Next Article in Journal
A Systematic Literature Review of the Solar Photovoltaic Value Chain for a Circular Economy
Next Article in Special Issue
Role of Biofuels in Energy Transition, Green Economy and Carbon Neutrality
Previous Article in Journal
Evaluation of Cowpea (Vigna unguiculata) in an Intercropping System as Pollinator Enhancer for Increased Crop Yield
 
 
Font Type:
Arial Georgia Verdana
Font Size:
Aa Aa Aa
Line Spacing:
Column Width:
Background:
Article

Influence of Combustion Chamber Shapes and Nozzle Geometry on Performance, Emission, and Combustion Characteristics of CRDI Engine Powered with Biodiesel Blends

by
K. M. V. Ravi Teja
1,
P. Issac Prasad
1,
K. Vijaya Kumar Reddy
2,
N. R. Banapurmath
3,*,
Manzoore Elahi M. Soudagar
4,
T. M. Yunus Khan
5 and
Irfan Anjum Badruddin
5,*
1
Department of Mechanical Engineering, K. L. Deemed to be University, Green Fields, Vaddeswaram 520002, India
2
Department of Mechanical Engineering, Jawaharlal Nehru Technological University College of Engineering Hyderabad, Kukatpally, Hyderabad 500085, India
3
Department of Mechanical Engineering, BVB College of Engineering and Technology, KLE Technological University, Vidyanagar, Hubli 580031, India
4
Department of Mechanical Engineering, School of Technology, Glocal University, Delhi-Yamunotri Marg 247121, Uttar Pradesh, India
5
Mechanical Engineering Department, College of Engineering, King Khalid University, Asir-Abha 61421, Saudi Arabia
*
Authors to whom correspondence should be addressed.
Sustainability 2021, 13(17), 9613; https://doi.org/10.3390/su13179613
Submission received: 16 July 2021 / Revised: 11 August 2021 / Accepted: 12 August 2021 / Published: 26 August 2021
(This article belongs to the Special Issue Renewable Biodiesel/Green Diesel for a Sustainable Future)

Abstract

:
Environmentally friendly, renewable, and green fuels have many benefits over fossil fuels, particularly regarding energy efficiency, in addition to addressing environmental and socioeconomic problems. As a result, green fuels can be used in transportation and power generating applications. Furthermore, being green can ably address the emission-related issues of global warming. In view of the advantages of renewable fuels, two B20 fuel blends obtained from methyl esters of cashew nutshell (CHNOB), jackfruit seed (JACKFSNOB), and jamun seed oils (JAMSOB) were selected to evaluate the performance of a common rail direct injection (CRDI) engine. Compatibility of the nozzle geometry (NG) and combustion chamber shape (CCS) were optimized for increased engine performance. The optimized CCS matched with an increased number of injector nozzle holes in NG showed reasonably improved brake thermal efficiency (BTE), reduced emissions of smoke, HC, and CO, respectively, while NOx increased. Further combustion parameters, such as ignition delay (ID) and combustion duration (CD) reduced, while peak pressure (PP) and heat release rates (HRR) increased at the optimized injection parameters. The CRDI engine powered with JAMSOB B20 showed an increase in BTE of 4–5%, while a significant reduction in HC and CO emissions was obtained compared to JACKFSNOB B20 and CHNOB B20, with increased NOx.

