An Optimization Model for Water Management under the Dual Constraints of Water Pollution and Water Scarcity in the Fenhe River Basin, North China
Abstract
:1. Introduction
2. Materials and Methods
2.1. Study Area
2.2. Model Development
- Water utilization benefits:
- 2.
- Water shortage penalty:
- 3.
- Cost of water supply:
- 4.
- Cost of wastewater treatment:
- 5.
- Cost of ecological water:
- 6.
- Downside risk constraints:
- Water resource constraints:
- 2.
- Water sector demand constraints:
- 3.
- Regional wastewater treatment capacity constraints:
- 4.
- Regional wastewater reuse capacity constraints:
- 5.
- Water environment carrying capacity constraints:
- 6.
- Downside risk
2.3. Datasets
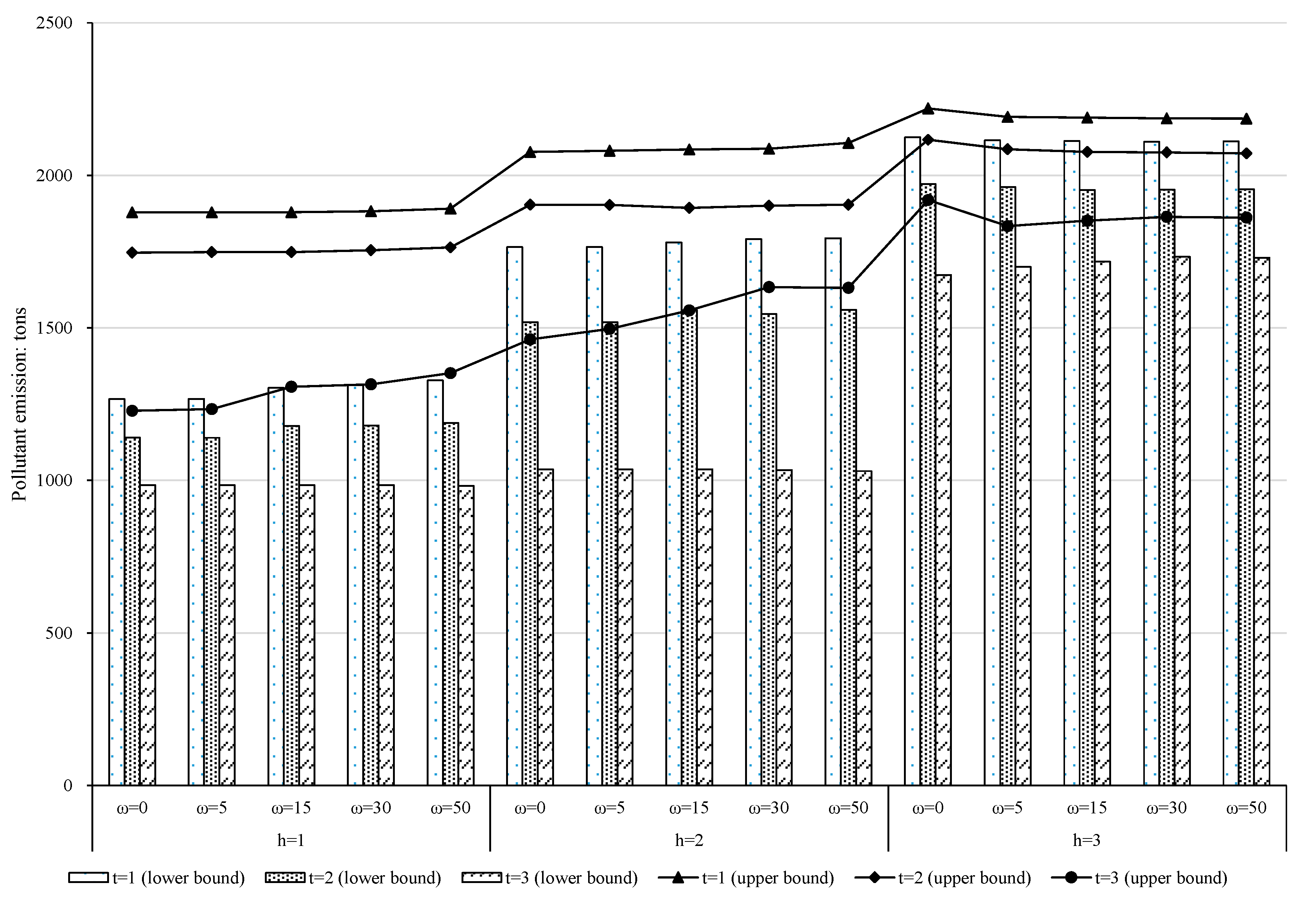
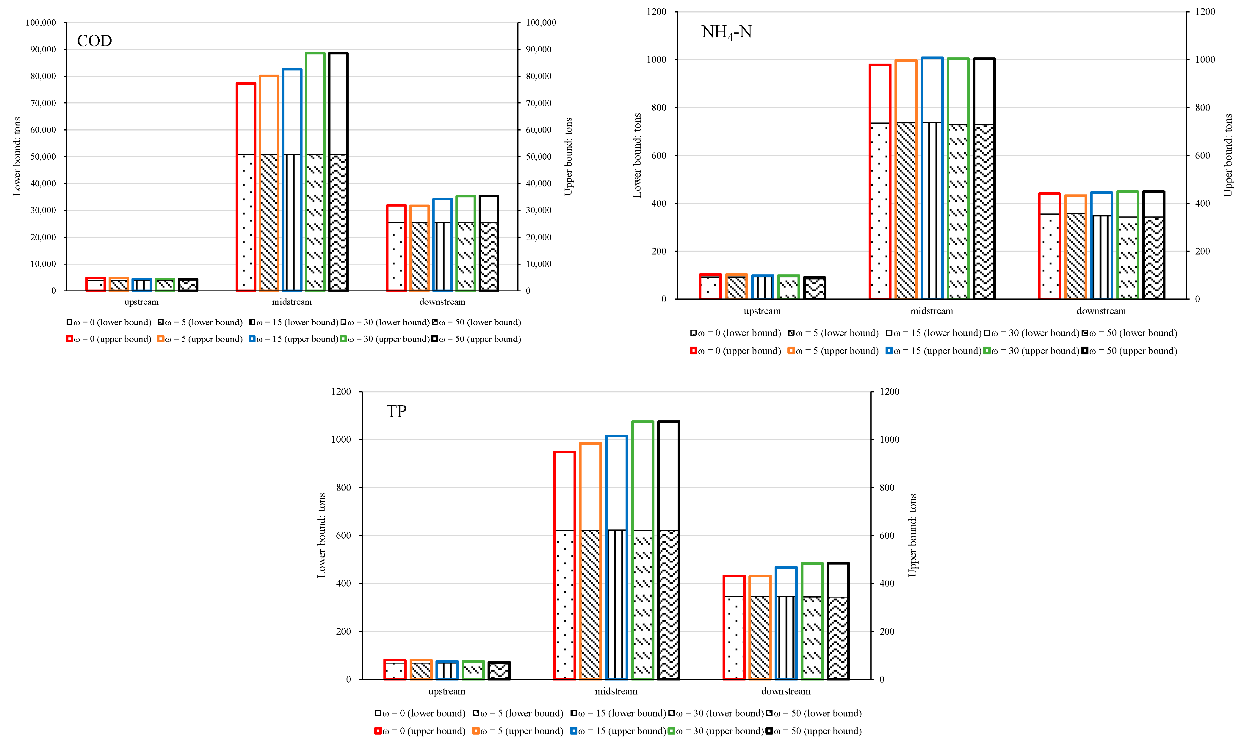
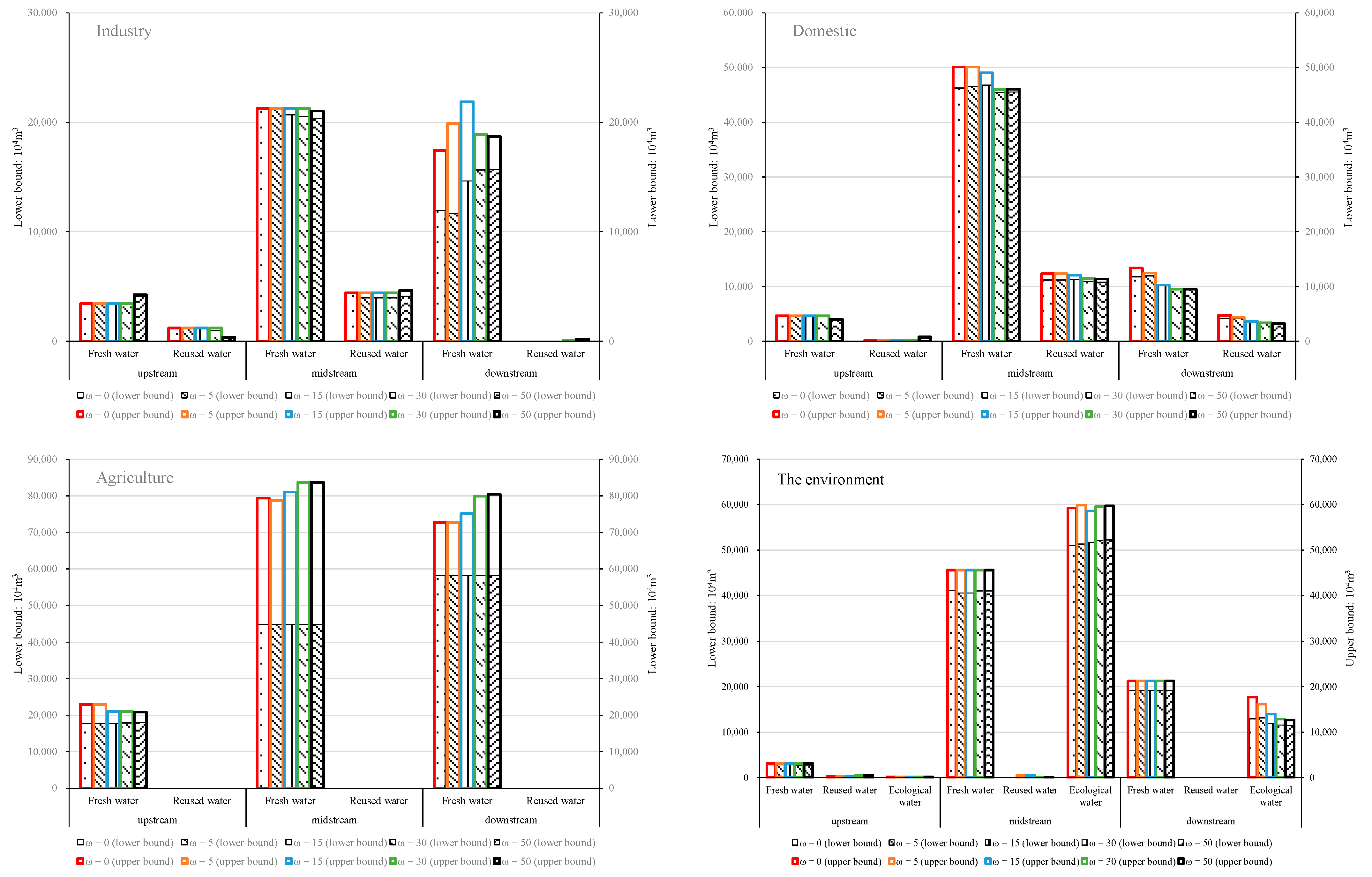
3. Results and Discussions
3.1. System Benefits and Risks
3.2. Water Resource Allocation and Pollutant Emissions
3.3. Policy Scenarios Analysis
4. Conclusions
Author Contributions
Funding
Conflicts of Interest
References
- Edda, K.; Thomas, K.; Olaf, K.; Elisabeth, K.; Jörg, S.; Gunda, R.; Georg, T.; Dietrich, B.; Peter, K. Integrated Water Resources Management under different hydrological, climatic and socio-economic conditions. Environ. Earth Sci. 2012, 65, 1363–1366. [Google Scholar]
- Ran, L.; Lu, X.X. Redressing China’s strategy of water resource exploitation. Environ. Manag. 2013, 51, 503–510. [Google Scholar] [CrossRef] [PubMed]
- Liang, X.D.; Zhang, R.Y.; Liu, C.M.; Liu, H.Y. Quantitative Measurement of the Sustainable Water Resource Development System in China Inspired by Dissipative Structure Theory. Sustainability 2018, 10, 3996. [Google Scholar] [CrossRef] [Green Version]
- Liu, L.; Ma, J.; Hao, X.; Li, Q. Limitations of Water Resources to Crop Water Requirement in the Irrigation Districts along the Lower Reach of the Yellow River in China. Sustainability 2019, 11, 4680. [Google Scholar] [CrossRef] [Green Version]
