Analysis of Drought Characteristics and Its Effects on Crop Yield in Xinjiang in Recent 60 Years
Abstract
:1. Introduction
2. Data and Methods
2.1. Study Area
2.2. Data Source
2.3. Methods
2.3.1. SPEI Calculation Method
2.3.2. Yield Separation Method
2.3.3. Standard Yield Residual Calculation Method
2.3.4. Other Methods
3. Results
3.1. Annual Variation Characteristics of SPEI in Xinjiang
3.1.1. Time Variation Characteristics
3.1.2. Spatial Variation Characteristics of the Trend Coefficient
3.2. Seasonal Variation Characteristics of SPEI in Xinjiang
3.2.1. Time Variation Characteristics
3.2.2. Spatial Variation Characteristics of the Trend Coefficient
3.3. Effects of Drought on Crop Yield in Xinjiang
3.3.1. Variation Characteristics of Crop Yield per Unit Area and Climate Yield
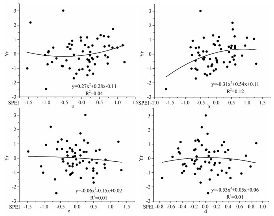
3.3.2. Effects of SPEI on Meteorological Yield of Three Kinds of Crops in Xinjiang
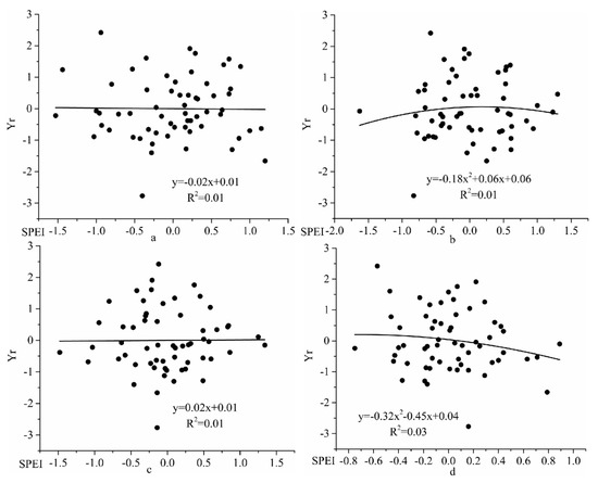
3.3.3. Response of Standard Climate Yield Residual to SPEI-3 in Different Seasons
4. Discussion
5. Conclusions
Author Contributions
Funding
Institutional Review Board Statement
Informed Consent Statement
Data Availability Statement
Acknowledgments
Conflicts of Interest
References
- Dai, A. Drought under global warming: A review. Wiley Interdiscip. Rev. Clim. Chang. 2011, 2, 45–65. [Google Scholar] [CrossRef] [Green Version]
- Chen, L.; Jin, J.L. Research progress of drought frequency analysis. Adv. Water Sci. 2013, 23, 296–302. [Google Scholar]
- Zhai, P.M.; Zou, X.K. Changes in temperature and precipitation and their impacts on drought in China during 1951–2003. Adv. Clim. Chang. Res. 2005, 1, 16–18. [Google Scholar]
- Giorgi, F.; Bi, X. Regional changes in surface climate inter annual variability for the 21st century from ensembles of global model simulations. Geophys. Res. Lett. 2005, 32, L13701. [Google Scholar] [CrossRef]
- Zhang, Q.; Huang, R.H.; Wang, S.; Wei, G.A.; Cao, X.Y.; Hou, X.H.; Lv, S.H.; Hu, Z.Y.; Ma, Y.M.; Wei, Z.G.; et al. Land air interaction experiment (nwc-aliex) in arid area of Northwest China and its research progress. Adv. Earth Sci. 2005, 20, 427–441. [Google Scholar]
- Li, S.Y.; Liu, R.H.; Ma, Z.H. Drought assessment index of summer maize in Huanghuai Plain Based on precipitation anomaly. Agric. Res. Arid Areas 2012, 30, 252–256. [Google Scholar]
- Xu, J.W.; Ju, H.; Liu, Q.; Yang, J.Y. Variation of drought and regional response to climate change in Huang-Huai-Hai Plain. Acta Ecol. Sin. 2014, 34, 460–470. [Google Scholar]
- Weng, B.S.; Yan, D.H. Integrated strategies for dealing with droughts in changing environment in China. Resour. Sci. 2010, 32, 309–316. [Google Scholar]
- Ficklin, D.L.; Letsinger, S.L.; Gholizadeh, H.; Maxwell, J.T. Incorporation of the Penman-Monteith potential evapotranspiration method into a Palmer Drought Severity Index Tool. Comput. Geosci. 2015, 85, 136–141. [Google Scholar] [CrossRef]
- He, Y.; Ye, J.Y.; Yang, X.Y. Analysis of the spatio-temporal patterns of dry and wet conditions in the Huai River Basin using the standardized precipitation index. Atmos. Res. 2015, 166, 120–128. [Google Scholar] [CrossRef] [Green Version]
