The Effect of Perceptions on Service Robot Usage Intention: A Survey Study in the Service Sector
Abstract
:1. Introduction
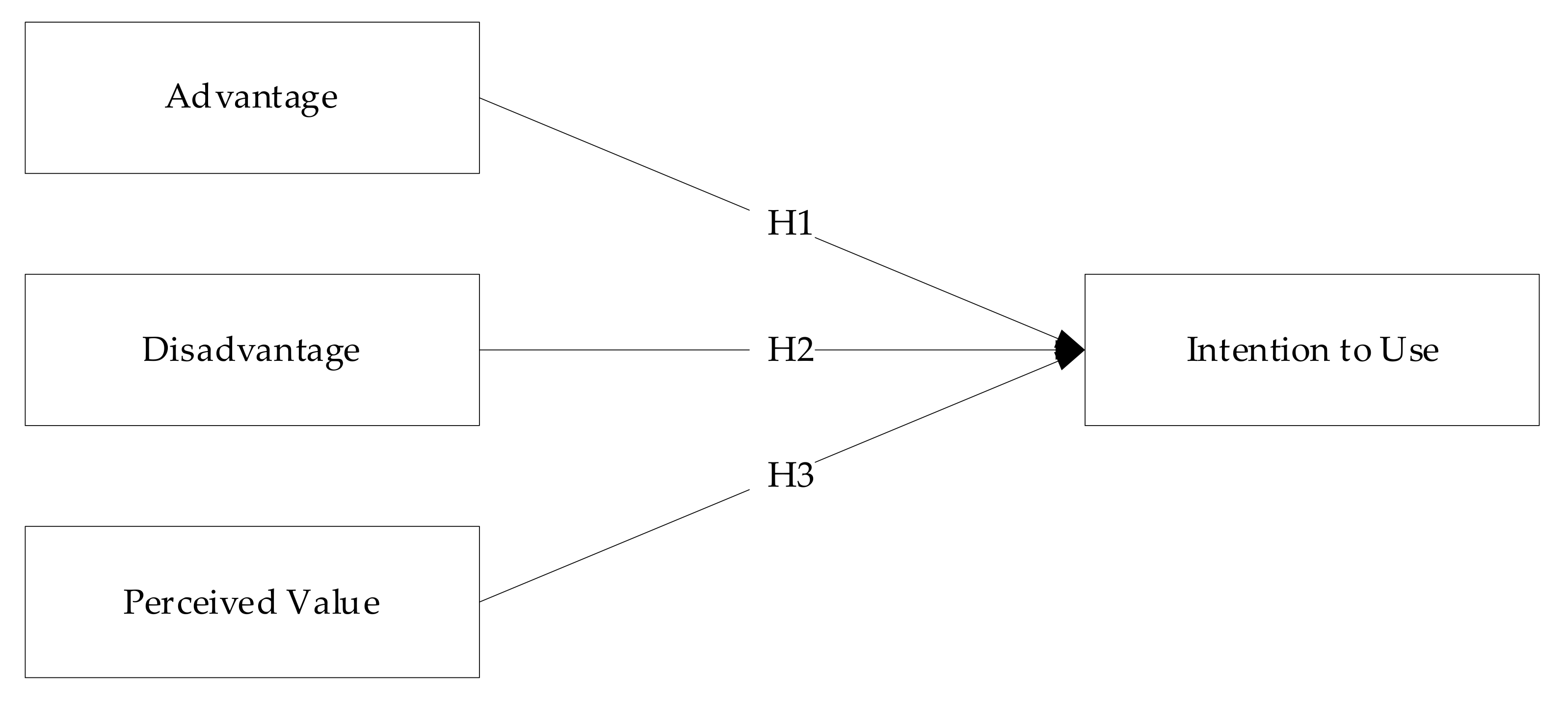
RQ1: In the service industry, to what extent do customers think that the use of service robots is advantageous or disadvantageous affects their intention to use this service?
RQ2: In the service industry, does the perceived value of service robots by customers encourage them to use them?
