Abstract
In this study, the compaction characteristics of recycled hot-mix asphalt (RHMA) were evaluated using the void content (VV), compaction energy index (CEI), slope of accumulated compaction energy (K), and lock point (LP). Then, the effects of the compaction parameters, including the gradation of the RHMA, reclaimed asphalt pavement (RAP) content, temperature of gyrations, and number of gyrations, on the compaction characteristics of RHMA were investigated. An orthogonal experiment was designed and the data collected were analyzed via range analysis; then, a regression model was generated relying on a quadratic polynomial. Furthermore, the regression model was used for the comparison and prediction of the mixture’s compactability during the material design. Finally, the compaction mechanism of RHMA was discussed from the perspective of the void content of RAP particles. The results showed that a finer aggregate gradation, a higher gyration temperature, a greater number of gyrations, and a higher RAP content were effective for increasing the compactability of RHMA. The range analysis results suggest that the gradation of RHMA has the greatest influence on compactability, followed by the RAP content. The RAP aggregate cannot diffuse to a new mixture completely, so the remained RAP particle reduces the void content of RHMA. Therefore, a higher RAP content up to 50% can help RHMA to achieve the designed void content with higher efficiency.
1. Introduction
In recent decades, the compaction of asphalt pavement has been a hot topic, and the compaction behavior of the conventional asphalt mixture was intensively studied [1]. Previous studies have indicated that compactness has a significant influence on the durability, anti-skid, and the moisture stability of the pavement. For example, Liu et al. studied the effect of gradation, binder content, and compaction temperature on the compaction quality of asphalt pavement, indicating that these three factors are vital for building a qualified pavement [2]. Delrio et al. tested the volume characteristics, void, shear force, and compaction energy of an asphalt mixture during compaction, showing that the compaction characteristics are related to aggregate sphericity, asphalt grade, and asphalt content [3]. Furthermore, previous studies have reported many measurements to characterize the compaction behavior of hot-mix asphalt (HMA), including the lock point, gyrations to 92% density (N92), construction densification Index (CDI), construction force index (CFI), compaction energy index (CEI), and slope of accumulated compaction energy (K) [4,5]. However, little attention has been paid to the compaction characteristics of a plant recycled hot-mix asphalt mixture.
To date, asphalt pavement rehabilitation contributes a considerable amount of waste produced each year [6]. It is estimated that approximately 790 million tons of reclaimed asphalt pavement (RAP) is produced per year in China, and this figure may dramatically increase in the years to come, since China’s road maintenance demand will exceed the demand for newly built roads within the next five years [7,8]. Incorporating the RAP into a hot-mix mixture has significant economic and environmental benefits, such as reducing costs, alleviating dependence on natural aggregates, and minimizing greenhouse gas emissions [9,10].
RAP particles are often made of many smaller aggregates bonded by an aged binder, and the properties of aged asphalt in RAP are significantly different from those of virgin asphalt [11,12]. During hot mixing, the RAP particles may not be forced to completely open; therefore, the void contained in RAP may still exist. Accordingly, the compaction behavior of a plant recycled hot-mix asphalt (RHMA) mixture should be different from that of a conventional mixture. In this field, Lei et al. tested the mixing sequence of RHMA on compaction properties, suggesting that the pre-mixing of virgin aggregate and RAP is advantageous for a better compactness and performance [13]. Ji et al. studied the effects of a nominal maximum particle size and RAP content on the compaction characteristics of RHMA, showing that a mixture with a larger nominal aggregate size is more difficult to compact [14]. Ma et al. reported that it is difficult to compact the mixture with higher RAP content under the same pre-heating temperature because the stiffer aged binder in RAP prevents the RHMA from being compacted [15]. On the contrary, Braham et al. concluded that RHMA has a better compactability compared to the conventional HMA due to the higher asphalt binder content of RHMA [5]. Therefore, although previous studies have reported some conclusions on the compaction characteristics of RHMA, the effect of RAP incorporation on the compaction behavior of RHMA is unclear. Therefore, it is necessary to carry out a systematic and comprehensive experimental study on this topic.
The objective of this study was to investigate the effect of the compaction parameters related to a practical project on the compaction characteristics and quality. To this end, an orthogonal experiment was designed to investigate the significance of the gradation of RHMA, RAP content, temperature of gyration, and number of gyrations on the void (VV), compaction energy index (CEI), slope of accumulated compaction energy (K), and lock point (LP). After performing range analysis and regression analysis, the influence of the compaction parameters on the compaction characteristics is explained. The results of this study contribute to the current knowledge by revealing the difference in the compaction characteristics between conventional and RHMA mixtures, providing a theory for better constructing recycled asphalt pavements.