- Zhang, H.; Lu, P.; Zhang, D.; Kou, S.; Mao, Y. Watershed-scale assessment of surface water-related risks from shale gas development in mountainous areas, China. J. Environ. Manag. 2020, 279, 111589. [Google Scholar] [CrossRef]
- Kavan, Š.; Kročová, Š.; Pokorný, J. Assessment of the Readiness and Resilience of Czech Society against Water-Related Crises. Hydrology 2021, 8, 14. [Google Scholar] [CrossRef]
- Xu, J.P.; Lv, C.L.; Yao, L.M.; Hou, S.H. Intergenerational equity based optimal water allocation for sustainable development: A case study on the upper reaches of Minjiang River, China. J. Hydrol. 2019, 568, 835–848. [Google Scholar] [CrossRef]
- Wei, F.; Zhang, X.; Xu, J.; Bing, J.; Pan, G. Simulation of water resource allocation for sustainable urban development: An integrated optimization approach. J. Clean. Prod. 2020, 273, 122537. [Google Scholar] [CrossRef]
- Fu, M.R.; Guo, B.; Wang, W.J.; Wang, J.; Zhao, L.H.; Wang, J.L. Comprehensive Assessment of Water Footprints and Water Scarcity Pressure for Main Crops in Shandong Province, China. Sustainability 2019, 11, 1–18. [Google Scholar] [CrossRef] [Green Version]
- Long, K.S.; Pijanowski, B.C. Is there a relationship between water scarcity and water use efficiency in China? A national decadal assessment across spatial scales. Land Use Policy 2017, 69, 502–511. [Google Scholar] [CrossRef]
- Tian, J.; Guo, S.; Liu, D.; Pan, Z.; Hong, X. A Fair Approach for Multi-Objective Water Resources Allocation. Water Resour. Manag. 2019, 33, 3633–3653. [Google Scholar] [CrossRef]
- Qin, J.; Fu, X.; Peng, S.; Huang, S. An Integrated Decision Support Framework for Incorporating Fairness and Stability Concerns into River Water Allocation. Water Resour. Manag. 2020, 34, 211–230. [Google Scholar] [CrossRef]
- Read, L.; Madani, K.; Inanloo, B. Optimality versus stability in water resource allocation. J. Environ. Manag. 2014, 133, 343–354. [Google Scholar] [CrossRef] [PubMed]
- Wang, Z.Q.; Yang, J.; Deng, X.Z.; Lan, X. Optimal Water Resources Allocation under the Constraint of Land Use in the Heihe River Basin of China. Sustainability 2015, 7, 1558–1575. [Google Scholar] [CrossRef] [Green Version]