2. Literature Review and Hypothesis Development
2.1. Service Robots
2.2. Service Robots in Hospitality
3. Materials and Methods
3.1. Sample and Data Collection
3.2. Measurement Instrument
- -
- -
- -
- -
3.3. Analysis Method
4. Results
5. Discussions
6. Conclusions
Author Contributions
Funding
Institutional Review Board Statement
Informed Consent Statement
Data Availability Statement
Conflicts of Interest
References
- Meidute-Kavaliauskiene, I.; Yıldız, B.; Çiğdem, Ş.; Činčikaitė, R. An Integrated Impact of Blockchain on Supply Chain Applications. Logistics 2021, 5, 33. [Google Scholar] [CrossRef]
- Christensen, C.M. The Innovator’s Dilemma: When New Technologies Cause Great Firms to Fail; Harvard Business Review: Boston, MA, USA, 2016; ISBN 978-1633691780. [Google Scholar]
- Schumpeter, J.A.; Swedberg, R. Capitalism, Socialism and Democracy; Routledge: London, UK; New York, NY, USA, 2013; ISBN 0-203-20205-8. [Google Scholar]
- Meidute-Kavaliauskiene, I.; Çiğdem, Ş.; Vasilis Vasiliauskas, A.; Yıldız, B. Green Innovation in Environmental Complexity: The Implication of Open Innovation. JOItmC 2021, 7, 107. [Google Scholar] [CrossRef]
- Choi, Y.; Oh, M.; Choi, M.; Kim, S. Exploring the influence of culture on tourist experiences with robots in service delivery environment. Curr. Issues Tour. 2021, 24, 717–733. [Google Scholar] [CrossRef]
- Samala, N.; Katkam, B.S.; Bellamkonda, R.S.; Rodriguez, R.V. Impact of AI and robotics in the tourism sector: A critical insight. JTF 2020. [Google Scholar] [CrossRef]
- Çakar, K.; Aykol, Ş. Understanding travellers’ reactions to robotic services: A multiple case study approach of robotic hotels. J. Hosp. Tour. Technol. 2020, 12, 155–174. [Google Scholar] [CrossRef]
- Fusté-Forné, F.; Jamal, T. Co-Creating New Directions for Service Robots in Hospitality and Tourism. Tour. Hosp. 2021, 2, 43–61. [Google Scholar] [CrossRef]
- Wang, X.V.; Wang, L. A literature survey of the robotic technologies during the COVID-19 pandemic. J. Manuf. Syst. 2021. [Google Scholar] [CrossRef] [PubMed]
- Pillai, R.; Sivathanu, B. Adoption of AI-based chatbots for hospitality and tourism. Int. J. Contemp. Hosp. Manag. 2020, 32, 3199–3226. [Google Scholar] [CrossRef]
- Tussyadiah, I.P.; Zach, F.J.; Wang, J. Do travelers trust intelligent service robots? Ann. Tour. Res. 2020, 81, 102886. [Google Scholar] [CrossRef]
- Seyitoğlu, F.; Ivanov, S. A conceptual framework of the service delivery system design for hospitality firms in the (post-)viral world: The role of service robots. Int. J. Hosp. Manag. 2020, 91, 102661. [Google Scholar] [CrossRef]
- Zeng, Z.; Chen, P.-J.; Lew, A.A. From high-touch to high-tech: COVID-19 drives robotics adoption. Tour. Geogr. 2020, 22, 724–734. [Google Scholar] [CrossRef]
- Pillai, S.G.; Haldorai, K.; Seo, W.S.; Kim, W.G. COVID-19 and hospitality 5.0: Redefining hospitality operations. Int. J. Hosp. Manag. 2021, 94, 102869. [Google Scholar] [CrossRef]
- Zenker, S.; Kock, F. The coronavirus pandemic—A critical discussion of a tourism research agenda. Tour. Manag. 2020, 81, 104164. [Google Scholar] [CrossRef]
- Hakovirta, M.; Denuwara, N. How COVID-19 Redefines the Concept of Sustainability. Sustainability 2020, 12, 3727. [Google Scholar] [CrossRef]
- Aloi, A.; Alonso, B.; Benavente, J.; Cordera, R.; Echániz, E.; González, F.; Ladisa, C.; Lezama-Romanelli, R.; López-Parra, Á.; Mazzei, V.; et al. Effects of the COVID-19 Lockdown on Urban Mobility: Empirical Evidence from the City of Santander (Spain). Sustainability 2020, 12, 3870. [Google Scholar] [CrossRef]
