Insulating Building Components Made from a Mixture of Waste and Vegetal Materials: Thermal Characterization of Nine New Products
Abstract
:1. Introduction
2. Methodology
2.1. Measurement Procedure
- is the calibration factor ();
- is the measured electric signal from the transducer ();
- is the sample thickness (m);
- is the difference in temperature between the two plates (°C).
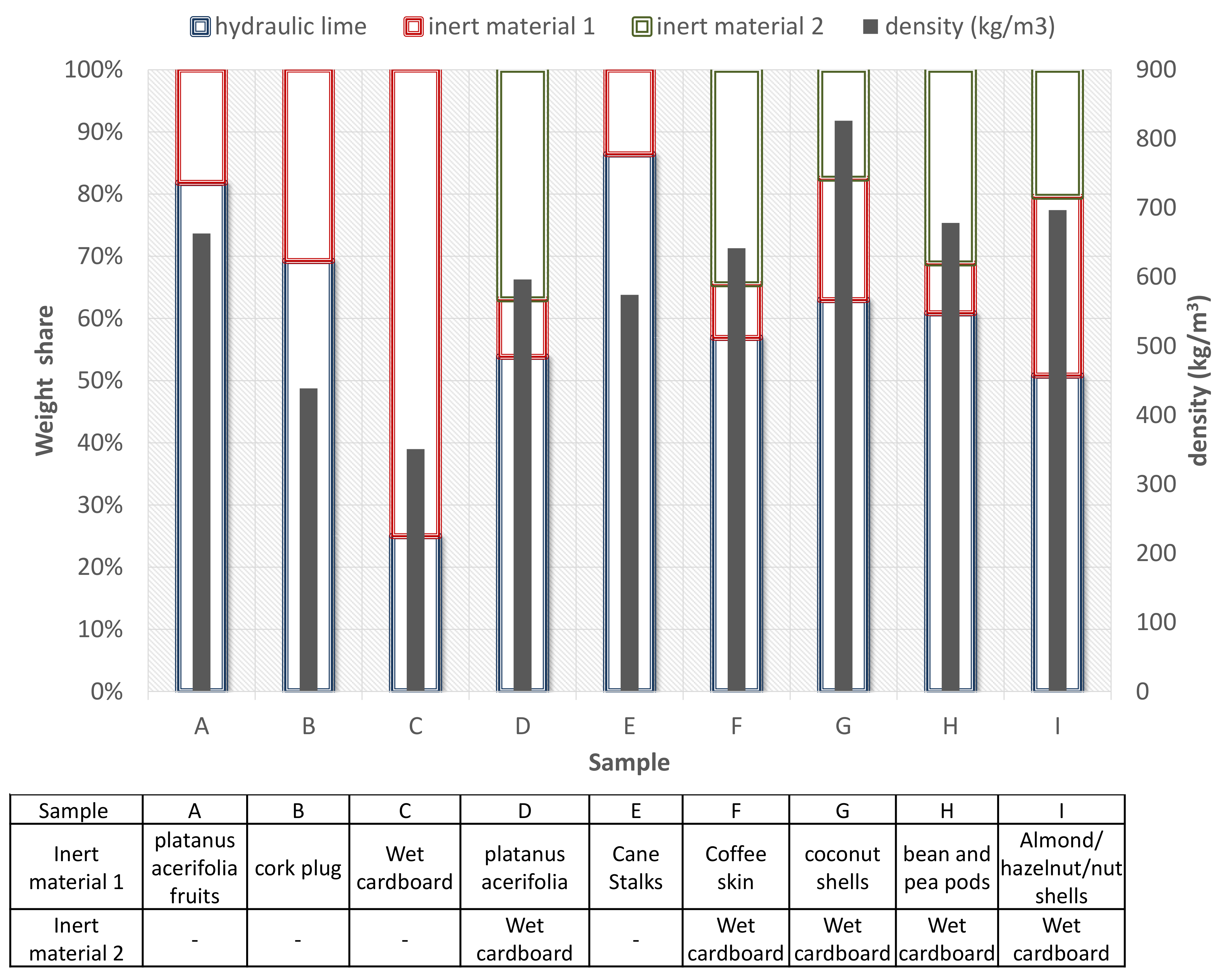
2.2. Selection of the Materials
- desiccated and smashed desiccated platanus acerifolia fruits (Figure 2a,b)
- triturated cork plugs (Figure 2c)
- water-soaked cardboard (Figure 2d)
- coffee parchment skin, which comes off during the roasting process (Figure 2e)
- chopped cane stalks (Figure 2f)
- almond/hazelnut/nut shells (Figure 2g)
- coconut shells (Figure 2h)
- bean and pea pods (Figure 2i)
2.3. Preparation of the Specimens
2.3.1. Natural/Waste Material Treatment
2.3.2. Preparation of the Mixtures and Construction of the Samples
3. Results and Discussion
4. Conclusions
- More uniform samples (where the natural/plant material was triturated and blended in the mixture) showed better insulation properties, in particular the ones with light plant/recycled materials (cork, cardboard, and acerifolia fruits) inside.
- Thermal conductivity is strictly influenced by factors such as the composition of the samples (considering the hydraulic lime content) and the final density reached by the samples after the drying process. Thermal conductivity showed a tendency to rise with the final sample density, while lower thermal conductivity values were obtained with lower lime content.
- The average temperature reached during each test run influences the results too. The performed measurements, which were characterized by the same temperature gradient (20 °C), yielded thermal conductivity values that rose slightly with the average temperature of the test, at least for the considered range (10–30 °C).