1. Introduction

Global warming and related emissions are the most crucial issues confronting modern society. As the trend of fuel usage is increasing tremendously, we are now making our world unhealthy for current and future generations. This is also due to heavy usage of IC engines in fields such as agriculture, transportation, and industrialization, which will lead us to face deadly consequences in terms of pollution and will directly impact the health of all species. The type of fuel, engine configuration, and operating parameters used all have an impact on engines’ combustion characteristics. A spray pattern is needed for proper air and fuel mixing. Biodiesel is one of the better alternatives, since it cannot replace conventional fuel entirely but is partly utilized in diesel engines. Because of its low toxicity, it is clear that we can utilize biodiesel in engines to decrease pollution.
Nandakumar et al. [1] have observed the influence of NG by varying it from 3- to 5-holes, considering kapok biodiesel. At max load and nozzle variation, B50 exhibited enhance peak HRR and pressure (32.5 and 10%) and for a 5-hole type registered a good increment in BTE (6.1%) compared to a 3-hole type at max load. A decrement in emissions was observed except for NOx. Shivashimpi et al. [2] have studied the influence of POME as a biodiesel by considering optimized conditions of IT-27 °BTDC, varying IOP, CCs, and investigating nozzle geometry. A rated RPM of 1500 and CR-17.5 was maintained. At IT-27 °BTDC with IOP of 240 bar and with a 5-hole-type NG, TRCC enhanced results were observed with low emissions. Kashipura et al. [3] have studied the influence of duel fuels (ROME and coconut shell wood gas) on a single cylinder-4S-CI engine by considering various combustion chamber shapes (HCC, TrCC, TCC, and CCC) by keeping CR constant. TCC showed better performance compared to others. Payri et al. [4] concentrated on the influence of NG and spray characteristics by using CH and OH chemiluminescence techniques on combustion phenomenon. The study of both findings enables the connection of NG, spray behavior, and growth of combustion. CH radicals, in particular, have been shown to occur in conjunction with vapor spray, and in addition, to ignition based analysis. The delay was calculated using OH calculations, and certain correlations in terms of chamber properties were used. Soma et al. [5] studied combined impact of spray and injector flow in CFD. The results showed that hydro grinding and conicity lowered turbulence and cavitation within the nozzle orifice, which delayed primary dissolution while increasing spray penetration and decreasing dispersion.
Venu et al. [6] studied the influence of combustion chamber shapes (CCSs) and nano additives (alumina) on a single cylinder-4S-CI-engine using ternary fuel blends (which is a combination of ethanol–biodiesel–diesel). It was observed the HPF (high-performance fuel) showed better results for TRCC among others. Yadollahi and Boroomand [7] studied the effect of CC by developing a numerical model in AVL Fire software in two phases. Khan et al. [8] studied the influence of CCs on diesel engine performance using AVL Fire software at a constant compression ratio of 17.5. Experimental results of HCC were compared with software for validation. It was observed that in-cylinder flow behavior fully depended upon the CC geometry. However, enhanced results were observed for other geometries due to the engine cylinder’s good mixing and air movement. Vellaiyan [9] reported combustion, performance, and emission characteristics of diesel engines using soybean crude oil–water emulsion with CNT nano-additives on the performance of a single cylinder, 4S-natural-aspirated stationary-diesel engine under various brake mean effective BMEP conditions. Improved results in lowered magnitudes of BSFC (6.8%), EGT (13.6%), and BSEC (14.4%) at 75% load were reported for the blended fuel combinations. Addition of CNT nanoparticles in the fuel blends reduced the emission levels. Dharmarajaa et al. [10] studied the emission characteristics of a 4S-single-cylinder DI engine at the rated engine speed of 1500 rpm using 16–20% of rice husk crude oil. Increased thermal efficiency and ignition delay (ID) at higher loads were observed for the 20% blend due to a higher cetane number for the viscous fueled engines. HC and CO2 emissions decreased whereas NOx increased for both B20 and B30 fuel blends at constant CR of 17:5:1. Calder et al. [11] reported emission and performance characteristics of 2-cylinder-DI-diesel engine powered with blends extracted from recycled expanded polystyrene (EPS) at different speeds of 1000, 2100, and 3000 rpm respectively. Lower NOx emissions were observed for EPS-dissolved B50 with or without acetone addition compared to diesel. Suwanmanee et al. [12] studied engine performance and emissions of engines fueled with emulsifier (distilled-CNSO) blended with diesohol as well as the stability aspects of the fuel combinations. Kasiraman et al. [13] studied the enhancement of engine performance characteristics powered with CNSO by blending with camphor oil and the results exhibited improved Indicated Thermal Efficiency (ITE) and HRR. Soudagara et al. [14] investigated emission characteristics of a modified CRDI engine powered with B20 blends of RCME20 infused with strontium-zinc oxide nanoparticle additive at two compression ratios of 17.5 and 19.5 with an IP-1000 bar, IT- 23.5 °BTDC at a constant speed. It was observed that the overall engine characteristics using SrZnO were enhanced when compared to RCME20 fuel. Engine parameters like BTE HRR, pressure in the cylinder were increased by 20.83%, 24.35%, 9.55% and ID, CD, BSFC, smoke, carbon emissions, hydrocarbon, and CO2 were reduced by 20.07%, 20.64%, 14.5%, 27.90%, 47.63%, 26.81%, 34.9% with increase in NOx using nano biodiesel blends. Yunus Khan et al. [15] reported essential modifications required in both engine parameters and fuel blends for improving the engine performance powered with biodiesels with acceptable emission norms. Kiran et al. [16] reported emission and performance characteristics of CRDI engines fueled with WCO (waste cooking oil) as biodiesel (B20) with varying parameters of IP, IT, and NG respectively. The study reported that a 5-hole-0.3 mm injector exhibited good overall performance characteristics with lower emissions. Ravishankar et al. [17] conducted both computational and experimental investigations to study the effect of different bowl geometries (BGs) on diesel engine performance at a CR of 15.5 to achieve EURO 6 standard emission characteristics. It was observed that with no change in fuel economy, NOx emissions reduced with a little increase in the soot and CO emissions. Sabareesh Kumaran et al. [18] studied the effect of nozzle geometry on diesel engine performance powered with B20 blend of diesel-rubber seed methyl ester, keeping CR, injection pressure, and nozzle hole diameter fixed by varying the nozzle geometry of 3-, 4-, and 5-holes respectively. For the fixed engine parameters, the 4-hole nozzle showed higher BTE with a slight increase in NOx emissions.
Wang et al. [19] studied the combustion process, particle size distribution, and the emission characteristics of a CRDI engine fueled with PODE biodiesel blends at various injection pressures of 80, 90, and 100 Mpa, IT of 0.5°, 2.5°, and 4.5 °CA ATDC. With the delay in the injection timing, CO, HC, and soot emissions increased, whereas NOx reduced for B10 blend. The number of concentration curves of peak pressure with particle portion decreased while nucleation of particle proportion increased. Garza et al. [20] studied the influence of pilot injection strategy on the micro-level spray characteristics for both main and pilot injections considering biodiesels derived from six different feedstock oils. Ramachander et al. [21] studied the effect of IT and IOP on the performance and emission characteristics of CRDI diesel at various loads. At an IOP of 1000 bar, maximum BTE and lowered BSFC were observed. Furthermore, Box-Behnken based approach was used for predicting the optimal parameters for the engine operation. Deokar and Harari [22] studied the effect of IT, IOP, and NG on the emission and performance characteristics of modified diesel engine powered with thevetia peruviana methyl ester (TPME) as biodiesel. At IP of 230 bar, NG of 5-hole, and an IT of 26°, BTD improved engine performance with lower emissions observed. Sohayab Bahrami et al. [23] reported the influence of N2 and H2 on the performance and emission characteristics of RCCI engine using both simulation and experimental techniques. Improved engine performance resulted when both N2 and H2 were used together. Alper et al. [24] studied the influence of CR on combustion and emission characteristics of HCCI engine using ROH as biodiesel. The leaner mixture resulted in lower HRR and PP, respectively. Significant reduction in HC and CO emissions was observed except NOx with increased CR. Alper et al. [25] compared the emission, combustion, and performance characteristics of HCCI engine fueled with blends of methanol, naphtha, fusel, ethanol, isopropanol in varied proportions. Due to higher fuel water content in the F25 (Fusel—25% and diesel—75%), higher HC and CO emissions were found from the engine.
On the other hand, N25 (naphtha—25% and diesel—75%), showed lower emissions of HC and CO respectively. Mate Zoldy and Istvan Peter Kondor [26] reported the performance and emission characteristics of an engine fueled with waste Pyrolysis oil using both simulation and experimental methods. It is reported that Common Rail injectors were utilized without altering their geometric dimensions and the creation of optimized fuel-air combinations can result in lower values and increase the cavitation chances. Development possibilities with the use of different geometries and the refinement of pyrolysis oil are reported.
From the intricate literature review, combined effects of combustion chamber and nozzle geometry and their compatibility on the performance of CRDI engines powered with biodiesel blends of jamun seed, jackfruit seed, and cashew nutshell oils have not been reported in detail. The objective of the present work is to comprehensively evaluate the compatibility of nozzle geometry with different CCS on the emissions, combustion, and performance characteristics of single-cylinder, 4-stroke CRDI diesel engine powered with B20 blends of biodiesels derived from both cashew nutshell oil biodiesel (called CHNOB), jackfruit seed oil (called JACKFSNOB) and jamun seed oil biodiesel (called JAMSOB).

