Did Electric Vehicle Sales Skyrocket Due to Increased Environmental Awareness While Total Vehicle Sales Declined during COVID-19?
Abstract
1. Introduction
2. The Effect of COVID-19 on Total Vehicle Sales and Environmental Awareness
2.1. Worldwide Vehicle Sales after the Outbreak of COVID-19 (February until December 2020)
2.2. The Effect of COVID-19 on Environmental Awareness—Theory and Hypotheses
3. Empirical Analysis
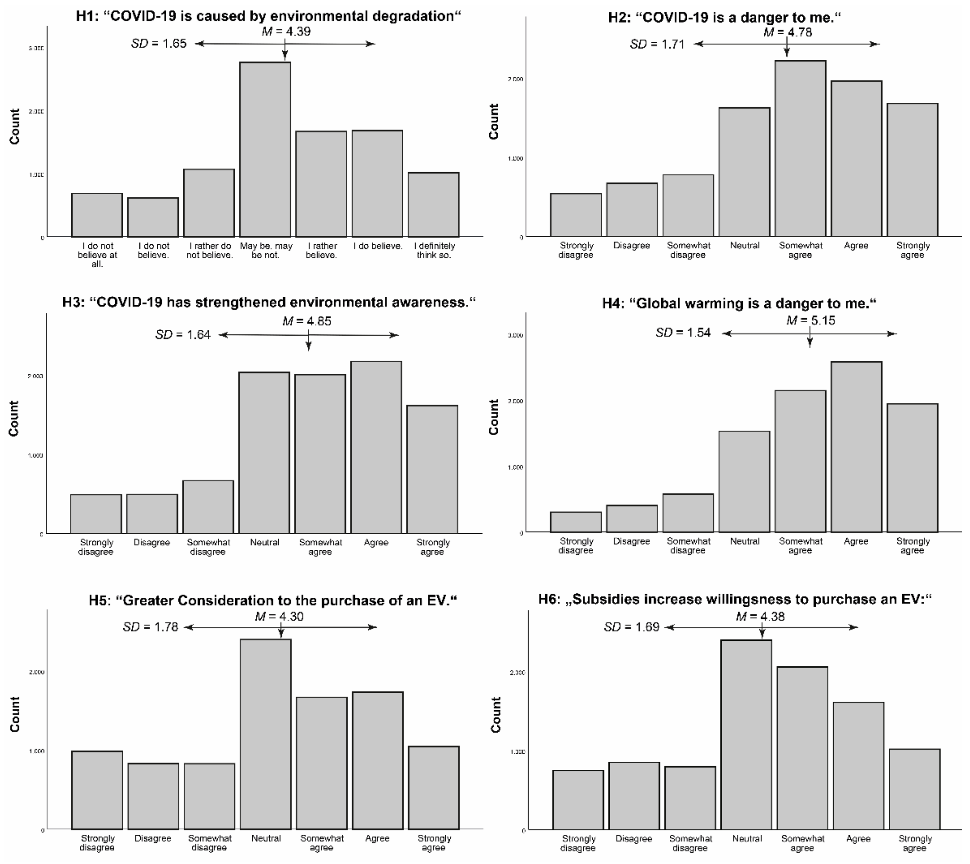
3.1. Method
3.2. Results
4. Conclusions, Limitations, and Further Research
Author Contributions
Funding
Informed Consent Statement
Data Availability Statement
Conflicts of Interest
Appendix A
| Australia | Austria | Belgium | Brazil | Canada | China | Denmark | Finland | France | Germany | India | Italy | Japan | |
|---|---|---|---|---|---|---|---|---|---|---|---|---|---|
| N | 355 | 396 | 375 | 403 | 390 | 411 | 357 | 385 | 375 | 396 | 412 | 392 | 325 |
| female | 48% | 44% | 49% | 50% | 54% | 46% | 46% | 42% | 49% | 47% | 39% | 50% | 33% |
| M Age | 46 | 41 | 41 | 35 | 48 | 35 | 44 | 37 | 44 | 44 | 33 | 42 | 45 |
| SD Age | 13 | 13 | 14 | 10 | 13 | 8 | 14 | 13 | 12 | 13 | 8 | 12 | 12 |
| Considered ICE | 142 | 147 | 123 | 170 | 161 | 55 | 101 | 145 | 110 | 146 | 85 | 118 | 93 |
| Purchased ICE | 180 | 170 | 179 | 175 | 152 | 159 | 150 | 142 | 148 | 138 | 232 | 98 | 147 |
| Considered EV | 18 | 53 | 43 | 30 | 53 | 51 | 61 | 52 | 78 | 74 | 27 | 123 | 46 |
| Purchased EV | 15 | 26 | 30 | 28 | 24 | 146 | 45 | 46 | 39 | 38 | 68 | 53 | 39 |
| H1: The emergence of COVID-19 is a consequence of the destruction of the environment. | |||||||||||||
| * | n.s. | n.s. | n.s. | ** | n.s. | n.s. | n.s. | n.s. | n.s. | n.s. | n.s. | n.s. | |
| Considered ICE | 4.0 | 3.8 | 4.2 | 4.4 | 4.0 | 4.6 | 3.8 | 3.8 | 4.4 | 3.8 | 5.0 | 4.8 | 3.7 |
| Purchased ICE | 4.1 | 4.3 | 4.3 | 4.7 | 4.3 | 5.2 | 3.8 | 4.2 | 4.7 | 3.7 | 5.3 | 4.9 | 3.9 |
| Considered EV | 4.2 | 4.1 | 4.1 | 5.0 | 4.8 | 4.8 | 3.8 | 4.1 | 4.7 | 4.1 | 5.3 | 4.9 | 4.1 |
| Purchased EV | 5.5 | 3.8 | 4.4 | 5.0 | 4.7 | 5.0 | 3.9 | 4.4 | 5.2 | 4.0 | 5.2 | 5.1 | 4.0 |
| H2: I see COVID-19 as a danger to me personally | |||||||||||||
| n.s. | n.s. | n.s. | n.s. | n.s. | n.s. | n.s. | n.s. | n.s. | n.s. | n.s. | * | n.s. | |
| Considered ICE | 4.1 | 4.1 | 4.3 | 6.0 | 5.0 | 4.9 | 4.0 | 4.0 | 4.1 | 4.4 | 5.1 | 4.9 | 5.5 |
| Purchased ICE | 4.3 | 4.1 | 4.3 | 6.0 | 4.7 | 5.2 | 4.3 | 4.4 | 4.5 | 4.4 | 5.1 | 4.8 | 5.2 |
| Considered EV | 4.6 | 4.3 | 4.4 | 6.0 | 5.2 | 5.1 | 4.4 | 4.3 | 4.7 | 4.9 | 5.1 | 5.1 | 5.5 |
| Purchased EV | 4.2 | 4.3 | 4.5 | 6.1 | 5.0 | 5.4 | 4.3 | 4.6 | 4.4 | 4.5 | 4.8 | 5.3 | 5.3 |
| H3: The coronavirus pandemic has strengthened my environmental awareness. | |||||||||||||
| ** | n.s. | n.s. | * | * | ** | n.s. | * | *** | * | n.s. | * | *** | |
| Considered ICE | 4.5 | 4.1 | 4.4 | 5.6 | 4.4 | 5.7 | 4.2 | 4.0 | 4.3 | 3.9 | 6.0 | 5.3 | 4.2 |
| Purchased ICE | 4.4 | 4.5 | 4.6 | 6.0 | 4.7 | 5.9 | 4.1 | 4.3 | 4.8 | 4.4 | 5.7 | 5.1 | 4.3 |
| Considered EV | 4.9 | 4.3 | 4.3 | 6.2 | 4.9 | 6.1 | 4.2 | 4.5 | 5.2 | 4.4 | 6.0 | 5.4 | 4.8 |
| Purchased EV | 5.6 | 4.6 | 5.1 | 6.3 | 5.2 | 6.2 | 4.3 | 4.7 | 5.7 | 4.5 | 5.6 | 5.8 | 5.2 |
| H4: I see global warming as a danger to me personally. | |||||||||||||
| * | n.s. | * | n.s. | ** | * | n.s. | ** | n.s. | n.s. | n.s. | * | n.s. | |
| Considered ICE | 4.6 | 4.8 | 4.9 | 5.8 | 4.8 | 5.5 | 4.9 | 4.2 | 4.9 | 4.9 | 5.8 | 5.6 | 5.2 |
| Purchased ICE | 4.7 | 4.8 | 4.7 | 5.9 | 4.9 | 5.5 | 4.4 | 4.2 | 5.2 | 4.6 | 5.7 | 5.4 | 5.3 |
| Considered EV | 5.3 | 5.0 | 5.3 | 6.1 | 5.4 | 5.5 | 4.7 | 4.5 | 5.3 | 5.0 | 5.7 | 5.8 | 5.5 |
| Purchased EV | 5.3 | 4.7 | 5.0 | 6.1 | 5.5 | 5.9 | 4.4 | 5.1 | 5.5 | 5.1 | 5.5 | 5.7 | 5.6 |
| H5: The outbreak of the COVID-19 pandemic has caused me to give greater consideration to the purchase of an electric car. | |||||||||||||
| * | * | * | *** | *** | *** | n.s. | *** | *** | *** | n.s. | *** | *** | |
| Considered ICE | 3.7 | 2.9 | 3.7 | 4.5 | 3.6 | 4.7 | 3.8 | 3.4 | 3.3 | 3.1 | 5.4 | 4.3 | 3.5 |
| Purchased ICE | 4.0 | 3.6 | 3.9 | 5.3 | 4.1 | 5.4 | 3.8 | 3.7 | 4.1 | 3.7 | 5.5 | 4.3 | 4.0 |
| Considered EV | 3.8 | 3.7 | 4.0 | 6.0 | 4.7 | 5.7 | 3.9 | 4.4 | 4.8 | 4.3 | 5.9 | 5.2 | 4.8 |
| Purchased EV | 5.7 | 4.2 | 4.6 | 5.8 | 5.2 | 6.0 | 4.1 | 4.8 | 5.2 | 4.4 | 5.6 | 5.2 | 5.0 |
| H6: I am considering buying an electric car because of government subsidies and tax benefits. | |||||||||||||
| ** | ** | ** | *** | *** | *** | ** | *** | *** | *** | n.s. | *** | *** | |
| Considered ICE | 3.5 | 3.9 | 3.7 | 4.4 | 3.7 | 4.8 | 3.9 | 3.6 | 3.5 | 3.9 | 5.1 | 4.3 | 3.5 |
| Purchased ICE | 3.7 | 4.3 | 3.8 | 5.0 | 4.0 | 5.3 | 3.7 | 3.9 | 4.1 | 4.0 | 5.4 | 4.2 | 4.0 |
| Considered EV | 3.8 | 4.8 | 4.1 | 5.4 | 5.2 | 5.8 | 4.5 | 4.3 | 5.0 | 4.9 | 4.9 | 5.1 | 4.8 |
| Purchased EV | 5.6 | 4.8 | 4.9 | 5.7 | 5.4 | 5.8 | 4.2 | 4.6 | 5.1 | 5.3 | 5.2 | 5.6 | 4.8 |
| The Netherlands | Norway | Portugal | Russia | South Africa | Korea | Spain | Sweden | Switzerland | Taiwan | UK | USA | Total | |
|---|---|---|---|---|---|---|---|---|---|---|---|---|---|
| N | 358 | 361 | 381 | 387 | 403 | 391 | 385 | 376 | 382 | 372 | 363 | 347 | 9.478 |
