Next Article in Journal
A Challenge-Based Learning Experience in Industrial Engineering in the Framework of Education 4.0
Next Article in Special Issue
Spatial Patterns and Scales of Collembola Taxonomic and Functional Diversity in Urban Parks
Previous Article in Journal
Power Quality Disturbances Recognition Using Modified S-Transform Based on Optimally Concentrated Window with Integration of Renewable Energy
Previous Article in Special Issue
Removal and Survival of Fecal Indicators in a Constructed Wetland after UASB Pre-Treatment
 
 
Font Type:
Arial Georgia Verdana
Font Size:
Aa Aa Aa
Line Spacing:
Column Width:
Background:
Article

Microaerobic Digestion of Low-Biodegradable Sewage Sludge: Effect of Air Dosing in Batch Reactors

1
Department of Civil, Environmental, Land, Building Engineering and Chemistry, Polytechnic University of Bari, Via E. Orabona 4, 70125 Bari, Italy
2
Department of Civil, Architectural and Environmental Engineering, University of Naples Federico II, Via Claudio 21, 80125 Naples, Italy
3
Department of Agricultural and Environmental Sciences (Di.S.A.A.T), University of Bari, Via Amendola 165/A, 70126 Bari, Italy
*
Authors to whom correspondence should be addressed.
Sustainability 2021, 13(17), 9869; https://doi.org/10.3390/su13179869
Submission received: 12 August 2021 / Revised: 23 August 2021 / Accepted: 31 August 2021 / Published: 2 September 2021

Abstract

:
The adoption of prolonged solid retention times during the biological treatment of urban wastewaters is a well-known strategy to reduce sewage sludge production. However, it also results in the production of a biological sludge with low percentages of biodegradable organic matter, also characterized by high humification degrees, which may hamper the anaerobic digestion treatment aimed at sludge stabilization. To accelerate the hydrolytic stage, the application of microaerobic conditions during the anaerobic digestion of low-biodegradable sewage sludge was investigated in this study. In particular, six bio-methanation tests of a real sewage sludge were carried out, introducing air in the bioreactors with doses ranging between 0 and 16.83 L air/kg VSin d, in order to evaluate the air dosage that optimizes the biomethane production and organic matter degradation. Notably, the lower air loading rates investigated in this study, such as 0.68 and 1.37 L air/kg VSin d, led to an increase in methane production of up to 19%, due to a higher degradation of total lipids and proteins. In addition, these microaerobic conditions also resulted in a decrease in the sludge humification degree and in lower volatile fatty acid accumulation.

