The Workability and Crack Resistance of Natural and Recycled Aggregate Mortar Based on Expansion Agent through an Environmental Study
Abstract
1. Introduction
2. Materials and Methods
2.1. Materials
2.1.1. Aggregate
2.1.2. Portland Cement and Expansion Agent
2.2. Methods
2.2.1. Specimen Preparations
2.2.2. Compressive Strength Test
2.2.3. Flexural Strength Test
2.2.4. Microscopic Mechanism Test
2.2.5. Carbon Footprint Assessment
3. Results and Discussion
3.1. Compressive Strength and Flexural Strength
3.1.1. Compressive Strength
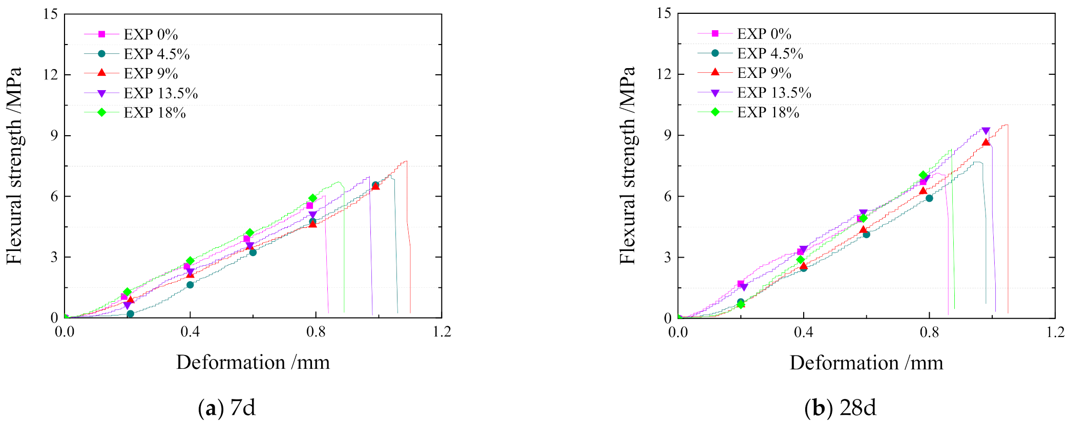
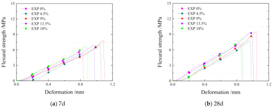
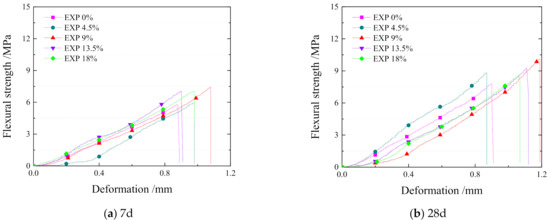
3.1.2. Flexural Strength
3.2. X-Ray Diffraction (XRD) and Scanning Electron Microscope (SEM)
3.2.1. X-Ray Diffraction (XRD)
3.2.2. Scanning Electron Microscope (SEM)
3.3. Carbon Emission Evaluation
4. Conclusions
- The compressive strength of NAM is higher than that of RAM, while the flexural strength of NAM is less than RAM. Further, the trend of mechanical strength is similar in that it first increases and then decreases when the EXP proportion reaches an optimal level. The strength value of recycled aggregate is acceptable compared with that of NAM.
- From the XRD and SEM patterns, quartz is the source of strength in NAM and RAM. Ettringite occurs in the early stage of cement hydration and C-S-H are the main courses of shrinkage-compensating mechanism. At the same time, the CaO and MgO may be hydrated to Ca(OH)2 and Mg(OH)2, and the volume relatively expanded. The effect of EXP on NAM and RAM is similar, and it has significant influence.
- The proportion of production and transport of cement occupies around 94% to 96% of CO2 emission. The CO2 emission of RAM is a little bit less than NAM; as a result, the utilization of recycled aggregate from CDW or other environmentallu-friendly resources may reduce the energy consumption.