| female | 47% | 53% | 46% | 35% | 58% | 43% | 44% | 47% | 52% | 43% | 48% | 31% | 46% |
| M Age | 41 | 37 | 39 | 37 | 34 | 42 | 41 | 39 | 42 | 38 | 44 | 46 | 40 |
| SD Age | 14 | 14 | 12 | 10 | 10 | 10 | 11 | 13 | 13 | 10 | 13 | 15 | 13 |
| Considered ICE | 115 | 77 | 144 | 234 | 178 | 99 | 108 | 101 | 142 | 93 | 100 | 102 | 3.089 |
| Purchased ICE | 155 | 129 | 119 | 125 | 201 | 105 | 94 | 130 | 135 | 129 | 156 | 188 | 3.736 |
| Considered EV | 41 | 83 | 88 | 24 | 11 | 132 | 141 | 99 | 74 | 67 | 49 | 14 | 1.532 |
| Purchased EV | 47 | 72 | 30 | 4 | 13 | 55 | 42 | 46 | 31 | 83 | 58 | 43 | 1.121 |
| H1: The emergence of COVID-19 is a consequence of the destruction of the environment. | |||||||||||||
| ** | n.s. | * | * | * | * | * | * | n.s. | ** | *** | ** | *** | |
| Considered ICE | 3.9 | 3.7 | 4.4 | 3.9 | 4.4 | 4.8 | 4.4 | 4.0 | 3.6 | 4.5 | 4.0 | 3.8 | 4.1 |
| Purchased ICE | 4.1 | 4.0 | 4.6 | 4.0 | 4.7 | 4.6 | 4.7 | 4.4 | 4.5 | 4.5 | 4.3 | 4.8 | 4.4 |
| Considered EV | 4.4 | 4.1 | 4.8 | 4.3 | 5.1 | 5.0 | 4.9 | 4.5 | 4.4 | 4.8 | 4.9 | 4.3 | 4.6 |
| Purchased EV | 4.7 | 4.0 | 4.9 | 6.5 | 5.4 | 4.9 | 4.7 | 4.6 | 3.9 | 4.9 | 4.9 | 5.6 | 4.7 |
| H2: I see COVID-19 as a danger to me personally. | |||||||||||||
| n.s. | n.s. | n.s. | n.s. | n.s. | n.s. | ** | * | n.s. | n.s. | n.s. | n.s. | *** | |
| Considered ICE | 4.2 | 4.7 | 5.4 | 4.3 | 5.5 | 5.2 | 5.1 | 4.3 | 3.8 | 5.2 | 4.6 | 4.7 | 4.7 |
| Purchased ICE | 4.3 | 4.4 | 5.3 | 4.4 | 5.6 | 4.9 | 5.1 | 3.8 | 4.3 | 5.0 | 4.9 | 5.3 | 4.8 |
| Considered EV | 4.9 | 4.7 | 5.6 | 4.8 | 6.1 | 5.3 | 5.5 | 4.5 | 4.1 | 5.3 | 5.0 | 5.0 | 5.0 |
| Purchased EV | 4.4 | 4.5 | 5.2 | 5.3 | 6.3 | 5.3 | 5.4 | 4.2 | 3.7 | 5.3 | 4.5 | 5.2 | 4.9 |
| H3: The coronavirus pandemic has strengthened my environmental awareness. | |||||||||||||
| n.s. | n.s. | n.s. | ** | n.s. | *** | *** | * | n.s. | ** | * | *** | *** | |
| Considered ICE | 4.2 | 4.0 | 4.9 | 4.1 | 5.6 | 5.3 | 4.6 | 4.3 | 4.2 | 5.1 | 4.5 | 3.9 | 4.6 |
| Purchased ICE | 4.5 | 4.4 | 5.2 | 4.3 | 5.6 | 5.0 | 5.1 | 4.4 | 4.6 | 5.2 | 4.7 | 4.9 | 4.9 |
| Considered EV | 4.5 | 4.5 | 5.1 | 5.0 | 5.7 | 5.7 | 5.5 | 4.6 | 4.1 | 5.3 | 5.0 | 4.9 | 5.0 |
| Purchased EV | 4.7 | 4.5 | 5.4 | 5.8 | 6.4 | 5.7 | 5.6 | 5.0 | 4.9 | 5.7 | 5.1 | 5.7 | 5.4 |
| H4: I see global warming as a danger to me personally. | |||||||||||||
| *** | n.s. | n.s. | n.s. | n.s. | * | ** | *** | n.s. | n.s. | ** | *** | *** | |
| Considered ICE | 4.6 | 4.8 | 5.8 | 4.4 | 5.7 | 5.6 | 5.1 | 4.5 | 4.6 | 5.8 | 4.7 | 4.2 | 5.0 |
| Purchased ICE | 4.6 | 4.6 | 5.9 | 4.6 | 5.8 | 5.5 | 5.3 | 4.6 | 4.8 | 5.6 | 4.9 | 5.0 | 5.1 |
| Considered EV | 5.1 | 5.1 | 5.9 | 5.0 | 6.1 | 5.8 | 5.6 | 5.2 | 5.1 | 5.9 | 5.4 | 5.1 | 5.4 |
| Purchased EV | 5.4 | 4.6 | 5.8 | 5.5 | 6.3 | 5.7 | 5.8 | 5.3 | 4.9 | 5.8 | 5.2 | 5.8 | 5.4 |
| H5: The outbreak of the COVID-19 pandemic has caused me to give greater consideration to the purchase of an electric car. | |||||||||||||
| * | ** | *** | * | *** | *** | *** | * | n.s. | *** | *** | ** | *** | |
| Considered ICE | 3.7 | 3.3 | 3.9 | 3.4 | 4.2 | 4.7 | 4.0 | 3.6 | 3.5 | 4.5 | 3.9 | 3.3 | 3.8 |
| Purchased ICE | 4.2 | 4.0 | 4.4 | 3.3 | 4.9 | 4.6 | 4.5 | 4.1 | 4.1 | 4.7 | 4.3 | 4.5 | 4.3 |
| Considered EV | 4.3 | 4.2 | 4.6 | 3.8 | 6.0 | 5.0 | 5.3 | 4.1 | 3.7 | 5.2 | 4.6 | 4.4 | 4.7 |
| Purchased EV | 4.6 | 4.3 | 5.4 | 5.5 | 6.4 | 5.3 | 5.4 | 4.7 | 4.7 | 5.5 | 5.1 | 5.1 | 5.1 |
| H6: I am considering buying an electric car because of government subsidies and tax benefits. | |||||||||||||
| *** | *** | ** | n.s. | *** | *** | *** | ** | * | *** | *** | *** | *** | |
| Considered ICE | 4.0 | 3.7 | 3.8 | 3.9 | 3.8 | 4.8 | 3.7 | 3.8 | 3.7 | 4.7 | 4.0 | 3.4 | 3.9 |
| Purchased ICE | 3.9 | 4.4 | 4.3 | 4.0 | 4.2 | 4.8 | 4.4 | 4.3 | 4.3 | 4.8 | 4.3 | 4.5 | 4.3 |
| Considered EV | 4.6 | 5.1 | 4.5 | 4.0 | 4.5 | 5.4 | 4.8 | 4.4 | 4.3 | 5.6 | 4.7 | 4.1 | 4.8 |
| Purchased EV | 4.7 | 5.0 | 4.6 | 6.3 | 6.3 | 5.5 | 5.2 | 4.8 | 4.5 | 5.7 | 5.1 | 5.6 | 5.2 |
| Australia | Austria | Belgium | Brazil | Canada | China | |||||||
|---|---|---|---|---|---|---|---|---|---|---|---|---|
| Dependent: COVID-19 has strengthened environmental awareness. | ||||||||||||
| R2 | 0.428 | 0.322 | 0.201 | 0.173 | 0.173 | 0.219 | ||||||
| Intercept | −1.090 | *** | −0.727 | *** | −0.861 | *** | −0.797 | *** | −0.797 | *** | −0.342 | n.s. |
| Direct effect of H2 on H3: People perceive COVID-19 as a danger. | 0.070 | n.s. | 0.207 | *** | −0.013 | n.s. | 0.122 | * | 0.122 | * | 0.028 | n.s. |
| Direct effect of H1 on H3: People attribute the COVID-19 pandemic to environmental degradation. | 0.262 | *** | 0.163 | *** | 0.202 | *** | 0.174 | *** | 0.174 | *** | 0.068 | * |
| Direct effect of H4 on H3: People perceive global warming as a danger. | 0.457 | *** | 0.438 | *** | 0.370 | *** | 0.257 | ** | 0.257 | ** | 0.380 | *** |
| Direct effect of Interaction H2 × H4 on H3 | 0.007 | n.s. | 0.053 | * | 0.000 | n.s. | −0.017 | n.s. | −0.017 | n.s. | 0.007 | n.s. |
| Dependent: People give greater consideration to the purchase of an EV. | ||||||||||||
| R2 | 0.613 | 0.559 | 0.433 | 0.438 | 0.438 | 0.474 | ||||||