1. Introduction

Sewage sludge (SS) is largely produced worldwide, and is the residue of the biological, chemical, and physical treatment of wastewater. In the last ten years, SS generation has been steadily increasing due to population growth, tightening of regulatory discharge standards for wastewater, and upgrading of wastewater treatment plants (WWTPs) [1]. In municipal WWTPs, SS typically undergoes a series of treatments aimed at reducing the content of water and highly putrescible organic matter (OM), resulting in a stable and semi-solid residue easy to transport. The transportation and disposal of SS strongly impact the operational costs of a WWTP, and may amount to >40% of the total annual operating costs of the plant [2,3]. Therefore, solutions limiting sludge production are required in order to reduce the costs of SS management.
WWTP operators often apply a long (>20 days) solid retention time (SRT) to the conventional activated sludge (CAS) system, with the aim of minimizing the amount of excess sludge transferred to the sludge streamline. This strategy results in the production of SS with a low percentage of biodegradable OM and a low volatile solids (VS) to total solids (TS) ratio (VS/TS). In addition, prolonged SRT in the aeration tank may lead to the accumulation of recalcitrant OM with a high humification degree (HD) [4]. Humic substances (HS) are an emerging class of natural organic compounds with genesis, structure, and metabolic pathways that are often unknown [5]. The presence of recalcitrant compounds together with the reduced availability of readily biodegradable OM negatively affect biogas production when anaerobic digestion (AD) is present in the sludge streamline [6].
AD is the traditional method used in WWTPs to reduce the biodegradable fraction of SS (stabilization) and to produce energy through the partial conversion of OM into methane (CH4). As a result, AD has a net positive energy balance and can partially cover the energy requirement for WWTP operation. The AD of SS proceeds through the hydrolysis of bacterial flocs in secondary sludge and other complex OM, and through fermentative processes, producing volatile fatty acids (VFA) and hydrogen gas (H2) which are finally converted to CH4 by archaeal and bacterial consortia [7]. Typically, the hydrolytic stage is the limiting step for AD when SS is used as a substrate, and can slow down methane production [1]. As a result, many studies have focused on pretreatment methods aimed at enhancing sludge biodegradability with the objective to improve the conversion of OM contained in the sludge to methane. Pretreatment methods adopted for SS include thermal hydrolysis [8], mechanical disintegration [9], cavitation [10], sonication [11], alkaline treatment [10], ozonation [12], and biological hydrolysis [13]. However, the application of these pretreatments results in higher operational costs due to the high demand for chemicals and electrical energy. Therefore, less expensive and energy-consuming methods should be considered to improve the hydrolysis of SS and to enhance methane production.
Microaeration is often performed during AD for biogas desulfurization and ammonia removal with the aim to purify the biogas for further use (e.g., biomethane production), avoid corrosion of metallic equipment due to hydrogen sulfide (H2S), and prevent inhibition of methanogenesis [14,15]. Air is dosed in a controlled manner directly in the headspace of digesters [16], in the sludge recirculation stream [14,16], or in separate compartments [17], with the aim of stimulating the partial oxidation of the H2S produced during the process to elemental sulfur (S°) and/or to strip ammonia. In addition, several authors have indicated microaeration as a potential solution to improve SS biodegradation by stimulating the hydrolytic activity of aerobic bacteria during the digestion process [18,19,20]. Jenicek et al. [18] observed a higher sludge degradation in two full-scale digesters operated by dosing air in the recirculation stream compared to that before air dosing. The ratio of volatile to total suspended solids (VSS/TSS) of the SS digestate produced under microaerobic conditions was observed to be 2–6% lower than that of the SS digestate obtained under conventional anaerobic conditions. At a high H2S levels in biogas (>5000 ppm), the specific methane production (SMP) under microaerobic conditions was 1.5-fold higher than that observed before air dosing due to disinhibition of methanogens following H2S oxidation. In another study, Jenicek et al. [20] reported that microaeration could improve both the degradation of the soluble chemical oxygen demand (COD) and the dewaterability of the sludge liquor, while reducing the foaming potential and foam stability.
Although positive effects of microaeration have been brought to light, it is still unclear at what extent microaeration can be coupled to mesophilic AD without inhibiting the activity of fermentative bacteria and methanogens. Similarly, the effect of air dose on VFA accumulation and degradation of carbohydrates, proteins, lipids and recalcitrant organics such as HS needs to be further elucidated. In the present work, bio-methanation tests (BMTs) were performed at laboratory scale to investigate the effects of microaeration on biomethane productivity and the sludge degradability of municipal SS with a low-biodegradable OM.

2. Materials and Methods

2.1. Experimental Design

The SS used in this study was collected twice from the pre-thickening unit of a municipal WWTP located in Nola (Italy). The plant was based on a CAS system operated at long SRT (>20 days). The analytical profile of the raw SS used for the experiments is shown in Table 1. BMTs were performed in 500 mL glass bottles (Schott, Mainz, Germany) with a working volume of 250 mL. Each bioreactor was sealed by screw caps with two sampling ports for the withdrawal of biogas and sludge liquor, and was placed in a thermostatic bath maintained at 35 (±1) °C by heating wires connected to a ITC-308 digital temperature controller (Inkbird, Shenzhen, China). Each reactor was manually shaken before biogas sampling to provide mixing conditions.
BMTs were conducted in triplicate by dosing different air volumes (0–200 mL) and air loading rates (ALRs) (0–16.83 L air/kg VSin d) (Table 2) for 30 days in order to investigate their effect on the AD process. The air was injected in the liquid phase immediately after biogas sampling with a frequency of 3–5 times/week. A graduated plastic syringe was connected to the liquid withdrawal port and the air was transferred to the bottom of the reactor to assure proper contact with the sludge. During the air injection, the bottle was left connected to the biogas sampling system in order to avoid overpressure in the headspace. Gas samples were collected 3–5 times/week for methane quantification. Liquid samples (8–10 mL) were withdrawn once a week to measure the concentrations of TS, VS, and VFA. Proteins, carbohydrates, and lipids, as well as HS and HD, were measured only in the feedstock and final digestate.

2.2. Analytical Methods

2.2.1. Gas-Phase Analyses

The biogas produced during the BMTs was collected by bubbling through a glass column filled with 0.5 M HCl to avoid CO2 trapping, and was measured with the liquid displacement method. The biogas composition (CH4 and CO2) was analyzed using a Star 3400 gas chromatograph (Varian, Palo Alto, CA, USA) equipped with a ShinCarbon ST 80/100 (Restek, Bellefonte, PE, USA) column and a thermal conductivity detector. Argon was used as the eluent gas.

