Application of the Multiverse Optimization Method to Solve the Optimal Power Flow Problem in Direct Current Electrical Networks
Abstract
1. Introduction
1.1. General Context
1.2. State-of-the-Art
1.3. Proposed Solution Methodology and Main Contributions of This Study
- A new solution methodology based on a master–slave strategy that combines MVO and SA to solve the optimal power flow problem in DC networks of any size
- A methodology based on average solutions and standard deviation to evaluate the effectiveness and repeatability of the solution methods proposed to solve the OPF problem
- Better results in the solution to the OPF problem in DC networks than those reported in the specialized literature.
1.4. Structure of the Paper
2. Mathematical Formulation
2.1. Objective Function
2.2. Set of Constraints
3. Proposed Solution Methodology
3.1. Master Stage: Multiverse Optimizer (MVO)
3.1.1. Generation of the Initial Population
3.1.2. Calculating the Objective Function
3.1.3. Existence of Wormholes
- The higher the , the greater the probability of having a white hole.
- The lower the , the greater the possibility of having a black hole.
- Universes with high tend to send objects through white holes.
- Universes with low tend to receive more objects through black holes.
- Any object in any universe can randomly move toward the best universe through wormholes, regardless of the .
3.1.4. Evolution of the Universes in the Iterative Process
3.1.5. Updating the Universes Using the Interaction between White and Black Holes
| Algorithm 1 Proposed pseudocode of the roulette wheel to select the k universe to transport the j element to the i universe. |
|
3.1.6. Updating Universes Based on Wormholes
3.1.7. Stopping Criteria