2. Materials and Methods

The fuels chosen have an important impact on diesel engine efficiency and emissions. Cashew nutshell, jackfruit seed and jamun seed oils are non-edible and can be utilized as viable alternatives to diesel. The weight of the jamun fruit is 10.88 to 7.10 gm while the seed weighs 1.85–1.43 gm and contains more polyphenol, tannin, and anthocyanin—observed in both seed and fruit. Cashew nutshell has a soft honeycomb texture and is about 0.3 cm thick. Cashew nutshell consists of three layers of endocarp, epicarp, and mesocarp. Shell oil is carried in the mesocarp, which is made of natural resin. Liquid oil extracted from dried cashew nutshell to decrease moisture content is dark, viscous, reddish-brown color. Shells from cashew nuts may be used as a biodiesel feedstock. Cashew nutshell oil consists of 10%-cardol and 90%-anacardic acid. Jackfruit contains flavored yellow colored edible bulbs and seeds are 2–4 cm length and 2.5 cm diameter. A complete fruit consists of almost 400–500 seeds that are non-edible and their oil can be extracted.
Table 1 and Table 2 show the fatty acid compositions of non-edible oils and their biodiesels.
The GC-MS chromatogram of the oils and their respective biodiesels are determined. A QP 2020 Gas chromatograph Mass Spectrometer (m/z range: 50–500) and GC-MS device (SHIMADZU) are used. For carrier gas Helium, 3 mL/min (flow rate) is utilized. Temperatures of column are maintained from 60 °C to 250 °C at 10 °C/min. The injector temperature is maintained at 250 °C, 1 μL of methanol on sample bases in split flow (100 mL/min) was injected.
In GC-MS analysis of cashew nutshell oil biodiesel, 53 compounds were detected. The molecular formula, molecular weight, and peak area were used to identify the compounds in line with ASTM D6584 criteria. In GC-MS analysis of jackfruit seed oil biodiesel, 64 compounds were detected. The molecular formula, molecular weight and peak area are used to identify the compounds according to ASTM D6584 criteria. In GC-MS analysis of jamun seed oil biodiesel, 64 compounds are detected. The molecular formula and weight, and the peak area were used to identify the compounds in line with ASTM D6584 criteria.
Biodiesels were prepared by conventional transesterification. The setup used for biodiesel production is shown in Figure 1. Table 3 shows the properties of diesel, B20 biodiesel blends of cashew nutshell, jackfruit seed and jamun seed oils, respectively.
The use of B100 fuel in diesel engine for a longer duration of operation leads to fuel injector clogging as the viscosity of the same is higher than the diesel. This leads to improper fuel injection into the engine cylinder and results in higher emissions of HC, CO, and smoke. Fuel filter clogging in cold conditions may affect the performance of the engine. B20 is a popular mixture since it offers an excellent price, all-weather performance, emissions, material compatibility, and solvent capabilities. Many diesel engine manufacturers endorse the usage of B20 as per different standards like European and ASTM.

Experimental Setup

Experimental investigations were carried out on the TV1-Kirloskar, 1C (cylinder)-4S-watercooled, DI-CI-diesel engine with a stroke length of 110 mm and bore of 87.5 mm (displacement volume of 660cc). The engine develops 5.2 kW@1500 rpm with a CR of 17.5. A U-type manometer (MX-201) with a range of 100-0-100 mm and eddy current dynamometer (type-AG-10 model) with arm length of 0.180 m and fuel measuring range of 0-50 ml were utilized. Pressure fuel injectors were used in CRDI-mode, which deals with high-pressure conditions for the pilot fuels used. A pressure transducer (piezoelectric pressure transducer) was affixed to the head of the cylinder for measuring in-cylinder pressure, with a resolution of 0.145 mV/kPa (PCB Piezotronics: Model-HSM 111A22). Hartridge smoke meter and a five-gas (DELTA-1600S-non-dispersive infrared analyzer), were used to measure tailpipe exhaust emissions after the engine reaches steady-state.
The experimental setup used for the investigation is shown in Figure 2.
Figure 3 shows the CRDI engine test rig used in the study and Figure 4 shows the ECU (Electronic Control Unit) facility.
Different combustion chamber (CC) shapes used include Hemispherical (HeCC), Cylindrical (CyCC), and Toroidal reentrant (TrCC), as shown in Figure 5. Three nozzle injectors with 6-, 7-, and 8-hole each of 0.1 m were considered as shown in Figure 6.
HRR of fuel induces changes in temperature inside the cylinder and gas pressure, which significantly impacts the power output, emissions, and fuel economy of the engine. It gives a clear idea of how the combustion mechanism works in the engine. As a result, finding the optimal HRR is crucial in engine science. Average pressure vs CA obtained from 100 cycles were used to quantify the heat release rate at each crank angle using a first law expression:
d Q n d θ = γ h γ h 1   ×   p d V d θ + 1 γ h 1   ×   V d p d θ + d Q w d θ
γ h = 1.35 6 × 10 5 × T m + 10 8 × T m 2
where, γh is specific heat ratio, P is Cylinder pressure, d Q w d θ is heat transfer to the wall (J), V is instantaneous vol. of the cylinder (m3).
From the differentiated cylinder pressure variance with time results, the start of combustion was estimated. Due to the unexpected high premixed heat release, the slope abruptly rises at the point of ignition. The point where 90% of the heat released was considered the end of the combustion. The ignition delay is the delay between when the injection starts and when the ignition starts.

3. Results and Discussions

In the present work, impact of both injector holes and combustion chamber shape on characteristics of CRDI engine powered with diesel, JAMNSOB, CHNOB, and JACKFSOB blends (B20) for 80% and 100% loads respectively are studied. For this, various injectors (6-, 7-, and 8-holes) are considered to keep optimized fuel ITs and injector opening pressure fixed for the selected biodiesel and their B20 blends. Accordingly, 10 °CA bTDC for diesel, and jackfruit biodiesel, while 20 °CA bTDC for jamun biodiesel and 15 °CA bTDC for cashew nut biodiesel are maintained constant. Optimized injector opening pressure of 1000 bar is kept constant for the experimental works. Different combustion chamber (CC) shapes used were Hemispherical (HeCC), Cylindrical (CyCC), and Toroidal reentrant (TrCC). They are shown in Figure 6. In the following part, the output of the single injection assisted CRDI engine was discussed.

3.1. Analysis of Uncertainty

The error analysis of experimental data was calculated by using systematic calculations. The overall uncertainty was calculated using the below equation:
U y y = i = 1 n 1 y y x i 2
where,
  • y—Specific factor which depends on the parameter xi
  • Uy—Level of uncertainties or variation in y
Overall uncertainty
Uncertainty   %   of   Engine   speed 2 + CO   emission 2 +   NOx   emission 2 + HC   emission 2 + Brake   thermal   efficiency 2 + Smoke   emission 2   = Uncertainty   %   of   0.35 + 0.45 + 0.3 + 0.5 + 0.6 + 0.3 = ±   1.58

3.2. Brake Thermal Efficiency

Figure 7a,b indicates BTE with considered fuels for 6-, 7-, and 8-hole injectors for 80 and 100% loads respectively. CRDI resulted in stronger BTE with 8-hole injectors for all considered fuels and injection strategies. Reduced wall impingement happens due to the lower fuel penetration depth, as the mass flow rate per hole decreased due to the number of holes increased from 6 to 8 [26].
Higher BTE may be due to more fuel being combusted and a higher proportion of fuel was vaporized due to using an 8-hole nozzle. Lower CN and volatility with higher viscosity of biodiesel blends could be the reason for their lower BTE compared to diesel.
Figure 8a,b illustrates BTE of considered biodiesels for various combustion chamber shapes (CCS) for 80 and 100% loads respectively. For the same operational conditions, increased BTE was obtained for diesel operation compared to biodiesel operation. This could be due to the influence of the respective fuel properties. Among the CCS used, TrCC exhibited increased BTE for all the fuel combinations. Proper mixture formation and enhanced flame propagation could be reasons for this improvement in BTE when TrCC is used [8]. HeCC and CyCC leads to combustion before TDC, which increases the compression work associated with improved ID and CD. This in turn, reduces BTE.
Among the considered nozzles and CCS, 8-hole type and TrCC showed overall improved performance compared to others. Among the injected biodiesels, JAMNSOB B20 blend shows higher BTE compared to CHNOB, JACKFSOB, respectively.