The remainder of the paper is organized as follows. Section 2 first introduces the material properties and the details of the experimental design; then, it explains the measurements of the compaction characteristics. Section 3 displays the experimental data and then analyzes the obtained data to develop conclusions. Finally, this study is concluded in Section 4. The main content of this work can be summarized and illustrated in Figure 1.
Figure 1.
The framework of this study. RAP, reclaimed asphalt pavement.
2. Experiments
2.1. Raw Materials
The raw materials used for producing RHMA were SBS (Styrene-Butadiene-Styrene)-modified asphalt, limestone aggregate, RAP, and rejuvenator, and their properties were tested by following the Chinese specifications before being used to prepare the specimens. All raw materials were collected from an expressway maintenance project located in Shangrao, Jiangxi province, China. The new added asphalt was SBS-modified asphalt, and its performance is listed in Table 1. The aged asphalt was extracted from RAP by dissolving the RAP in trichloroethylene solvent according to ASTM D2172-05 using an automatic extractor produced by Changji Co., Ltd., China, and its performance is also shown in Table 1.
Table 1.
Basic performance of SBS-modified asphalt and aged asphalt tested according to JTG E20-2011.
The RAP was collected from a pavement that had been in service for six years; then, it was sieved into three classifications using a crushing and sieving system: 0–8, 8–12, and 12–20 mm. The aggregates contained in the RAP were extracted from the aged binder by dissolving the RAP in trichloroethylene solvent according to ASTM D2172-05 using an automatic extractor produced by Changji Co., Ltd., China. The gradation of three classifications was determined according to ASTM C136, and the results are shown in Figure 2; then, the graduation was used in the recycled mixture design by adjusting the ratio of the three classifications. In addition, the asphalt content of the three RAP classifications was tested, and the results were 6.66% (0–8 mm), 3.14% (8–12 mm), and 2.23% (12–20 mm). The rejuvenator was Evoflex 8182, which is the brown oily liquid produced by Ingevity Corporation. The incorporation of the rejuvenator was 2.5% of the content of the aged binder, recommended by the product producer. Finally, the physical properties of the virgin aggregates are shown in Table 2.
Figure 2.
Gradation of the aggregates in the three RAP classifications.
Table 2.
Physical properties of the aggregates tested according to JTG E42—2005.
2.2. Test Methods
2.2.1. Orthogonal Test Design
Four parameters, including the gradation of the RHMA, the RAP content, the temperature of gyration, and the number of gyrations, were considered in the laboratory study, as shown in Table 3. In Table 3, the RAP content and gyration temperature were selected according to the range commonly used in engineering. The aggregate gradation of the three recycled mixtures was designed based on the AC-20 (dense graded asphalt mixture with the maximum nominal aggregate size was 26.5 mm) to represent the potential mixture design used in engineering, named A, B, and C. The difference between them was the proportion of the coarse and fine aggregate. To involve them quantitatively in the laboratory test, they were represented in n, which was calculated based on the fractal theory [16]. A higher n indicates a larger coarse proportion in RHMA. Finally, the designed aggregate gradation of the RHMA is illustrated in Figure 3.
where n is the fractal dimension of an aggregate gradation; P(r) is the function of the aggregate mass distribution; and rmax and rmin are the maximum and minimum sizes of the aggregate in gradation, respectively.
Table 3.
The investigated compaction parameters.
Figure 3.
The designed aggregate gradation of the recycled asphalt mixtures.
An orthogonal test was designed to comprehensively investigate the influence of the compaction parameters on the compaction parameters of RHMA, and the details are shown in Table 4. A total of nine tests were designed to meet the minimum sample size for the orthogonal test analysis. Four specimens were required for each test.
Table 4.
Orthogonal experimental design.
2.2.2. Gyration Compaction
The designed AC-20 RHMA was prepared. Three steps were involved, as shown in Figure 4, i.e., pre-heating of raw materials, mixture mixing, and compaction. The pre-heating temperature for the RAP, virgin aggregate, and asphalt binder was 130, 180, and 155 °C, respectively. To avoid thermal aging, the pre-heating duration of the RAP and asphalt binder was not allowed to exceed 2 h. During mixing, the RAP and rejuvenator were first mixed for 60 s; then, the virgin aggregate was added and mixed for another 60 s, and, finally, the asphalt binder was added for 60 s of mixing; the mixing temperature was 160 °C.