- The master stage will finish the iterative process when the incumbent solution (the best obtained thus far) is not updated after an x number of consecutive iterations. This is possible by adding a non-improvement counter to the code .
- The computational analysis will finish the iterative process when the algorithm reaches a maximum number of allowable iterations .
3.2. Slave Stage
| Algorithm 2 Hybrid MVO-SA optimization algorithm. |
|
3.3. Comparison of Methods
4. Test Scenarios and Considerations
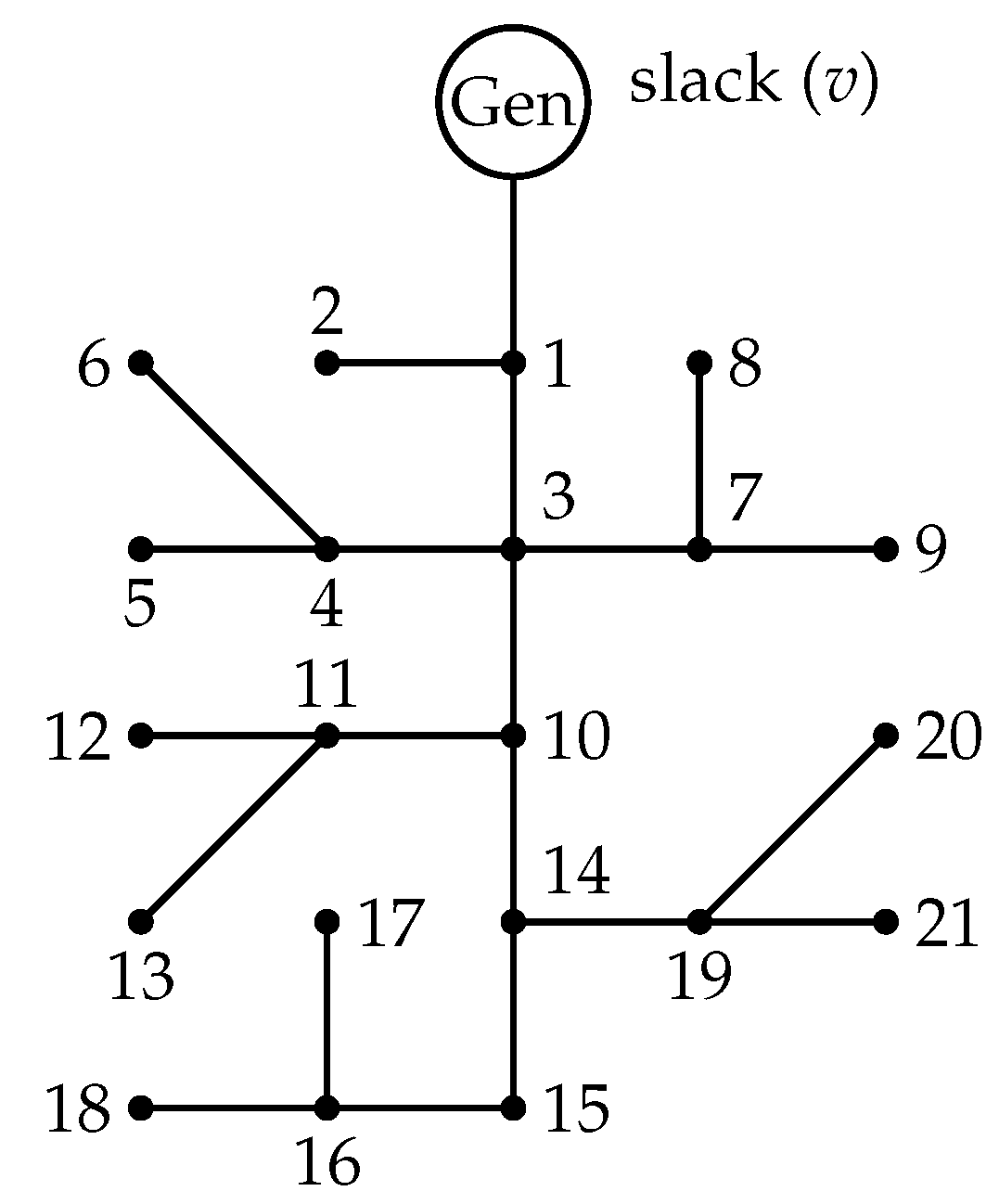
4.1. 21-Node System
4.2. The 69-Node System
5. Simulations and Results
5.1. 21-Node System
5.2. The 69-Node System
6. Processing Time Analysis
7. Conclusions
Author Contributions
Funding
Acknowledgments
Conflicts of Interest
References
- Taba, M.F.A.; Mwanza, M.; Çetin, N.S.; Ülgen, K. Assessment of the energy generation potential of photovoltaic systems in Caribbean region of Colombia. Period. Eng. Nat. Sci. 2017, 5. [Google Scholar] [CrossRef][Green Version]
- Gil-González, W.; Montoya, O.D.; Holguín, E.; Garces, A.; Grisales-Noreña, L.F. Economic dispatch of energy storage systems in dc microgrids employing a semidefinite programming model. J. Energy Storage 2019, 21, 1–8. [Google Scholar] [CrossRef]
- Grisales, L.F.; Grajales, A.; Montoya, O.D.; Hincapie, R.A.; Granada, M.; Castro, C.A. Optimal location, sizing and operation of energy storage in distribution systems using multi-objective approach. IEEE Lat. Am. Trans. 2017, 15, 1084–1090. [Google Scholar] [CrossRef]
- Montoya, O.D.; Garrido, V.M.; Gil-González, W.; Grisales-Noreña, L.F. Power flow analysis in DC grids: Two alternative numerical methods. IEEE Trans. Circuits Syst. II Express Briefs 2019, 66, 1865–1869. [Google Scholar] [CrossRef]