| Intercept | 3.376 | *** | 2.295 | *** | 3.596 | *** | 4.640 | *** | 4.640 | *** | 5.111 | *** |
| Direct effect of H2 on H5: People perceive COVID-19 as a danger to themselves. | 0.031 | n.s. | −0.021 | n.s. | 0.024 | n.s. | 0.050 | n.s. | 0.050 | n.s. | 0.059 | n.s. |
| Direct effect of H3 on H5: COVID-19 has strengthened environmental awareness. | 0.352 | *** | 0.349 | *** | 0.432 | *** | 0.527 | *** | 0.527 | *** | 0.312 | *** |
| Direct effect of H1 on H5: People attribute the COVID-19 pandemic to environmental degradation. | 0.130 | ** | 0.243 | *** | 0.065 | n.s. | 0.070 | n.s. | 0.070 | n.s. | 0.085 | * |
| Direct effect of H6 on H5: Governmental incentives increase people’s willingness to purchase an EV. | 0.507 | *** | 0.491 | *** | 0.409 | *** | 0.252 | *** | 0.252 | *** | 0.429 | *** |
| Direct effect of Interaction H3 × H6 on H5 | 0.023 | n.s. | 0.102 | *** | 0.049 | * | 0.096 | * | 0.096 | * | 0.040 | n.s. |
| Indirect effect of H2 on H5 | 0.025 | n.s. | 0.072 | *** | −0.006 | n.s. | 0.064 | * | 0.064 | * | 0.009 | n.s. |
| Indirect effect of H1 on H5 | 0.092 | *** | 0.057 | *** | 0.088 | *** | 0.092 | *** | 0.092 | *** | 0.021 | * |
| Indirect effect of H4 on H5 | 0.161 | *** | 0.153 | *** | 0.160 | *** | 0.136 | ** | 0.136 | ** | 0.119 | *** |
| Indirect effect of Interaction H2 × H4 on H5 | 0.002 | n.s. | 0.018 | * | 0.000 | n.s. | −0.009 | n.s. | −0.009 | n.s. | 0.002 | n.s. |
| Total effect of H2 on H5 | 0.055 | n.s. | 0.051 | n.s. | 0.019 | n.s. | 0.115 | * | 0.115 | * | 0.068 | n.s. |
| Total effect of H2 on H3 | 0.070 | n.s. | 0.207 | *** | −0.013 | n.s. | 0.122 | * | 0.122 | * | 0.028 | n.s. |
| Total effect of H3 on H5 | 0.352 | *** | 0.349 | *** | 0.432 | *** | 0.527 | *** | 0.527 | *** | 0.312 | *** |
| Total effect of H1 on H3 | 0.262 | *** | 0.163 | *** | 0.202 | *** | 0.174 | *** | 0.174 | *** | 0.068 | * |
| Total effect of H1 on H5 | 0.222 | *** | 0.300 | *** | 0.152 | ** | 0.161 | *** | 0.161 | *** | 0.107 | * |
| Total effect of H4 on H3 | 0.457 | *** | 0.438 | *** | 0.370 | *** | 0.257 | ** | 0.257 | ** | 0.380 | *** |
| Total effect of H4 on H5 | 0.161 | *** | 0.153 | *** | 0.160 | *** | 0.136 | ** | 0.136 | ** | 0.119 | *** |
| Total effect of Interaction H2 × H4 on H3 | 0.007 | n.s. | 0.053 | * | 0.000 | n.s. | −0.017 | n.s. | −0.017 | n.s. | 0.007 | n.s. |
| Total effect of Interaction H2 × H4 on H5 | 0.002 | n.s. | 0.018 | * | 0.000 | n.s. | −0.009 | n.s. | −0.009 | n.s. | 0.002 | n.s. |
| Total effect of H6 on H5 | 0.507 | *** | 0.491 | *** | 0.409 | *** | 0.252 | *** | 0.252 | *** | 0.429 | *** |
| Total effect of Interaction H3 × H6 on H5 | 0.023 | n.s. | 0.102 | *** | 0.049 | * | 0.096 | * | 0.096 | * | 0.040 | n.s. |
| Denmark | Finland | France | Germany | India | Italy | |||||||
|---|---|---|---|---|---|---|---|---|---|---|---|---|
| Dependent: COVID-19 has strengthened environmental awareness. | ||||||||||||
| R2 | 0.205 | 0.297 | 0.245 | 0.173 | 0.354 | 0.218 | ||||||
| Intercept | −1.012 | *** | −1.255 | *** | −1.042 | *** | −0.642 | ** | −1.012 | *** | −1.183 | *** |
| Direct effect of H2 on H3: People perceive COVID-19 as a danger. | 0.097 | n.s. | 0.099 | n.s. | 0.230 | *** | 0.108 | n.s. | 0.066 | n.s. | 0.124 | * |
| Direct effect of H1 on H3: People attribute the COVID-19 pandemic to environmental degradation. | 0.259 | *** | 0.305 | *** | 0.227 | *** | 0.171 | *** | 0.202 | *** | 0.231 | *** |
| Direct effect of H4 on H3: People perceive global warming as a danger. | 0.297 | *** | 0.304 | *** | 0.217 | ** | 0.220 | *** | 0.375 | *** | 0.233 | *** |
| Direct effect of Interaction H2 × H4 on H3 | 0.019 | n.s. | 0.010 | n.s. | −0.016 | n.s. | −0.010 | n.s. | −0.029 | n.s. | 0.078 | * |
| Dependent: People give greater consideration to the purchase of an EV. | ||||||||||||
| R2 | 0.543 | 0.525 | 0.540 | 0.470 | 0.498 | 0.506 | ||||||
| Intercept | 3.342 | *** | 3.292 | *** | 3.627 | *** | 3.050 | *** | 4.479 | *** | 4.166 | *** |
| Direct effect of H2 on H5: People perceive COVID-19 as a danger to themselves. | −0.029 | n.s. | −0.060 | n.s. | 0.011 | n.s. | 0.034 | n.s. | 0.033 | n.s. | 0.010 | n.s. |
| Direct effect of H3 on H5: COVID-19 has strengthened environmental awareness. | 0.637 | *** | 0.525 | *** | 0.517 | *** | 0.492 | *** | 0.418 | *** | 0.519 | *** |
| Direct effect of H1 on H5: People attribute the COVID-19 pandemic to environmental degradation. | 0.136 | ** | 0.115 | * | 0.102 | * | 0.141 | *** | 0.201 | *** | 0.101 | * |
| Direct effect of H6 on H5: Governmental incentives increase people’s willingness to purchase an EV. | 0.286 | *** | 0.415 | *** | 0.399 | *** | 0.398 | *** | 0.252 | *** | 0.325 | *** |
| Direct effect of Interaction H3 × H6 on H5 | 0.015 | n.s. | 0.053 | ** | 0.049 | * | 0.059 | ** | −0.006 | n.s. | 0.068 | * |
| Indirect effect of H2 on H5 | 0.062 | * | 0.052 | n.s. | 0.119 | *** | 0.053 | n.s. | 0.028 | n.s. | 0.064 | * |
| Indirect effect of H1 on H5 | 0.165 | *** | 0.160 | *** | 0.118 | *** | 0.084 | *** | 0.084 | *** | 0.120 | *** |
| Indirect effect of H4 on H5 | 0.189 | *** | 0.160 | *** | 0.112 | ** | 0.108 | *** | 0.157 | *** | 0.121 | *** |