Figure 4.
Preparation and gyration of the recycled asphalt mixture.
In the RHMA, the optimum binder ratio of the three different gradation asphalt mixtures was determined by a Marshall test, and the results for gradation A, B, and C were 4.21%, 4.34%, and 4.50%, respectively. The newly-added asphalt binder content was determined by Equation (3), which is recommended by the National Center for Asphalt Technology, USA.
where Pnb is the newly added percentage of asphalt binder, %; Psb is the binder content of RAP, %; Pb is the designed binder content of the RHMA, %; and r is the percentage of non-RAP aggregates, %.
Gyratory compaction is one of the best methods of laboratory compaction for the assessment of the compactability of asphalt mixtures [17]. The compaction of RHMA used a AFG2CS gyratory compactor produced by Pine Co., Ltd. The compaction procedures followed AASHTO T312 and ASTM D6925, and the obtained specimen was a cylinder with 15 cm inner diameter and a 25 cm height. Four specimens were manufactured for each experiment, and a total of 36 specimens were obtained.
2.3. Measurements
The measurements of the compaction characteristics of RHMA were void content (VV), compaction energy index (CEI), slope of accumulated compaction energy (K), and lock point (LP). VV represents the development of the compactness of the mixture during the gyration. CEI, K, and LP were determined based on the curve of the degree of compaction.
The compaction energy index (CEI) represents the energy required for the specimen to reach 92% of the maximum theoretical relative density from the eighth gyration, and its calculation is essentially the integral of the compaction curve. CEI is used to evaluate the workability of recycled asphalt mixtures; a larger CEI indicates that more energy is needed to achieve the same compactness. The calculation of CEI is shown in Equation (4).
where DOC@Ni = 8 is the degree of compaction at the eighth gyration, %; Ni@DOC = 92% is the number of gyrations when the compactness reaches 92%.
The slope of accumulated compaction energy (K) describes the compactability of the asphalt mixture. The slope is determined by the eighth gyration and the number of gyrations when the compactness is 94%. A greater K indicates a more effective growth of the compactness of the recycled asphalt mixture, and the easier the mixture is compacted. The calculation of K is shown in Equation (5).
where and refer to the compactness at the eighth gyrations and the number of gyrations (n) when the compactness is 94%.
During gyration, the height of a specimen shrinks continuously. A constant height of the specimen indicates that the aggregates contained in the specimen have reached a stable structure by interlocking with one another. Thus, the lock point (LP) is used to describe this process, which is defined as the number of gyrations when the height of a specimen is repeated three times. A smaller LP denotes the RHMA being easier to compact to a fixed height.
The compaction curve of the RHMA designed in Table 4 is shown in Figure 5. The compaction characteristics were calculated based on the results in Figure 5.
Figure 5.
Compaction curve of the recycled asphalt mixture.
2.4. Field Compaction of RHMA Pavement
2.4.1. Introduction of Field-Tested Sections
In Section 3.2 of this study, we proposed a method to compare and predict the compactability of the designed recycled asphalt mixture based on the regression model. To verify the effectiveness of the proposed method, the compactness of two pavement sections was measured. The tested pavement sections were from the binder layer on the carriageway located on the Fuzhou–Yinchuan expressway, Zhangzhou, China, which is denoted by sections I and II, respectively. Two kinds of plant recycled hot-mix asphalt mixtures were designed based on the AC-20, in which the coarse aggregate content in section I was greater than that of section II, and the gradation is described via fractal dimensions, as mentioned in Equations (1) and (2). The used compaction parameters are listed in Table 5, wherein the CEI was calculated based on the proposed regression model. Generally, a lower CEI in Section I indicates a much better compactability. An asphalt plant (product model: LB400) produced by Tietuo Machinery, China was used; it was specially designed to produce the RHMA, and the capacity of production is 320 tons/h. The tested pavement sections were rolled under the same ambient (28 °C) and mixture (150 °C) temperatures by the same roller machine using the same rolling times.
Table 5.
The parameters of field compaction.
2.4.2. Field Test of Compactness
The compactness of the sections was measured by a PQI 380 non-nuclear densitometer produced by Transtech Co., Ltd. After the densitometer was calibrated, the average value of the test data repeated five times was the representative value of a test point. The tested sections were gridded, seven measuring points were arranged in the cross-section with a spacing of 0.5 m, and a row of measuring points was arranged every 1 m along the vertical section. There were 760 and 210 data points obtained for Sections I and II, respectively, as shown in Figure 6. Compactness is the ratio of the measured density to the laboratory standard density.