- Wang, J.F.; Cheng, G.D.; Gao, Y.G.; Long, A.H.; Xu, Z.M.; Xin, L.; Chen, H.; Barker, T. Optimal Water Resource Allocation in Arid and Semi-Arid Areas. Water Resour. Manag. 2008, 22, 239–258. [Google Scholar] [CrossRef]
- Kročová, Š.; Kavan, Š. Cooperation in the Czech Republic border area on water management sustainability. Land Use Policy 2019, 86, 351–356. [Google Scholar] [CrossRef]
- Choi, I.-C.; Shin, H.-J.; Nguyen, T.T.; Tenhunen, J. Water Policy Reforms in South Korea: A Historical Review and Ongoing Challenges for Sustainable Water Governance and Management. Water 2017, 9, 717. [Google Scholar] [CrossRef] [Green Version]
- Hobbs, B.F. Bayesian Methods for Analysing Climate Change and Water Resource Uncertainties. J. Environ. Manag. 1997, 49, 53–72. [Google Scholar] [CrossRef] [Green Version]
- Wilby, R.L. Uncertainty in water resource model parameters used for climate change impact assessment. Hydrol. Process. 2010, 19, 3201–3219. [Google Scholar] [CrossRef]
- Hart, O.E.; Halden, R.U. On the need to integrate uncertainty into U.S. water resource planning. Sci. Total Environ. 2019, 691, 1262–1270. [Google Scholar] [CrossRef] [PubMed]
- Yao, L.; Xu, Z.; Chen, X. Sustainable Water Allocation Strategies under Various Climate Scenarios: A Case Study in China. J. Hydrol. 2019, 574, 529–543. [Google Scholar] [CrossRef]
- Karmakar, S.; Mujumdar, P.P. An inexact optimization approach for river water-quality management. J. Environ. Manag. 2006, 81, 233–248. [Google Scholar] [CrossRef]
- Li, Y.P.; Huang, G.H.; Nie, S.L. An interval-parameters multi-stage stochastic programming model for water resources management under uncertainty. Adv. Water. Resour. 2006, 29, 776–789. [Google Scholar] [CrossRef]
- Qin, X.; Huang, G.; Chen, B.; Zhang, B. An interval-parameter waste-load-allocation model for river water quality management under uncertainty. Environ. Manag. 2009, 43, 999. [Google Scholar] [CrossRef] [PubMed]