- Thermal conductivity values for the studied materials vary between a minimum of 0.0715 W/m−1 K−1 for cork plugs to a maximum of 0.1382 W/m−1 K−1 for nut shells, confirming that the selected materials can be considered a feasible alternative to commonly used materials for insulation in buildings.
Author Contributions
Funding
Institutional Review Board Statement
Informed Consent Statement
Data Availability Statement
Conflicts of Interest
Nomenclature
| Symbol | Parameter | Unit |
|---|---|---|
| Thermal conductivity | ||
| Calibration factor | ||
| Measured electric signal | ||
| Sample thickness | m | |
| Temperature difference | °C | |
| Subscript | Meaning | |
| Related to the upper plate of the heat flow meter | ||
| low | Related to the lower plate of the heat flow meter | |
| avg | Average | |
References
- Yuan, R.; Rodrigues, J.F.; Wang, J.; Tukker, A.; Behrens, P. A global overview of developments of urban and rural household GHG footprints from 2005 to 2015. Sci. Total Environ. 2022, 806, 150695. [Google Scholar] [CrossRef]
- European Commission. Energy Roadmap 2050. 2011. Available online: https://ec.europa.eu/clima/eu-action/climate-strategies-targets/2050-long-term-strategy_it (accessed on 10 April 2021).
- European Commission. Policy Framework for Climate and Energy in the Period from 2020 to 2030. 2014. Available online: https://ec.europa.eu/clima/eu-action/climate-strategies-targets/2030-climate-energy-framework_it (accessed on 10 April 2021).
- European Commission. Energy 2020. A Strategy for Competitive, Sustainable and Secure Energy. 2010. Available online: https://eur-lex.europa.eu/LexUriServ/LexUriServ.do?uri=COM:2010:0639:FIN:En:PDF (accessed on 10 April 2021).