- Ramaci, T.; Barattucci, M.; Ledda, C.; Rapisarda, V. Social Stigma during COVID-19 and its Impact on HCWs Outcomes. Sustainability 2020, 12, 3834. [Google Scholar] [CrossRef]
- Van Droogenbroeck, E.; van Hove, L. Adoption and Usage of E-Grocery Shopping: A Context-Specific UTAUT2 Model. Sustainability 2021, 13, 4144. [Google Scholar] [CrossRef]
- Shin, H.; Kang, J. Reducing perceived health risk to attract hotel customers in the COVID-19 pandemic era: Focused on technology innovation for social distancing and cleanliness. Int. J. Hosp. Manag. 2020, 91, 102664. [Google Scholar] [CrossRef] [PubMed]
- Tuomi, A.; Tussyadiah, I.P.; Stienmetz, J. Applications and Implications of Service Robots in Hospitality. Cornell Hosp. Q. 2021, 62, 232–247. [Google Scholar] [CrossRef]
- Murphy, J.; Gretzel, U.; Pesonen, J. Marketing robot services in hospitality and tourism: The role of anthropomorphism. J. Travel Tour. Mark. 2019, 36, 784–795. [Google Scholar] [CrossRef]
- Go, H.; Kang, M.; Suh, S.C. Machine learning of robots in tourism and hospitality: Interactive technology acceptance model (iTAM)—Cutting edge. Tour. Rev. 2020, 75, 625–636. [Google Scholar] [CrossRef]
- Lu, L.; Zhang, P.; Zhang, T. Leveraging "human-likeness" of robotic service at restaurants. Int. J. Hosp. Manag. 2021, 94, 102823. [Google Scholar] [CrossRef]
- Seyitoğlu, F.; Ivanov, S. Service robots as a tool for physical distancing in tourism. Curr. Issues Tour. 2021, 24, 1631–1634. [Google Scholar] [CrossRef]
- Ghobakhloo, M. The future of manufacturing industry: A strategic roadmap toward Industry 4.0. JMTM 2018, 29, 910–936. [Google Scholar] [CrossRef] [Green Version]
- Bongomin, O.; Gilibrays Ocen, G.; Oyondi Nganyi, E.; Musinguzi, A.; Omara, T. Exponential Disruptive Technologies and the Required Skills of Industry 4.0. J. Eng. 2020, 2020, 4280156. [Google Scholar] [CrossRef] [Green Version]
- Lu, V.N.; Wirtz, J.; Kunz, W.H.; Paluch, S.; Gruber, T.; Martins, A.; Patterson, P.G. Service robots, customers and service employees: What can we learn from the academic literature and where are the gaps? J. Serv. Theory Pract. 2020, 30, 361–391. [Google Scholar] [CrossRef]
- Wirtz, J.; Patterson, P.G.; Kunz, W.H.; Gruber, T.; Lu, V.N.; Paluch, S.; Martins, A. Brave new world: Service robots in the frontline. J. Serv. Manag. 2018, 29, 907–931. [Google Scholar] [CrossRef] [Green Version]
- Zhong, L.; Zhang, X.; Rong, J.; Chan, H.K.; Xiao, J.; Kong, H. Construction and empirical research on acceptance model of service robots applied in hotel industry. IMDS 2020. [Google Scholar] [CrossRef]
- Tussyadiah, I. A review of research into automation in tourism: Launching the Annals of Tourism Research Curated Collection on Artificial Intelligence and Robotics in Tourism. Ann. Tour. Res. 2020, 81, 102883. [Google Scholar] [CrossRef]
- Cain, L.N.; Thomas, J.H.; Alonso, M., Jr. From sci-fi to sci-fact: The state of robotics and AI in the hospitality industry. J. Hosp. Tour. Technol. 2019, 10, 624–650. [Google Scholar] [CrossRef]
- Xu, S.; Stienmetz, J.; Ashton, M. How will service robots redefine leadership in hotel management? A Delphi approach. Int. J. Contemp. Hosp. Manag. 2020, 32, 2217–2237. [Google Scholar] [CrossRef]
- Collins, G.R. Improving human–robot interactions in hospitality settings. Int. Hosp. Rev. 2020, 34, 61–79. [Google Scholar] [CrossRef]