- Montoya, O.D.; Grisales-Noreña, L.F.; Amin, W.T.; Rojas, L.A.; Campillo, J. Vortex Search Algorithm for Optimal Sizing of Distributed Generators in AC Distribution Networks with Radial Topology. In Proceedings of the Workshop on Engineering Applications, Santa Marta, Colombia, 16–18 October 2019; Springer: Berlin/Heidelberg, Germany, 2019; pp. 235–249. [Google Scholar]
- Wang, W.; Barnes, M. Power flow algorithms for multi-terminal VSC-HVDC with droop control. IEEE Trans. Power Syst. 2014, 29, 1721–1730. [Google Scholar] [CrossRef]
- Huang, G.; Ongsakul, W. Managing the bottlenecks in parallel Gauss-Seidel type algorithms for power flow analysis. IEEE Trans. Power Syst. 1994, 9, 677–684. [Google Scholar] [CrossRef]
- Montoya, O.D.; Grisales-Noreña, L.F.; Gil-González, W. Triangular matrix formulation for power flow analysis in radial DC resistive grids with CPLs. IEEE Trans. Circuits Syst. II Express Briefs 2019, 67, 1094–1098. [Google Scholar] [CrossRef]
- Montoya, O.D.; Grisales-Noreña, L.; González-Montoya, D.; Ramos-Paja, C.; Garces, A. Linear power flow formulation for low-voltage DC power grids. Electr. Power Syst. Res. 2018, 163, 375–381. [Google Scholar] [CrossRef]
- Montoya, O.D. On the existence of the power flow solution in DC grids with CPLs through a graph-based method. IEEE Trans. Circuits Syst. II Express Briefs 2019, 67, 1434–1438. [Google Scholar] [CrossRef]
- Grisales-Noreña, L.F.; Montoya, O.D.; Gil-González, W.J.; Perea-Moreno, A.J.; Perea-Moreno, M.A. A Comparative Study on Power Flow Methods for Direct-Current Networks Considering Processing Time and Numerical Convergence Errors. Electronics 2020, 9, 2062. [Google Scholar] [CrossRef]
- Noreña, L.F.G.; Cuestas, B.J.R.; Ramirez, F.E.J. Ubicación y dimensionamiento de generación distribuida: Una revisión. Cienc. E Ing. Neogranadina 2017, 27, 157–176. [Google Scholar] [CrossRef]