Figure 6.
Field compactness test of a pavement section: (a) the arrangement of test points; (b) the field test on compactness of pavement using a non-nuclear densitometer.
3. Results and Discussion
3.1. Compaction Characteristics of the Recycled Asphalt Mixture
3.1.1. Compaction Characteristics
The results in Figure 7a show that a finer aggregate gradation leads to a lower VV of the recycled asphalt mixture. The void content of gradations A, B, and C was 4.3%, 2.4%, and 1.6%, respectively. Figure 7b indicates that the void content peaked at 30% of the RAP content, wherein 10% and 30% RAP content led to a similar void content after gyration. In addition, Figure 7c proves that the void content increased with the increase in gyration temperature, and a linear correlation can be observed. Finally, after the number of gyrations reached 100, its influence on the void content decreased greatly, as shown in Figure 7d.
Figure 7.
Effect of the compaction parameters on the void content of recycled hot-mix asphalt (RHMA): (a) aggregate gradation; (b) content of RAP; (c) gyration temperature; (d) number of gyrations.
The compaction energy index (CEI) represents the energy required for the specimen to reach 92% of the maximum theoretical relative density from the eighth gyration, and the test results are shown in Figure 8. Generally, the influence of the aggregate gradation and RAP content on CEI was similar to their influence on the void content, as shown in Figure 8a,b. In addition, there were no clear rules between the gyration temperature and number of gyrations on CEI, as shown in Figure 8c,d.
Figure 8.
Effect of the compaction parameters on the compaction energy index (CEI) of the recycled asphalt mixture: (a) aggregate gradation; (b) content of RAP; (c) gyration temperature; (d) number of gyrations.
The slope of accumulated compaction energy (K) describes the compactability of an asphalt mixture. As shown in Figure 9, the relationship between the compaction parameters and K presents a different result to the CEI and void content; a significant change of K under different compaction parameters was not observed. This may suggest that K is not a desirable measurement to describe the compaction characteristics of RHMA.
Figure 9.
Effect of the compaction parameters on K of the recycled asphalt mixture: (a) aggregate gradation; (b) content o RAP; (c) gyration temperature; (d) number of gyrations.
The lock point (LP) is defined as the number of gyrations when the height of a specimen is first repeated. As shown in Figure 10, the first finding is that the influence of the compaction parameters presented a monotonic relationship with the LP. In Figure 10a, the coarser aggregate gradation has a higher LP, indicating that the height of a specimen could reach stability earlier if a finer gradation is used. In addition, the LP slightly decreased with the increase of the RAP content in RHMA; this conclusion is consistent with that of the CEI and void content, indicating that a higher RAP content contributes to a better compaction. Furthermore, increasing the gyration temperature could accelerate the specimens reaching a stable height. Finally, the improvement of the number of gyrations on the LP was not significant compared to the others.