- Huang, H.-L.; Cheng, L.-K.; Sun, P.-C.; Chou, S.-J. The Effects of Perceived Identity Threat and Realistic Threat on the Negative Attitudes and Usage Intentions Toward Hotel Service Robots: The Moderating Effect of the Robot’s Anthropomorphism. Int. J Soc Robot. 2021. [Google Scholar] [CrossRef]
- Tanioka, T.; Yokotani, T.; Tanioka, R.; Betriana, F.; Matsumoto, K.; Locsin, R.; Zhao, Y.; Osaka, K.; Miyagawa, M.; Schoenhofer, S. Development Issues of Healthcare Robots: Compassionate Communication for Older Adults with Dementia. Int. J. Environ. Res. Public Health 2021, 18, 4538. [Google Scholar] [CrossRef] [PubMed]
- Ivanov, S.H.; Webster, C.; Berezina, K. Adoption of Robots and Service Automation by Tourism and Hospitality Companies; SSRN Scholarly Paper ID 2964308; SSRN: Rochester, NY, USA, 2017. [Google Scholar]
- Park, S. Multifaceted trust in tourism service robots. Ann. Tour. Res. 2020, 81, 102888. [Google Scholar] [CrossRef]
- Choi, Y.; Choi, M.; Oh, M.; Kim, S. Service robots in hotels: Understanding the service quality perceptions of human-robot interaction. J. Hosp. Mark. Manag. 2020, 29, 613–635. [Google Scholar] [CrossRef]
- Fusté-Forné, F. Robot chefs in gastronomy tourism: What’s on the menu? Tour. Manag. Perspect. 2021, 37, 100774. [Google Scholar] [CrossRef]
- Christou, P.; Simillidou, A.; Stylianou, M.C. Tourists’ perceptions regarding the use of anthropomorphic robots in tourism and hospitality. Int. J. Contemp. Hosp. Manag. 2020, 32, 3665–3683. [Google Scholar] [CrossRef]
- Hou, Y.; Zhang, K.; Li, G. Service robots or human staff: How social crowding shapes tourist preferences. Tour. Manag. 2021, 83, 104242. [Google Scholar] [CrossRef]
- Davis, F.D. Perceived Usefulness, Perceived Ease of Use, and User Acceptance of Information Technology. MIS Q. 1989, 13, 319–340. [Google Scholar] [CrossRef] [Green Version]
- Lu, J.; Yu, C.-S.; Liu, C.; Yao, J.E. Technology acceptance model for wireless Internet. Internet Res. 2003, 13, 206–222. [Google Scholar] [CrossRef] [Green Version]
- Marangunić, N.; Granić, A. Technology acceptance model: A literature review from 1986 to 2013. Univers. Access Inf. Soc. 2015, 14, 81–95. [Google Scholar] [CrossRef]
- Sheppard, B.H.; Hartwick, J.; Warshaw, P.R. The Theory of Reasoned Action: A Meta-Analysis of Past Research with Recommendations for Modifications and Future Research. J. Consum. Res. 1988, 15, 325–343. [Google Scholar] [CrossRef]
- Adams, D.A.; Nelson, R.R.; Todd, P.A. Perceived Usefulness, Ease of Use, and Usage of Information Technology: A Replication. MIS Q 1992, 16, 227–247. [Google Scholar] [CrossRef]
- Venkatesh, V.; Davis, F.D. A Theoretical Extension of the Technology Acceptance Model: Four Longitudinal Field Studies. Manag. Sci. 2000, 46, 186–204. [Google Scholar] [CrossRef] [Green Version]
- Davis, F.D.; Bagozzi, R.P.; Warshaw, P.R. User Acceptance of Computer Technology: A Comparison of Two Theoretical Models. Manag. Sci. 1989, 35, 982–1003. [Google Scholar] [CrossRef] [Green Version]
- Ma, W.W.; Andersson, R.; Streith, K.-O. Examining user acceptance of computer technology: An empirical study of student teachers. J. Comput. Assist. Learn. 2005, 21, 387–395. [Google Scholar] [CrossRef]
- Venkatesh, V.; Morris, M.G. Why Don’t Men Ever Stop to Ask for Directions? Gender, Social Influence, and Their Role in Technology Acceptance and Usage Behavior. MIS Q. 2000, 24, 115–139. [Google Scholar] [CrossRef]
- Esmaeili, A.; Haghgoo, I.; Davidavičienė, V.; Meidutė-Kavaliauskienė, I. Customer Loyalty in Mobile Banking: Evaluation of Perceived Risk, Relative Advantages, and Usability Factors. Eng. Econ. 2021, 32, 70–81. [Google Scholar] [CrossRef]