- Peri, G.; Rizzo, G. The overall classification of residential buildings: Possible role of tourist EU Ecolabel award scheme. Build. Environ. 2012, 56, 151–161. [Google Scholar] [CrossRef]
- Jaillon, L.; Poon, C.-S.; Chan, Y.Y.; Lee, M.W.; Cai, X. Green building rating systems and construction waste in high density urban environment: The case study of Hong Kong. Int. J. Sustain. Constr. Eng. Technol. 2020, 11, 60–76. [Google Scholar] [CrossRef]
- Ekström, T.; Sundling, R.; Burke, S.; Harderup, L.-E. Probabilistic risk analysis and building performance simulations—Building design optimisation and quantifying stakeholder consequences. Energy Build. 2021, 252, 111434. [Google Scholar] [CrossRef]
- Al-Temeemi, A.-S. Climatic design techniques for reducing cooling energy consumption in Kuwaiti houses. Energy Build. 1995, 23, 41–48. [Google Scholar] [CrossRef]
- Susanto, M.E. Water-Insoluble Drug Formulation; CSC Press: Boca Raton, FL, USA, 2019; Volume 53. [Google Scholar] [CrossRef]
- European Commission. Communication from the Commission to the European Parliament, the Council, the European Economic and Social Committee and the Committe of the Regions on a Monitoring Framework for the Circular Economy {SWD(2018) 17 final}. Strasbourg, 16.1.2018. Available online: https://eur-lex.europa.eu/legal-content/EN/TXT/?uri=COM%3A2018%3A29%3AFIN (accessed on 10 April 2021).
- Zhong, R.Y.; Xu, X.; Klotz, E.; Newman, S.T. Intelligent Manufacturing in the Context of Industry 4.0: A Review. Engineering 2017, 3, 616–630. [Google Scholar] [CrossRef]
- Zezulka, F.; Marcon, P.; Vesely, I.; Sajdl, O. Industry 4.0—An Introduction in the phenomenon. IFAC-PapersOnLine 2016, 49, 8–12. [Google Scholar] [CrossRef]
- Lu, Y. Industry 4.0: A survey on technologies, applications and open research issues. J. Ind. Inf. Integr. 2017, 6, 1–10. [Google Scholar] [CrossRef]
- Benfratello, S.; Capitano, C.; Peri, G.; Rizzo, G.; Scaccianoce, G.; Sorrentino, G. Thermal and structural properties of a hemp–lime biocomposite. Constr. Build. Mater. 2013, 48, 745–754. [Google Scholar] [CrossRef]
- Yuan, J.; Fang, C.; Chen, Q.; Fei, B. Observing bamboo dimensional change caused by humidity. Constr. Build. Mater. 2021, 309, 124988. [Google Scholar] [CrossRef]
- Kusuma, Y. Local wisdom as a sustainable building solution: Bamboo incremental house design concept. J. Appl. Sci. Eng. 2022, 25, 119–127. [Google Scholar] [CrossRef]
- Fedorik, F.; Zach, J.; Lehto, M.; Kymäläinen, H.R.; Kuisma, R.; Jallinoja, M.; Illikainen, K.; Alitalo, S. Hygrothermal properties of advanced bio-based insulation materials. Energy Build. 2021, 253, 111528. [Google Scholar] [CrossRef]
- Yap, Z.S.; Khalid, N.H.A.; Haron, Z.; Mohamed, A.; Tahir, M.M.; Hasyim, S.; Saggaff, A. Waste Mineral Wool and Its Opportunities—A Review. Materials 2021, 14, 5777. [Google Scholar] [CrossRef]
- Lianto, F.; Husin, D.; Thedyardi, C.; Choandi, M.; Trisno, R. A retrospective towards a biodegradable material concept for future Indonesian sustainable architecture. City Territ. Arch. 2021, 8, 1–12. [Google Scholar] [CrossRef]
- Baccilieri, F.; Bornino, R.; Fotia, A.; Marino, C.; Nucara, A.F.; Pietrafesa, M. Experimental measurements of the thermal conductivity of insulant elements made of natural materials: Preliminary results. Int. J. Heat Technol. 2016, 34, 413–419. [Google Scholar] [CrossRef]
- Jiang, D.; Lv, S.; Cui, S.; Sun, S.; Song, X.; He, S.; Zhang, J.; An, P. Effect of thermal insulation components on physical and mechanical properties of plant fibre composite thermal insulation mortar. J. Mater. Res. Technol. 2020, 9, 12996–13013. [Google Scholar] [CrossRef]