2.2.2. Liquid-Phase Analyses

The VFA concentration was determined by high-performance liquid chromatography (HPLC) using a UVD 340U HPLC system (Dionex, Sunnyvale, CA, USA) equipped with a diode array detector and a Metrosep organic acid column 250/7.8 (Metrohm, Herisau, Switzerland). The eluent was prepared using 5 mM H2SO4 in ultrapure water. The proteins and carbohydrates were determined by Lowry and Dubois colorimetric assays, as described by Pontoni et al. [21]. The total lipids were determined by chloroform solid liquid extraction and subsequent gravimetric determination, as described by Pérez-Palacios et al. [22]. The TS and VS concentrations were analyzed according to Standard Methods [23].

2.2.3. Solid-Phase Analyses

Centrifuged sludge samples were subjected to the HS extraction procedure reported by De Nobili et al. [24]. The total extractable carbon (TEC), humic acid (HA), fulvic acid (FA), and non-humified (NH) fractions were analyzed by determination of the total organic carbon (TOC) using the Walkley−Black method, as reported by Angelova et al. [25]. The HS concentration was evaluated as the sum of the HA and FA concentrations. HD was calculated according to the following equation:
HD = [ HS ] [ TEC ]
with [HS] and [TEC] expressed as mg/g VS.

3. Results and Discussion

3.1. Effect of Different Air Doses on Methane Production

The SMP profile of each bioreactor is shown in Figure 1. In the absence of aeration, SMP reached 156 L CH4/kg VS at the end of the test. The production was significantly lower at ALRs of 4.21, 8.41, and 16.83 L air/kg VSin d (SMP = 128, 100, and 64 L CH4/kg VS, respectively). In contrast, ALRs of 0.68 and 1.37 L air/kg VSin d (corresponding to air doses of 5 and 10 mL, respectively) provoked a significant increase in methane productivity compared to the completely anaerobic conditions, as SMP reached 186 L CH4/kg VS with an ALR of 1.37 L air/kg VSin d and 180 L CH4/kg VS with an ALR of 0.68 L air/kg VSin d. Based on these results, the highest ALRs applied (4.21–16.83 L air/kg VSin d) were inhibitory for the digestion process and reduced the overall methane production. However, except for the highest ALR of 16.83 L air/kg VSin, no significant difference was observed during the initial 5 days of the test.
From day 8, SMP cumulative curves started to diverge sensibly, indicating that some of the metabolic pathways involved in the anaerobic degradation were inhibited by the higher doses of air injected into the reactors. The observed trend suggests the existence of an oxygen concentration threshold in the reactors above which the overall performance is significantly lower. Once the threshold level was reached, methane production decreased with the increase in the amount of air (and hence of oxygen) added to the system. In other words, above this threshold, the more air dosed to the system, the less methane produced. The inhibitory threshold was reached at ALRs exceeding 1.37 L air/kg VSin d (Figure 2), which was the dose corresponding to the highest SMP observed. In contrast, the presence of controlled oxygen amounts at low ALRs (0.68 and 1.37 L air/kg VSin d) increased methane production. No significant difference was observed between the SMP values obtained at these ALRs (Figure 1).
The observed dependence of the methane yield from the microaeration conditions is related, according to the literature, to the microbial diversity developing in the microaerobic reactor [26]. The presence of even a trace oxygen concentration allows for the co-presence of facultative aerobic consortia, which can contribute to the overall OM degradation, especially during the hydrolysis phase [27,28]. Conversely, operating at too high oxygen levels inhibits the activity of non-aerotolerant anaerobic consortia, while favoring the aerobic degradation of OM.
The obtained results could be easily explained by considering the competition of the aerobic degradation pathways occurring simultaneously with AD in the presence of oxygen. Reasonably, at low air doses, no competition with aerobic pathways occurred. Nevertheless, oxygen was clearly involved in some metabolic pathways, which, hindered in complete anaerobic conditions, allowed for the observed higher conversion yields.