- Kim, S.; Kim, J.; Badu-Baiden, F.; Giroux, M.; Choi, Y. Preference for robot service or human service in hotels? Impacts of the COVID-19 pandemic. Int. J. Hosp. Manag. 2021, 93, 102795. [Google Scholar] [CrossRef]
- Tavitiyaman, P.; Zhang, X.; Tsang, W.Y. How Tourists Perceive the Usefulness of Technology Adoption in Hotels: Interaction Effect of Past Experience and Education Level. J. China Tour. Res. 2020, 1–24. [Google Scholar] [CrossRef]
- Lin, I.Y.; Mattila, A.S. The Value of Service Robots from the Hotel Guest’s Perspective: A Mixed-Method Approach. Int. J. Hosp. Manag. 2021, 94, 102876. [Google Scholar] [CrossRef]
- Yang, Z.; Peterson, R.T. Customer perceived value, satisfaction, and loyalty: The role of switching costs. Psychol. Mark. 2004, 21, 799–822. [Google Scholar] [CrossRef] [Green Version]
- Tam, J.L. Customer Satisfaction, Service Quality and Perceived Value: An Integrative Model. J. Mark. Manag. 2004, 20, 897–917. [Google Scholar] [CrossRef]
- Kuo, Y.-F.; Wu, C.-M.; Deng, W.-J. The relationships among service quality, perceived value, customer satisfaction, and post-purchase intention in mobile value-added services. Comput. Hum. Behav. 2009, 25, 887–896. [Google Scholar] [CrossRef]
- Park, J.-W.; Robertson, R.; Wu, C.-L. Modelling the Impact of Airline Service Quality and Marketing Variables on Passengers’ Future Behavioural Intentions. Transp. Plan. Technol. 2006, 29, 359–381. [Google Scholar] [CrossRef]
- Lu, L.; Cai, R.; Gursoy, D. Developing and validating a service robot integration willingness scale. Int. J. Hosp. Manag. 2019, 80, 36–51. [Google Scholar] [CrossRef]
- Ivanov, S.; Webster, C.; Seyyedi, P. Consumers’ attitudes towards the introduction of robots in accommodation establishments. Tour. Int. Interdiscip. J. 2018, 66, 302–317. [Google Scholar]
- Qiu, H.; Li, M.; Shu, B.; Bai, B. Enhancing hospitality experience with service robots: The mediating role of rapport building. J. Hosp. Mark. Manag. 2020, 29, 247–268. [Google Scholar] [CrossRef]
- Ivanov, S.; Webster, C.; Garenko, A. Young Russian adults’ attitudes towards the potential use of robots in hotels. Technol. Soc. 2018, 55, 24–32. [Google Scholar] [CrossRef]
- De Kervenoael, R.; Hasan, R.; Schwob, A.; Goh, E. Leveraging human-robot interaction in hospitality services: Incorporating the role of perceived value, empathy, and information sharing into visitors’ intentions to use social robots. Tour. Manag. 2020, 78, 104042. [Google Scholar] [CrossRef]
- Ivanov, S.; Webster, C. Perceived appropriateness and intention to use service robots in tourism. In Information and Communication Technologies in Tourism 2019; Springer: Berlin/Heidelberg, Germany, 2019; pp. 237–248. [Google Scholar]
- Anderson, J.C.; Gerbing, D.W. Structural equation modeling in practice: A review and recommended two-step approach. Psychol. Bull. 1988, 103, 411–423. [Google Scholar] [CrossRef]
- Schumacker, R.E.; Lomax, R.G. A Beginner’s Guide to Structural Equation Modeling; Psychology Press: London, UK, 2004; ISBN 978-1-135-64192-4. [Google Scholar]
- MacCallum, R.C.; Austin, J.T. Applications of Structural Equation Modeling in Psychological Research. Annu. Rev. Psychol. 2000, 51, 201–226. [Google Scholar] [CrossRef]
- Malaeb, Z.A.; Summers, J.K.; Pugesek, B.H. Using structural equation modeling to investigate relationships among ecological variables. Environ. Ecol. Stat. 2000, 7, 93–111. [Google Scholar] [CrossRef]