- Kymalainen, H.R.; Sjoberg, A.M. Flax and hemp fibres as raw materials for thermal insulations. Build. Environ. 2008, 43, 1261–1269. [Google Scholar] [CrossRef]
- Paiva, A.; Pereira, S.; Briga-Sá, A.; Cruz, D.; Varum, H.; Pinto, J. A contribution to the thermal insulation performance characterization of corn cob particleboards. Energy Build. 2012, 45, 274–279. [Google Scholar] [CrossRef] [Green Version]
- La Gennusa, M.; Llorach-Massana, P.; Montero, J.I.; Peña, F.J.; Rieradevall, J.; Ferrante, P.; Scaccianoce, G.; Sorrentino, G. Composite Building Materials: Thermal and Mechanical Performances of Samples Realized with Hay and Natural Resins. Sustainability 2017, 9, 373. [Google Scholar] [CrossRef] [Green Version]
- Augaitis, N.; Vaitkus, S.; Członka, S.; Kairytė, A. Research of Wood Waste as a Potential Filler for Loose-Fill Building Insulation: Appropriate Selection and Incorporation into Polyurethane Biocomposite Foams. Materials 2020, 13, 5336. [Google Scholar] [CrossRef]
- Stonys, R.; Kuznetsov, D.; Krasnikovs, A.; Škamat, J.; Baltakys, K.; Antonovič, V.; Černašėjus, O. Reuse of ultrafine mineral wool production waste in the manufacture of refractory concrete. J. Environ. Manag. 2016, 176, 149–156. [Google Scholar] [CrossRef] [PubMed]
- U.S. Green Building Council, LEED (Leadership in Energy and Environmental Design). 2017. Available online: http://www.usgbc.org/ (accessed on 10 April 2021).
- Building Research Establishment, BREEAM (Building Research Establishment Environmental Assessment Method). 2017. Available online: https://www.breeam.com/ (accessed on 28 July 2021).
- EU. Directive 2010/31/EU of The European Parliament and of the Council of 19 May 2010 on the Energy Performance of Buildings (Recast). 2010. Available online: http://eur-lex.europa.eu/LexUriServ/LexUriServ.do?uri=OJ:L:2010:153:0013:0035:EN:PDF (accessed on 10 April 2021).
- Yu, H.; Zhang, H.; Zhao, J.; Liu, J.; Xia, X.; Wu, X. Thermal conductivity of micro/nano-porous polymers: Prediction models and applications. Front. Phys. 2022, 17, 23202. [Google Scholar] [CrossRef]
- Courtois, E.; Glouannec, P.; Magueresse, A.; Loulou, T. Estimating thermal properties of phase change material from heat flux measurements. Int. J. Therm. Sci. 2022, 172, 107307. [Google Scholar] [CrossRef]
- Marino, C.; Nucara, A.; Pietrafesa, M. Mapping of the indoor comfort conditions considering the effect of solar radiation. Sol. Energy 2015, 113, 63–77. [Google Scholar] [CrossRef]
- Decorte, Y.; Steeman, M.; Bossche, N.V.D. Effect of a one-dimensional approach in LCA on the environmental life cycle impact of buildings: Multi-family case study in Flanders. Build. Environ. 2021, 206, 108381. [Google Scholar] [CrossRef]
- Castell, A.; Menoufi, K.; de Gracia, A.; Rincón, L.; Boer, D.; Cabeza, L.F. Life Cycle Assessment of alveolar brick construction system incorporating phase change materials (PCMs). Appl. Energy 2013, 101, 600–608. [Google Scholar] [CrossRef]
- Peng, C.; Kim, Y.J.; Zhang, J. Thermal and energy characteristics of composite structural insulated panels consisting of glass fiber reinforced polymer and cementitious materials. J. Build. Eng. 2021, 43, 102483. [Google Scholar] [CrossRef]
- Karami, P.; Al-Ayish, N.; Gudmundsson, K. A comparative study of the environmental impact of Swedish residential buildings with vacuum insulation panels. Energy Build. 2015, 109, 183–194. [Google Scholar] [CrossRef]