- Rendon, R.A.G.; Zuluaga, A.H.E.; Ocampo, E.M.T. Técnicas Metaheuristicas de Optimización; Universidad Tecnologica de Pereira: Risaralda, Colombia, 2008. [Google Scholar]
- Garzon-Rivera, O.; Ocampo, J.; Grisales-Norena, L.; Montoya, O.; Rojas-Montano, J. Optimal Power Flow in Direct Current Networks Using the Antlion Optimizer. Stat. Optim. Inf. Comput. 2020, 8, 846–857. [Google Scholar] [CrossRef]
- Li, J.; Liu, F.; Wang, Z.; Low, S.H.; Mei, S. Optimal power flow in stand-alone DC microgrids. IEEE Trans. Power Syst. 2018, 33, 5496–5506. [Google Scholar] [CrossRef]
- Montoya, O.D.; Gil-González, W.; Garces, A. Sequential quadratic programming models for solving the OPF problem in DC grids. Electr. Power Syst. Res. 2019, 169, 18–23. [Google Scholar] [CrossRef]
- Velasquez, O.S.; Montoya Giraldo, O.D.; Garrido Arevalo, V.M.; Grisales Norena, L.F. Optimal power flow in direct-current power grids via black hole optimization. Adv. Electr. Electron. Eng. 2019, 17, 24–32. [Google Scholar] [CrossRef]
- Giraldo, J.; Montoya, O.; Grisales-Noreña, L.; Gil-González, W.; Holguín, M. Optimal power flow solution in direct current grids using Sine-Cosine algorithm. J. Phys. Conf. Ser. 2019, 1403, 012009. [Google Scholar] [CrossRef]
- Grisales-Noreña, L.F.; Garzón Rivera, O.D.; Ocampo Toro, J.A.; Ramos-Paja, C.A.; Rodriguez Cabal, M.A. Metaheuristic Optimization Methods for Optimal Power Flow Analysis in DC Distribution Networks. 2020. [Google Scholar]
- Moradi, M.H.; Abedini, M. A combination of genetic algorithm and particle swarm optimization for optimal DG location and sizing in distribution systems. Int. J. Electr. Power Energy Syst. 2012, 34, 66–74. [Google Scholar] [CrossRef]