- Jöreskog, K.G.; Sörbom, D. LISREL 8: User’s Reference Guide; Scientific Software International: Chicago, IL, USA, 1996; ISBN 978-0-89498-040-4. [Google Scholar]
- Cheng, E.W. SEM being more effective than multiple regression in parsimonious model testing for management development research. J. Manag. Dev. 2001, 20, 650–667. [Google Scholar] [CrossRef]
- Lloret, S.; Ferreres, A.; Hernández, A.; Tomás, I. The exploratory factor analysis of items: Guided analysis based on empirical data and software. An. Psicol. 2017, 33, 417–432. [Google Scholar] [CrossRef] [Green Version]
- McCartney, G.; McCartney, A. Rise of the machines: Towards a conceptual service-robot research framework for the hospitality and tourism industry. Int. J. Contemp. Hosp. Manag. 2020, 32, 3835–3851. [Google Scholar] [CrossRef]
- Bowen, J.; Morosan, C. Beware hospitality industry: The robots are coming. Worldw. Hosp. Tour. Themes 2018, 10, 726–733. [Google Scholar] [CrossRef] [Green Version]
- Lee, Y.; Lee, S.; Kim, D.-Y. Exploring hotel guests’ perceptions of using robot assistants. Tour. Manag. Perspect. 2021, 37, 100781. [Google Scholar] [CrossRef]
- Fuentes-Moraleda, L.; Díaz-Pérez, P.; Orea-Giner, A.; Muñoz-Mazón, A.; Villacé-Molinero, T. Interaction between hotel service robots and humans: A hotel-specific Service Robot Acceptance Model (sRAM). Tour. Manag. Perspect. 2020, 36, 100751. [Google Scholar] [CrossRef]
- Belanche, D.; Casaló, L.V.; Flavián, C. Frontline robots in tourism and hospitality: Service enhancement or cost reduction? Electron Mark. 2020. [Google Scholar] [CrossRef]


| Gender | Freq. | Profession | Freq. |
|---|---|---|---|
| Female | 802 | Public/private sector worker/civil servant | 315 |
| Male | 606 | Public/private sector manager | 111 |
| Age | Self-employed (lawyer, doctor, accountant…) | 215 | |
| 18–25 | 270 | Tradesman/owner | 220 |
| 26–35 | 458 | Titled personnel (Specialist, inspector, teacher...) | 204 |
| 36–45 | 360 | Retired | 65 |
| 46–55 | 248 | Housewife | 48 |
| 56 and over | 72 | Student | 230 |
| Education | Accommodation Preference | ||
| Primary education | 99 | Hotel | 789 |
| Secondary education | 314 | Motel | 64 |
| Associate degree | 191 | Resort | 322 |
| License | 687 | Spa | 44 |
| Master’s degree | 92 | Villa rental | 152 |
| Doctorate | 25 | Other | 37 |
| Items | Fac. Load. | Skewness | Kurtosis | Mean | Std. Dev. |
|---|---|---|---|---|---|
| Advantage | |||||
| ADV1-Robots will be faster than human employees (Ivanov et al., 2018 [61]) | 0.603 | −0.773 | −0.245 | 3.768 | 1.1942 |
| ADV2-Robots will deal with calculations better than human employees (Ivanov et al., 2018 [61]) | 0.760 | −0.970 | 0.248 | 3.984 | 1.1020 |
| ADV3-Robots will provide more accurate information than human employees (Ivanov et al., 2018 [61]) | 0.730 | −0.678 | −0.342 | 3.727 | 1.1832 |
| ADV4-Robots will be able to provide information in more languages than human employees (Ivanov et al., 2018 [61]) | 0.735 | −1.231 | 0.835 | 4.141 | 1.0860 |
| ADV5-Robots will be more polite than human employees (Ivanov et al., 2018 [61]) | 0.626 | −0.564 | −0.825 | 3.589 | 1.3235 |
| ADV6-Robots forever centers on customers (e.g., every time you move, the robot will adjust its head watching you). (Qui et al., 2020 [62]) | 0.739 | −0.709 | −0.327 | 3.762 | 1.1861 |
| ADV7-Robots are always patient, no matter how many questions you ask or tasks you require. (Qui et al., 2020 [62]) | 0.745 | −1.037 | 0.179 | 4.047 | 1.1401 |
