Study on the Aging Resistance of Polyurethane Precursor Modified Bitumen and its Mechanism
Abstract
:1. Introduction
2. Materials and Methods
2.1. Materials
2.2. Preparation of PRM-Modified Bitumen
2.3. Aging Methods
2.4. Chemical Characterization
2.4.1. Fourier-Transform Infrared (FTIR) Analysis
2.4.2. Differential Scanning Calorimeter (DSC) Analyses
2.5. Mechanical Properties
2.5.1. Physical Properties Tests
2.5.2. Rheological Properties Tests
2.5.3. High-Temperature Properties Tests
2.5.4. Low-Temperature Properties Tests
2.5.5. Fatigue Properties Tests
3. Results and Discussions
3.1. Chemical Characterization
3.1.1. Functional Groups Analysis by FTIR
3.1.2. Physical Change Analysis by DSC
3.2. Physical Properties Analysis
3.2.1. Viscosity Change Analysis by VAI
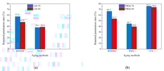
3.2.2. Penetration Change Analysis by RPR
3.2.3. Softening Point Change Analysis by SPI
3.3. Rheological Analysis
3.3.1. Temperature Sweeps
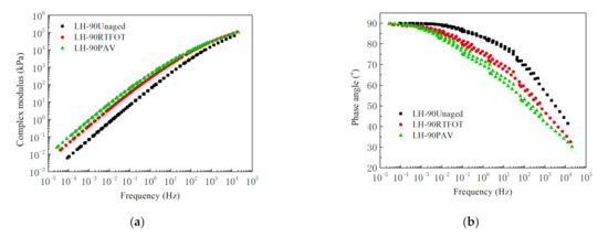
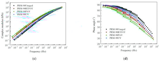
3.3.2. Master Curves
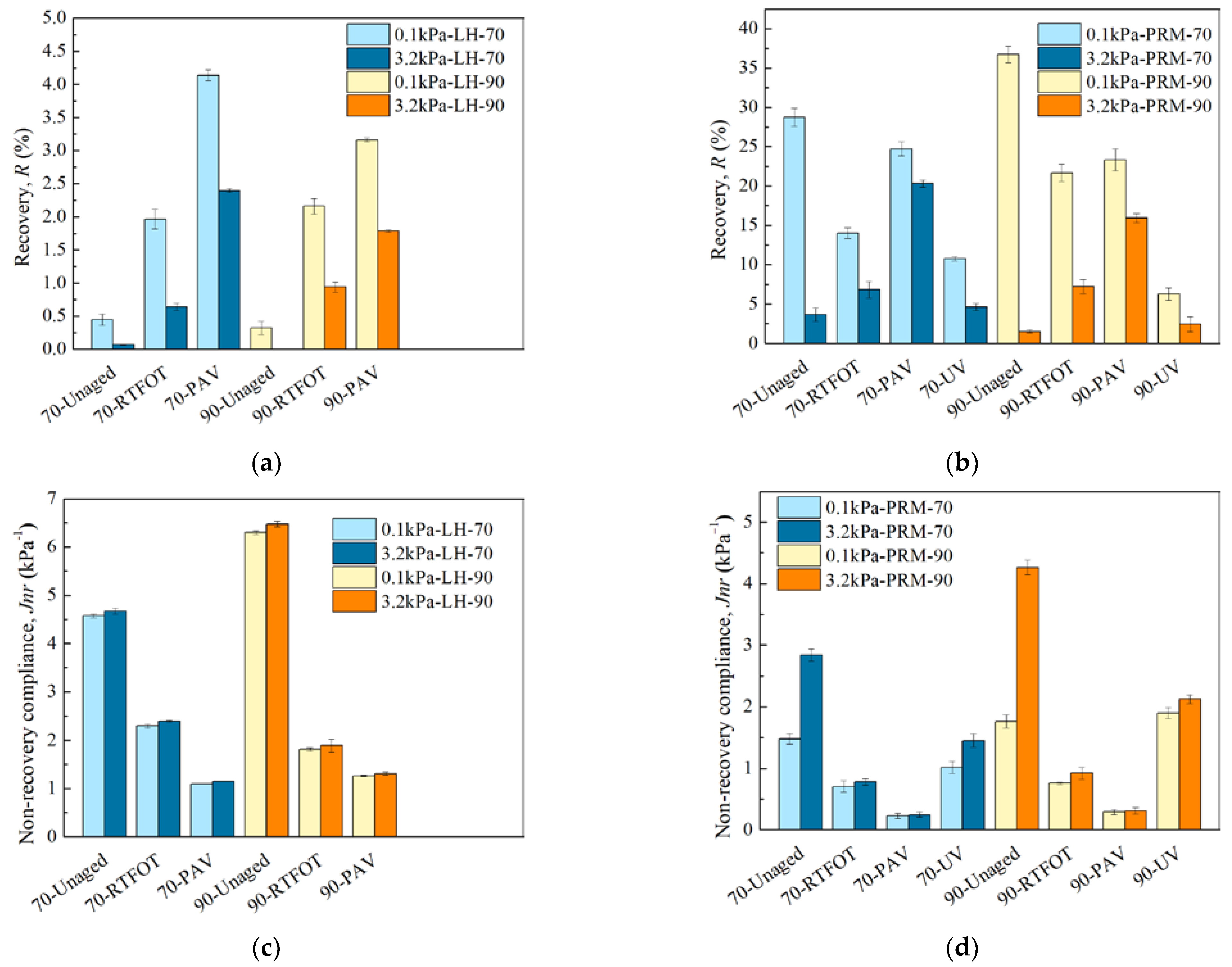
3.3.3. Permanent Deformation Resistance by MSCR
3.3.4. Low-Temperature Cracking Resistance by the Bending Beam Rheometer (BBR)
3.3.5. Fatigue Resistance by LAS
3.4. Radar Charts
4. Conclusions
- (1)
- The chemical investigations using the FTIR show that the thermal-oxidation aging and UV aging have a stronger influence on the formation of carbonyl structures than for the sulfoxide structures. The thermal-oxidation aging and UV aging can both lead to a decrease in the glass transition temperature.
- (2)
- The evaluation of aging behaviors by physical tests shows that the susceptibility of PRM-modified bitumen to the thermal-oxidation aging and UV aging is different. The semi-empirical indexes (i.e., VAI, RPR, SPI) cannot accurately reflect the UV aging resistance of PRM-modified bitumen. There are no consistency results presented when using the semi-empirical aging index to evaluate the thermal-oxidation and UV aging resistance of PRM-modified bitumen.
- (3)
- The thermal-oxidation aging and UV aging have a significant influence on the high-temperature performance, low-temperature performance, and anti-fatigue performance for PRM-modified bitumen. The general trends of performance degradation present consistent results with the rheological tests.
- (4)
- The influence of thermal-oxidation and UV aging on the mechanical and chemical performance of PRM-90 is more obvious than those of PRM-70. The use of low-penetration-grade bitumen and ensuring an adequate reaction are beneficial to enhance the aging resistance of PRM-modified bitumen. Due to the effect of aging, the change of high-temperature performance of PRM-modified bitumen is great, followed by the low-temperature performance and the anti-fatigue performance. The mechanically relevant rheological aging index (CAI) and fracture energy index (FEI) are recommended to be used in the evaluation of aging properties.