Figure 10.
Effect of the compaction parameters on the lock point (LP) of the recycled asphalt mixture: (a) aggregate gradation; (b) content of RAP; (c) gyration temperature; (d) number of gyrations.
3.1.2. Range Analysis of the Orthogonal Test Results
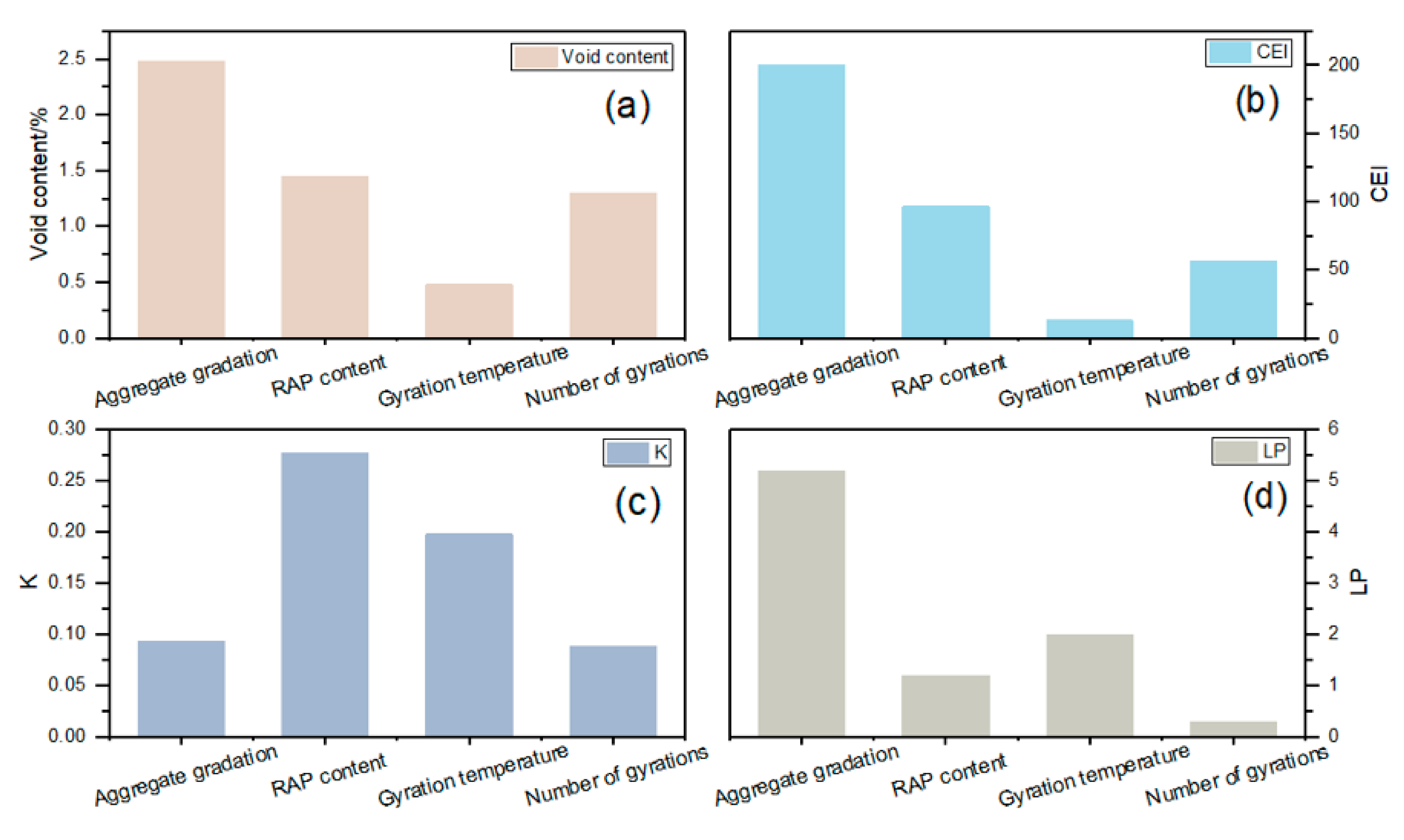
Range analysis is commonly used to analyze orthogonal test results, as it can determine and compare the influence of the investigated factors on a certain indictor. Thus, it was used to analyze the influence of the compaction parameters on the compaction characteristics in this study. A compaction parameter with a larger range has a greater influence on a compaction characteristic. The range analysis was conducted by Equation (6), and the required data were previously introduced in Figure 7, Figure 8, Figure 9 and Figure 10. The number of variables involved in Equation (6) were given in Table 4. The results are shown in Figure 11.
where is the range of factors in the jth column; is the test data of the mth factor in the jth column; and is the average of .
Figure 11.
Results of the range analysis of the compaction parameters against the compaction characteristics: (a) void content (VV); (b) compaction energy index (CEI); (c) slope of accumulated compaction energy (K); (d) lock point (LP).
According to Figure 11, the first finding is that the aggregate gradation had the highest influence on the void content, CEI, and K, indicating that the aggregate gradation is the most important parameter to control the compactness of RHMA. In addition, the RAP content is the most important parameter to determine the compaction efficiency of RHMA, because the RAP content has the greatest influence on K, which is followed closely by the gyration temperature. Generally, the compaction of RHMA is more sensitive to the aggregate gradation and RAP content.
3.2. Comparison on the Compactability of the Recycled Mixture in the Material Design
In practical engineering, the compactability of RHMA is often neglected during the mixture design. The compaction parameters of RHMA vary from project to project, and it depends on the roller machinery, ambient temperature, production process of RHMA, the quality control measurement, etc. Therefore, for improving the practicability of the designed mixture, it is necessary to compare the compactability of the designed mixtures before construction.
To this end, a quadratic regression model was used to establish a mathematical model to predict the compactability of the designed mixtures. Research shows that in a certain test area, polynomial fitting can be used to obtain the empirical model of a system, and the limited data in the polynomial can be used to represent the behavior within the effective range of the system [18]. A typical quadratic regression model is defined in Equation (7).
where is the number of variables, is the constant term, refers to the coefficients of the first-degree terms, refers to the coefficients of the interaction terms, refers to the coefficients of the second-degree terms, refers to the first-degree terms, refers to the interaction terms, refers to the second-degree terms, and is the unknown error.