- Grisales-Noreña, L.F.; Gonzalez Montoya, D.; Ramos-Paja, C.A. Optimal sizing and location of distributed generators based on PBIL and PSO techniques. Energies 2018, 11, 1018. [Google Scholar] [CrossRef]
- Mirjalili, S.; Mirjalili, S.M.; Hatamlou, A. Multi-verse optimizer: A nature-inspired algorithm for global optimization. Neural Comput. Appl. 2016, 27, 495–513. [Google Scholar] [CrossRef]
- Khoury, J.; Ovrut, B.A.; Seiberg, N.; Steinhardt, P.J.; Turok, N. From big crunch to big bang. Phys. Rev. D 2002, 65, 086007. [Google Scholar] [CrossRef]
- Tegmark, M. Parallel universes. Sci. Am. 2003, 288, 40–51. [Google Scholar] [CrossRef] [PubMed]
- Eardley, D.M. Death of white holes in the early universe. Phys. Rev. Lett. 1974, 33, 442. [Google Scholar] [CrossRef]
- Davies, P.C. Thermodynamics of black holes. Rep. Prog. Phys. 1978, 41, 1313. [Google Scholar] [CrossRef]
- Morris, M.S.; Thorne, K.S. Wormholes in spacetime and their use for interstellar travel: A tool for teaching general relativity. Am. J. Phys. 1988, 56, 395–412. [Google Scholar] [CrossRef]
- Guth, A.H. Eternal inflation and its implications. J. Phys. A Math. Theor. 2007, 40, 6811. [Google Scholar] [CrossRef]
- Steinhardt, P.J.; Turok, N. The cyclic model simplified. New Astron. Rev. 2005, 49, 43–57. [Google Scholar] [CrossRef]
- Lipowski, A.; Lipowska, D. Roulette-wheel selection via stochastic acceptance. Phys. A Stat. Mech. Its Appl. 2012, 391, 2193–2196. [Google Scholar] [CrossRef]
- Garcés, A. On the convergence of Newton’s method in power flow studies for DC microgrids. IEEE Trans. Power Syst. 2018, 33, 5770–5777. [Google Scholar] [CrossRef]
- Grisales-Noreña, L.F.; Montoya, O.D.; Ramos-Paja, C.A.; Hernandez-Escobedo, Q.; Perea-Moreno, A.J. Optimal location and sizing of distributed generators in DC Networks using a hybrid method based on parallel PBIL and PSO. Electronics 2020, 9, 1808. [Google Scholar] [CrossRef]