- Xie, Y.L.; Li, Y.P.; Huang, G.H.; Li, Y.F.; Chen, L.R. An inexact chance-constrained programming model for water quality management in Binhai New Area of Tianjin, China. Sci. Total Environ. 2011, 409, 1757–1773. [Google Scholar] [CrossRef] [PubMed]
- Li, J.; Qiao, Y.; Lei, X.; Kang, A.; Wang, M.; Liao, W.; Wang, H.; Ma, Y. A two-stage water allocation strategy for developing regional economic-environment sustainability. J. Environ. Manag. 2019, 244, 189–198. [Google Scholar] [CrossRef]
- Huang, G.H.; Loucks, D.P. An inexact two stage stochastic programming model for water resources management under uncertainty. Civ. Eng. Environ. Syst. 2000, 17, 95–118. [Google Scholar] [CrossRef]
- Maqsood, I.; Huang, G.H.; Huang, Y.F.; Chen, B. ITOM: An interval parameter two-stage optimization model for stochastic planning of water resources systems. Stoch. Environ. Res. Risk Assess. 2005, 19, 125–133. [Google Scholar] [CrossRef]
- Xu, Y.; Huang, G.H.; Qin, X.S. Inexact two-stage stochastic robust optimization model for water resources management under uncertainty. Environ. Eng. Sci. 2009, 26, 1765–1776. [Google Scholar] [CrossRef]
- Li, W.; Li, Y.P.; Li, C.H.; Huang, G.H. An inexact two-stage water management model for planning agricultural irrigation under uncertainty. Agric. Water Manag. 2010, 97, 1905–1914. [Google Scholar] [CrossRef]
- Wang, S.; Huang, G.H. Interactive two-stage stochastic fuzzy programming for water resources management. J. Environ. Manag. 2011, 92, 1986–1995. [Google Scholar] [CrossRef]
- Xie, Y.L.; Huang, G.H.; Li, W.; Li, J.B.; Li, Y.F. An inexact two-stage stochastic programming model for water resources management in Nansihu Lake Basin, China. J. Environ. Manag. 2013, 127, 188–205. [Google Scholar] [CrossRef] [PubMed]
- Sarband, E.M.; Araghinejad, S.; Attari, J. Developing an Interactive Spatial Multi-Attribute Decision Support System for Assessing Water Resources Allocation Scenarios. Water Resour. Manag. 2020, 34, 447–462. [Google Scholar] [CrossRef]