3.2. Effect of Microaeration on Biogas Composition

Different aeration conditions not only influenced the biogas yields, but also its relative composition. Figure 2 compares the specific cumulative production of CO2 and CH4, while the profiles of the average CO2 content (%) of biogas at different air doses are illustrated in Figure 3. The specific CO2 productions (SCP) observed at ALRs up to 1.37 L air/kg VSin d were similar, being in the range of 86–102 L CO2/kg VSin. It should be considered that CO2 in the headspace is in equilibrium with carbonate (H2CO3*) alkalinity in the digested sludge, and its concentration also depends on pH and temperature [16]. The carbonate alkalinity of the digestate from the bioreactors with ALRs up to 1.37 L air/kg VSin d was around 2 g/L as CaCO3, and the operational pH and temperature remained stable during the process at 7.9 (±0.2) and 35 (±1) °C, respectively. Therefore, SCP was not expected to vary significantly within the low range of ALR (0–1.37 L air/kg VSin d), as the SMP values were quite similar. SCP in the high range of air doses was lower, as AD was inhibited. Similar to the SMP values, SCP showed a decreasing trend when increasing the ALR from 4.21 to 16.83 L air/kg VSin d.
The average values of the CO2 content in the biogas ranged between 27% and 36% (Figure 3). The CO2 content was similar at ALRs of 0 (no aeration) and 0.68 L air/kg VSin d, i.e. around 35%, being similar to the typical values obtained in the biogas from AD of SS [1]. This indicates that microaeration at the lowest air doses did not considerably affect the biogas composition.
Interestingly, a lower CO2 content (29%) was observed at an ALR of 1.37 L air/kg VSin d in concomitance with the highest SMP obtained. This suggests that under microaerobic conditions methane production might be stimulated by hydrogenotrophic methanogenesis converting CO2 and H2 into CH4, which would explain the higher CH4/CO2 ratio observed at an ALR of 1.37 L air/kg VSin d compared to lower doses (Table 2). It should be highlighted that hydrogenotrophic methanogens were reported to possess a higher tolerance to oxygen compared to acetoclastic methanogens [26]. The surplus of methane observed at an ALR of 1.37 L air/kg VSin d might be partly attributed to a portion of CO2 converted to CH4, in addition to the enhancement of the hydrolysis [29]. At ALR of 4.21 L air/kg VSin d, hydrogenotrophic methanogenesis was likely the dominant pathway, resulting in an even higher CH4/CO2 ratio, although a significant inhibition of the overall digestion process was observed. Increasing the ALR to 8.41 and 16.83 L air/kg VSin d progressively increased the CO2 content in the biogas due the aerobic degradation of OM.

3.3. Impact of Different Air Doses on VFA Accumulation

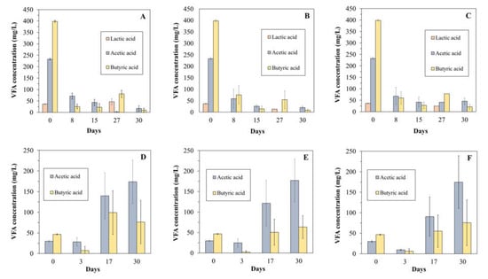
The development of different metabolic pathways as a function of ALR was further confirmed when considering the VFA concentration trends shown in Figure 4. Although the sludge collected to perform the tests at a low or null ALR (Figure 4A–C) was richer in the VFA at the beginning of the test, no accumulation of acids was observed during the evolving of the methane production. The initial high concentration of VFA was probably due to the acidification occurring inside the thickener of the full-scale WWTP. The thickener was indeed discontinuously operated, and sludge fermentation likely started before transfer to the digesters. Conversely, the sludge tested at high ALRs showed low (<50 mg/L) initial VFA levels (Figure 4D–F), indicating that it was presumably sampled at a time closer to the loading of the thickener, and no acidification had occurred yet. Nevertheless, although anaerobic COD degradation already started prior to BMT tests at low ALR, the obtained methane production was higher compared to the high ALR tests, confirming the stimulatory impact of low air doses on the BMP of SS.
Figure 4D–F shows that the accumulation of acetic and butyric acid started from day 17, reaching a concentration of around 175 mg/L in all reactors. The observed VFA accumulation at high ALRs highlighted some unbalances due the oxygen excess in the AD process, which hindered and slowed down the complete conversion of VFA to methane. Indeed, no accumulation was observed at low ALRs, in agreement with the higher methane yields obtained (Figure 2). The VFA accumulation observed at high ALRs was likely the result of a dynamic equilibrium in which a fraction of the accumulated VFA was degraded by aerobic facultative consortia [30], rather than being converted to methane or accumulated into the reactor at higher concentrations. As a result, the concentrations of acetic and butyric acids were well below the inhibitory levels of these VFA for AD (>2.5 g/L) [31]. This indicates that microaeration could help with controlling VFA concentrations in the digester, even under unbalanced conditions, where VFA accumulation often results in the interruption of methane production.