- Grisales-Noreña, L.F.; Montoya, O.D.; Ramos-Paja, C.A. An energy management system for optimal operation of BSS in DC distributed generation environments based on a parallel PSO algorithm. J. Energy Storage 2020, 29, 101488. [Google Scholar] [CrossRef]
- Molina-Martin, F.; Montoya, O.D.; Grisales-Noreña, L.F.; Hernández, J.C.; Ramírez-Vanegas, C.A. Simultaneous Minimization of Energy Losses and Greenhouse Gas Emissions in AC Distribution Networks Using BESS. Electronics 2021, 10, 1002. [Google Scholar] [CrossRef]














| 21-Node System | |||||
|---|---|---|---|---|---|
| Method | MVO | ALO | BH | CGA | PSO |
| Number of particles | 71 | 79 | 67 | 52 | 49 |
| Maximum iterations | 613 | 769 | 317 | 592 | 679 |
| Non-improvement iterations | 504 | 441 | 317 | 346 | 263 |
| P parameter | 8 | — | — | — | — |
| 69-Node System | |||||
|---|---|---|---|---|---|
| Method | MVO | ALO | BH | CGA | PSO |
| Number of particles | 86 | 77 | 35 | 40 | 58 |
| Maximum iterations | 656 | 182 | 566 | 622 | 723 |
| Non-improvement iterations | 584 | 182 | 566 | 443 | 252 |
| P parameter | 7 | — | — | — | — |
| Output Node | Input Node | R (pu) | P(pu) | Output Node | Input Node | R (pu) | P(pu) |
|---|---|---|---|---|---|---|---|
| 1 (Slack) | 2 | 0.0053 | −0.70 | 11 | 12 | 0.0079 | −0.68 |
| 1 | 3 | 0.0054 | 0 | 11 | 13 | 0.0078 | −0.10 |
| 3 | 4 | 0.0054 | −0.36 | 10 | 14 | 0.0083 | 0 |
| 4 | 5 | 0.0063 | −0.04 | 14 | 15 | 0.0065 | −0.22 |
| 4 | 6 | 0.0051 | −0.36 | 15 | 16 | 0.0064 | −0.23 |
| 3 | 7 | 0.0037 | 0 | 16 | 17 | 0.0074 | −0.43 |
| 7 | 8 | 0.0079 | −0.32 | 16 | 18 | 0.0081 | −0.34 |
| 7 | 9 | 0.0072 | −0.80 | 14 | 19 | 0.0078 | −0.09 |