3.3. Emissions Characteristics

3.3.1. Smoke Emissions

Figure 9a,b illustrates the variation of smoke emissions with 6-, 7- and 8-hole injectors for 80 and 100% loads respectively. Among considered injectors, 8-hole type exhibited lower smoke emissions compared to others at optimized injection parameters. This was due to lesser impingement on walls, complete combustion, and more amount of fuel vaporization.
Compared to diesel, BDFs exhibited higher emissions due to their lower volatility, lower cetane number and higher viscosity resulting in inadequate fuel atomization.
Figure 10a,b depicts smoke emissions of selected biodiesels for various combustion chamber shapes (CCS) for 80 and 100% loads, respectively. As mentioned earlier, BDFs show higher emissions than diesel operation due to their lower volatility, Cetane Number (CN), and higher viscosity, resulting in poor fuel atomization and the associated air-fuel mixture formation inside the engine cylinder.
For the same optimized operating conditions, injected fuels of biodiesel with TrCC result in lower smoke levels than others. Increased turbulence in the combustion chamber, engine operation with TrCC results in uniform air-fuel mixing [6]. It contributes to enhanced combustion and easier soot particle oxidation. Increased turbulent kinetic energy is linked with TrCC compared to HeCC and CyCC and is also one of the main reasons for the observed trends. Among the injected biodiesels, JAMNSOB and its B20 blend show lower smoke emissions when compared to CHNOB and JACKFSOB with both the selected combustion chamber shapes and nozzle geometry, respectively, due to varied fuel properties.

3.3.2. HC-Emissions (HCE) and CO-Emissions (COE)

Figure 11a,b illustrates the variation of HC emissions with 6-, 7-, and 8 hole injectors for 80 and 100% loads, respectively. Among considered injectors, 8-hole type exhibits HC lower emissions compared to others with constant injection parameters. This could be due to a higher fuel vaporization reducing the wall impingement, providing improved combustion inside the engine cylinder. Compared to diesel operation, BDFs exhibits higher HC and CO emissions. This was attributed to their higher viscosity and lower BTE.
For the same optimized operating conditions, injected fuels of biodiesel with TrCC result in lower HC-emission levels than others. Because of the increased turbulence in the combustion chamber, engine operation with TrCC results in uniform air-fuel mixing, which contributes to enhanced combustion, as shown in Figure 12.
Figure 13a,b indicates the comparison of the engine out CO emissions of CRDI engine with pilot fuel injections using 6, 7, and 8 hole injectors for 80 and 100% loads, respectively. CRDI operation resulted in lowered CO emissions with 8-hole injector compared to 6-, 7-hole injectors for all the fuels and injection parameters used. This could be due to lowered fuel penetration distance that reduces the wall impingement as mass flow rate per hole gets reduced. More quantity of fuel participating in combustion and higher percentage of vaporization resulting from 8-hole nozzle could be other reasons for lowered trends of CO emissions [19]. Biodiesels show higher CO than diesel fuel due to their lower cetane number, higher viscosity, and lower volatility character that led to poor atomization though fuels are injected at the same IP.
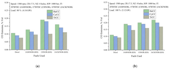
Figure 14a,b indicates CO emissions with selected biodiesels for various combustion chamber shapes (CCS) for 80 and 100% loads, respectively. From the figures, TrCC provides lower CO levels than HeCC and CyCC. TrCC ensures improved combustion of injected pilot B20 blends. This is due to increased swirl and squish motion obtained with TrCC, which involves higher BTE. For all the fuels, HeCC and CyCC provide non-uniform mixing and irregular swirls leading to partial combustion of higher viscous fuels.
Among the injected biodiesels, JAMNSOB B20 blend shows lower HC and CO emissions compared to CHNOB and JACKFSOB with the selected NG and combustion chamber shapes.

3.3.3. NOx Emissions

Figure 15a,b illustrates the NOx emissions for 6-, 7- and 8-hole injectors for 80 and 100% loads, respectively. Among considered injectors, 8-hole type exhibits higher NOx emissions compared to others with constant injection parameters. This can be due to reduced impingement of fuel on walls [22], improved combustion with more fuel involvement in uncontrolled combustion phase, which leads to the increment in HRR and cylinder pressure.
Compared to diesel, BDFs exhibited lower NOx emissions due to their cetane number (CN) and higher viscosity, resulting in inadequate fuel atomization.
Figure 16a,b illustrates NOx emissions with selected biodiesels for various combustion chamber shapes (CCS) for 80 and 100% loads, respectively. Biodiesel blends exhibit lower NOx emissions than diesel operation due to improved combustion of the latter fuel in the premixed phase. Biodiesel operation with TrCC results in enhanced turbulence, swirl, and improved air utilization compared to HeCC and CyCC, respectively.
Among the injected biodiesels, JAMNSOB and its B20 blend show higher NOx emissions than CHNOB and JACKFSOB with the selected CCS. This could be due to retarded combustion of CHNOB and JACKFSOB fuels by inadequate fuel mixing. Enhanced combustion occurs with JAMNSOB fuel due to the uniform mixing and enhanced part of combustion which occurs before TDC compared to other injected fuels.

3.4. Combustion Characteristics

Various combustion characteristic of PP, CD, ID, HRR with different injectors and combustion chambers is shown in Figure 17, Figure 18, Figure 19 and Figure 20 respectively.

3.4.1. Ignition Delay

Figure 17a,b illustrates a comparison of ID with selected biodiesels for various nozzle geometries for 80 and 100% loads, respectively. The IDs of BDFs are higher compared to diesel at low loads but higher at full load. Among considered injectors, the 8-hole type exhibits lower ignition delay compared to others. Increased temperature resulting from homogeneous mixtures could be the reason for the observed trends [10].
Figure 17. Effect of injector holes on Ignition Delay of CRDI engine powered with B20 fuels (a) 80% load (b) 100% load.
Figure 17. Effect of injector holes on Ignition Delay of CRDI engine powered with B20 fuels (a) 80% load (b) 100% load.
Sustainability 13 09613 g017
Figure 18a,b depicts the variation of ignition delay with selected biodiesels for various combustion chamber shapes for 80 and 100% loads, respectively. Biodiesels exhibit higher ignition delay than diesel fuel due to enhanced combustion of the latter during the premixed combustion phase. In contrast to diesel activity, differences in viscosity and volatility of injected biodiesels may be responsible for increased ignition delay. Biodiesel with a higher viscosity takes a longer time to burn at higher loads of operation. As the engine power output increases, more pilot fuel was pumped within the engine cylinder. As a result, the in-cylinder pressure rises. However, owing to elevated combustion temperatures in the engine cylinder and better air-fuel mixing, the delay time of biodiesels is reduced at higher loads. TrCC exhibits lower IDs due to improved air-fuel mixing and induced swirl, resulting in a higher combustion temperature. Among the injected biodiesels JAMNSOB B20 blend shows lower IDs when compared to CHNOB and JACKFSOB with the selected combustion chamber shapes. CC being common properties of injected fuel results in the ignition delay variations. Hence, for JAMNSOB B20 blend operation, the ignition delay is lower than other biodiesels.
Figure 18. Effect of combustion chamber shapes on Ignition Delay of CRDI engine powered with B20 fuels (a) 80% load (b) 100% load.
Figure 18. Effect of combustion chamber shapes on Ignition Delay of CRDI engine powered with B20 fuels (a) 80% load (b) 100% load.
Sustainability 13 09613 g018