- Stagge, J.H.; Tallaksen, L.M.; Gudmundsson, L.; Van Loon, A.F.; Stahl, K. Candidate distributions for climatological drought indices (SPI and SPEI). Int. J. Climatol. 2015, 35, 4027–4040. [Google Scholar] [CrossRef]
- Palmer, W.C. Meteorological Drought; Weather Bureau Research Paper No. 45; U.S. Department of Commerce: Washington, DC, USA, 1965.
- Yao, Y.B.; Wang, R.Y.; Yang, J.H.; Yue, P.; Lu, D.R.; Xiao, G.J.; Wang, Y.; Liu, L.C. Change of terrestrial surface potential evapotranspiration in Loess Plateau. Ecol. Environ. Sci. 2011, 20, 1189–1195. [Google Scholar]
- Mckee, T.B.; Doesken, N.J.; Kleist, J. The relationship of drought frequency and duration to time scales. In Proceedings of the 8th Conference on Applied Climatology, 17–22 January 1993, Anaheim, CA, USA; 1993; Volume 17, pp. 179–183. [Google Scholar]
- Vicente-Serrano, S.M.; Beguería, S.; López-Moreno, J.I. Amultiscalar drought index sensitive to global warming: The standardized precipitation index. J. Clim. 2010, 23, 1696–1718. [Google Scholar] [CrossRef] [Green Version]
- López-Moren, J.I.; Vicente-Serrano, S.M.; Zabalza, J.; Beguería, S.; Lorenzo-Lacruz, J.; Azorin-Molina, C.; Moran-Tejedz, E. Hydrological response to climate variacility at different time scales: A study in the Ebro basin. J. Hydrol. 2013, 477, 175–188. [Google Scholar] [CrossRef] [Green Version]
- Xie, P.; Gu, Y.L.; Zhang, Y.H. Precipitation and drought characteristics in Xinjiang during 1961–2015. Arid Land Geogr. 2017, 40, 332–339. [Google Scholar]
- Shi, Y.F.; Shen, Y.P.; Hu, R.J. Preliminary study on signal, impact and foreground of climatic shift from warm-dry to warm-humid in northwest China. J. Glaciol. Geocryol. 2002, 24, 219–226. [Google Scholar]
- Xuan, J.W.; Zheng, J.H.; Liu, Z.H. SPEI-based spatiotemporal variation of drought in Xinjiang. Arid Zone Res. 2016, 33, 338–344. [Google Scholar]
- Yao, J.Q.; Zhao, Y.; Yu, X.J. Spatial-temporal variation and impacts of drought in Xinjiang (Northwest China) during 1961–2015. PeerJ 2018, 6, e4926. [Google Scholar] [CrossRef] [Green Version]
- Sun, P.; Zhang, Q.; Liu, J.Y. Evolution characteristics of seasonal drought in Xinjiang during past 48 years: Possible causes and implications. Sci. Geogr. Sin. 2014, 34, 1377–1385. [Google Scholar]
- Bungau, S.; Behl, T.; Aleya, L.; Bourgeade, P.; Aloui-Sossé, B.; Purza, A.L.; Abid, A.; Samuel, A.D. Expatiating the impact of anthropogenic aspects and climatic factors on long term soil monitoring and management. Environ. Sci. Pollut. Res. 2021, 202, 30528–30550. [Google Scholar] [CrossRef]
- Samuel, A.D.; Bungau, S.; Tit, D.M.; Melinte, C.E.; Purza, L.; Badea, G.E. Effects of long term application of organic and mineral fertilizers on soil enzymes. Rev. Chim. 2018, 69, 2608–2612. [Google Scholar] [CrossRef]
- Pu, Z.C.; Zhang, S.Q.; Wang, S.L.; Zhou, X.L.; Feng, Z.M. The spatialtemporal variation characteristic of dry-wet climate in recent 48 years in Xinjiang province, China. J. Desert Res. 2011, 31, 1563–1572. [Google Scholar]