| ADV8-Customers do not need to wait as long as before during the service processes (check-in, check-out, dining, etc.) (Qui et al., 2020 [62]) | 0.759 | −0.838 | −0.012 | 3.906 | 1.1170 |
| ADV9-I am able to avoid inefficient personal contacts if I use artificially intelligent devices (Lu et al., 2019 [60]) | 0.702 | −0.829 | −0.064 | 3.869 | 1.1363 |
| ADV10-Artificially intelligent devices, such as robots, are more dependable than human beings in services (Lu et al., 2019 [60]) | 0.716 | −0.678 | −0.333 | 3.732 | 1.1876 |
| ADV11-Artificially intelligent devices, such as robots, are more accurate than human beings in services (Lu et al., 2019 [60]) | 0.803 | −0.796 | −0.004 | 3.876 | 1.0877 |
| ADV12-Information provided by artificially intelligent devices, such as robots, is more accurate with fewer human errors in services (Lu et al., 2019 [60]) | 0.816 | −0.856 | 0.058 | 3.897 | 1.1018 |
| ADV13-Artificially intelligent devices, such as robots, provide more consistent service than human beings in services (Lu et al., 2019 [60]) | 0.793 | −0.795 | 0.025 | 3.848 | 1.0932 |
| KMO: 0.958 Approx. Chi-Square: 9821.628 df:78 sig.:0.000 Total Variance Explained: % 64.935 | |||||
| Disadvantage | |||||
| DIS1-Robots can malfunction during service (Ivanov et al., 2018 [63]) | 0.720 | −0.970 | 0.241 | 4.064 | 1.0711 |
| DIS2-Robots can misunderstand a question (Ivanov et al., 2018 [63]) | 0.787 | −0.814 | −0.029 | 3.894 | 1.1112 |
| DIS3-Robots can misunderstand an order (Ivanov et al., 2018 [63]) | 0.763 | −0.685 | −0.404 | 3.808 | 1.1621 |
| DIS4-Robots can’t do special requests/they work only in a programmed frame (Ivanov et al., 2018 [63]) | 0.711 | −1.219 | 0.801 | 4.173 | 1.0560 |
| DIS5-Robots can’t understand a guest’s emotions (Ivanov et al., 2018 [63]) | 0.707 | −1.256 | 0.714 | 4.193 | 1.0938 |
| DIS6-Standardized movements of robots and the manners produced by assembly line work make customers feel uncomfortable (Qui et al., 2020 [62]) | 0.700 | −0.706 | −0.411 | 3.805 | 1.1813 |
| DIS7-I think robots limits the experience in a service environment (Qui et al., 2020 [62]) | 0.670 | −0.618 | −0.305 | 3.754 | 1.1244 |
| KMO: 0.854 Approx. Chi-Square: 3625.270 df:21 sig.:0.000 Total Variance Explained: % 63.347 | |||||
| Perceived Value | |||||
| PV1-Compared to the time a traditional service is provided, the use of robots in a service environment is worthwhile to me (Kervenoael et al., 2020 [64]) | 0.815 | −0.373 | −0.441 | 3.462 | 1.1146 |
| PV2-The use of robots in a service environment delivers a satisfactory experience (Kervenoael et al., 2020 [64]) | 0.841 | −0.479 | −0.354 | 3.477 | 1.1226 |
| PV3-Compared to the cost of service I need to pay, the use of robots in a service environment offers value for money (Kervenoael et al., 2020 [64]) | 0.841 | −0.364 | −0.469 | 3.429 | 1.1276 |
| PV4-Using hotel robots can improve hotel service efficiency (Zhong et al., 2020 [30]) | 0.833 | −0.476 | −0.437 | 3.598 | 1.1122 |
| PV5-I think the use of hotel robots can guarantee a uniform service quality (Zhong et al., 2020 [30]) | 0.764 | −0.433 | −0.330 | 3.581 | 1.0845 |
| KMO: 0.873 Approx. Chi-Square: 3388.347 df:10 sig.:0.000 Total Variance Explained: % 67.134 | |||||
| Intention to Use | |||||
| ITU1-Given the opportunity, I will use robots in a service environment (Kervenoael et al., 2020 [64]) | 0.821 | −0.630 | −0.603 | 3.561 | 1.1894 |
| ITU2-In the near future, I will use robots in a service environment (Kervenoael et al., 2020 [64]) | 0.835 | −0.375 | −0.562 | 3.404 | 1.1727 |