- Xie, Y.L.; Huang, G.H. Development of an inexact two-stage stochastic model with downside risk control for water quality management and decision analysis under uncertainty. Stoch. Environ. Res. Risk Assess. 2014, 28, 1555–1575. [Google Scholar] [CrossRef]
- Harlow, W.V. Asset Allocation in a Downside-Risk Framework. Financ. Anal. J. 1991, 47, 28–40. [Google Scholar] [CrossRef]
- Park, J.; Park, S.; Yun, C.; Kim, Y. Integrated model for financial risk management in refinery planning. Ind. Eng. Chem. Res. 2009, 49, 129. [Google Scholar] [CrossRef]
- Finger, R. Expanding risk consideration in integrated models-the role of downside risk aversion in irrigation decisions. Environ. Model. Softw. 2013, 43, 169–172. [Google Scholar] [CrossRef]
- Lee, S.Y.; Lee, I.B.; Han, J. Design under uncertainty of carbon capture, utilization and storage infrastructure considering profit, environmental impact, and risk preference. Appl. Energy 2019, 238, 34–44. [Google Scholar] [CrossRef]
- Xiao, J.; Wang, L.Q.; Deng, L.; Jin, Z.D. Characteristics, sources, water quality and health risk assessment of trace elements in river water and well water in the Chinese Loess Plateau. Sci. Total Environ. 2018, 650, 2004–2012. [Google Scholar] [CrossRef]
- Yang, G.D.; Meng, Q.Z.; Sun, L.H. Present situation of water environment and sustainable development countermeasures for economy and environment in Fenhe River Valley. China Popul. Resour. Environ. 2001, S1, 65–67. [Google Scholar]
- Kang, N. Analysis on the Spatiotemporal Features of Precipitation during 1971–2011 in the Fenhe River Basin. Master’s Thesis, Shanxi University, Taiyuan, China, 2015. [Google Scholar]
- Yang, Y.G.; Qin, Z.D.; Xue, Z.J. Study on Hydrology and Water Resources in the Fen River Basin; Science Press: Beijing, China, 2016; pp. 53–55. [Google Scholar]











| Water Resources | Periods | Regions | ||
|---|---|---|---|---|
| Upstream | Midstream | Downstream | ||
| Surface water | t = 1 | [22,640, 28,300] | [59,200, 74,000] | [27,840, 34,800] |
| t = 2 | [22,880, 28,600] | [61,520, 76,900] | [27,840, 34,800] | |