3.4. Influence of Microaeration on Degradation and Humification of SS

Microaerobic conditions also displayed some influence on the macronutrient composition of the SS digestate. Figure 5 reports the degradation efficiencies of the proteins, carbohydrates, and lipids at the end of the tests carried out with low air doses (ALR = 0–1.37 L air/kg VSin d). The concentrations of macronutrients in the digestate were significantly lower compared to those in the raw sludge. In particular, the degradation of proteins was the most significative (81–90%), followed by carbohydrates (36–55%) and lipids (37–53%). Interestingly, an increase in the air dose resulted in an increasing trend in the degradation of lipids. This suggests that the presence of O2 promoted the β-oxidation of long chain fatty acids (LCFA). Duarte et al. [32] observed that microaerobic conditions play a primary role in allowing the conversion of recalcitrant LCFA to methane by means of facultative anaerobic consortia.
Regarding the proteins, a significant effect on their degradation was observed at an ALR of 0.68 L air/kg VSin d (degradation efficiency >90%). The enhancement of the protein hydrolysis to amino acids under microaeration conditions was previously reported by Lim et al. [33]. The enhanced protein hydrolysis was also suggested to promote the activity of acidogenic microorganisms by providing readily available organic nitrogen in the form of soluble protein and amino acids [33]. This observation is in good agreement with the higher SMP obtained at an ALR of 0.68 L air/kg VSin d compared to the no-aeration tests. However, the enhancement of protein degradation seems highly sensitive to O2 concentration, as increasing the ALR to 1.37 L air/kg VSin d resulted in substantially the same concentration of total proteins in the digestate as that obtained in the no-aeration experiment.
The recalcitrance of the sludge OM to be converted into methane may depend on the presence of a high amount of HS. The concentration of HS (measured in the solid phase-Table 1) was detected to be around 11.8% of the VS, which is quite high compared to that from recent literature studies [34]. The HS concentration induced a relatively high HD of the feedstock (i.e. 0.59), which could justify the low SMP obtained in the absence of microaeration. Nonetheless, the HS concentration in the digesting mixture was constantly well below the HS inhibition threshold for AD of 20 g/L reported by Yap et al. [35].
Several differences were observed in the evolution of HS at different ALRs. Figure 6 shows the HD values calculated in each of the tested conditions. Overall, AD did not result in a decrease of HD, mainly due to an average reduction of TEC by approximately 40%. However, it can be observed that applying a low ALR reduced the HD of the digestate, which remained <0.6. This is consistent with the higher SMP observed, as a bigger portion of OM was likely driven towards methane rather than HS. An increase in air dosing led to increasing the HD, which reached (ALR = 8.42) and finally overcame (ALR = 16.83) the HD value obtained in the bioreactor with no aeration (Figure 6), as the presence of oxygen probably contributed to enhance carbon sequestration in HS, subtracting it from the biomethanation process. Low oxygen dosage indeed allowed for a better conversion of HS in the reactors, contributing at least in part to enhancing the final methane yield.

4. Conclusions

The application of microaerobic conditions was shown to enhance biogas production from SS with a low organic content and relatively high HS concentration. ALR was a key parameter to control SS degradation. Low ALRs (up to 1.37 L/kg VSin d) were shown to increase the SMP up to 19%, achieving methane yield values typical for AD of SS, while higher ALRs were detrimental for methane production. Air dosing also affected biogas and VFA composition, indicating that low air dosage can decrease the VFA accumulation and stimulate VFA conversion into methane. Moreover, a higher degradation of the proteins and lipids of SS, as well as of the HD, could be achieved using low ALR.

Author Contributions

Conceptualization, R.M., F.D.C., L.P., and G.E.; methodology, R.M., F.D.C., and L.P.; formal analysis, R.M.; investigation, R.M., F.D.C., L.P., and D.S.; resources, S.P., F.P., and G.E.; data curation, R.M., F.D.C., L.P., and D.S.; writing—original draft preparation, R.M., F.D.C., L.P., S.P., and D.S.; visualization, R.M., F.D.C., L.P., and D.S.; supervision, F.D.C., L.P., D.S., and G.E.; project administration, F.D.C., F.P., and U.F.; funding acquisition, F.D.C., F.P., and U.F. All authors have read and agreed to the published version of the manuscript.

Funding

This study was supported by the projects MIDEPURO—Research for Innovation (REFIN)-POR Puglia FESR FSE 2014-2020, BIOFEEDSTOCK-PON 2014/2020, and METAGRO PSR Campania 2014/2020.

Acknowledgments

The authors would like to thank the operators of Nola WWTP for kindly providing the SS used for the experimental campaign.

Conflicts of Interest

The authors declare no conflict of interest.