Author Contributions
Funding
Institutional Review Board Statement
Informed Consent Statement
Data Availability Statement
Conflicts of Interest
References
- Chinzorigt, G.; Choi, D.; Enkhbold, O.; Baasankhuu, B.; Lim, M.K.; Lim, H.S. Strength, shrinkage and creep of concrete including CO2 treated recycled coarse aggregate. J. Asian Concr. Fed. 2018, 4, 89–102. [Google Scholar] [CrossRef]
- Corinaldesi, V. Combined effect of expansive, shrinkage reducing and hydrophobic admixtures for durable self-compacting concrete. Constr. Build. Mater. 2012, 36, 758–764. [Google Scholar] [CrossRef]
- Zhao, R.; Su, H.; Chen, X.L.; Yu, Y.N. Commercially available materials selection in sustainable design: An integrated multi-attribute decision making approach. Sustainability 2016, 8, 79. [Google Scholar] [CrossRef]
- Kua, H.W.; Gupta, S.; Aday, A.N.; Srubar, W.V. Biocharimmobilized bacteria and superabsorbent polymers enable self-healing of fiber-reinforced concrete after multiple damage cycles. Cem. Concr. Compos. 2019, 100, 35–52. [Google Scholar] [CrossRef]
- Tang, Q.; Zhang, Y.; Gao, Y.F.; Gu, F. Use of cement-chelated solidified MSWI fly ash for pavement material: Mechanical and environmental evaluations. Can. Geotech. J. 2017, 54, 1553–1566. [Google Scholar] [CrossRef]
- Tang, Q.; Liu, Y.; Gu, F.; Zhou, T. Solidification/stabilization of fly ash from a municipal solid waste incineration facility using Portland cement. Adv. Mater. Sci. Eng. 2016, 5, 1–10. [Google Scholar] [CrossRef]
- Tang, Q.; Gu, F.; Gao, Y. Desorption characteristics of Cr (III), Mn (II) and Ni (II) in contaminated soil using citric acid and citric acid containing wastewater. Soils Found. 2018, 58, 5–64. [Google Scholar]
- Tang, Q.; Tang, X.W.; Li, Z.Z. Zn (II) removal with activated Firmiana simplex leaf: Kinetics and equilibrium studies. J. Environ. Eng. 2012, 138, 190–199. [Google Scholar] [CrossRef]
- Zhao, R.; Li, M.; Ma, S.D.; Yang, T.X.; Jing, L.Y. Material selection for landfill leachate piping by using a grey target decision-making approach. Environ. Sci. Pollut. Res. 2020, 1–9. [Google Scholar] [CrossRef]
- Zhao, R.; Wang, X.Q.; Chen, X.L.; Liu, Y.Y. Impacts of different aged landfill leachate on PVC corrosion. Environ. Sci. Pollut. Res. 2019, 26, 18256–18266. [Google Scholar] [CrossRef]
- Shahidan, S.; Rahim, M.A.; Zol, N.S.N.; Azizan, M.A.; Ismail, I. Properties of steel fibers reinforcement concrete with different characteristic of steel fiber. Appl. Mech. Mater. 2015, 5, 773–774. [Google Scholar] [CrossRef]
- Shen, D.; Liu, K.; Wen, C.; Shen, Y.; Jiang, G. Early-age cracking resistance of ground granulated blast furnace slag concrete. Constr. Build. Mater. 2019, 222, 278–287. [Google Scholar] [CrossRef]
- Zhao, R.; Xi, B.D.; Liu, Y.Y.; Su, J.; Liu, S.L. Economic potential of leachate evaporation by using landfill gas: A system dynamics approach. Resour. Conserv. Recycl. 2017, 124, 74–84. [Google Scholar] [CrossRef]
- Zhao, R.; Zhou, X.; Han, J.J.; Liu, C.L. For the sustainable performance of the carbon reduction labeling policies under an evolutionary game simulation. Technol. Forecast. Soc. Chang. 2016, 112, 262–274. [Google Scholar] [CrossRef]
- Zhao, R.; Liu, Y.Y.; Zhang, N.; Huang, T. An optimization model for green supply chain management by using a big data analytic approach. J. Clean. Prod. 2017, 142, 1085–1097. [Google Scholar] [CrossRef]
- Liu, S.; Fang, K.; Li, Z. Influence of Mineral Admixtures on Crack Resistance of High Strength Concrete. Key Eng. Mater. 2006, 302, 150–154. [Google Scholar] [CrossRef]
- Calvo, J.L.C.; Revuelta, D.; Carballosa, P.; Gutierrez, J.P. Comparison between the performance of expansive SCC and expansive conventional concretes in different expansion and curing conditions. Constr. Build. Mater. 2017, 136, 277–285. [Google Scholar] [CrossRef]