| t = 3 | [23,120, 28,900] | [63,840, 79,800] | [27,840, 34,800] | |
| Groundwater | t = 1 | [2560, 3200] | [49,600, 62,000] | [24,600, 30,750] |
| t = 2 | [2560, 3200] | [47,120, 58,900] | [22,880, 28,600] | |
| t = 3 | [2560, 3200] | [44,640, 55,800] | [21,160, 26,450] | |
| Transferred water | t = 1 | [1800, 2250] | [76,800, 96,000] | [54,840, 68,550] |
| t = 2 | [2400, 3000] | [86,400, 108,000] | [59,920, 74,900] | |
| t = 3 | [3000, 3750] | [96,000, 120,000] | [65,000, 81,250] | |
| Periods | Pollutants | Regions | Hydrological Scenarios | ||
|---|---|---|---|---|---|
| h = 1 | h = 2 | h = 3 | |||
| t = 1 | r = 1 | upstream | 1297.46 | 1996.10 | 3629.27 |
| midstream | 13,888.68 | 21,367.20 | 38,849.45 | ||
| downstream | 6375.08 | 9807.82 | 17,832.40 | ||
| r = 2 | upstream | 90.62 | 139.42 | 253.49 | |
| midstream | 345.84 | 532.06 | 967.38 | ||
| downstream | 65.81 | 101.24 | 184.08 | ||
| r = 3 | upstream | 32.55 | 50.07 | 91.04 | |
| midstream | 210.06 | 323.18 | 587.59 | ||
| downstream | 57.26 | 88.09 | 160.16 | ||
| t = 2 | r = 1 | upstream | 1297.46 | 1996.10 | 3629.27 |
| midstream | 13,390.74 | 20,601.13 | 37,456.61 | ||
| downstream | 4781.31 | 7355.87 | 13,374.30 | ||
| r = 2 | upstream | 90.62 | 139.42 | 253.49 | |
| midstream | 343.55 | 528.53 | 960.97 | ||
| downstream | 49.36 | 75.93 | 138.06 | ||
| r = 3 | upstream | 32.55 | 50.07 | 91.04 | |
| midstream | 207.15 | 318.70 | 579.45 | ||
| downstream | 42.94 | 66.07 | 120.12 | ||
| t = 3 | r = 1 | upstream | 1297.46 | 1996.10 | 3629.27 |
| midstream | 10,805.19 | 16,623.37 | 29,110.03 | ||
| downstream | 4781.31 | 7355.87 | 9807.82 | ||
| r = 2 | upstream | 90.62 | 139.42 | 253.49 | |
| midstream | 303.03 | 466.19 | 842.50 | ||
| downstream | 49.36 | 75.93 | 101.24 | ||
| r = 3 | upstream | 32.55 | 50.07 | 91.04 | |
| midstream | 176.33 | 271.28 | 486.72 | ||
| downstream | 42.94 | 66.07 | 88.09 | ||
| Periods | Sectors | Regions | Risk Control Levels | ||||
|---|---|---|---|---|---|---|---|