References

  1. Di Capua, F.; Spasiano, D.; Giordano, A.; Adani, F.; Fratino, U.; Pirozzi, F.; Esposito, G. High-solid anaerobic digestion of sewage sludge: Challenges and opportunities. Appl. Energy 2020, 278, 115608. [Google Scholar] [CrossRef]
  2. Nowak, O. Optimizing the use of sludge treatment facilities at municipal WWTPs. J. Environ. Sci. Health A 2006, 41, 1807–1817. [Google Scholar] [CrossRef]
  3. Kelley, E.; Twohig, E. Wastewater Treatment Sludge and Septage Management in Vermont; Vermont Department of Environmental Conservation: Essex Junction, VT, USA, 2018. [Google Scholar]
  4. Maqbool, T.; Cho, J.; Hur, J. Spectroscopic descriptors for dynamic changes of soluble microbial products from activated sludge at different biomass growth phases under prolonged starvation. Water Res. 2017, 123, 751–760. [Google Scholar] [CrossRef] [PubMed]
  5. Pontoni, L.; Roviello, V.; Race, M.; Savignano, L.; van Hullebusch, E.D.; Esposito, G.; Pirozzi, F.; Fabbricino, M. Supramolecular aggregation of colloidal natural organic matter masks priority pollutants released in water from peat soil. Environ. Res. 2021, 195, 110761. [Google Scholar] [CrossRef]
  6. Liu, G.; Wang, J. Modeling effects of DO and SRT on activated sludge decay and production. Water Res. 2015, 80, 169–178. [Google Scholar] [CrossRef] [PubMed]
  7. Pastor-Poquet, V.; Papirio, S.; Steyer, J.P.; Trably, E.; Escudié, R.; Esposito, G. High-solids anaerobic digestion model for homogenized reactors. Water Res. 2018, 142, 501–511. [Google Scholar] [CrossRef]
  8. Pilli, S.; Yan, S.; Tyagi, R.D.; Surampalli, R.Y. Thermal pretreatment of sewage sludge to enhance anaerobic digestion: A review. Crit. Rev. Environ. Sci. Technol. 2015, 45, 669–702. [Google Scholar] [CrossRef]
  9. Nah, I.W.; Kang, Y.W.; Hwang, K.Y.; Song, W.K. Mechanical pretreatment of waste activated sludge for anaerobic digestion process. Water Res. 2000, 34, 2362–2368. [Google Scholar] [CrossRef]
  10. Lee, I.; Han, J.I. The effects of waste-activated sludge pretreatment using hydrodynamic cavitation for methane production. Ultrason. Sonochem. 2013, 20, 1450–1455. [Google Scholar] [CrossRef]
  11. Show, K.Y.; Mao, T.; Lee, D.J. Optimisation of sludge disruption by sonication. Water Res. 2007, 41, 4741–4747. [Google Scholar] [CrossRef]
  12. Chu, L.; Yan, S.; Xing, X.-H.; Sun, X.; Jurcik, B. Progress and perspectives of sludge ozonation as a powerful pretreatment method for minimization of excess sludge production. Water Res. 2009, 43, 1811–1822. [Google Scholar] [CrossRef]
  13. Ding, H.H.; Chang, S.; Liu, Y. Biological hydrolysis pretreatment on secondary sludge: Enhancement of anaerobic digestion and mechanism study. Bioresour. Technol. 2017, 244, 989–995. [Google Scholar] [CrossRef]
  14. Krayzelova, L.; Bartacek, J.; Díaz, I.; Jeison, D.; Volcke, E.I.P.; Jenicek, P. Microaeration for hydrogen sulfide removal during anaerobic treatment: A review. Rev. Environ. Sci. Biotechnol. 2015, 14, 703–725. [Google Scholar] [CrossRef]
  15. Di Capua, F.; Adani, F.; Pirozzi, F.; Esposito, G.; Giordano, A. Air side-stream ammonia stripping in a thin film evaporator coupled to high-solid anaerobic digestion of sewage sludge: Process performance and interactions. J. Environ. Manag. 2021, 295, 113075. [Google Scholar] [CrossRef]
  16. Giordano, A.; Di Capua, F.; Esposito, G.; Pirozzi, F. Long-term biogas desulfurization under different microaerobic conditions in full-scale thermophilic digesters co-digesting high-solid sewage sludge. Int. Biodeterior. Biodegrad. 2019, 142, 131–136. [Google Scholar] [CrossRef]
  17. Ramos, I.; Pérez, R.; Fdz-Polanco, M. Microaerobic desulphurisation unit: A new biological system for the removal of H2S from biogas. Bioresour. Technol. 2013, 142, 633–640. [Google Scholar] [CrossRef] [PubMed]
  18. Jeníček, P.; Keclik, F.; Maca, J.; Bindzar, J. Use of microaerobic conditions for the improvement of anaerobic digestion of solid wastes. Water Sci. Technol. 2008, 58, 1491–1496. [Google Scholar] [CrossRef] [PubMed]
  19. Krayzelova, L.; Bartacek, J.; Kolesarova, N.; Jeníček, P. Microaeration for hydrogen sulfide removal in UASB reactor. Bioresour. Technol. 2014, 172, 297–302. [Google Scholar] [CrossRef] [PubMed]
  20. Jeníček, P.; Celis, C.A.; Krayzelova, L.; Anferova, N.; Pokorna, D. Improving products of anaerobic sludge digestion by microaeration. Water Sci. Technol. 2014, 69, 803–809. [Google Scholar] [CrossRef]
  21. Pontoni, L.; Papirio, S.; D’Alessandro, G.; Caniani, D.; Gori, R.; Mannina, G.; Capodici, M.; Nicosia, S.; Fabbricino, M.; Pirozzi, F.; et al. Dewaterability of CAS and MBR Sludge: Effect of Biological Stability and EPS Composition. J. Environ. Eng. 2018, 144, 04017088. [Google Scholar] [CrossRef] [Green Version]
  22. Pérez-Palacios, T.; Ruiz, J.; Martín, D.; Muriel, E.; Antequera, T. Comparison of different methods for total lipid quantification in meat and meat products. Food Chem. 2008, 110, 1025–1029. [Google Scholar] [CrossRef]
  23. APHA. Standard Methods for the Examination of Water and Wastewater; American Public Health Association (APHA): Washington, DC, USA, 2005; ISBN 9780875530475. [Google Scholar]