- Lee, S.; Park, W.; Lee, H. Life cycle CO2 assessment method for concrete using CO2 balance and suggestion to decrease CO2 of concrete in South-Korean apartment. Energy Build. 2013, 58, 93–102. [Google Scholar] [CrossRef]
- Han, Y.; Wu, Y.; Zhao, X. Life cycle assessment of heavy-duty truck for highway transport in China. Mater. Sci. Forum 2014, 787, 117–122. [Google Scholar]
- Li, C.; Cui, S.; Nie, Z.; Gong, X.; Wang, Z.; Itsubo, N. The LCA of Portland cement production in China. Int. J. Life Cycle Assess. 2015, 20, 117–127. [Google Scholar] [CrossRef]
- Gong, X.; Nie, Z.; Wang, Z.; Cui, S.; Gao, F.; Zuo, T. Life cycle energy consumption and carbon dioxide emission of residential building designs in Beijing. J. Ind. Ecol. 2012, 16, 576–587. [Google Scholar] [CrossRef]
- Tam, C.M.; Tsui, W.S. Green construction assessment for environmental management in the construction industry of Hong Kong. Int. J. Proj. Manag. 2004, 22, 563–571. [Google Scholar] [CrossRef]
- Xin, J.; Zhang, G.; Liu, Y.; Wang, Z.; Yang, N.; Wang, Y.; Mou, R.; Qiao, Y.; Wang, J.; Wu, Z. Environmental impact and thermal cracking resistance of low heat cement (LHC) and moderate heat cement (MHC) concrete at early ages. J. Build. Eng. 2020, 32, 101668. [Google Scholar] [CrossRef]
- Dulsang, N.; Kasemsiri, P.; Posi, P.; Hiziroglu, S.; Chindaprasirt, P. Characterization of an environment friendly lightweight concrete containing ethyl vinyl acetate waste. Mater. Des. 2016, 96, 350–356. [Google Scholar] [CrossRef]
- Nežerka, V.; Havlásek, P.; Trejbal, J. Mitigating inclusion-induced shrinkage cracking in cementitious composites by incorporating recycled concrete fines. Constr. Build. Mater. 2020, 248, 118673. [Google Scholar] [CrossRef]
- Meddah, M.S.; Tagnit-Hamou, A. Evaluation of rate of deformation for early age concrete shrinkage analysis and time zero determination. J. Mater. Civ. Eng. 2011, 23, 1076–1086. [Google Scholar] [CrossRef]
- Marsavina, L.; Audenaert, K.; De Schutter, G.; Faur, N.; Marsavina, D. Experimental and numerical determination of the chloride penetration in cracked concrete. Constr. Build. Mater. 2009, 23, 264–274. [Google Scholar] [CrossRef]
- Marinkovic, S.; Radonjanin, V.; Malesev, M.; Ignjatovic, I. Comparative environmental assessment of natural and recycled aggregate concrete. Waste Manag. 2010, 30, 2255–2264. [Google Scholar] [CrossRef]
- Thilakarathna, P.S.M.; Seo, S.; Baduge, K.S.K.; Lee, H.; Mendis, P.; Foliente, G. Embodied carbon analysis and benchmarking emissions of high and ultra-high strength concrete using machine learning algorithms. J. Clean. Prod. 2020, 262, 121281. [Google Scholar] [CrossRef]
- Tang, Q.; Tang, X.W.; Li, Z.Z. Adsorption and desorption behaviour of Pb (II) on a natural kaolin: Equilibrium, kinetic and thermodynamic studies. J. Chem. Technol. Biotechnol. 2009, 84, 1371–1380. [Google Scholar] [CrossRef]
- Bravo, M.; de Brito, J.; Evangelista, L.; Pacheco, J. Superplasticizer’s efficiency on the mechanical properties of recycled aggregates concrete: Influence of recycled aggregates composition and incorporation ratio. Constr. Build. Mater. 2017, 153, 129–138. [Google Scholar] [CrossRef]
- Pereira, P.; Evangelista, L.; de Brito, J. The effect of superplasticizers on the mechanical performance of concrete made with fine recycled concrete aggregates. Cem. Concr. Compos. 2012, 34, 1044–1052. [Google Scholar] [CrossRef]
- Burgos-Montes, O.; Palacios, M.; Rivilla, P.; Puertas, F. Compatibility between superplasticizer admixtures and cements with mineral additions. Constr. Build. Mater. 2012, 31, 300–309. [Google Scholar] [CrossRef]
- Tan, H.; Zou, F.; Liu, M.; Ma, B. Effect of the adsorbing behavior of phosphate retarders on hydration of cement paste. J. Mater. Civ. Eng. 2017, 29, 04017088. [Google Scholar] [CrossRef]