3.4.2. Combustion Duration

Figure 19a,b illustrates a comparison of CD with selected biodiesels for various nozzle geometries for 80 and 100% loads, respectively. BDFs exhibit higher CD compared to diesel. However, at 100% load, the CD was higher than at 80% load due to the increased amount of pilot fuel injected inside the engine cylinder. In addition, for all fuels, an 8-hole injector results in lower CD than a 6- or 7-hole injector. These could be due to higher gas temperatures resulting from the formation of homogeneous mixtures.
Figure 19. Effect of injector holes on Combustion Duration for considered fuels (a) 80% load (b) 100% load.
Figure 19. Effect of injector holes on Combustion Duration for considered fuels (a) 80% load (b) 100% load.
Sustainability 13 09613 g019
Figure 20a,b depicts the variation of CD with selected biodiesel B20 blends for various combustion chamber shapes (CCS) for 80 and 100% loads, respectively. Combustion duration is higher for biodiesel and their blends compared to diesel and this could be due to differences in the fuel properties. When the engine is run with TrCC, the combustion time for biodiesels was observed to be shorter. This is attributed to the injected pilot fuels having a higher premixed combustion phase due to the higher BTE. TrCC provides improved mixing of air and fuel due to increased tumbling swirl and hence reduces CD [3]. However, results showed that the combustion of biodiesels with CyCC and HeCC is not favored positively. Among the injected biodiesels JAMNSOB B20 blend shows lower combustion duration when compared to CHNOB and JACKFSOB, respectively, with the selected combustion chamber shapes.
Figure 20. Effect of combustion chamber shapes on Combustion Duration of CRDI engine powered with B20 fuels (a) 80% load (b) 100% load.
Figure 20. Effect of combustion chamber shapes on Combustion Duration of CRDI engine powered with B20 fuels (a) 80% load (b) 100% load.
Sustainability 13 09613 g020

3.4.3. Peak Pressure (PP)

Figure 21a,b and Figure 22a,b depicts the variation of PP with selected biodiesels for different nozzle geometries and combustion chamber shapes (CCS) for 80 and 100% loads, respectively. Lower PP for BDFs was observed due to their high viscosity and lower volatility compared to diesel. Peak PP and HRR of BDFs are lower due to reduced oxidation of the air-fuel mixture formation [27,28]. The reduced energy content of BDF results in lower PP and HRR. In addition, for all fuels, an 8-hole injector results in a lower CD compared to 6- or 7-hole injectors. PP depends on the combustion rate, fuel consumption in rapid combustion period, and associated turbulence occurring in the engine cylinder. However, biodiesel operation with TrCC shows improved performance with higher peak pressure and HRR using optimum swirl [8] generated in the combustion chamber [29,30,31,32,33,34,35,36]. In this context, biodiesel operation with TrCC results in enhanced cylinder pressure and HRR when compared to CyCC and HeCC. Among the injected biodiesels JAMNSOB B20 blend shows higher PP when compared to CHNOB and JACKFSOB with the selected combustion chamber shapes. More fuel burning during the diffusion combustion phase with CHNOB and JACKFSOB operation can be the reduced HRR compared to JAMNSOB operation.

4. Conclusions

Compatibility of combustion chamber shapes and NG significantly impact the performance of high-pressure assisted CRDI modified diesel engines. The fuel used are B20 blends of cashew nutshell, jackfruit seed, and jamun seed oils using CHNOB(B20), JACKSOB(B20), and JAMNSOB(B20), respectively. The major conclusions from this research work are listed below.
  • BTE and PP were significantly improved by increasing the number of holes of the injector nozzle for considered B20 blends with low combustion parameters of ID and CD and emissions of HC, CO, and smoke.
  • Among the NG selected with varied holes, 8-hole type NG exhibited improved performance characteristics (BTE) with lower emissions of HC, CO, smoke and combustion characteristics of ID, CD, and high PP.
  • Significant improvement in BTE and PP is obtained with TrCC for B20 blends with lower combustion parameters of ID, CD, and lower HC, CO, and smoke emissions, respectively.
  • Combination of optimized CCS and NG can provide acceptable performance of high-pressure diesel engine fueled with renewable fuels.
  • Among considered biodiesels, JAMNSOB(B20) exhibited good performance characteristics (BTE) with lower emissions of HC, CO, smoke and combustion characteristics of ID, CD, and high PP, respectively.
  • At 80% load, for jamun seed B20 operation 8-hole injector BTE, NOx, and PP increased by 5.58%, 2.5%, 14.4%. Smoke, HC, CO, ID, CD decreased by 27.5%, 37.9%, 36.8%, 13.3%, 33.3%, decreased when compared to jackfruit using 6-hole injector.
  • At 80% load, for jamun seed B20 operation using TRCC BTE, NOx, and PP increased by 7.65%, 3.6%, 23.43%. Smoke, HC, CO, ID, CD decreased by 37.5%, 55.1%, 68.4%, 16.6%, 60% when compared to jackfruit using HCC.
  • At 100% load, for jamun seed B20 operation using 8-hole injector BTE, NOx, and PP increased by 6.9%, 2.7%, 10.3%. Smoke, HC, CO, ID, CD decreased by 19.6%, 22.9%, 37.9%, 12.1%, 29.4%, decreased when compared to jackfruit using 6-hole injector.
  • At 100% load, for jamun seed B20 operation using TRCC BTE, NOx and PP increased by 9.5%, 3.5%, 18.0%. Smoke, HC, CO, ID, CD decreased by 26.2%, 33.3%, 51.72%, 17%, 44.1% when compared to jackfruit using HCC.

Author Contributions

Conceptualization, K.M.V.R.T., P.I.P., K.V.K.R.; methodology, K.M.V.R.T., P.I.P., K.V.K.R., N.R.B.; validation, M.E.M.S., T.M.Y.K., I.A.B.; formal analysis, N.R.B.; M.E.M.S., T.M.Y.K., I.A.B. investigation, N.R.B.; resources, K.M.V.R.T., P.I.P., K.V.K.R., N.R.B.; writing—original draft preparation, K.M.V.R.T., P.I.P., K.V.K.R., N.R.B.; writing—review and editing, M.E.M.S., T.M.Y.K., I.A.B.; visualization, K.M.V.R.T., P.I.P., K.V.K.R.; supervision, N.R.B.; funding acquisition, I.A.B. All authors have read and agreed to the published version of the manuscript.