Author Contributions
Funding
Institutional Review Board Statement
Informed Consent Statement
Data Availability Statement
Acknowledgments
Conflicts of Interest
References
- Carreño Gómez, N.H.; Oeser, M. Investigation on the use of a novel chemical bitumen additive with reclaimed asphalt and at lower mix production and construction temperatures: A case study. Road Mater. Pavement Des. 2021, 22, S641–S661. [Google Scholar] [CrossRef]
- Li, T.S.; Carreño Gómez, N.H.; Lu, G.Y.; Liang, D.; Oeser, M. Use of Polyurethane Precursor–Based Modifier as an Eco-Friendly Approach to Improve Performance of Asphalt. J. Transp. Eng. Part B Pavements 2021, 147, 04021031. [Google Scholar] [CrossRef]
- Lu, X.; Isacsson, U. Effect of ageing on bitumen chemistry and rheology. Constr. Build. Mater. 2002, 16, 15–22. [Google Scholar] [CrossRef]
- Li, Y.T.; Li, L.F.; Zhang, Y.; Zhao, S.F.; Xie, L.D.; Yao, S.D. Improving the aging resistance of styrene-butadiene-styrene tri-block copolymer and application in polymer-modified asphalt. J. Appl. Polym. Sci. 2010, 116, 754–761. [Google Scholar] [CrossRef]
- Lesueur, D. The colloidal structure of bitumen: Consequences on the rheology and on the mechanisms of bitumen modification. Adv. Colloid Interface Sci. 2009, 145, 42–82. [Google Scholar] [CrossRef] [PubMed]
- Siddiqui, M.N.; Ali, M.F. Investigation of chemical transformations by nmr and gpc during the laboratory aging of arabian asphalt. Fuel 1999, 78, 1407–1416. [Google Scholar] [CrossRef]
- Ruan, Y.; Davison, R.R.; Glover, C.J. The effect of long-term oxidation on the rheological properties of polymer modified asphalts. Fuel 2003, 82, 1763–1773. [Google Scholar] [CrossRef]
- Gawel, I.; Baginska, K. Effect of chemical nature on the susceptibility of asphalt to aging. Pet. Sci. Technol. 2004, 22, 1261–1271. [Google Scholar] [CrossRef]
- Yu, J.Y.; Feng, P.C.; Zhang, H.L.; Wu, S.P. Effect of organo-montmorillonite on aging properties of asphalt. Constr. Build. Mater. 2009, 23, 2636–2640. [Google Scholar] [CrossRef]
- Petersen, J.C.; Branthaver, J.F.; Robertson, R.E.; Harnsberger, P.M.; Duvall, J.J.; Ensley, E.K. Effects of physicochemical factors on asphalt oxidation kinetics. Transp. Res. Rec. 1993, 1391, 1–12. [Google Scholar]
- Curtis, C.W.; Ensley, K.; Epps, J. Fundamental Properties of Asphalt-Aggregate Interactions Including Adhesion and Absorption. Strategic Highway Research Program, National Academy of Sciences. 1993. Available online: https://trid.trb.org/view.aspx?id=386722 (accessed on 20 July 2021).
- Cortizo, M.S.; Larsen, D.O.; Alessandrini, J.L. Effect of the thermal degradation of sbs copolymers during the ageing of modified asphalts. Polym. Degrad. Stab. 2004, 86, 275–282. [Google Scholar] [CrossRef]
- Wang, S.; Wang, Q.; Li, S. Thermooxidative aging mechanism of crumb-rubber-modified asphalt. J. Appl. Polym. Sci. 2016, 133, 43323. [Google Scholar] [CrossRef]
- Nie, Y.H.; Zhang, Y.L.; Yu, J.Y.; Kuang, D.L.; Zhang, X.P. Research on aging mechanism and recycling mechanism based on asphalt four components analysis. Appl. Mech. Mater. 2012, 204–208, 1659–1664. [Google Scholar] [CrossRef]
- Xu, G.; Hao, W. Molecular dynamics study of oxidative aging effect on asphalt binder properties. Fuel 2017, 188, 1–10. [Google Scholar] [CrossRef]