- Tao, H.; Mao, W.Y.; Huang, J.L.; Zhai, J.Q. Drought and wetness variability in the Tarim River basin and possible associations with large scale circulation. Adv. Water Sci. 2014, 25, 45–52. [Google Scholar]
- Luo, Q.H.; Ning, H.S.; Chen, Q.M. Trends of surface dry-wet state of Ganjiahu in Xinjiang based on humid index. Arid Zone Res. 2016, 33, 921–926. [Google Scholar]
- Wang, Q.; Zhang, M.J.; Wang, S.J.; Luo, S.F.; Wang, B.L.; Zhu, X.F. Extreme temperature events in Yangtze River Basin during 1962–2011. Acta Geogr. Sin. 2013, 68, 611–625. [Google Scholar]
- Su, H.X.; Li, G.Q. Relationship between low frequency drought and climate index in Beijing based on SPEI. Acta Ecol. Sin. 2012, 32, 5467–5475. (In Chinese) [Google Scholar]
- Ma, Q.; Zhang, B.; Wang, D. The temporal and spatial distribution of drought on the Loess Plateau based on the standardized precipitation evapotranspiration index from 1960 to 2012. Resour. Sci. 2014, 36, 1834–1841. [Google Scholar]
- Xu, Y.D.; Ren, C.Y.; Ma, X.D.; Zhao, D.N.; Chen, W. Change of drought at multiple temporal scales based on SPI /SPEI in Northeast China. Arid Zone Res. 2017, 34, 1250–1262. [Google Scholar]
- Zhao, R.X.; Wang, H.X.; Dong, Y.X. Impact of climate change on grain yield and its trend across Guanzhong region. Chin. J. Eco-Agric. 2020, 28, 467–479. [Google Scholar]
- Yang, C.Y.; Shen, W.S.; Li, H.D. Response of grain yield in Tibet to climate and cultivated land change during 1985–2010. Trans. Chin. Soc. Agric. Eng. 2015, 31, 261–269. [Google Scholar]
- Wang, G.Z.; Lu, J.S.; Chen, K.Y.; Wu, X.H. Exploration of method inseparating climatic output based on HP filter. Chin. J. Agrometeorol. 2014, 35, 195. [Google Scholar]
- Peña-Gallardo, M.; Vicente-Serrano, S.M.; Domínguez-Castro, F.; Beguería, S. The impact of drought on the productivity of two rainfed crops in Spain. Nat. Hazards Earth Syst. Sci. 2019, 19, 1215–1234. [Google Scholar] [CrossRef] [Green Version]
- Tian, L.; Yuan, S.; Quiring, S.M. Evaluation of six indices for monitoring agricultural drought in the south-central United States. Agric. For. Meteorol. 2018, 249, 107–119. [Google Scholar] [CrossRef]
- Potopová, V.; Štěpánek, P.; Možný, M.; Soukup, J. Performance of the standardised precipitation evapotranspiration index at various lags for agricultural drought risk assessment in the Czech Republic. Agric. For. Meteorol. 2015, 202, 26–38. [Google Scholar] [CrossRef]
- Yao, J.Q.; Mao, W.Y.; Chen, J.; Dilinuer, T. Signal and impact of wet-to-dry shift over Xinjiang, China. Acta Geogr. Sin. 2021, 7601, 57–72. [Google Scholar]
- Bai, Y.G.; Mu, S.R.Z.; Lei, X.Y. Analysis on characteristic and affecting factor of drought disaster of Xinjiang. Yellow River 2012, 34, 61–63. [Google Scholar]
- Xinjiang Climate Center. Top 10 weather news of 2008 in Xinjiang. Desert Oasis Meteorol. 2009, 3, 61–62. [Google Scholar]
- State Council Information Office. China Food Security White Paper [EB/OL]. Available online: http://www.gov.cn/zhengce/2019-10/14/content_5439410.html,2019-10-14 (accessed on 5 November 2021).