| Indirect effect of Interaction H2 × H4 on H5 | 0.012 | n.s. | 0.005 | n.s. | −0.008 | n.s. | −0.005 | n.s. | −0.012 | n.s. | 0.040 | * |
| Total effect of H2 on H5 | 0.033 | n.s. | −0.008 | n.s. | 0.130 | * | 0.087 | n.s. | 0.061 | n.s. | 0.074 | n.s. |
| Total effect of H2 on H3 | 0.097 | n.s. | 0.099 | n.s. | 0.230 | *** | 0.108 | n.s. | 0.066 | n.s. | 0.124 | * |
| Total effect of H3 on H5 | 0.637 | *** | 0.525 | *** | 0.517 | *** | 0.492 | *** | 0.418 | *** | 0.519 | *** |
| Total effect of H1 on H3 | 0.259 | *** | 0.305 | *** | 0.227 | *** | 0.171 | *** | 0.202 | *** | 0.231 | *** |
| Total effect of H1 on H5 | 0.301 | *** | 0.275 | *** | 0.220 | *** | 0.225 | *** | 0.286 | *** | 0.221 | *** |
| Total effect of H4 on H3 | 0.297 | *** | 0.304 | *** | 0.217 | ** | 0.220 | *** | 0.375 | *** | 0.233 | *** |
| Total effect of H4 on H5 | 0.189 | *** | 0.160 | *** | 0.112 | ** | 0.108 | *** | 0.157 | *** | 0.121 | *** |
| Total effect of Interaction H2 × H4 on H3 | 0.019 | n.s. | 0.010 | n.s. | −0.016 | n.s. | −0.010 | n.s. | −0.029 | n.s. | 0.078 | * |
| Total effect of Interaction H2 × H4 on H5 | 0.012 | n.s. | 0.005 | n.s. | −0.008 | n.s. | −0.005 | n.s. | −0.012 | n.s. | 0.040 | * |
| Total effect of H6 on H5 | 0.286 | *** | 0.415 | *** | 0.399 | *** | 0.398 | *** | 0.252 | *** | 0.325 | *** |
| Total effect of Interaction H3 × H6 on H5 | 0.015 | n.s. | 0.053 | ** | 0.049 | * | 0.059 | ** | −0.006 | n.s. | 0.068 | * |
| Japan | The Netherlands | Norway | Portugal | Russia | South Africa | |||||||
|---|---|---|---|---|---|---|---|---|---|---|---|---|
| Dependent: COVID-19 has strengthened environmental awareness. | ||||||||||||
| R2 | 0.395 | 0.312 | 0.353 | 0.078 | 0.266 | 0.163 | ||||||
| Intercept | −2.245 | *** | −0.797 | *** | −1.434 | *** | −0.603 | * | −1.273 | *** | −0.794 | *** |
| Direct effect of H2 on H3: People perceive COVID-19 as a danger. | 0.014 | n.s. | 0.142 | ** | 0.016 | n.s. | 0.040 | n.s. | 0.121 | * | 0.052 | n.s. |
| Direct effect of H1 on H3: People attribute the COVID-19 pandemic to environmental degradation. | 0.577 | *** | 0.195 | *** | 0.362 | *** | 0.139 | * | 0.324 | *** | 0.168 | *** |
| Direct effect of H4 on H3: People perceive global warming as a danger. | 0.283 | *** | 0.359 | *** | 0.366 | *** | 0.259 | ** | 0.204 | ** | 0.270 | *** |
| Direct effect of Interaction H2 × H4 on H3 | 0.016 | n.s. | −0.010 | n.s. | −0.001 | n.s. | −0.049 | n.s. | −0.010 | n.s. | 0.022 | n.s. |
| Dependent: People give greater consideration to the purchase of an EV. | ||||||||||||
| R2 | 0.642 | 0.488 | 0.407 | 0.411 | 0.384 | 0.379 | ||||||
| Intercept | 4.177 | *** | 3.528 | *** | 3.286 | *** | 3.856 | *** | 3.189 | *** | 3.926 | *** |
| Direct effect of H2 on H5: People perceive COVID-19 as a danger to themselves. | 0.055 | n.s. | 0.004 | n.s. | −0.010 | n.s. | −0.046 | n.s. | 0.066 | n.s. | 0.061 | n.s. |
| Direct effect of H3 on H5: COVID-19 has strengthened environmental awareness. | 0.538 | *** | 0.451 | *** | 0.446 | *** | 0.478 | *** | 0.421 | *** | 0.262 | *** |
| Direct effect of H1 on H5: People attribute the COVID-19 pandemic to environmental degradation. | −0.036 | n.s. | 0.131 | ** | 0.148 | ** | 0.098 | n.s. | 0.039 | n.s. | 0.163 | *** |
| Direct effect of H6 on H5: Governmental incentives increase people’s willingness to purchase an EV. | 0.469 | *** | 0.432 | *** | 0.316 | *** | 0.330 | *** | 0.345 | *** | 0.412 | *** |
| Direct effect of Interaction H3 × H6 on H5 | 0.028 | n.s. | 0.028 | n.s. | 0.045 | * | 0.073 | ** | 0.082 | ** | −0.006 | n.s. |
| Indirect effect of H2 on H5 | 0.007 | n.s. | 0.064 | ** | 0.007 | n.s. | 0.019 | n.s. | 0.051 | * | 0.014 | n.s. |
| Indirect effect of H1 on H5 | 0.310 | *** | 0.088 | *** | 0.161 | *** | 0.066 | * | 0.136 | *** | 0.044 | *** |
| Indirect effect of H4 on H5 | 0.152 | *** | 0.162 | *** | 0.163 | *** | 0.124 | *** | 0.086 | ** | 0.071 | *** |
| Indirect effect of Interaction H2 × H4 on H5 | 0.009 | n.s. | −0.005 | n.s. | 0.000 | n.s. | −0.023 | n.s. | −0.004 | n.s. | 0.006 | n.s. |
| Total effect of H2 on H5 | 0.062 | n.s. | 0.068 | n.s. | −0.003 | n.s. | −0.027 | n.s. | 0.117 | * | 0.075 | n.s. |
| Total effect of H2 on H3 | 0.014 | n.s. | 0.142 | ** | 0.016 | n.s. | 0.040 | n.s. | 0.121 | * | 0.052 | n.s. |
| Total effect of H3 on H5 | 0.538 | *** | 0.451 | *** | 0.446 | *** | 0.478 | *** | 0.421 | *** | 0.262 | *** |
| Total effect of H1 on H3 | 0.577 | *** | 0.195 | *** | 0.362 | *** | 0.139 | * | 0.324 | *** | 0.168 | *** |
| Total effect of H1 on H5 | 0.274 | *** | 0.219 | *** | 0.310 | *** | 0.165 | ** | 0.175 | *** | 0.207 | *** |
| Total effect of H4 on H3 | 0.283 | *** | 0.359 | *** | 0.366 | *** | 0.259 | ** | 0.204 | ** | 0.270 | *** |
| Total effect of H4 on H5 | 0.152 | *** | 0.162 | *** | 0.163 | *** | 0.124 | *** | 0.086 | ** | 0.071 | *** |
| Total effect of Interaction H2 × H4 on H3 | 0.016 | n.s. | −0.010 | n.s. | −0.001 | n.s. | −0.049 | n.s. | −0.010 | n.s. | 0.022 | n.s. |
| Total effect of Interaction H2 × H4 on H5 | 0.009 | n.s. | −0.005 | n.s. | 0.000 | n.s. | −0.023 | n.s. | −0.004 | n.s. | 0.006 | n.s. |