In this model, the CEI was selected as the dependent variable to represent the compaction characteristics of the recycled asphalt mixture, because the CEI is considered the most suitable measurement to describe the compactability [19]. The independent variables were n (representing the gradation), the RAP content, the number of gyrations, and the gyration temperature. The obtained model is displayed in Equation (8). The goodness of fit (R2) is 0.970, indicating that the model is well fitted.
where is the n value representing the aggregate gradation, which is calculated based on fractal theory; is the RAP content; is gyration temperature; and refers to the number of gyrations.
The established regression model could potentially be used to compare the compactability of the designed recycled mixture, thereby optimizing the gradation design. To this end, we compared the compactness of two pavement sections produced with different gradations after being rolled under the same conditions; the detailed experimental design was previously introduced in Section 2.4.2, and the results are shown in Figure 12. This hypothesis was proven of Section I (96.39%) having a higher compactness than Section II (94.10%). In addition, this conclusion matches the fact that finer gradation leads to a better compactability, because the gradation of Section I had a lower fractal dimension. Finally, it is obvious that the compactness of the two sections was not evenly distributed, with some areas presenting significant differences from others. In Figure 12b, the traces of repeated rolling can be clearly observed, leading to an over-compacted area.

Figure 12.
The compactness results of two pavement sections produced with different gradations after being rolled under the same conditions: (a) Section I; (b) Section II.
3.3. Compaction Mechanism of the Recycled Mixture
This study concluded that a higher RAP content contributes to a better compactability of RHMA. This conclusion is supported by some previous studies. For example, Ma et al. [20] reported that compacted RAP mixtures have fewer air voids, satisfactory moisture stability, and low-temperature cracking resistance when the pre-heating temperature of RAP is increased. In addition, Fang et al. [21] concluded that the compaction rate of the RHMA is higher than that of the conventional mixture, and it requires a smaller number of gyrations and energy to reach the equilibrium state or standard density. The compaction rate of RHMA increases with the increase of RAP content. However, the mechanism of RAP participation in the improvement of compactness has not been clearly revealed in previous studies.
Milling operations cut old pavements into particles. In most cases, each particle is composed of old aggregate particles bound by an aged binder, as shown in Figure 13a. Due to the change of the morphology of aged mixtures, the void content of RAP particles is much lower than that of aged mixtures—in the range of 2.0–2.5% according to our previous tests. The internal structure of RAP particles can be observed in X-ray CT scan images of RAP particles, as shown in Figure 13b.
Figure 13.
Effect of the void in RAP on the compaction mechanism of RHMA: (a) Typical RAP particles; (b) CT (X-ray Computed Tomography) image showing the inside of RAP particles; void in RHMA with a (c) lower and (d) higher RAP content.
During hot mixing, the aggregate containing RAP particles can be released, introducing the aged binder into the new mixture [22]. As such, the new and aged binders can be fully diffused, producing a new mixture with a desirable performance [23,24]. Furthermore, full diffusion between the RAP aggregate and the new mixture is required to achieve the designed void content of RHMA. However, in most cases, hot mixing cannot force RAP particles to open completely. It is estimated that only 55–75% of RAP aggregates are diffused with the newly added materials after hot mixing, and the diffusion of the RAP aggregate depends on the RAP content, as a higher RAP content leads to a lower diffusion rate [25]. When the RAP content is higher, less RAP aggregate diffuses into the RHMA, and the void content of RHMA is lower than the designed void content after mixing with the virgin aggregate because of the much lower void content of RAP particles. As such, increasing the incorporation of RAP lowers the void content of RHMA, and this effect has been intensively reported in previous studies. This process is illustrated in Figure 13c,d. By understanding the effect of the void content of RAP particles on that of RHMA, it can be concluded that a higher RAP content can help RHMA to achieve the designed void content with higher efficiency, leading to a lesser consumption of compaction energy. It is noteworthy that the premise of this conclusion is that RAP reaches a high enough pre-heating temperature before mixing; otherwise, increasing the RAP content could reduce the mixing temperature of RHMA, leading to a worse compactability.
4. Summary and Conclusions
In this study, the influence of the compaction parameters on the compaction characteristics of RHMA was investigated, and the following conclusions can be drawn.
- (i)
- The results show that a finer aggregate gradation, a higher gyration temperature, a greater number of gyrations, and a higher RAP content up to 50% are effective for increasing the compactability of RHMA. The ease of compaction can be well described using the void content (VV), compaction energy index (CEI), slope of accumulated compaction energy (K), and lock point (LP).