- Kukal, M.S.; Irmak, S. Climate-driven crop yield and yield variability and climate change impacts on the US Great Plains agricultural production. Sci. Rep. 2018, 8, 3450. [Google Scholar] [CrossRef] [PubMed] [Green Version]
- Zhao, H.; Yao, J.Q.; Li, X.G.; Tao, H. The characteristics of climate change in Xinjiang during 1961–2015. ACTA Sci. Nat. Univ. SUNYATSENI 2020, 59, 126–133. [Google Scholar]
- Gitea, M.A.; Gitea, D.; Tit, D.M.; Purza, L.; Samuel, A.D.; Bungău, S.; Badea, G.E.; Aleya, L. Orchard management under the effects of climate change: Implications for apple, plum, and almond growing. Environ. Sci. Pollut. Res. 2019, 26, 9908–9915. [Google Scholar] [CrossRef] [PubMed]
- Li, C.; Wang, R.H.; Ning, H.S.; Luo, Q.H. Changes in climate extremes and their impact on wheat yield in Tianshan Mountains region, northwest China. Environ. Earth Sci. 2016, 75, 1228. [Google Scholar] [CrossRef]
- Lunduka, R.W.; Mateva, K.I.; Magorokosho, C.; Manjeru, P. Impact of adoption of drought-tolerant maize varieties on total maize production in Southeastern Zimbabwe. Clim. Dev. 2019, 11, 35–46. [Google Scholar] [CrossRef] [PubMed] [Green Version]









| SPEI Value | Drought Grade |
|---|---|
| (−0.5–0.5] | Normal years |
| (−1.0–−0.5] | Slight drought |
| (−1.5–−1.0] | Moderate drought |
| (−2.0–−1.5] | Severe drought |
| (−∞–−2.0] | Extreme drought |
| Annual | Spring | Summer | Autum | Winter | |
|---|---|---|---|---|---|
| Cotton | −0.22 | −0.174 | −0.13 | −0.104 | −0.227 |
| Wheat | 0.216 | 0.294 * | 0.476 ** | 0.032 | 0.051 |
| Corn | −0.08 | −0.048 | 0.06 | −0.125 | −0.161 |
Publisher’s Note: MDPI stays neutral with regard to jurisdictional claims in published maps and institutional affiliations. |
© 2021 by the authors. Licensee MDPI, Basel, Switzerland. This article is an open access article distributed under the terms and conditions of the Creative Commons Attribution (CC BY) license (https://creativecommons.org/licenses/by/4.0/).
Share and Cite
Cheng, J.; Yin, S. Analysis of Drought Characteristics and Its Effects on Crop Yield in Xinjiang in Recent 60 Years. Sustainability 2021, 13, 13833. https://doi.org/10.3390/su132413833
Cheng J, Yin S. Analysis of Drought Characteristics and Its Effects on Crop Yield in Xinjiang in Recent 60 Years. Sustainability. 2021; 13(24):13833. https://doi.org/10.3390/su132413833
Chicago/Turabian StyleCheng, Junqi, and Shuyan Yin. 2021. "Analysis of Drought Characteristics and Its Effects on Crop Yield in Xinjiang in Recent 60 Years" Sustainability 13, no. 24: 13833. https://doi.org/10.3390/su132413833
APA StyleCheng, J., & Yin, S. (2021). Analysis of Drought Characteristics and Its Effects on Crop Yield in Xinjiang in Recent 60 Years. Sustainability, 13(24), 13833. https://doi.org/10.3390/su132413833