| Total effect of H6 on H5 | 0.469 | *** | 0.432 | *** | 0.316 | *** | 0.330 | *** | 0.345 | *** | 0.412 | *** |
| Total effect of Interaction H3 × H6 on H5 | 0.028 | n.s. | 0.028 | n.s. | 0.045 | * | 0.073 | ** | 0.082 | ** | −0.006 | n.s. |
| Korea | Spain | Sweden | Switzerland | Taiwan | UK | USA | Total | ||||||||||||
|---|---|---|---|---|---|---|---|---|---|---|---|---|---|---|---|---|---|---|---|
| Dependent: COVID-19 has strengthened environmental awareness. | |||||||||||||||||||
| R2 | 0.356 | 0.368 | 0.200 | 0.333 | 0.166 | 0.318 | 0.456 | 0.316 | |||||||||||
| Intercept | −2.195 | *** | −0.838 | *** | −1.06 | *** | −0.882 | *** | −1.343 | *** | −1.15 | *** | −1.956 | *** | −1.189 | *** | |||
| Direct effect of H2 on H3: People perceive COVID-19 as a danger. | 0.101 | * | 0.147 | * | 0.070 | n.s. | 0.206 | *** | 0.077 | n.s. | 0.052 | n.s. | 0.114 | n.s. | 0.118 | *** | |||
| Direct effect of H1 on H3: People attribute the COVID-19 pandemic to environmental degradation. | 0.447 | *** | 0.182 | *** | 0.237 | *** | 0.192 | *** | 0.284 | *** | 0.254 | *** | 0.416 | *** | 0.267 | *** | |||
| Direct effect of H4 on H3: People perceive global warming as a danger. | 0.207 | *** | 0.457 | *** | 0.305 | *** | 0.468 | *** | 0.157 | * | 0.364 | *** | 0.309 | *** | 0.357 | *** | |||
| Direct effect of Interaction H2 × H4 on H3 | 0.048 | n.s. | −0.017 | n.s. | 0.049 | n.s. | 0.089 | *** | 0.034 | n.s. | 0.026 | n.s. | 0.020 | n.s. | 0.016 | ** | |||
| Dependent: People give greater consideration to the purchase of an EV. | |||||||||||||||||||
| R2 | 0.388 | 0.483 | 0.469 | 0.484 | 0.549 | 0.542 | 0.687 | 0.533 | |||||||||||
| Intercept | 3.326 | *** | 4.315 | *** | 3.388 | *** | 3.626 | *** | 4.216 | *** | 3.691 | *** | 3.177 | *** | 3.676 | *** | |||
| Direct effect of H2 on H5: People perceive COVID-19 as a danger to themselves. | −0.077 | n.s. | −0.028 | n.s. | 0.016 | n.s. | 0.054 | n.s. | −0.045 | n.s. | 0.032 | n.s. | −0.016 | n.s. | 0.020 | * | |||
| Direct effect of H3 on H5: COVID-19 has strengthened environmental awareness. | 0.454 | *** | 0.467 | *** | 0.540 | *** | 0.379 | *** | 0.360 | *** | 0.280 | *** | 0.410 | *** | 0.462 | *** | |||
| Direct effect of H1 on H5: People attribute the COVID-19 pandemic to environmental degradation. | 0.312 | *** | 0.091 | * | 0.149 | ** | 0.050 | n.s. | 0.146 | ** | 0.150 | *** | 0.216 | *** | 0.132 | *** | |||
| Direct effect of H6 on H5: Governmental incentives increase people’s willingness to purchase an EV. | 0.079 | n.s. | 0.371 | *** | 0.307 | *** | 0.426 | *** | 0.436 | *** | 0.516 | *** | 0.436 | *** | 0.383 | *** | |||
| Direct effect of Interaction H3 × H6 on H5 | 0.032 | n.s. | 0.003 | n.s. | 0.025 | n.s. | 0.017 | n.s. | 0.031 | n.s. | −0.022 | n.s. | 0.022 | n.s. | 0.036 | *** | |||
| Indirect effect of H2 on H5 | 0.046 | * | 0.069 | * | 0.038 | n.s. | 0.078 | *** | 0.028 | n.s. | 0.015 | n.s. | 0.047 | n.s. | 0.054 | *** | |||
| Indirect effect of H1 on H5 | 0.203 | *** | 0.085 | *** | 0.128 | *** | 0.073 | *** | 0.102 | *** | 0.071 | *** | 0.171 | *** | 0.123 | *** | |||
| Indirect effect of H4 on H5 | 0.094 | *** | 0.213 | *** | 0.165 | *** | 0.177 | *** | 0.057 | * | 0.102 | *** | 0.127 | *** | 0.165 | *** | |||
| Indirect effect of Interaction H2 × H4 on H5 | 0.022 | n.s. | −0.008 | n.s. | 0.027 | n.s. | 0.034 | *** | 0.012 | n.s. | 0.007 | n.s. | 0.008 | n.s. | 0.007 | ** | |||
| Total effect of H2 on H5 | −0.031 | n.s. | 0.041 | n.s. | 0.054 | n.s. | 0.133 | ** | −0.018 | n.s. | 0.046 | n.s. | 0.031 | n.s. | 0.074 | *** | |||
| Total effect of H2 on H3 | 0.101 | * | 0.147 | * | 0.070 | n.s. | 0.206 | *** | 0.077 | n.s. | 0.052 | n.s. | 0.114 | n.s. | 0.118 | *** | |||
| Total effect of H3 on H5 | 0.454 | *** | 0.467 | *** | 0.540 | *** | 0.379 | *** | 0.360 | *** | 0.280 | *** | 0.410 | *** | 0.462 | *** | |||
| Total effect of H1 on H3 | 0.447 | *** | 0.182 | *** | 0.237 | *** | 0.192 | *** | 0.284 | *** | 0.254 | *** | 0.416 | *** | 0.267 | *** | |||
| Total effect of H1 on H5 | 0.514 | *** | 0.176 | *** | 0.277 | *** | 0.123 | ** | 0.248 | *** | 0.221 | *** | 0.386 | *** | 0.255 | *** | |||
| Total effect of H4 on H3 | 0.207 | *** | 0.457 | *** | 0.305 | *** | 0.468 | *** | 0.157 | * | 0.364 | *** | 0.309 | *** | 0.357 | *** | |||
| Total effect of H4 on H5 | 0.094 | *** | 0.213 | *** | 0.165 | *** | 0.177 | *** | 0.057 | * | 0.102 | *** | 0.127 | *** | 0.165 | *** | |||
| Total effect of Interaction H2 × H4 on H3 | 0.048 | n.s. | −0.017 | n.s. | 0.049 | n.s. | 0.089 | *** | 0.034 | n.s. | 0.026 | n.s. | 0.020 | n.s. | 0.016 | ** | |||
| Total effect of Interaction H2 × H4 on H5 | 0.022 | n.s. | −0.008 | n.s. | 0.027 | n.s. | 0.034 | *** | 0.012 | n.s. | 0.007 | n.s. | 0.008 | n.s. | 0.007 | ** | |||
| Total effect of H6 on H5 | 0.079 | n.s. | 0.371 | *** | 0.307 | *** | 0.426 | *** | 0.436 | *** | 0.516 | *** | 0.436 | *** | 0.383 | *** | |||
| Total effect of Interaction H3 × H6 on H5 | 0.032 | n.s. | 0.003 | n.s. | 0.025 | n.s. | 0.017 | n.s. | 0.031 | n.s. | −0.022 | n.s. | 0.022 | n.s. | 0.036 | *** | |||
References