- Chen, A.; Liu, G.; Zhao, Y.; Li, J.; Pan, Y.; Zhou, J. Research on the aging and rejuvenation mechanisms of asphalt using atomic force microscopy. Constr. Build. Mater. 2018, 167, 177–184. [Google Scholar] [CrossRef]
- Bahia, H.U.; Anderson, D.A. Glass transition behavior and physical hardening of asphalt binders (with discussion). J. Assoc. Asph. Paving Technol. 1993, 62, 93–129. [Google Scholar]
- Hesp, S.A.M.; Iliuta, S.; Shirokoff, J.W. Reversible aging in asphalt binders. Energy Fuels 2007, 21, 1112–1121. [Google Scholar] [CrossRef] [Green Version]
- Bele, A.; Merijs-Meri, R.; Bērzia, R.; Zicāns, J.; Ivanova, T. Effect of bio-oil on rheological and calorimetric properties of RTFOT aged bituminous compositions. Int. J. Pavement Res. Technol. 2020, 14, 537–542. [Google Scholar]
- Izquierdo, M.A.; Navarro, F.J.; Martínez-Boza, F.J.; Gallegos, C. Structure—Property relationships in the development of bituminous foams from PRM based prepolymers. Rheol. Acta 2014, 53, 123–131. [Google Scholar] [CrossRef]
- Dong, Z.J.; Zhou, T.; Luan, H.; Williams, R.C.; Wang, P.; Leng, Z. Composite modification mechanism of blended bio-asphalt combining styrene-butadiene-styrene with crumb rubber: A sustainable and environmental-friendly solution for wastes. J. Clean. Prod. 2019, 214, 593–605. [Google Scholar] [CrossRef]
- Liu, H.; Chen, Z.; Wang, W.; Wang, H.; Hao, P. Investigation of the rheological modification mechanism of crumb rubber modified asphalt (crma) containing tor additive. Constr. Build. Mater. 2014, 67, 225–233. [Google Scholar] [CrossRef]
- Soenen, H.; Besamusca, J.; Hartmut, R. Laboratory investigation of bitumen based on round robin dsc and afm tests. Mater. Struct. 2014, 47, 1205–1220. [Google Scholar] [CrossRef]
- Planche, J.P.; Claudy, P.M.; Létoffé, J.M.; Martin, D. Using thermal analysis methods to better understand asphalt rheology. Thermochim. Acta 1998, 324, 223–227. [Google Scholar] [CrossRef]
- Hoare, T.R.; Hesp, S.A. Low-temperature fracture testing of asphalt binders: Regular and modified systems. Transp. Res. Rec. 2000, 1728, 36–42. [Google Scholar] [CrossRef]
- Lei, Z.; Bahia, H.; Yi-qiu, T. Effect of bio-based and refined waste oil modifiers on low temperature performance of asphalt binders. Constr. Build. Mater. 2015, 86, 95–100. [Google Scholar] [CrossRef]
- Wang, D.; Liu, Q.; Yang, Q.; Tovar, C.; Tan, Y.; Oeser, M. Thermal oxidative and ultraviolet ageing behaviour of nano-montmorillonite modified bitumen. Road Mater. Pavement Des. 2019, 22, 121–139. [Google Scholar] [CrossRef]
- Wang, Y.; Wen, Y.; Zhao, K.; Chong, D.; Wong, A.S.T. Evolution and locational variation of asphalt binder aging in long-life hot-mix asphalt pavements. Constr. Build. Mater. 2014, 68, 172–182. [Google Scholar] [CrossRef]
- Zeng, W.; Wu, S.; Wen, J.; Chen, Z. The temperature effects in aging index of asphalt during uv aging process. Constr. Build. Mater. 2015, 93, 1125–1131. [Google Scholar] [CrossRef]
- Goodrich, J.L. Asphalt and polymer modified Asphalt properties related to the performance of Asphalt concrete mixes (with discussion). Assoc. Asph. Paving Technol. Proc. 1988, 57, 116–175. [Google Scholar]
- Airey, G.D.; Brown, S.F. Rheological performance of aged polymer modified bitumens. J. Assoc. Asph. Paving Technol. 1998, 67, 66–100. [Google Scholar]
- Dondi, G.; Mazzotta, F.; Simone, A.; Vignali, V.; Sangiorgi, C.; Lantieri, C. Evaluation of different short term aging procedures with neat, warm and modified binders. Constr. Build. Mater. 2016, 106, 282–289. [Google Scholar] [CrossRef]