Funding

This work was funded by King Khalid University and the Ministry of Education in KSA under the Grant number IFP-KKU-2020/1.

Institutional Review Board Statement

Not applicable.

Informed Consent Statement

Not applicable.

Data Availability Statement

Not aplicable.

Acknowledgments

The authors extend their appreciation to the Scientific Research Deanship at King Khalid University and the Ministry of Education in KSA for funding this research work through the project number IFP-KKU-2020/1.

Conflicts of Interest

The authors declare no conflict of interest.

References

  1. Nandakumar, C.; Raman, V.; Saravanan, C.G.; Vikneswaran, M.; Prasanna Raj Yadav, S.; Thirunavukkarasu, M. Effect of nozzle hole geometry on the operation of kapok biodiesel in a diesel engine. Fuel 2020, 276, 118114. [Google Scholar] [CrossRef]
  2. Shivashimpi, M.M.; Alur, S.A.; Topannavar, S.N.; Dodamani, B.M. Combined effect of combustion chamber shapes and nozzle geometry on the performance and emission characteristics of CI engine operated on Pongamia. Energy 2018, 154, 17–26. [Google Scholar] [CrossRef]
  3. Kashipura, N.; Nagaraj AM, B.N. Effect of Combustion Chamber Shapes on the Performance of Duel Fuel Engine Operated on Rice Bran Oil Methyl Ester and Producer Gas. J. Pet. Environ. Biotechnol. 2015, 6, 4–11. [Google Scholar] [CrossRef]
  4. Payri, R.; Salvador, F.J.; Gimeno, J.; de la Morena, J. Effects of nozzle geometry on direct injection diesel engine combustion process. Appl. Therm. Eng. 2009, 29, 2051–2060. [Google Scholar] [CrossRef] [Green Version]
  5. Som, S.; Ramirez, A.I.; Longman, D.E.; Aggarwal, S.K. Effect of nozzle orifice geometry on spray, combustion, and emission characteristics under diesel engine conditions. Fuel 2011, 90, 1267–1276. [Google Scholar] [CrossRef]
  6. Venu, H.; Raju, V.D.; Subramani, L. Combined effect of influence of nano additives, combustion chamber geometry and injection timing in a DI diesel engine fuelled with ternary (diesel-biodiesel-ethanol) blends. Energy 2019, 174, 386–406. [Google Scholar] [CrossRef]
  7. Yadollahi, B.; Boroomand, M. The effect of combustion chamber geometry on injection and mixture preparation in a CNG direct injection SI engine. Fuel 2013, 107, 52–62. [Google Scholar] [CrossRef]
  8. Khan, S.; Panua, R.; Bose, P.K. The impact of combustion chamber configuration on combustion and emissions of a single cylinder diesel engine fuelled with soybean methyl ester blends with diesel. Renew. Energy 2019, 143, 335–351. [Google Scholar] [CrossRef]
  9. Vellaiyan, S. Enhancement in combustion, performance, and emission characteristics of a biodiesel-fueled diesel engine by using water emulsion and nanoadditive. Renew. Energy 2019, 145, 2108–2120. [Google Scholar] [CrossRef]
  10. Hanoğlu, A.; Çay, A.; Yanık, J. Engine performance, emission and bio characteristics of rice bran oil derived biodiesel blends. Fuel 2019, 239, 153–161. [Google Scholar] [CrossRef]
  11. Calder, J.; Roy, M.M.; Wang, W. Performance and emissions of a diesel engine fueled by biodiesel-diesel blends with recycled expanded polystyrene and fuel stabilizing additive. Energy 2018, 149, 204–212. [Google Scholar] [CrossRef]
  12. Suwanmanee, U.; Bangjang, T.; Kaewchada, A.; Jaree, A. Greenhouse gas emissions and energy assessment of modified diesohol using cashew nut shell liquid and biodiesel as additives. Sustain. Prod. Consum. 2020, 24, 232–253. [Google Scholar] [CrossRef]
  13. Kasiraman, G.; Edwin Geo, V.; Nagalingam, B. Assessment of cashew nut shell oil as an alternate fuel for CI (Compression ignition) engines. Energy 2016, 101, 402–410. [Google Scholar] [CrossRef]
  14. Soudagar, M.E.M.; Mujtaba, M.A.; Safaei, M.R.; Afzal, A.; Raju, V.D.; Ahmed, W.; Banapurmath, N.R.; Hossain, N.; Bashir, S.; Badruddin, I.A.; et al. Effect of Sr@ZnO nanoparticles and Ricinus communis biodiesel-diesel fuel blends on modified CRDI diesel engine characteristics. Energy 2021, 215, 119094. [Google Scholar] [CrossRef]
  15. Khan, T.M.Y. A Review of Performance-Enhancing Innovative Modifications in Biodiesel. Energies 2020, 13, 4395. [Google Scholar] [CrossRef]
  16. Kiran, C.H.; Ganesh, D.B.; Banapurmath, N.; Chinmay, G.S. Effect of Mix waste cooking-oil biodiesel on performance and exhaust emissions of a CRDI engine. J. Phys. Conf. Ser. 2020, 1473, 012035. [Google Scholar] [CrossRef]
  17. Ravishankar, S.S.; Mehrotra, A.; Rambhaji, G.P.; Juttu, S. Computational and Experimental Investigation of Different Bowl Geometries on a CRDi Engine to Improve NOx-PM Trade-Off and Fuel Efficiency. In SAE 2014 International Powertrain, Fuels & Lubricants Meeting; SAE Technical Paper 2014-01-2646; SAE International: Warrendale, PA, USA, October 2014. [Google Scholar] [CrossRef]
  18. Sabareesh Kumaran, S.; Raghu, P. Effect of Nozzle Hole Number on Diesel Engine Using Diesel and Biodiesel Blends. IOP Conf. Ser. Mater. Sci. Eng. 2020, 912, 042007. [Google Scholar] [CrossRef]
  19. Wang, T.; Liu, J.; Sun, P.; Ji, Q.; Gao, W.; Yang, C. Influence of injection parameters on combustion, gaseous emissions and particle size distribution of a CRDI diesel engine operating with PODE/diesel blends. Fuel 2020, 281, 118733. [Google Scholar] [CrossRef]
  20. De la Garza, O.A.; Martínez-Martínez, S.; Avulapati, M.M.; Pos, R.; Megaritis, T.; Ganippa, L. Biofuels and its spray interactions under pilot-main injection strategy. Energy 2021, 219, 119464. [Google Scholar] [CrossRef]
  21. Ramachander, J.; Gugulothu, S.K.; Sastry, G.R.K.; Kumar Panda, J.; Surya, M.S. Performance and emission predictions of a CRDI engine powered with diesel fuel: A combined study of injection parameters variation and Box-Behnken response surface methodology based optimization. Fuel 2021, 290, 120069. [Google Scholar] [CrossRef]
  22. Deokar, A.J.; Harari, P.A. Effect of injection pressure, injection timing and nozzle geometry on performance and emission characteristics of diesel engine operated with thevetia peruviana biodiesel. Mater. Today Proc. 2021. [Google Scholar] [CrossRef]
  23. Bahrami, S.; Poorghasemi, K.; Solmaz, H.; Calam, A.; İpci, D. Effect of nitrogen and hydrogen addition on performance and emissions in reactivity controlled compression ignition. Fuel 2021, 292, 120330. [Google Scholar] [CrossRef]
  24. Calam, A.; Solmaz, H.; Yılmaz, E.; İçingür, Y. Investigation of effect of compression ratio on combustion and exhaust emissions in A HCCI engine. Energy 2019, 168, 1208–1216. [Google Scholar] [CrossRef]
  25. Calam, A.; Aydoğan, B.; Halis, S. The comparison of combustion, engine performance and emission characteristics of ethanol, methanol, fusel oil, butanol, isopropanol and naphtha with n-heptane blends on HCCI engine. Fuel 2020, 266, 117071. [Google Scholar] [CrossRef]
  26. Zöldy, M.; Kondor, I.P. Simulation and Injector Bench Test Validation of Different Nozzle Hole Effect on Pyrolysis Oil-Diesel Oil Mixtures. Energies 2021, 14, 2396. [Google Scholar] [CrossRef]
  27. Sateesh, K.A.; Yaliwal, V.S.; Soudagar, M.E.M.; Banapurmath, N.R.; Fayaz, H.; Safaei, M.R.; EL-Seesy, A.I. Utilization of biodiesel/Al2O3 nanoparticles for combustion behavior enhancement of a diesel engine operated on dual fuel mode. J. Therm. Anal. and Calorim. 2021, 1–15. [Google Scholar] [CrossRef]
  28. Wategave, S.P.; Banapurmath, N.R.; Sawant, M.S.; Soudagar, M.E.M.; Mujtaba, M.A.; Afzal, A.; Basha, J.S.; Alazwari, M.A.; Safaei, M.R.; Elfasakhany, A.; et al. Clean combustion and emissions strategy using reactivity controlled compression ignition (RCCI) mode engine powered with CNG-Karanja biodiesel. J. Taiwan Inst. Chem. Eng. 2021, 124, 116–131. [Google Scholar] [CrossRef]
  29. Akkoli, K.M.; Banapurmath, N.R.; Shivashimpi, M.M.; Soudagar, M.E.M.; Badruddin, I.A.; Alazwari, M.A.; Yaliwal, V.S.; Mujtaba, M.A.; Akram, N.; Goodarzi, M.; et al. Effect of injection parameters and producer gas derived from redgram stalk on the performance and emission characteristics of a diesel engine. Alex. Eng. J. 2021, 60, 3133–3142. [Google Scholar] [CrossRef]
