. Sustainability. 2021; 13(24):13843. https://doi.org/10.3390/su132413843
Chicago/Turabian StyleWei, Tengda, Ye Liu, Ke Wang, and Qiao Zhang. 2021. "Can Crop Insurance Encourage Farmers to Adopt Environmentally Friendly Agricultural Technology—The Evidence from Shandong Province in China" Sustainability 13, no. 24: 13843. https://doi.org/10.3390/su132413843
APA StyleWei, T., Liu, Y., Wang, K., & Zhang, Q. (2021). Can Crop Insurance Encourage Farmers to Adopt Environmentally Friendly Agricultural Technology—The Evidence from Shandong Province in China. Sustainability, 13(24), 13843. https://doi.org/10.3390/su132413843