- Aranda-Usón, A.; Ferreira, G.; López-Sabirón, A.M.; Mainar-Toledo, M.; Bribián, I.Z. Phase change material applications in buildings: An environmental assessment for some Spanish climate severities. Sci. Total Environ. 2013, 444, 16–25. [Google Scholar] [CrossRef]
- Ji, S.; Lee, B.; Yi, M.Y. Building life-span prediction for life cycle assessment and life cycle cost using machine learning: A big data approach. Build. Environ. 2021, 205, 108267. [Google Scholar] [CrossRef]
- Corscadden, K.; Biggs, J.; Stiles, D. Sheep’s wool insulation: A sustainable alternative use for a renewable resource? Resour. Conserv. Recycl. 2014, 86, 9–15. [Google Scholar] [CrossRef]
- Zach, J.; Hroudová, J.; Brožovský, J.; Krejza, Z.; Gailius, A. Development of Thermal Insulating Materials on Natural Base for Thermal Insulation Systems. Procedia Eng. 2013, 57, 1288–1294. [Google Scholar] [CrossRef] [Green Version]
- Sutcu, M.; Ozturk, S.; Yalamac, E.; Gencel, O. Effect of olive mill waste addition on the properties of porous fired clay bricks using Taguchi method. J. Environ. Manag. 2016, 181, 185–192. [Google Scholar] [CrossRef] [PubMed]
- Tian, J.; Yang, Y.; Xue, T.; Chao, G.; Fan, W.; Liu, T. Highly flexible and compressible polyimide/silica aerogels with integrated double network for thermal insulation and fire-retardancy. J. Mater. Sci. Technol. 2022, 105, 194–202. [Google Scholar] [CrossRef]
- Tokbolat, S.; Nazipov, F.; Kim, J.R.; Karaca, F. Evaluation of the Environmental Performance of Residential Building Envelope Components. Energies 2019, 13, 174. [Google Scholar] [CrossRef] [Green Version]
- Rocchi, L.; Kadziński, M.; Menconi, M.; Grohmann, D.; Miebs, G.; Paolotti, L.; Boggia, A. Sustainability evaluation of retrofitting solutions for rural buildings through life cycle approach and multi-criteria analysis. Energy Build. 2018, 173, 281–290. [Google Scholar] [CrossRef]
- Meng, X.; Luo, T.; Gao, Y.; Zhang, L.; Shen, Q.; Long, E. A new simple method to measure wall thermal transmittance in situ and its adaptability analysis. Appl. Therm. Eng. 2017, 122, 747–757. [Google Scholar] [CrossRef]
- Evangelisti, L.; Vollaro, R.D.L.; Asdrubali, F. On the equivalent thermo-physical properties for modeling building walls with unknown stratigraphy. Energy 2022, 238, 121679. [Google Scholar] [CrossRef]
- Gori, F.; Corasaniti, S. Experimental Measurements and Theoretical Prediction of the Thermal Conductivity of Two- and Three-Phase Water/Olivine Systems. Int. J. Thermophys. 2003, 24, 1339–1353. [Google Scholar] [CrossRef]
- Liu, H.; Tian, Y.; Jiao, J.; Wu, X.; Li, Z. Thermal conductivity modeling of hollow fiber-based porous structures for thermal insulation applications. J. Non-Cryst. Solids 2022, 575, 121188. [Google Scholar] [CrossRef]
- Gori, F.; Pietrafesa, M. On the construction method of thermal probes for the measurement of thermal properties of insulating materials. Am. Soc. Mech. Eng. Heat Transf. Div. HTD 1991, 179, 83–89. [Google Scholar]
- ASTM. ASTM C518-17. Standard Test. Method for Steady-State Thermal Transmission Properties by Means of the Heat Flow Meter Apparatus; ASTM: West Conshohocken, PA, USA, 2017. [Google Scholar]
- UNI. UNI EN 12667—Thermal Performance of Building Materials and Products—Determination of Thermal Resistance by Means of Guarded Hot Plate and Heat Flow Meter Methods—Products of High. and Medium Thermal Resistance, Management; UNI—PEnte Nazionale Italiano di Unificazione: Milan, Italy, 2002. [Google Scholar]
- British Geological Survey. Natural Hydraulic Limes. 2005. Available online: https://www.bgs.ac.uk/search/home.html?q=Natural+hydraulic+limes&qSearchBtn=+ (accessed on 18 August 2020).