| ω = 0 | ω = 5 | ω = 15 | ω = 30 | ω = 50 | |||
| t = 1 | Industry | upstream | 0 | 0 | 0 | 0 | 0 |
| midstream | 0 | 0 | 0 | 0 | 0 | ||
| downstream | [0, 0.007] | 0 | 0 | 0 | 0 | ||
| Domestic | upstream | 0 | 0 | 0 | 0 | 0 | |
| midstream | [0.032, 0.045] | [0.031, 0.045] | [0.031, 0.044] | [0.031, 0.045] | [0.031, 0.045] | ||
| downstream | 0 | 0 | 0 | 0 | 0 | ||
| Agriculture | upstream | [0.001, 0.003] | [0.001, 0.002] | [0.001, 0.002] | [0.001, 0.002] | [0.001, 0.002] | |
| midstream | [0.005, 0.027] | [0.005, 0.027] | [0.005, 0.025] | [0.005, 0.025] | [0.005, 0.024] | ||
| downstream | [0.019, 0.046] | [0.018, 0.045] | [0.018, 0.045] | [0.017, 0.045] | [0.015, 0.044] | ||
| t = 2 | Industry | upstream | 0 | 0 | 0 | 0 | 0 |
| midstream | 0 | 0 | 0 | 0 | 0 | ||
| downstream | [0, 0.157] | [0, 0.124] | [0, 0.124] | [0, 0.124] | [0, 0.124] | ||
| Domestic | upstream | 0 | 0 | 0 | 0 | 0 | |
| midstream | [0.019, 0.049] | [0.016, 0.048] | [0.016, 0.048] | [0.015, 0.052] | [0.015, 0.052] | ||
| downstream | 0 | 0 | 0 | 0 | 0 | ||
| Agriculture | upstream | [0.001, 0.004] | [0.001, 0.004] | [0.001, 0.004] | [0.001, 0.004] | [0.001, 0.004] | |
| midstream | [0.006, 0.037] | [0.006, 0.038] | [0.006, 0.034] | [0.006, 0.034] | [0.006, 0.033] | ||
| downstream | [0.03, 0.059] | [0.029, 0.059] | [0.029, 0.059] | [0.028, 0.058] | [0.026, 0.058] | ||
| t = 3 | Industry | upstream | [0, 0.006] | [0,0.005] | [0,0.004] | [0,0.004] | [0,0.006] |
| midstream | [0, 0.012] | [0,0.012] | [0,0.012] | [0,0.012] | [0,0.012] | ||
| downstream | [0.253, 0.543] | [0.202, 0.543] | [0.202, 0.474] | [0.200, 0.456] | [0.199, 0.456] | ||
| Domestic | upstream | 0 | 0 | 0 | 0 | 0 | |
| midstream | [0.013, 0.371] | [0.006, 0.345] | [0.006, 0.337] | [0.004, 0.352] | [0.004, 0.356] | ||
| downstream | [0.128, 0.482] | [0.125, 0.461] | [0.119, 0.535] | [0.115, 0.580] | [0.115, 0.582] | ||
| Agriculture | upstream | [0.002, 0.005] | [0.002, 0.005] | [0.002, 0.005] | [0.001, 0.005] | [0.001, 0.005] | |