| 3 | 10 | 0.0053 | 0 | 19 | 20 | 0.0084 | −0.21 |
| 10 | 11 | 0.0038 | −0.45 | 19 | 21 | 0.0082 | −0.21 |
| Output Node | Input Node | P (kW) | Output Node | Input Node | P (kW) | ||
|---|---|---|---|---|---|---|---|
| 1 | 2 | 0.0005 | 0 | 3 | 36 | 0.0044 | −26 |
| 2 | 3 | 0.0005 | 0 | 36 | 37 | 0.0640 | −26 |
| 3 | 4 | 0.0015 | 0 | 37 | 38 | 0.1053 | 0 |
| 4 | 5 | 0.0215 | 0 | 38 | 39 | 0.0304 | −24 |
| 5 | 6 | 0.3660 | −2.6 | 39 | 40 | 0.0018 | −24 |
| 6 | 7 | 0.3810 | −40.4 | 40 | 41 | 0.7283 | −102 |
| 7 | 8 | 0.0922 | −75 | 41 | 42 | 0.3100 | 0 |
| 8 | 9 | 0.0493 | −30 | 42 | 43 | 0.0410 | −6 |
| 9 | 10 | 0.8190 | −28 | 43 | 44 | 0.0092 | 0 |
| 10 | 11 | 0.1872 | −145 | 44 | 45 | 0.1089 | −39.2 |
| 11 | 12 | 0.7114 | −145 | 45 | 46 | 0.0009 | −39.2 |
| 12 | 13 | 10.300 | −8 | 4 | 47 | 0.0034 | 0 |
| 13 | 14 | 10.440 | −8 | 47 | 48 | 0.0851 | −79 |
| 14 | 15 | 10.580 | 0 | 48 | 49 | 0.2898 | −384 |
| 15 | 16 | 0.1966 | −45 | 49 | 50 | 0.0822 | −384 |
| 16 | 17 | 0.3744 | −60 | 8 | 51 | 0.0928 | −40.5 |
| 17 | 18 | 0.0047 | −60 | 51 | 52 | 0.3319 | −3.6 |
| 18 | 19 | 0.3276 | 0 | 9 | 53 | 0.1740 | −4.35 |
| 19 | 20 | 0.2106 | −1 | 53 | 54 | 0.2030 | −26.4 |
| 20 | 21 | 0.3416 | −144 | 54 | 55 | 0.2842 | −24 |
| 21 | 22 | 0.0140 | −5 | 55 | 56 | 0.2813 | 0 |
| 22 | 23 | 0.1591 | 0 | 56 | 57 | 15.900 | 0 |
| 23 | 24 | 0.3463 | −28 | 57 | 58 | 0.7837 | 0 |
| 24 | 25 | 0.7488 | 0 | 58 | 59 | 0.3042 | −100 |
| 25 | 26 | 0.3089 | −14 | 59 | 60 | 0.3861 | 0 |
| 26 | 27 | 0.1732 | −14 | 60 | 61 | 0.5075 | −1244 |
| 3 | 28 | 0.0044 | −26 | 61 | 62 | 0.0974 | −32 |
| 28 | 29 | 0.0640 | −26 | 62 | 63 | 0.1450 | 0 |
| 29 | 30 | 0.3978 | 0 | 63 | 64 | 0.7105 | −227 |
| 30 | 31 | 0.0702 | 0 | 64 | 65 | 10.410 | −59 |
| 31 | 32 | 0.3510 | 0 | 65 | 66 | 0.2012 | −18 |