- Cecchetti, S.G. Crisis and responses: The Federal reserve in the early stages of the financial crisis. J. Econ. Perspect. 2009, 23, 51–75. [Google Scholar] [CrossRef][Green Version]
- Anand, A.; Irvine, P.; Puckett, A.; Venkataraman, K. Institutional trading and stock resiliency: Evidence from the 2007–2009 financial crisis. J. Financ. Econ. 2013, 108, 773–797. [Google Scholar] [CrossRef]
- Dai, S.; Duan, X.; Zhang, W. Knowledge map of environmental crisis management based on keywords network and co-word analysis, 2005–2018. J. Clean. Prod. 2020, 262, 121168. [Google Scholar] [CrossRef]
- Fatai Adedoyin, F.; Agboola, P.O.; Ozturk, I.; Bekun, F.V.; Agboola, M.O. Environmental consequences of economic complexities in the EU amidst a booming tourism industry: Accounting for the role of brexit and other crisis events. J. Clean. Prod. 2021, 305, 127117. [Google Scholar] [CrossRef]
- Lorenzoni, I.; Pidgeon, N.F. Public views on climate change: European and USA perspectives. Clim. Chang. 2006, 77, 73–95. [Google Scholar] [CrossRef]
- Perkins, K.M.; Munguia, N.; Ellenbecker, M.; Moure-Eraso, R.; Velazquez, L. COVID-19 pandemic lessons to facilitate future engagement in the global climate crisis. J. Clean. Prod. 2021, 290, 125178. [Google Scholar] [CrossRef] [PubMed]
- Bouman, T.; Steg, L.; Dietz, T. Insights from early COVID-19 responses about promoting sustainable action. Nat. Sustain. 2020, 4, 194–200. [Google Scholar] [CrossRef]
- Stewart, D.W. Uncertainty and Risk Are Multidimensional: Lessons from the COVID-19 Pandemic. J. Public Policy Mark. 2021, 40, 97–98. [Google Scholar] [CrossRef]
- Helm, D. The Environmental Impacts of the Coronavirus. Environ. Resour. Econ. 2020, 76, 21–38. [Google Scholar] [CrossRef] [PubMed]
- Manzanedo, R.D.; Manning, P. COVID-19: Lessons for the climate change emergency. Sci. Total Environ. 2020, 742, 140563. [Google Scholar] [CrossRef]
- Forster, P.M.; Forster, H.I.; Evans, M.J.; Gidden, M.J.; Jones, C.D.; Keller, C.A.; Lamboll, R.D.; Quéré, C.L.; Rogelj, J.; Rosen, D.; et al. Current and future global climate impacts resulting from COVID-19. Nat. Clim. Chang. 2020, 10, 913–919. [Google Scholar] [CrossRef]
- Johnson, C.K.; Hitchens, P.L.; Pandit, P.S.; Rushmore, J.; Evans, T.S.; Young, C.C.W.; Doyle, M.M.; Johnson, C.K. Global shifts in mammalian population trends reveal key predictors of virus spillover risk. Proc. R. Soc. B 2020, 287. [Google Scholar] [CrossRef] [PubMed]
- Jones, K.E.; Patel, N.G.; Levy, M.A.; Storeygard, A.; Balk, D.; Gittleman, J.L.; Daszak, P. Global trends in emerging infectious diseases. Nature 2008, 451, 990–993. [Google Scholar] [CrossRef] [PubMed]
- Qiu, J. One world, one health: Combating infectious diseases in the age of globalization. Natl. Sci. Rev. 2017, 4, 493–499. [Google Scholar] [CrossRef] [PubMed]
- Wu, B.P.; Chang, L. The social impact of pathogen threat: How disease salience influences conformity. Pers. Individ. Dif. 2012, 53, 50–54. [Google Scholar] [CrossRef]
- Murray, D.R.; Schaller, M. Threat(s) and conformity deconstructed: Perceived threat of infectious disease and its implications for conformist attitudes and behavior. Eur. J. Soc. Psychol. 2012, 42, 180–188. [Google Scholar] [CrossRef]
- Vess, M.; Arndt, J. The nature of death and the death of nature: The impact of mortality salience on environmental concern. J. Res. Pers. 2008, 42, 1376–1380. [Google Scholar] [CrossRef]
- Guo, J.; Zhang, X.; Gu, F.; Zhang, H.; Fan, Y. Does air pollution stimulate electric vehicle sales? Empirical evidence from twenty major cities in China. J. Clean. Prod. 2020, 249, 119372. [Google Scholar] [CrossRef]
- Will, S.; Luger-Bazinger, C.; Schmitt, M.; Zankl, C. Towards the future of sustainable mobility: Results from a European survey on (electric) powered-two wheelers. Sustainability 2021, 13, 7151. [Google Scholar] [CrossRef]
- Leckie, C.; Rayne, D.; Johnson, L.W. Promoting customer engagement behavior for green brands. Sustainability 2021, 13, 8404. [Google Scholar] [CrossRef]
- Ajanovic, A.; Haas, R. Electric vehicles: Solution or new problem? Environ. Dev. Sustain. 2018, 20, 7–22. [Google Scholar] [CrossRef]
- Li, Z.; Khajepour, A.; Song, J. A comprehensive review of the key technologies for pure electric vehicles. Energy 2019, 182, 824–839. [Google Scholar] [CrossRef]
- Requia, W.J.; Mohamed, M.; Higgins, C.D.; Arain, A.; Ferguson, M. How clean are electric vehicles? Evidence-based review of the effects of electric mobility on air pollutants, greenhouse gas emissions and human health. Atmos. Environ. 2018, 185, 64–77. [Google Scholar] [CrossRef]
- Barbarossa, C.; Pelsmacker, P.D.; Moons, I. Personal Values, Green Self-identity and Electric Car Adoption. Ecol. Econ. 2017, 140, 190–200. [Google Scholar] [CrossRef]
- Lieven, T. Policy measures to promote electric mobility—A global perspective. Transp. Res. Part A Policy Pract. 2015, 82, 78–93. [Google Scholar] [CrossRef]
- Rietmann, N.; Lieven, T. How policy measures succeeded to promote electric mobility—Worldwide review and outlook. J. Clean. Prod. 2019, 206, 66–75. [Google Scholar] [CrossRef]
- MarkLines Vehicle Sales Data. Available online: www.marklines.com (accessed on 3 December 2021).