| midstream | [0.034, 0.079] | [0.027, 0.078] | [0.02, 0.078] | [0.018, 0.078] | [0.016, 0.078] | ||
| downstream | [0.041, 0.074] | [0.040, 0.074] | [0.038, 0.073] | [0.036, 0.072] | [0.035, 0.072] | ||
| Periods | Policy Scenarios | |||
|---|---|---|---|---|
| S1 | S2 | S3 | ||
| Benefits | t = 1 | [5.89, 6.68] | [5.91, 6.69] | [5.94, 6.69] |
| t = 2 | [8.23, 10.46] | [8.25, 10.51] | [8.61, 10.46] | |
| t = 3 | [10.22, 14.67] | [10.36, 14.77] | [11.97, 15.39] | |
| Risks | t = 1 | [0.09, 0.18] | [0.08, 0.16] | [0.08, 0.13] |
| t = 2 | [0.08, 0.39] | [0.05, 0.37] | [0.06, 0.16] | |
| t = 3 | [0.54, 2.07] | [0.51, 1.94] | [0.11, 0.33] | |
Publisher’s Note: MDPI stays neutral with regard to jurisdictional claims in published maps and institutional affiliations. |
© 2021 by the authors. Licensee MDPI, Basel, Switzerland. This article is an open access article distributed under the terms and conditions of the Creative Commons Attribution (CC BY) license (https://creativecommons.org/licenses/by/4.0/).
Share and Cite
Meng, C.; Zhou, S.; Li, W. An Optimization Model for Water Management under the Dual Constraints of Water Pollution and Water Scarcity in the Fenhe River Basin, North China. Sustainability 2021, 13, 10835. https://doi.org/10.3390/su131910835
Meng C, Zhou S, Li W. An Optimization Model for Water Management under the Dual Constraints of Water Pollution and Water Scarcity in the Fenhe River Basin, North China. Sustainability. 2021; 13(19):10835. https://doi.org/10.3390/su131910835
Chicago/Turabian StyleMeng, Chong, Siyang Zhou, and Wei Li. 2021. "An Optimization Model for Water Management under the Dual Constraints of Water Pollution and Water Scarcity in the Fenhe River Basin, North China" Sustainability 13, no. 19: 10835. https://doi.org/10.3390/su131910835
APA StyleMeng, C., Zhou, S., & Li, W. (2021). An Optimization Model for Water Management under the Dual Constraints of Water Pollution and Water Scarcity in the Fenhe River Basin, North China. Sustainability, 13(19), 10835. https://doi.org/10.3390/su131910835