| ITU3-I’m considering using robots more in a service environment in the future (Kervenoael et al., 2020 [64]) | 0.872 | −0.293 | −0.709 | 3.364 | 1.1923 |
| ITU4-I intend to use service robots (Ivanov and Webster, 2019 [65]) | 0.873 | −0.339 | −0.711 | 3.396 | 1.2078 |
| ITU5-I will be willing to recommend others to use service robots (Ivanov and Webster, 2019 [65]) | 0.864 | −0.316 | −0.730 | 3.320 | 1.2159 |
| ITU6-I will frequently use service robots (Ivanov and Webster, 2019 [65]) | 0.869 | −0.161 | −0.866 | 3.234 | 1.2329 |
| ITU7-I will be willing to use service robots (Ivanov and Webster, 2019 [65]) | 0.887 | −0.275 | −0.799 | 3.339 | 1.2215 |
| KMO: 0.940 Approx. Chi-Square: 8020.647 df:21 sig.:0.000 Total Variance Explained: % 74.039 | |||||
| Variable | χ2 | df | χ2/df | GFI | CFI | NFI | TLI | RMS |
|---|---|---|---|---|---|---|---|---|
| Criterion | ≤5 | ≥0.90 | ≥0.90 | ≥0.90 | ≥0.90 | ≤0.08 | ||
| Advantage | 288.887 | 65 | 4.444 | 0.969 | 0.976 | 0.971 | 0.969 | 0.053 |
| Disadvantage | 32.752 | 14 | 2.339 | 0.993 | 0.993 | 0.991 | 0.979 | 0.051 |
| Perceived Value | 6.963 | 5 | 1.392 | 0.998 | 0.999 | 0.998 | 0.996 | 0.031 |
| Intention to Use | 50.602 | 14 | 3.614 | 0.989 | 0.995 | 0.994 | 0.991 | 0.051 |
| Variable | AVE | CR | Cronbach’ Alpha |
|---|---|---|---|
| Advantage | 0.501 | 0.928 | 0.926 |
| Disadvantage | 0.444 | 0.846 | 0.847 |
| Perceived Value | 0.590 | 0.877 | 0.877 |
| Intention to Use | 0.697 | 0.941 | 0.941 |
| Variable | χ2 | df | χ2/df | GFI | CFI | NFI | TLI | RMS |
|---|---|---|---|---|---|---|---|---|
| Criterion | ≤5 | ≥0.90 | ≥0.90 | ≥0.90 | ≥0.90 | ≤0.08 | ||
| Research Model | 2158.014 | 461 | 4.681 | 0.905 | 0.938 | 0.923 | 0.933 | 0.051 |
| Analyzed Path | B | β | SE. | CR. | p | ||
|---|---|---|---|---|---|---|---|
| Intention to Use | <--- | Advantage | 0.152 | 0.147 | 0.027 | 5.637 | 0.000 |
| Intention to Use | <--- | Disadvantage | −0.114 | −0.084 | 0.028 | −4.146 | 0.000 |
| Intention to Use | <--- | Perceived Value | 0.823 | 0.804 | 0.037 | 22.422 | 0.000 |
Publisher’s Note: MDPI stays neutral with regard to jurisdictional claims in published maps and institutional affiliations. |
© 2021 by the authors. Licensee MDPI, Basel, Switzerland. This article is an open access article distributed under the terms and conditions of the Creative Commons Attribution (CC BY) license (https://creativecommons.org/licenses/by/4.0/).
Share and Cite
Meidute-Kavaliauskiene, I.; Çiğdem, Ş.; Yıldız, B.; Davidavicius, S. The Effect of Perceptions on Service Robot Usage Intention: A Survey Study in the Service Sector. Sustainability 2021, 13, 9655. https://doi.org/10.3390/su13179655
Meidute-Kavaliauskiene I, Çiğdem Ş, Yıldız B, Davidavicius S. The Effect of Perceptions on Service Robot Usage Intention: A Survey Study in the Service Sector. Sustainability. 2021; 13(17):9655. https://doi.org/10.3390/su13179655
Chicago/Turabian StyleMeidute-Kavaliauskiene, Ieva, Şemsettin Çiğdem, Bülent Yıldız, and Sigitas Davidavicius. 2021. "The Effect of Perceptions on Service Robot Usage Intention: A Survey Study in the Service Sector" Sustainability 13, no. 17: 9655. https://doi.org/10.3390/su13179655
APA StyleMeidute-Kavaliauskiene, I., Çiğdem, Ş., Yıldız, B., & Davidavicius, S. (2021). The Effect of Perceptions on Service Robot Usage Intention: A Survey Study in the Service Sector. Sustainability, 13(17), 9655. https://doi.org/10.3390/su13179655