  24. De Nobili, M.; Cercignani, G.; Leita, L. Evaluation of type and contents of humic substances in sludges and composts. In Long-term Effects of Sewage Sludge and Farm Slurries Applications; Williams, J.H., Guidi, G., L’Hermite, P., Eds.; CRC Press: Boca Raton, FL, USA, 1985; pp. 181–186. [Google Scholar]
  25. Angelova, V.R.; Akova, V.I.; Ivanov Penka, A.; Licheva, K.I. Comparative study of titrimetric methods for determination of organic carbon in soils, compost and sludge. Ecol. Saf. 2014, 8, 430–440. [Google Scholar]
  26. Tang, Y.; Shigematsu, T.; Morimura, S.; Kida, K. The effects of micro-aeration on the phylogenetic diversity of microorganisms in a thermophilic anaerobic municipal solid-waste digester. Water Res. 2004, 38, 2537–2550. [Google Scholar] [CrossRef]
  27. Johansen, J.-E.; Bakke, R. Enhancing hydrolysis with microaeration. Water Sci. Technol. 2006, 53, 43–50. [Google Scholar] [CrossRef]
  28. Nguyen, D.; Khanal, S.K. A little breath of fresh air into an anaerobic system: How microaeration facilitates anaerobic digestion process. Biotechnol. Adv. 2018, 36, 1971–1983. [Google Scholar] [CrossRef] [PubMed]
  29. Ahn, Y.M.; Wi, J.; Park, J.K.; Higuchi, S.; Lee, N.H. Effects of pre-aeration on the anaerobic digestion of sewage sludge. Environ. Eng. Res. 2014, 19, 59–66. [Google Scholar] [CrossRef]
  30. Nguyen, D.; Wu, Z.; Shrestha, S.; Lee, P.H.; Raskin, L.; Khanal, S.K. Intermittent micro-aeration: New strategy to control volatile fatty acid accumulation in high organic loading anaerobic digestion. Water Res. 2019, 166, 115080. [Google Scholar] [CrossRef] [PubMed]
  31. Wang, Y.; Zhang, Y.; Wang, J.; Meng, L. Effects of volatile fatty acid concentrations on methane yield and methanogenic bacteria. Biomass Bioenergy 2009, 33, 848–853. [Google Scholar] [CrossRef]
  32. Duarte, M.S.; Silva, S.A.; Salvador, A.F.; Cavaleiro, A.J.; Stams, A.J.M.; Alves, M.M.; Pereira, M.A. Insight into the Role of Facultative Bacteria Stimulated by Microaeration in Continuous Bioreactors Converting LCFA to Methane. Environ. Sci. Technol. 2018, 52, 6497–6507. [Google Scholar] [CrossRef] [Green Version]
  33. Lim, J.W.; Chiam, J.A.; Wang, J.Y. Microbial community structure reveals how microaeration improves fermentation during anaerobic co-digestion of brown water and food waste. Bioresour. Technol. 2014, 171, 132–138. [Google Scholar] [CrossRef]
  34. Liu, R.; Hao, X.; van Loosdrecht, M.C.M.; Zhou, P.; Li, J. Dynamics of humic substance composition during anaerobic digestion of excess activated sludge. Int. Biodeterior. Biodegrad. 2019, 145, 104771. [Google Scholar] [CrossRef]
  35. Yap, S.D.; Astals, S.; Lu, Y.; Peces, M.; Jensen, P.D.; Batstone, D.J.; Tait, S. Humic acid inhibition of hydrolysis and methanogenesis with different anaerobic inocula. Waste Manag. 2018, 80, 130–136. [Google Scholar] [CrossRef] [PubMed]
Figure 1. Temporal SMP profiles at different ALRs (L air/kg VSin d) during the microaerobic digestion of SS.
Figure 1. Temporal SMP profiles at different ALRs (L air/kg VSin d) during the microaerobic digestion of SS.
Sustainability 13 09869 g001
Figure 2. Effect of air dosing on specific methane and carbon dioxide production.
Figure 2. Effect of air dosing on specific methane and carbon dioxide production.
Sustainability 13 09869 g002
Figure 3. Average CO2 content (%) of biogas produced at different ALR.
Figure 3. Average CO2 content (%) of biogas produced at different ALR.
Sustainability 13 09869 g003
Figure 4. VFA and lactic acid profiles during BMTs at ALR of 0 (A), 0.68 (B), 1.37 (C), 4.21 (D), 8.42 (E), and 16.83 (F) L air/kg VSin d.
Figure 4. VFA and lactic acid profiles during BMTs at ALR of 0 (A), 0.68 (B), 1.37 (C), 4.21 (D), 8.42 (E), and 16.83 (F) L air/kg VSin d.
Sustainability 13 09869 g004
Figure 5. Effect of air dosing on carbohydrate, protein, and lipid degradation during microaerobic digestion.
Figure 5. Effect of air dosing on carbohydrate, protein, and lipid degradation during microaerobic digestion.
Sustainability 13 09869 g005
Figure 6. Effect of air dosing on the humification degree after microaerobic digestion.
Figure 6. Effect of air dosing on the humification degree after microaerobic digestion.
Sustainability 13 09869 g006
Table 1. Characteristics of raw sludge used in this study.
Table 1. Characteristics of raw sludge used in this study.
pHCarbonate
Alkalinity
(mg CaCO3/L)
TS
(g/L)
VS
(g/L)
Proteins
(mg/L)
Carbohydrates
(mg/L)
Lipids
(mg/L)
HS (mg/gVS)
7.63106529.2 (±6.8)16.0 (±1.4)3943 (±647)248 (±25)1909 (±291)118 (±21)
Table 2. SMP, SCP, and biogas composition obtained at different ALRs.
Table 2. SMP, SCP, and biogas composition obtained at different ALRs.
Air Dose (mL)ALR
(L air/kg VSin d)
SMP
(L CH4/kg VSin)
SCP
(L CO2/kg VSin)
CH4
(%)
CH4/CO2
00156 (±6)88 (±6)64 (±2)1.8
50.68180 (±12)102 (±3)64 (±2)1.8
101.37186 (±8)86 (±7)68 (±3)2.2
504.21128 (±12)48 (±8)73 (±1)2.7
1008.42101 (±8)42 (±9)71 (±4)2.4
20016.8364 (±12)36 (±6)64 (±3)1.8
Publisher’s Note: MDPI stays neutral with regard to jurisdictional claims in published maps and institutional affiliations.