- (ii)
- It was found that the compactability of RHMA depends most significantly on the aggregate gradation, followed by the RAP content. The gyration temperature was found to be correlated to the compactability with inferior influence, and the higher number of gyrations contributes to a better compactness. Furthermore, the established regression model proved to be effective for optimizing the gradation design of RHMA considering its compactability.
- (iii)
- During hot mixing, a higher RAP content results in a lower diffusion ratio of the RAP aggregate, and a low void content in residual RAP particles reduces the void of RHMA. Thus, it is easier to reach the designed void content of RHMA compared to mixtures with a lower RAP content. This conclusion is valid only after RAP is preheated properly before mixing, and it should be further proven by more experimental studies.
Author Contributions
Conceptualization, J.Y.; Data curation, W.T. and C.S.; Formal analysis, W.T. and C.S.; Funding acquisition, J.G. and J.Y.; Investigation, B.H. and J.Z.; Project administration, J.G.; Resources, B.H. and J.Z.; Software, W.T. and C.S.; Supervision, J.G.; Writing—original draft, W.T. and C.S.; Writing—review and editing, J.G. All authors have read and agreed to the published version of the manuscript.
Funding
This study was jointly found by the Science and Technology Research Project of Jiangxi Provincial Department of Education (grant no. GJJ190361), the Fundamental Research Funds for the Central Universities, CHD (grant no. 300102210501), the Natural Science Foundation of Jiangxi Province of China (grant no. 20202BABL214046), and the Science and Technology Research Project of the Transport Department of Jiangxi Province (grant no. 2017H0061).
Data Availability Statement
The experimental and modeling data used to support the findings of this study are available from the corresponding author upon request.
Acknowledgments
The authors sincerely give their gratitude to the engineers who have provided us the valuable assistances on field study.
Conflicts of Interest
The authors declare that they have no conflict of interest.
References
- Anjan Kumar, S.; Sarvanan, U.; Murali Krishnan, J.; Veeraragavan, A. Rheological characterisation of modified binders at mixing and compaction temperature. Int. J. Pavement Eng. 2014, 15, 767–785. [Google Scholar] [CrossRef]
- Liu, Y.; You, Z.; Dai, Q.; Mills-Beale, J. Review of advances in understanding impacts of mix composition characteristics on asphalt concrete (AC) mechanics. Int. J. Pavement Eng. 2011, 12, 385–405. [Google Scholar] [CrossRef]
- DelRio-Prat, M.; Vega-Zamanillo, A.; Castro-Fresno, D.; Calzada-Pérez, M.Á. Energy consumption during compaction with a Gyratory Intensive Compactor Tester. Estimation models. Constr. Build. Mater. 2011, 25, 979–986. [Google Scholar] [CrossRef]
- Polaczyk, P.; Huang, B.; Shu, X.; Gong, H. Investigation into Locking Point of Asphalt Mixtures Utilizing Superpave and Marshall Compactors. J. Mater. Civ. Eng. 2019, 31, 04019188. [Google Scholar] [CrossRef]
- Braham, A.; Lynn, T.; Steger, R.; Pyle, R. Characterizing Compactability of High RAP and Warm Mix Asphalt Mixtures in the Superpave Gyratory Compactor. J. Test. Eval. 2015, 43, 20130319. [Google Scholar] [CrossRef]
- MOT. Guiding Opinions of the Ministry of Transport on Promoting the Recycling of Highway Pavement Materials. Available online: http://zizhan.mot.gov.cn/zhuzhan/zhengwugonggao/jiaotongbu/gongluguanli/201210/t20121009_1309484.html (accessed on 17 September 2020).
- Antunes, V.; Freire, A.C.; Neves, J. A review on the effect of RAP recycling on bituminous mixtures. Constr. Build. Mater. 2019, 211, 454–469. [Google Scholar] [CrossRef]
- People.cn. The Financing Gap for the Maintenance of Roads Will Be About 50% in the Future, and the Financing Mechanism should be Improved. Available online: http://finance.people.com.cn/n1/2016/0622/c1004-28467645.html (accessed on 20 September 2020).