  30. Banapurmath, N.R.; Soudagar, M.E.; Ganachari, S.V.; Kulkarni, P.S.; Kumar, N.K.; Yaliwal, V.S. An exhaustive study on the use of Jatropha based biodiesel for modern diesel engine applications. In Biodiesel Fuels Based on Edible and Non-Edible Feedstocks, Wastes, and Algae, 1st ed.; CRC Press: Boca Raton, FL, USA, 2021; pp. 541–559. [Google Scholar] [CrossRef]
  31. Harari, P.A.; Banapurmath, N.R.; Yaliwal, V.S.; Khan, T.Y.; Soudagar, M.E.M.; Sajjan, A.M. Experimental studies on performance and emission characteristics of reactivity controlled compression ignition (RCCI) engine operated with gasoline and Thevetia Peruviana biodiesel. Renew. Energy 2020, 160, 865–875. [Google Scholar] [CrossRef]
  32. Venu, H.; Raju, V.D.; Lingesan, S.; Soudagar, M.E.M. Influence of Al2O3nano additives in ternary fuel (diesel-biodiesel-ethanol) blends operated in a single cylinder diesel engine: Performance, Combustion and Emission Characteristics. Energy 2021, 215, 119091. [Google Scholar] [CrossRef]
  33. El-Seesy, A.I.; Hassan, H.; Ibraheem, L.; He, Z.; Soudagar, M.E.M. Combustion, emission, and phase stability features of a diesel engine fueled by Jatropha/ethanol blends and n-butanol as co-solvent. Int. J. Green Energy 2020, 17, 793–804. [Google Scholar] [CrossRef]
  34. Gavhane, R.S.; Kate, A.M.; Pawar, A.; Safaei, M.R.; Soudagar, M.E.M.; Mujtaba Abbas, M.; Muhammad Ali, H.; Banapurmath, N.R.; Goodarzi, M.; Badruddin, I.A. Effect of Zinc Oxide Nano-Additives and Soybean Biodiesel at Varying Loads and Compression Ratios on VCR Diesel Engine Characteristics. Symmetry 2020, 12, 1042. [Google Scholar] [CrossRef]
  35. Kareemullah, M.; Afzal, A.; Rehman, K.F.; KC, V.; Khan, H.; Soudagar, M.E.M.; Kaladgi, A.R. Preparation and physicochemical properties evaluation of epoxidized neem oil-based bio-lubricant. Aust. J. Mech. Eng. 2021, 1–10. [Google Scholar] [CrossRef]
  36. Keerthi Kumar, N.; Banapurmath, N.; Chandrashekar, T.; Jatadhara, G.; Soudagar, M.E.M.; Anqi, A.E.; Mujtaba, M.; Goodarzi, M.; Elfasakhany, A.; Siddiqui, M.I.H. Effect of Parameters Behavior of Simarouba Methyl Ester Operated Diesel Engine. Energies 2021, 14, 4973. [Google Scholar] [CrossRef]
Figure 1. Biodiesels production by transesterification method. (a) BDF production set up; (b) Separation of glycerin from BDF; (c) Dissolved catalyst removal from BDF.
Figure 1. Biodiesels production by transesterification method. (a) BDF production set up; (b) Separation of glycerin from BDF; (c) Dissolved catalyst removal from BDF.
Sustainability 13 09613 g001
Figure 2. Schematic view of the experimental test rig [14].
Figure 2. Schematic view of the experimental test rig [14].
Sustainability 13 09613 g002
Figure 3. CRDI system integrated CI engine.
Figure 3. CRDI system integrated CI engine.
Sustainability 13 09613 g003
Figure 4. ECU facilitated CRDI injectors.
Figure 4. ECU facilitated CRDI injectors.
Sustainability 13 09613 g004
Figure 5. Combustion chamber shapes used (a) HeCC, (b) CyCC and (c) TrCC.
Figure 5. Combustion chamber shapes used (a) HeCC, (b) CyCC and (c) TrCC.
Sustainability 13 09613 g005
Figure 6. CRDI fuel injector nozzle.
Figure 6. CRDI fuel injector nozzle.
Sustainability 13 09613 g006
Figure 7. Effect of injector holes on BTE of CRDI engine powered with B20 fuels (a) 80% load (b) 100% load.
Figure 7. Effect of injector holes on BTE of CRDI engine powered with B20 fuels (a) 80% load (b) 100% load.
Sustainability 13 09613 g007
Figure 8. Effect of combustion chamber shapes on BTE of CRDI engine powered with B20 fuels (a) 80% load (b) 100% load.
Figure 8. Effect of combustion chamber shapes on BTE of CRDI engine powered with B20 fuels (a) 80% load (b) 100% load.
Sustainability 13 09613 g008
Figure 9. Effect of injector holes on smoke emission of CRDI engine powered with B20 fuels (a) 80% load (b) 100% load.
Figure 9. Effect of injector holes on smoke emission of CRDI engine powered with B20 fuels (a) 80% load (b) 100% load.
Sustainability 13 09613 g009
Figure 10. Effect of combustion chamber shapes on smoke emission of CRDI engine powered with B20 fuels (a) 80% load (b) 100% load.
Figure 10. Effect of combustion chamber shapes on smoke emission of CRDI engine powered with B20 fuels (a) 80% load (b) 100% load.
Sustainability 13 09613 g010
Figure 11. Effect of injector holes on HC emission of CRDI engine powered with B20 fuels (a) 80% load (b) 100% load.
Figure 11. Effect of injector holes on HC emission of CRDI engine powered with B20 fuels (a) 80% load (b) 100% load.
Sustainability 13 09613 g011
Figure 12. Effect of combustion chamber shapes on HC emission of CRDI engine powered with B20 fuels (a) 80% load (b) 100% load.
Figure 12. Effect of combustion chamber shapes on HC emission of CRDI engine powered with B20 fuels (a) 80% load (b) 100% load.
Sustainability 13 09613 g012
Figure 13. Effect of injector holes on CO emission of CRDI engine powered with B20 fuels (a) 80% load (b) 100% load.
Figure 13. Effect of injector holes on CO emission of CRDI engine powered with B20 fuels (a) 80% load (b) 100% load.
Sustainability 13 09613 g013
Figure 14. Effect of combustion chamber shapes on CO emission of CRDI engine powered with B20 fuels (a) 80% load (b) 100% load.
Figure 14. Effect of combustion chamber shapes on CO emission of CRDI engine powered with B20 fuels (a) 80% load (b) 100% load.
Sustainability 13 09613 g014
Figure 15. Effect of injector holes on NOx emission of CRDI engine powered with B20 fuels (a) 80% load (b) 100% load.
Figure 15. Effect of injector holes on NOx emission of CRDI engine powered with B20 fuels (a) 80% load (b) 100% load.
Sustainability 13 09613 g015
Figure 16. Effect of combustion chamber shapes on NOx emission of CRDI engine powered with B20 fuels (a) 80% load (b) 100% load.
Figure 16. Effect of combustion chamber shapes on NOx emission of CRDI engine powered with B20 fuels (a) 80% load (b) 100% load.
Sustainability 13 09613 g016
Figure 21. Effect of injector holes on PP for considered fuels (a) 80% load (b) 100% load.
Figure 21. Effect of injector holes on PP for considered fuels (a) 80% load (b) 100% load.
Sustainability 13 09613 g021
Figure 22. Effect of combustion chamber shapes on Combustion Duration of CRDI engine powered with B20 fuels (a) 80% load (b) 100% load.
Figure 22. Effect of combustion chamber shapes on Combustion Duration of CRDI engine powered with B20 fuels (a) 80% load (b) 100% load.
Sustainability 13 09613 g022
Table 1. Fatty acid compositions of non-edible oils.
Table 1. Fatty acid compositions of non-edible oils.
Fatty AcidsCashew Nutshell Oil
Vol%
Jamun Seed Oil
Vol%
Jackfruit Seed Oil
Vol%
Palmitic C16:00.8932.186.60
Stearic C18:011.24-50.59
Oleic C18:173.821.097.68
Linoleic C18:27.6726.0420.40
Linoleic C18:32824.8020.40
Table 2. Fatty acid compositions of biodiesel.
Table 2. Fatty acid compositions of biodiesel.
Fatty AcidsCashew Nutshell Oil
Vol%
Jamun Seed Oil
Vol%
Jackfruit Seed Oil
Vol%
Palmitic C16:012.54.72
Stearic C18:06.66.51.5
Oleic C18:128.932.25
Linoleic C18:235.516.130
Linoleic C18:316.5214.5
Table 3. Properties of Diesel, B20 biodiesel blends of cashew nutshell, jackfruit seed and jamun seed oils with diesel.
Table 3. Properties of Diesel, B20 biodiesel blends of cashew nutshell, jackfruit seed and jamun seed oils with diesel.
ParametersDieselJackfruit Seed Oil (B20)Cashew Nutshell Oil (B20)Jamun Seed Oil (B20)
Density (kg/m3)830925858861
Calorific value (kJ/kg)43,00038,71238,91239,716
Flashpoint (°C)54203111116
Cetane Number45–55504848
Kinematic Viscosity, cSt2.34.34.124.62
Specific Gravity0.8450.9250.8580.861
Type of oilFossil fuelNon-EdibleNon-EdibleNon-Edible
Publisher’s Note: MDPI stays neutral with regard to jurisdictional claims in published maps and institutional affiliations.