Share and Cite

MDPI and ACS Style

Morello, R.; Di Capua, F.; Pontoni, L.; Papirio, S.; Spasiano, D.; Fratino, U.; Pirozzi, F.; Esposito, G. Microaerobic Digestion of Low-Biodegradable Sewage Sludge: Effect of Air Dosing in Batch Reactors. Sustainability 2021, 13, 9869. https://doi.org/10.3390/su13179869

AMA Style

Morello R, Di Capua F, Pontoni L, Papirio S, Spasiano D, Fratino U, Pirozzi F, Esposito G. Microaerobic Digestion of Low-Biodegradable Sewage Sludge: Effect of Air Dosing in Batch Reactors. Sustainability. 2021; 13(17):9869. https://doi.org/10.3390/su13179869

Chicago/Turabian Style

Morello, Raffaele, Francesco Di Capua, Ludovico Pontoni, Stefano Papirio, Danilo Spasiano, Umberto Fratino, Francesco Pirozzi, and Giovanni Esposito. 2021. "Microaerobic Digestion of Low-Biodegradable Sewage Sludge: Effect of Air Dosing in Batch Reactors" Sustainability 13, no. 17: 9869. https://doi.org/10.3390/su13179869

APA Style

Morello, R., Di Capua, F., Pontoni, L., Papirio, S., Spasiano, D., Fratino, U., Pirozzi, F., & Esposito, G. (2021). Microaerobic Digestion of Low-Biodegradable Sewage Sludge: Effect of Air Dosing in Batch Reactors. Sustainability, 13(17), 9869. https://doi.org/10.3390/su13179869

Note that from the first issue of 2016, this journal uses article numbers instead of page numbers. See further details here.

Article Metrics

Back to TopTop