- Zhan, M.; Pan, G.; Wang, Y.; Fu, M.; Lu, X. Effect of presoak- accelerated carbonation factors on enhancing recycled aggregate mortars. Mag. Concr. Res. 2017, 69, 838–849. [Google Scholar] [CrossRef]
- Chau, C.; Hui, W.; Ng, W.; Powell, G. Assessment of CO2 emissions reduction in high-rise concrete office buildings using different material use options. Resour. Conserv. Recycl. 2012, 61, 22–34. [Google Scholar] [CrossRef]
- Asutosh, A.; Nawari, N.O. Integration of recycled industrial wastes into pavement design and construction for a sustainable future. J. Sustain. Dev. 2017, 10, 9–23. [Google Scholar] [CrossRef]
- De Schepper, M.; Van den Heede, P.; Van Driessche, I.; De Belie, N. Life cycle assessment of completely recyclable concrete. Materials 2014, 7, 6010–6027. [Google Scholar] [CrossRef]
- Xiao, J.; Ma, Z.; Sui, T.; Akbarnezhad, A.; Duan, Z. Mechanical properties of concrete mixed with recycled powder produced from construction and demolish waste. J. Clean. Prod. 2018, 188, 720–731. [Google Scholar] [CrossRef]
- Hossain, U.; Xuan, D.; Poon, C.S. Sustainable management and utilization of concrete slurry waste: A case study in Hong Kong. Waste Manag. 2017, 61, 397–404. [Google Scholar] [CrossRef]










| Composition | Na2O | SO3 | SiO2 | Fe2O3 | Al2O3 | MgO | CaO | K2O |
|---|---|---|---|---|---|---|---|---|
| Portland cement | 0.20 | 4.34 | 22.75 | 2.61 | 7.92 | 2.02 | 51.91 | 0.93 |
| Expansion agent | 0.15 | 27.16 | 1.24 | 0.67 | 12.61 | 2.06 | 54.38 | 0.63 |
| Coefficient (/t) | Factor I | Unit |
|---|---|---|
| Cement | 0.8 | t |
| Diesel | 3.16 | kg |
| Electricity | 1.0 | kg |
| RA | Electricity: 1.20 kW/t; Diesel: 0.73 L/t | kg |
| 3.22 | ||
| NA | Electricity: 1.50 kW/t; Diesel: 0.80 L/t | kg |
| 3.66 | ||
| Water | 0.53 | kg |
| Mixture | 0.012 | kg |
| Material | Water | Cement | NA/RA |
|---|---|---|---|
| Proportion/t | 0.150 | 0.271 | 1 |
| NAM | Production and Transport of Cement | Production and Transport of NA | Mixture | |
| 96.02 | 3.57 | 0.41 | ||
| RAM | Demolition of waste concrete | Production and Transport of Cement | Production and Transport of RA | Mixture |
| 1.44 | 94.67 | 3.55 | 0.34 | |
Publisher’s Note: MDPI stays neutral with regard to jurisdictional claims in published maps and institutional affiliations. |
© 2021 by the authors. Licensee MDPI, Basel, Switzerland. This article is an open access article distributed under the terms and conditions of the Creative Commons Attribution (CC BY) license (http://creativecommons.org/licenses/by/4.0/).
Share and Cite
Sun, J.; Chen, J.; Liao, X.; Tian, A.; Hao, J.; Wang, Y.; Tang, Q. The Workability and Crack Resistance of Natural and Recycled Aggregate Mortar Based on Expansion Agent through an Environmental Study. Sustainability 2021, 13, 491. https://doi.org/10.3390/su13020491
Sun J, Chen J, Liao X, Tian A, Hao J, Wang Y, Tang Q. The Workability and Crack Resistance of Natural and Recycled Aggregate Mortar Based on Expansion Agent through an Environmental Study. Sustainability. 2021; 13(2):491. https://doi.org/10.3390/su13020491
Chicago/Turabian StyleSun, Junfang, Ji Chen, Xin Liao, Angran Tian, Jinxu Hao, Yuchen Wang, and Qiang Tang. 2021. "The Workability and Crack Resistance of Natural and Recycled Aggregate Mortar Based on Expansion Agent through an Environmental Study" Sustainability 13, no. 2: 491. https://doi.org/10.3390/su13020491
APA StyleSun, J., Chen, J., Liao, X., Tian, A., Hao, J., Wang, Y., & Tang, Q. (2021). The Workability and Crack Resistance of Natural and Recycled Aggregate Mortar Based on Expansion Agent through an Environmental Study. Sustainability, 13(2), 491. https://doi.org/10.3390/su13020491