Share and Cite

MDPI and ACS Style

Teja, K.M.V.R.; Prasad, P.I.; Reddy, K.V.K.; Banapurmath, N.R.; Soudagar, M.E.M.; Khan, T.M.Y.; Badruddin, I.A. Influence of Combustion Chamber Shapes and Nozzle Geometry on Performance, Emission, and Combustion Characteristics of CRDI Engine Powered with Biodiesel Blends. Sustainability 2021, 13, 9613. https://doi.org/10.3390/su13179613

AMA Style

Teja KMVR, Prasad PI, Reddy KVK, Banapurmath NR, Soudagar MEM, Khan TMY, Badruddin IA. Influence of Combustion Chamber Shapes and Nozzle Geometry on Performance, Emission, and Combustion Characteristics of CRDI Engine Powered with Biodiesel Blends. Sustainability. 2021; 13(17):9613. https://doi.org/10.3390/su13179613

Chicago/Turabian Style

Teja, K. M. V. Ravi, P. Issac Prasad, K. Vijaya Kumar Reddy, N. R. Banapurmath, Manzoore Elahi M. Soudagar, T. M. Yunus Khan, and Irfan Anjum Badruddin. 2021. "Influence of Combustion Chamber Shapes and Nozzle Geometry on Performance, Emission, and Combustion Characteristics of CRDI Engine Powered with Biodiesel Blends" Sustainability 13, no. 17: 9613. https://doi.org/10.3390/su13179613

APA Style

Teja, K. M. V. R., Prasad, P. I., Reddy, K. V. K., Banapurmath, N. R., Soudagar, M. E. M., Khan, T. M. Y., & Badruddin, I. A. (2021). Influence of Combustion Chamber Shapes and Nozzle Geometry on Performance, Emission, and Combustion Characteristics of CRDI Engine Powered with Biodiesel Blends. Sustainability, 13(17), 9613. https://doi.org/10.3390/su13179613

Note that from the first issue of 2016, this journal uses article numbers instead of page numbers. See further details here.

Article Metrics

Back to TopTop