- Grist, E.R.; Paine, K.A.; Heath, A.; Norman, J.; Pinder, H. The environmental credentials of hydraulic lime-pozzolan concretes. J. Clean. Prod. 2015, 93, 26–37. [Google Scholar] [CrossRef] [Green Version]
- Brás, A.; Faria, P. Effectiveness of mortars composition on the embodied carbon long-term impact. Energy Build. 2017, 154, 523–528. [Google Scholar] [CrossRef]
- Koçyiğit, F.; Ünal, F.; Koçyiğit, S. Experimental analysis and modeling of the thermal conductivities for a novel building material providing environmental transformation. Energy Sources Part. A Recovery Util. Environ. Eff. 2020, 42, 3063–3079. [Google Scholar] [CrossRef]
- Korjenic, A.; Zach, J.; Hroudová, J. The use of insulating materials based on natural fibers in combination with plant facades in building constructions. Energy Build. 2016, 116, 45–58. [Google Scholar] [CrossRef]
- Davraz, M.; Koru, M.; Akdağ, A.E. The Effect of Physical Properties on Thermal Conductivity of Lightweight Aggregate. Procedia Earth Planet. Sci. 2015, 15, 85–92. [Google Scholar] [CrossRef] [Green Version]
- Nagy, B.; Nehme, S.G.; Szagri, D. Thermal Properties and Modeling of Fiber Reinforced Concretes. Energy Procedia 2015, 78, 2742–2747. [Google Scholar] [CrossRef] [Green Version]
- Iyer, N.R. An Overview of Cementitious Construction Materials; Elsevier: Amsterdam, The Netherlands, 2020; pp. 1–64. [Google Scholar]









| Range ID | tlow (°C) | tup (°C) | tavg (°C) |
|---|---|---|---|
| 1 | 0 | 20 | 10 |
| 2 | 5 | 25 | 15 |
| 3 | 10 | 30 | 20 |
| 4 | 15 | 35 | 25 |
| 5 | 20 | 40 | 30 |
| Dimension (cm) | ||||
|---|---|---|---|---|
| Sample | Inert Material 1 | Inert Material 2 | Length × Width | Thickness |
| A | Platanus acerifolia fruits | - | 30 × 30 | 4.6 |
| B | Cork plug | - | 30 × 30 | 2.9 |
| C | Wet cardboard | - | 30 × 30 | 4.4 |
| D | Platanus acerifolia | Wet cardboard | 30 × 30 | 4.7 |
| E | Cane Stalks | - | 30 × 30 | 3.5 |
| F | Coffee skin | Wet cardboard | 30 × 30 | 4.0 |
| G | Coconut shells | Wet cardboard | 30 × 30 | 3.1 |
| H | Bean and pea pods | Wet cardboard | 30 × 30 | 4.9 |
| I | Almond/hazelnut/nut shells | Wet cardboard | 30 × 30 | 5.5 |
| Weight (g) | |||||||
|---|---|---|---|---|---|---|---|
| Mixture Identification Code | Inert Material 1 | Inert Material 2 | Water | Hydraulic Lime | Inert Material 1 | Inert Material 2 | TOTAL |
| A | Platanus acerifolia fruits | - | 2140 | 2700 | 600 | - | 5440 |
| B | Cork plug | - | 810 | 766 | 340 | - | 1916 |
| C | Wet cardboard | - | 2500 | 911 | 2734 | - | 6145 |