- EV-Volumes EV Sales Worldwide. Available online: www.ev-volumes.com (accessed on 3 December 2021).
- CSSEGIS Time Series COVID-19 Confirmed Cases Globally. Available online: https://github.com/CSSEGISandData/COVID-19/blob/master/csse_covid_19_data/csse_covid_19_time_series/time_series_covid19_confirmed_global.csv (accessed on 3 December 2021).
- Population by Country No Title. Available online: https://www.worldometers.info/world-population/population-by-country/ (accessed on 3 December 2021).
- Rietmann, N.; Hügler, B.; Lieven, T. Forecasting the trajectory of electric vehicle sales and the consequences for worldwide CO2 emissions. J. Clean. Prod. 2020, 261, 1–16. [Google Scholar] [CrossRef]
- Soat, R. Chinese EV Subsidy Elimination Could Mean Trouble for Some EV Companies. Available online: https://www.forbes.com/sites/pikeresearch/2019/10/17/chinese-ev-subsidy-elimination-could-mean-trouble-for-some-ev-companies/?sh=127466123005 (accessed on 3 December 2021).
- Chakraborty, I.; Maity, P. COVID-19 outbreak: Migration, effects on society, global environment and prevention. Sci. Total Environ. 2020, 728, 138882. [Google Scholar] [CrossRef] [PubMed]
- Keck, F.; Lynteris, C. Zoonosis. Med. Anthropol. Theory 2018, 5, 1–14. [Google Scholar] [CrossRef]
- Brancalion, P.H.S.; Broadbent, E.N.; de-Miguel, S.; Cardil, A.; Rosa, M.R.; Almeida, C.T.; Almeida, D.R.A.; Chakravarty, S.; Zhou, M.; Gamarra, J.G.P.; et al. Emerging threats linking tropical deforestation and the COVID-19 pandemic. Perspect. Ecol. Conserv. 2020, 18, 243–246. [Google Scholar] [CrossRef]
- Luisetto, M.; Almukthar, N.; Edbey, K.; Fiazza, C.; Rafa, A.Y.; Rasool, G.; Yurevich, L.O. Deforestation, Air Pollution and Brazilian COVID-19 Variant. J. Clin. Immunol. Microbiol. 2021, 2, 1–19. [Google Scholar]
- Tollefson, J. Why deforestation and extinctions make pandemics more likely. Nature 2020, 584, 175–176. [Google Scholar] [CrossRef] [PubMed]
- Wolfe, N.; Daszak, P.; Kilpatrick, M.; Burke, D. Bushmeat Hunting, Deforestation, and Prediction of Zoonotic Disease Emergence. Perspect. Ecol. Conserv. 2005, 11, 1822–1872. [Google Scholar]
- Mamun, M.A.; Griffiths, M.D. First COVID-19 suicide case in Bangladesh due to fear of COVID-19 and xenophobia: Possible suicide prevention strategies. Asian J. Psychiatr. 2020, 51, 102073. [Google Scholar] [CrossRef]
- Hughes, L. Biological consequences of global warming: Is the signal already apparent? Trends Ecol. Evol. 2000, 15, 56–61. [Google Scholar] [CrossRef]
- Walther, G.; Post, E.; Convey, P.; Menzel, A.; Parmesank, C.; Beebee, T.J.C.; Fromentin, J.-M.; Hoegh-Guldberg, O.; Bairlein, F. Ecological responses to recent climate change. Nature 2002, 416, 385–395. [Google Scholar] [CrossRef] [PubMed]
- Feldman, L.; Hart, P.S. Using Political Efficacy Messages to Increase Climate Activism: The Mediating Role of Emotions. Sci. Commun. 2016, 38, 1–29. [Google Scholar] [CrossRef]
- Yang, D.; Lu, Y.; Zhu, W.; Su, C. Going green: How different advertising appeals impact green consumption behavior. J. Bus. Res. 2015, 68, 2663–2675. [Google Scholar] [CrossRef]
- WMA Declaration of Helsinki—Ethical Principles for Medical Research Involving Human Subjects. Available online: https://www.wma.net/policies-post/wma-declaration-of-helsinki-ethical-principles-for-medical-research-involving-human-subjects/ (accessed on 3 December 2021).
- Arbuckle, J.L. AMOS 27; IBM SPSS: Chicago, IL, USA, 2014. [Google Scholar]
- Hayes, A.F. Introduction to Mediation, Moderation, and Conditional Process Analysis, 2nd ed.; The Guilford Press: New York, NY, USA; London, UK, 2017. [Google Scholar]
- Baguley, T. Standardized or simple effect size: What should be reported? Br. J. Psychol. 2009, 100, 603–617. [Google Scholar] [CrossRef] [PubMed]
- Cohen, J. A Power Primer. Psychol. Bull. 1992, 112, 155–159. [Google Scholar] [CrossRef] [PubMed]
- Cohen, J. Statistical Power Analysis for the Behavioral Sciences, 2nd ed.; Lawrence Erlbaum Associates: Hillsdale, NJ, USA, 1988. [Google Scholar]
- Lashari, Z.A.; Ko, J.; Jang, J. Consumers’ intention to purchase electric vehicles: Influences of user attitude and perception. Sustainability 2021, 13, 6778. [Google Scholar] [CrossRef]





| 1 | 2 | 3 | 4 | 5 | 6 | 7 | 8 | |
|---|---|---|---|---|---|---|---|---|
| Country | Total Vehicle Sales a | Difference | EV Sales b | Difference | EV Market | Incidence per 100,000 c | ||
| 2–12 2019 | 2–12 2020 | 2020–2019 | 2–12 2019 | 2–12 2020 | 2020–2019 | Share 2020 | ||
| Australia | 735,273 | 620,939 | −15.5% | 8853 | 5970 | −32.6% | 1.0% | 111 |
| Austria | 304,028 | 226,081 | −25.6% | 11,784 | 23,153 | 96.5% | 10.2% | 4097 |
| Belgium | 499,029 | 379,651 | −23.9% | 17,031 | 45,350 | 166.3% | 11.9% | 5578 |
| Brazil | 2,468,462 | 1,766,882 | −28.4% | 1426 | 1851 | 29.8% | 0.1% | 3611 |
| Canada | 1,811,719 | 1,428,527 | −21.2% | 48,640 | 43,814 | −9.9% | 3.1% | 1548 |
| China | 19,411,783 | 18,529,276 | −4.5% | 1,090,920 | 1,280,376 | 17.4% | 6.9% | 6 |
| Denmark | 204,282 | 179,407 | −12.2% | 8903 | 31,798 | 257.2% | 17.7% | 2833 |
| Finland | 102,495 | 85,617 | −16.5% | 7318 | 16,070 | 119.6% | 18.8% | 652 |
| France | 2,059,348 | 1,515,886 | −26.4% | 64,651 | 179,038 | 176.9% | 11.8% | 4102 |
| Germany | 3,341,556 | 2,671,378 | −20.1% | 105,711 | 383,791 | 263.1% | 14.4% | 2101 |
| India | 2,681,923 | 2,169,900 | −19.1% | 791 | 4080 | 415.8% | 0.2% | 745 |
| Italy | 1,751,456 | 1,225,940 | −30.0% | 17,431 | 57,671 | 230.9% | 4.7% | 3485 |
| Japan | 3,958,614 | 3,508,786 | −11.4% | 39,407 | 29,693 | −24.7% | 0.8% | 186 |