- Olard, F.; Di Benedetto, H. General “2s2p1d” model and relation between the linear viscoelastic behaviours of bituminous binders and mixes. Road Mater. Pavement Des. 2003, 4, 185–224. [Google Scholar]
- Marasteanu, M.O.; Anderson, D.A. Improved model for bitumen rheological characterization. In Eurobitume workshop on performance related properties for bituminous binders. Brussels. Belg. Eur. Bitum. Assoc. 1999, 133, 1–4. [Google Scholar]
- Cavalli, M.C.; Zaumanis, M.; Mazza, E.; Partl, M.N.; Poulikakos, L.D. Effect of ageing on the mechanical and chemical properties of binder from rap treated with bio-based rejuvenators. Compos. Part B Eng. 2018, 141, 174–181. [Google Scholar] [CrossRef]





















| Physical Properties | Measured Values | Method | |||
|---|---|---|---|---|---|
| LH-70 | LH-90 | LH-70 +2.5% | LH-90 +2.5% | ||
| Penetration @25 °C (0.1 mm) | 61.2 | 81.2 | 35.1 | 46.9 | T 0604-2011 |
| Softening point (°C) | 49.0 | 46.4 | 55.7 | 53.6 | T 0606-2011 |
| Ductility @5°C and 1 cm/min (cm) | 92.7 | 141.0 | 6.4 | 11.1 | T 0605-2011 |
| Brookfield viscosity @135 °C (Pa⋅s) | 0.287 | 0.279 | 0.607 | 0.544 | T 0625-2011 |
| Brookfield viscosity @175 °C (Pa⋅s) | 0.084 | 0.065 | 0.165 | 0.129 | T 0625-2011 |
| Sample | Area Under the Master Curve [lg(Pa)⋅lg(Hz)] | Area between Virgin and Aged Binder [lg(Pa)⋅lg(Hz)] | Percentage of Virgin Area (%) |
|---|---|---|---|
| PRM-70Unaged | 25.93 | - | - |
| PRM-70RTFOT | 28.37 | 2.44 | 9.41 |
| PRM-70PAV | 29.59 | 3.66 | 14.11 |
| PRM-70UV | 27.09 | 1.16 | 4.47 |
| LH-70-Unaged | 23.47 | - | - |
| LH-70-RTFOT | 25.75 | 2.28 | 9.71 |
| LH-70-PAV | 27.47 | 4 | 17.04 |
| PRM-90Unaged | 24.16 | - | - |
| PRM-90RTFOT | 27.98 | 3.82 | 15.81 |
| PRM-90PAV | 29.32 | 5.16 | 21.36 |
| PRM-90UV | 25.78 | 1.62 | 6.71 |
| LH-90-Unaged | 22.56 | - | - |
| LH-90-RTFOT | 26.57 | 4.01 | 17.77 |
| LH-90-PAV | 28.12 | 5.56 | 24.65 |
Publisher’s Note: MDPI stays neutral with regard to jurisdictional claims in published maps and institutional affiliations. |
© 2021 by the authors. Licensee MDPI, Basel, Switzerland. This article is an open access article distributed under the terms and conditions of the Creative Commons Attribution (CC BY) license (https://creativecommons.org/licenses/by/4.0/).
Share and Cite
Zhang, L.; Li, P.; Hu, G.; Zhang, S.; Hong, B.; Wang, H.; Wang, D.; Oeser, M. Study on the Aging Resistance of Polyurethane Precursor Modified Bitumen and its Mechanism. Sustainability 2021, 13, 9520. https://doi.org/10.3390/su13179520
Zhang L, Li P, Hu G, Zhang S, Hong B, Wang H, Wang D, Oeser M. Study on the Aging Resistance of Polyurethane Precursor Modified Bitumen and its Mechanism. Sustainability. 2021; 13(17):9520. https://doi.org/10.3390/su13179520
Chicago/Turabian StyleZhang, Liang, Pengfei Li, Guanfeng Hu, Sufeng Zhang, Bin Hong, Haopeng Wang, Dawei Wang, and Markus Oeser. 2021. "Study on the Aging Resistance of Polyurethane Precursor Modified Bitumen and its Mechanism" Sustainability 13, no. 17: 9520. https://doi.org/10.3390/su13179520
APA StyleZhang, L., Li, P., Hu, G., Zhang, S., Hong, B., Wang, H., Wang, D., & Oeser, M. (2021). Study on the Aging Resistance of Polyurethane Precursor Modified Bitumen and its Mechanism. Sustainability, 13(17), 9520. https://doi.org/10.3390/su13179520