| D | Platanus acerifolia | Wet cardboard | 2500 | 1750 | 300 | 1200 | 5750 |
| E | Cane Stalks | - | 800 | 2540 | 400 | 3740 | |
| F | Coffee skin | Wet cardboard | 1500 | 1979 | 300 | 1200 | 4979 |
| G | Coconut shells | Wet cardboard | 1000 | 1675 | 519 | 466 | 2660 |
| H | Bean and pea pods | Wet cardboard | 2025 | 3730 | 490 | 1910 | 6130 |
| I | Almond/hazelnut/nut shells | Wet cardboard | 1453 | 1989 | 1125 | 800 | 3862 |
| Sample | Inert Material 1 | Inert Material 2 | Average Value k (W m−1 K−1) | Standard Deviation (W m−1 K−1) |
|---|---|---|---|---|
| A | Platanus acerifolia fruits | - | 0.0988 | 0.0018 |
| B | Cork plug | - | 0.0715 | 0.0018 |
| C | Wet cardboard | - | 0.0761 | 0.0016 |
| D | Platanus acerifolia fruits | Wet cardboard | 0.0908 | 0.0016 |
| E | Cane Stalks | - | 0.1109 | 0.0029 |
| F | Coffee skin | Wet Cardboard | 0.0890 | 0.0018 |
| G | Coconut shells | Wet Cardboard | 0.1287 | 0.0035 |
| H | Bean and pea pods | Wet Cardboard | 0.1125 | 0.0017 |
| I | Almond/hazelnut/nut shells | Wet Cardboard | 0.1382 | 0.0030 |
Publisher’s Note: MDPI stays neutral with regard to jurisdictional claims in published maps and institutional affiliations. |
© 2021 by the authors. Licensee MDPI, Basel, Switzerland. This article is an open access article distributed under the terms and conditions of the Creative Commons Attribution (CC BY) license (https://creativecommons.org/licenses/by/4.0/).
Share and Cite
La Gennusa, M.; Marino, C.; Nucara, A.; Panzera, M.F.; Pietrafesa, M. Insulating Building Components Made from a Mixture of Waste and Vegetal Materials: Thermal Characterization of Nine New Products. Sustainability 2021, 13, 13820. https://doi.org/10.3390/su132413820
La Gennusa M, Marino C, Nucara A, Panzera MF, Pietrafesa M. Insulating Building Components Made from a Mixture of Waste and Vegetal Materials: Thermal Characterization of Nine New Products. Sustainability. 2021; 13(24):13820. https://doi.org/10.3390/su132413820
Chicago/Turabian StyleLa Gennusa, Maria, Concettina Marino, Antonino Nucara, Maria Francesca Panzera, and Matilde Pietrafesa. 2021. "Insulating Building Components Made from a Mixture of Waste and Vegetal Materials: Thermal Characterization of Nine New Products" Sustainability 13, no. 24: 13820. https://doi.org/10.3390/su132413820
APA StyleLa Gennusa, M., Marino, C., Nucara, A., Panzera, M. F., & Pietrafesa, M. (2021). Insulating Building Components Made from a Mixture of Waste and Vegetal Materials: Thermal Characterization of Nine New Products. Sustainability, 13(24), 13820. https://doi.org/10.3390/su132413820