| The Netherlands | 402,938 | 313,693 | −22.1% | 64,631 | 87,542 | 35.4% | 27.9% | 4718 |
| Norway | 133,377 | 131,844 | −1.1% | 76,580 | 101,909 | 33.1% | 77.3% | 914 |
| Portugal | 208,107 | 130,996 | −37.1% | 11,973 | 18,354 | 53.3% | 14.0% | 4057 |
| Russia | 1,656,468 | 1,492,853 | −9.9% | 1188 | 1431 | 20.5% | 0.1% | 2161 |
| South Africa | 493,070 | 339,881 | −31.1% | 274 | 135 | −50.7% | 0.0% | 1782 |
| Korea | 1,199,772 | 1,293,556 | 7.8% | 38,314 | 57,065 | 48.9% | 4.4% | 120 |
| Spain | 1,164,824 | 764,775 | −34.3% | 18,208 | 40,363 | 121.7% | 5.3% | 4124 |
| Sweden | 335,558 | 274,866 | −18.1% | 38,652 | 90,362 | 133.8% | 32.9% | 4384 |
| Switzerland | 290,535 | 218,040 | −25.0% | 17,173 | 32,953 | 91.9% | 15.1% | 5226 |
| Taiwan | 241,881 | 244,321 | 1.0% | 1565 | 6453 | 312.3% | 2.6% | 3 |
| UK | 2,150,127 | 1,481,812 | −31.1% | 74,098 | 171,258 | 131.1% | 11.6% | 3677 |
| USA | 15,915,945 | 13,396,462 | −15.8% | 300,969 | 314,144 | 4.4% | 2.3% | 6035 |
| Total | 63,522,570 | 54,391,369 | −14.4% | 2,066,491 | 3,024,624 | 46.4% | 5.6% | 1356 |
| Model 1: Only COVID-19 Danger as Predictor H2 → H5 | Model 2: + Environ-Mental Awareness as Mediator H2 → H3 → H5 | Model 3: + COVID-19 Caused by Degradation H2, H1 → H3 → H5 | Model 4: + First Moderator (Global Warming) H2, H1, H4 → H3 → H5 | Model 5: + Second Moderator (Monetary Incentives) H2, H1 → H3, H6 → H5 | Model 6: Double-Moderated Mediation Model H2, H1, H4 → H3, H6 → H5 | |||
|---|---|---|---|---|---|---|---|---|
| Dependent: COVID-19 has strengthened environmental awareness. | ||||||||
| R2 = 0.115 | R2 = 0.237 | R2 = 0.316 | R2 = 0.237 | R2 = 0.316 | ||||
| Intercept | 3.299 *** | 2.164 *** | 3.664 *** | −2.689 *** | −1.189 *** | |||
| Direct effect of H2 on H3: People perceive COVID-19 as a danger. | 0.325 *** | 0.231 *** | 0.118 *** | 0.231 *** | 0.118 *** | |||
| Direct effect of H1 on H3: People attribute the COVID-19 pandemic to environmental degradation. | 0.361 *** | 0.267 *** | 0.361 *** | 0.267 *** | ||||
| Direct effect of H4 on H3: People perceive global warming as a danger. | 0.357 *** | 0.357 *** | ||||||
| Direct effect of Interaction H2 × H4 on H3 | 0.016 *** | 0.016 *** | ||||||
| Dependent: People give greater consideration to the purchase of an EV. | ||||||||
| R2 = 0.075 | R2 = 0.406 | R2 = 0.428 | R2 = 0.428 | R2 = 0.533 | R2 = 0.533 | |||
| Intercept | 2.934 *** | 0.737 *** | 0.396 *** | 0.608 *** | 3.582 *** | 3.676 *** | ||
| Direct effect of H2 on H5: People perceive COVID-19 as a danger to themselves. | 0.285 *** | 0.069 *** | 0.044 *** | 0.044 *** | 0.020 * | 0.020 * | ||
| Direct effect of H3 on H5: COVID-19 has strengthened environmental awareness. | 0.666 *** | 0.597 *** | 0.597 *** | 0.462 *** | 0.462 *** | |||
| Direct effect of H1 on H5: People attribute the COVID-19 pandemic to environmental degradation. | 0.181 *** | 0.181 *** | 0.132 *** | 0.132 *** | ||||
| Direct effect of H6 on H5: Governmental incentives increase people’s willingness to purchase an EV. | 0.383 *** | 0.383 *** | ||||||
| Direct effect of Interaction H3 × H6 on H5 | 0.036 *** | 0.036 *** | ||||||
| Indirect effect of H2 on H5 | 0.216 *** | 0.138 *** | 0.070 *** | 0.106 *** | 0.054 *** | |||
| Indirect effect of H1 on H5 | 0.215 *** | 0.159 *** | 0.167 *** | 0.123 *** | ||||
| Indirect effect of H4 on H5 | 0.213 *** | 0.165 *** | ||||||
| Indirect effect of Interaction H2 × H4 on H5 | 0.009 ** | 0.007 ** | ||||||
| Total effect of H2 on H5 | 0.285 *** | 0.285 *** | 0.182 *** | 0.114 *** | 0.126 *** | 0.074 *** | ||
| Total effect of H2 on H3 | 0.325 *** | 0.231 *** | 0.118 *** | 0.231 *** | 0.118 *** | |||
| Total effect of H3 on H5 | 0.666 *** | 0.597 *** | 0.597 *** | 0.462 *** | 0.462 *** | |||
| Total effect of H1 on H3 | 0.361 *** | 0.267 *** | 0.361 *** | 0.267 *** | ||||
| Total effect of H1 on H5 | 0.396 *** | 0.340 *** | 0.299 *** | 0.255 *** | ||||
| Total effect of H4 on H3 | 0.357 *** | 0.357 *** | ||||||
| Total effect of H4 on H5 | 0.213 *** | 0.165 *** | ||||||
| Total effect of Interaction H2 × H4 on H3 | 0.016 *** | 0.016 ** | ||||||
| Total effect of Interaction H2 × H4 on H5 | 0.009 ** | 0.007 ** | ||||||
| Total effect of H6 on H5 | 0.383 *** | 0.383 *** | ||||||
| Total effect of Interaction H3 × H6 on H5 | 0.036 *** | 0.036 *** | ||||||
Publisher’s Note: MDPI stays neutral with regard to jurisdictional claims in published maps and institutional affiliations. |
© 2021 by the authors. Licensee MDPI, Basel, Switzerland. This article is an open access article distributed under the terms and conditions of the Creative Commons Attribution (CC BY) license (https://creativecommons.org/licenses/by/4.0/).
Share and Cite
Lieven, T.; Hügler, B. Did Electric Vehicle Sales Skyrocket Due to Increased Environmental Awareness While Total Vehicle Sales Declined during COVID-19? Sustainability 2021, 13, 13839. https://doi.org/10.3390/su132413839
Lieven T, Hügler B. Did Electric Vehicle Sales Skyrocket Due to Increased Environmental Awareness While Total Vehicle Sales Declined during COVID-19? Sustainability. 2021; 13(24):13839. https://doi.org/10.3390/su132413839
Chicago/Turabian StyleLieven, Theo, and Beatrice Hügler. 2021. "Did Electric Vehicle Sales Skyrocket Due to Increased Environmental Awareness While Total Vehicle Sales Declined during COVID-19?" Sustainability 13, no. 24: 13839. https://doi.org/10.3390/su132413839
APA StyleLieven, T., & Hügler, B. (2021). Did Electric Vehicle Sales Skyrocket Due to Increased Environmental Awareness While Total Vehicle Sales Declined during COVID-19? Sustainability, 13(24), 13839. https://doi.org/10.3390/su132413839