- Zaumanis, M.; Mallick, R.B.; Frank, R. 100% recycled hot mix asphalt: A review and analysis. Resour. Conserv. Recycl. 2014, 92, 230–245. [Google Scholar] [CrossRef]
- Galan, J.J.; Silva, L.M.; Pérez, I.; Pasandín, A.R. Mechanical Behavior of Hot-Mix Asphalt Made with Recycled Concrete Aggregates from Construction and Demolition Waste: A Design of Experiments Approach. Sustainability 2019, 11, 3730. [Google Scholar] [CrossRef]
- Cheraghian, G.; Wistuba, M.P. Ultraviolet aging study on bitumen modified by a composite of clay and fumed silica nanoparticles. Sci. Rep. 2020, 10, 11216. [Google Scholar] [CrossRef]
- Cheraghian, G.; Wistuba, M. Effect of Fumed Silica Nanoparticles on Ultraviolet Aging Resistance of Bitumen. Nanomaterials 2021, 11, 454. [Google Scholar] [CrossRef]
- Lei, Y.; Wang, H.; You, Z.; Wang, Y. Effect of mixing sequence on compaction property of hot recycled asphalt mixture. Eng. Jounal Wuhan Univ. 2019, 52, 317–325. [Google Scholar]
- Ji, X.; Zheng, N.; Gan, X. Compaction characteristics of reclaimed asphalt mixture. J. Chongqing Jiaotong Univ. 2013, 32, 965–968. [Google Scholar]
- Ma, X.; Leng, Z.; Wang, L.; Zhou, P. Effect of Reclaimed Asphalt Pavement Heating Temperature on the Compactability of Recycled Hot Mix Asphalt. Materials 2020, 13, 3621. [Google Scholar] [CrossRef] [PubMed]
- Sánchez-Leal, F.; Asce, M. Gradation Chart for Asphalt Mixes: Development. J. Mater. Civ. Eng. 2007, 19, 185–197. [Google Scholar] [CrossRef]
- Çelik, O.N.; Atiş, C.D. Compactibility of hot bituminous mixtures made with crumb rubber-modified binders. Constr. Build. Mater. 2008, 22, 1143–1147. [Google Scholar] [CrossRef]
- Yang, J.; Yao, Y.; Sun, C. Influence of Different Working Conditions on Hot In-place Recycled Asphalt Mixture Performance. J. Highw. Transp. Res. Dev. 2019, 10, 14–23. [Google Scholar]
- Mo, L.; Li, X.; Fang, X.; Huurman, M.; Wu, S. Laboratory investigation of compaction characteristics and performance of warm mix asphalt containing chemical additives. Constr. Build. Mater. 2012, 37, 239–247. [Google Scholar] [CrossRef]
- Ma, T.; Huang, X.; Zhao, Y.; Zhang, Y.; Wang, H. Influences of Preheating Temperature of RAP on Properties of Hot-Mix Recycled Asphalt Mixture. J. Test. Eval. 2016, 44, 762–769. [Google Scholar] [CrossRef]
- Fang, Y.; Wang, J.; Wu, C.; Shu, X.; Zhan, H. Rotation Compaction Behavior of Central Plant Hot Recycling Mixture. J. Wuhan Univ. Technol. 2017, 41, 512–516. [Google Scholar]
- Shirodkar, P.; Mehta, Y.; Nolan, A.; Sonpal, K.; Norton, A.; Tomlinson, C.; Dubois, E.; Sullivan, P.; Sauber, R. A study to determine the degree of partial blending of reclaimed asphalt pavement (RAP) binder for high RAP hot mix asphalt. Constr. Build. Mater. 2011, 25, 150–155. [Google Scholar] [CrossRef]
- Wu, J.; Liu, Q.; Yang, S.; Oeser, M.; Ago, C. Study of migration and diffusion during the mixing process of asphalt mixtures with RAP. Road Mater. Pavement Des. 2020, 1–16. [Google Scholar] [CrossRef]
- Song, W.; Huang, B.; Shu, X. Influence of warm-mix asphalt technology and rejuvenator on performance of asphalt mixtures containing 50% reclaimed asphalt pavement. J. Clean. Prod. 2018, 192, 191–198. [Google Scholar] [CrossRef]
- Guo, D.; Zhang, S.; Li, J.; Zhang, L.; Zhang, X. Migration behavior of reclaimed mineral aggregate in process of central plant hot recycling. J. Shandong Univ. 2018, 48, 46–52. [Google Scholar]
Publisher’s Note: MDPI stays neutral with regard to jurisdictional claims in published maps and institutional affiliations. |
© 2021 by the authors. Licensee MDPI, Basel, Switzerland. This article is an open access article distributed under the terms and conditions of the Creative Commons Attribution (CC BY) license (http://creativecommons.org/licenses/by/4.0/).