| 32 | 33 | 0.8390 | −10 | 66 | 67 | 0.0047 | −18 |
| 33 | 34 | 17.080 | −14 | 67 | 68 | 0.7394 | −28 |
| 34 | 35 | 14.740 | −4 | 68 | 69 | 0.0047 | −28 |
| 21-Node System | ||||||
|---|---|---|---|---|---|---|
| Power Losses | ||||||
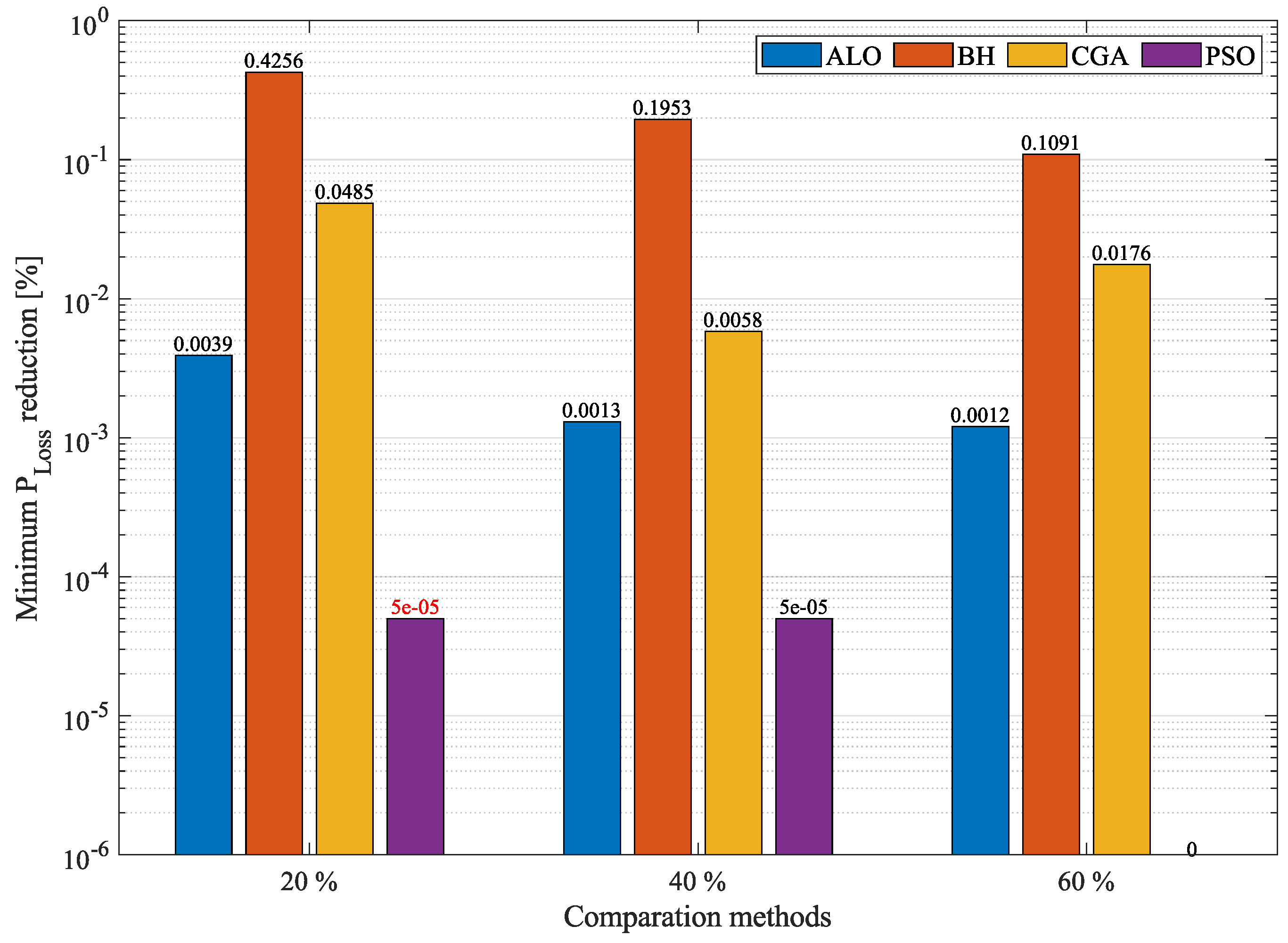
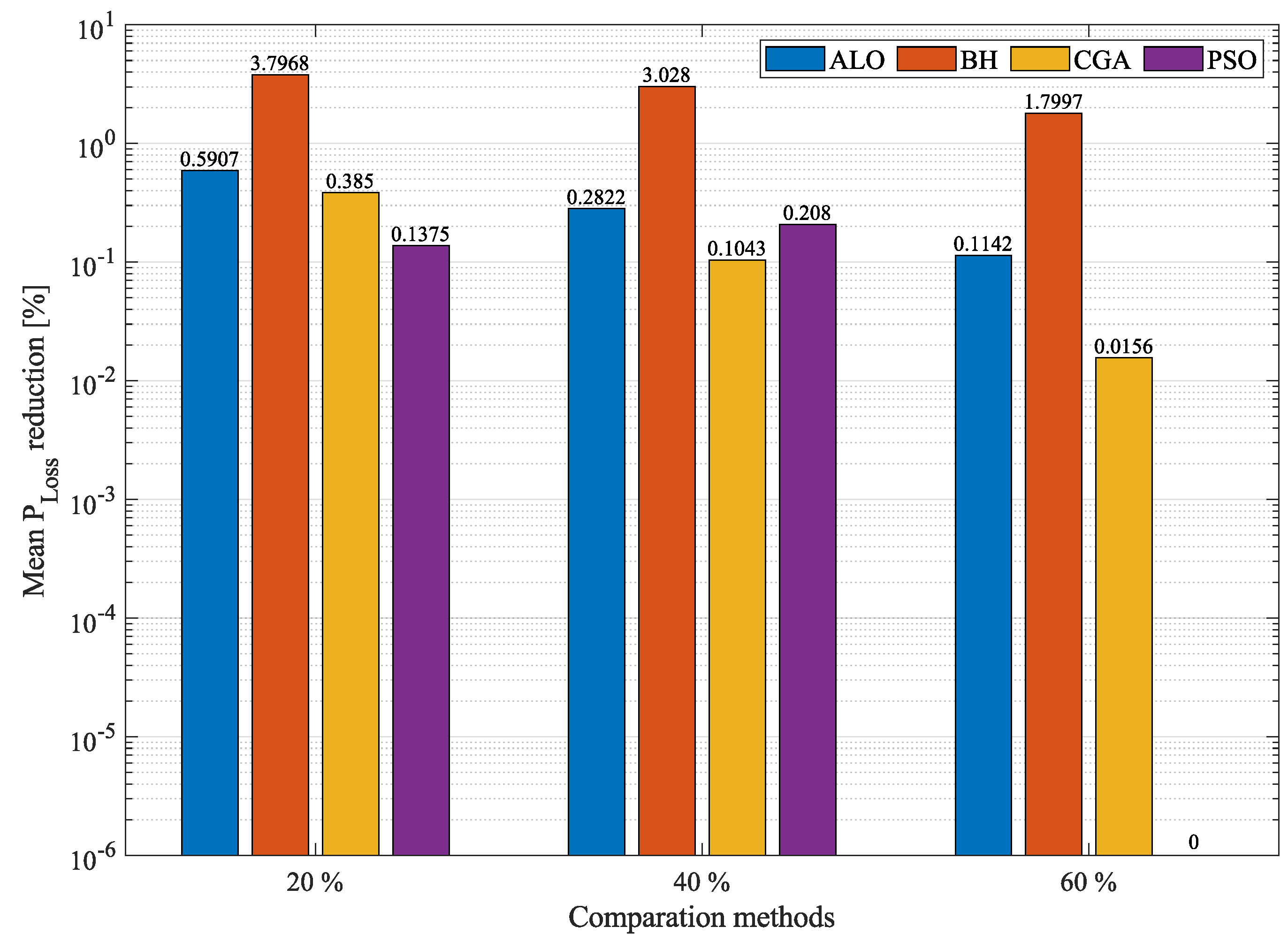
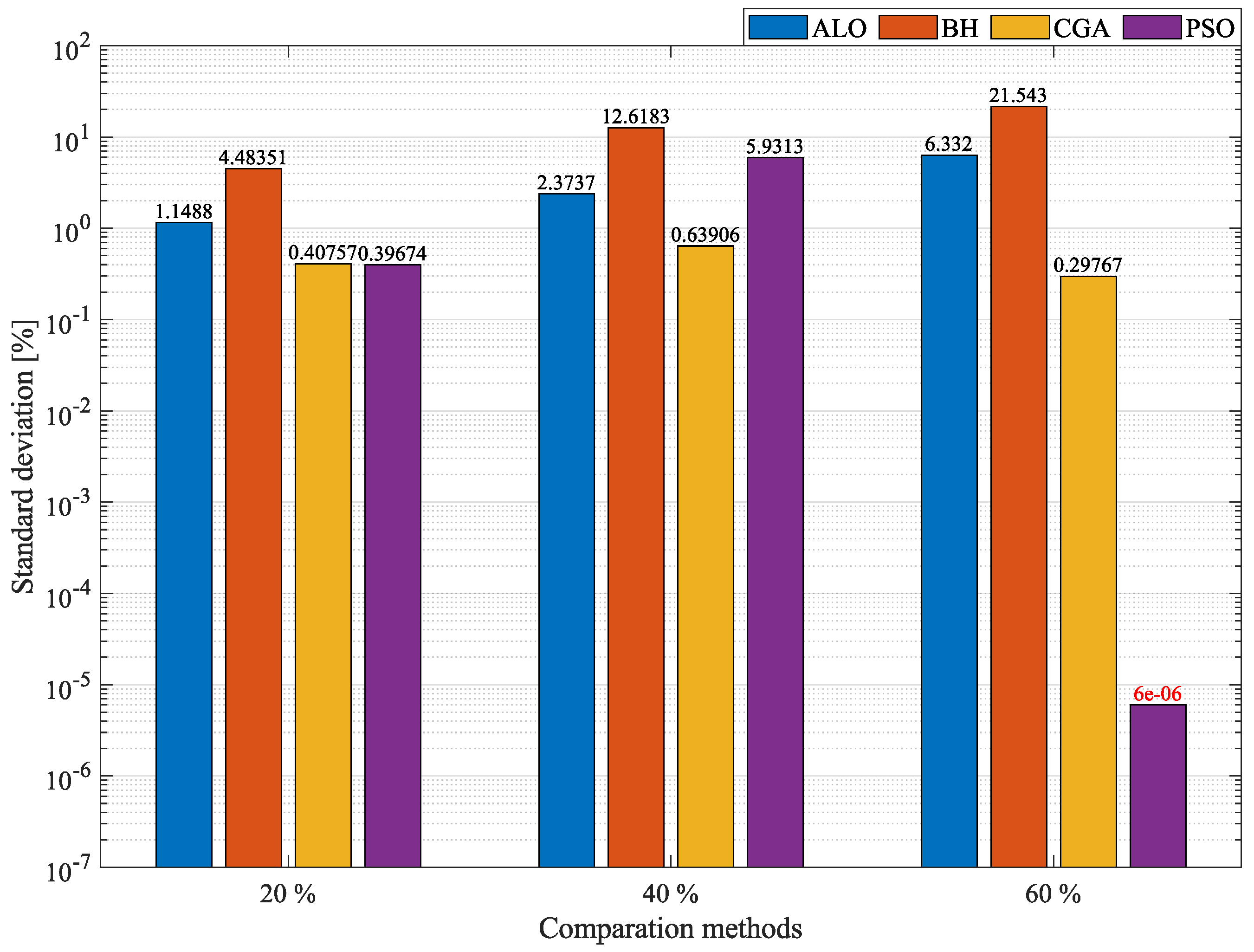
| Method | Node /Power (kW) | Minimum (kW) /Reduction (%) | Average (kW) /Reduction (%) | STD (%) | Vworst (p.u) | Imax (A) |
| Without DGs | - - - | 27.603 | - - - | - - - | (0.9–1.1) | 520 |
| 20% Penetration | ||||||
| 9/0.0004 | ||||||
| 12/17.96 | ||||||
| MVO | 16/98.36 | 13.1822/52.24 | 13.1828/52.24 | 0.003 | 0.96/20 | 380.60 |
| 9/0.03 | ||||||
| 12/16.85 | ||||||
| ALO | 16/99.44 | 13.1833/52.23 | 13.2658/51.94 | 1.14 | 0.96/20 | 380.60 |
| 9/1.15 | ||||||
| 12/32.73 | ||||||
| BH | 16/82.44 | 13.2997/51.81 | 14.0703/49.02 | 2.418 | 0.95/17 | 380.72 |
| 9/0.07 | ||||||
| 12/17.59 | ||||||
| CGA | 16/98.52 | 13.1957/52.19 | 13.2831/51.87 | 0.279 | 0.96/20 | 380.76 |
| 9/0 | ||||||
| 12/17.73 | ||||||
| PSO | 16/98.59 | 13.1823/52.24 | 13.2150/52.12 | 0.783 | 0.96/20 | 380.60 |
| Power Losses | ||||||
| Method | Node /Power (kW) | Minimum (kW) /Reduction (%) | Average (kW) /Reduction (%) | STD [%] | Vworst (p.u) | . Imax (A) |
| Without DGs | - - - | 27.603 | - - - | - - - | (0.9–1.1) | 520 |
| 40% Penetration | ||||||
| 9/30.60 | ||||||
| 12/72.97 | ||||||
| MVO | 16/129.06 | 6.1208/77.82 | 6.1209/77.82 | 0.002 | 0.97/20 | 257.22 |
| 9/30.50 | ||||||
| 12/72.56 | ||||||
| ALO | 16/129.58 | 6.1211/77.82 | 6.1284/77.80 | 0.8 | 0.97/20 | 257.22 |
| 9/41.01 | ||||||
| 12/67.44 | ||||||
| BH | 16/123.66 | 6.1747/77.63 | 6.5352/76.32 | 3.238 | 0.97/20 | 257.81 |
| 9/32.71 | ||||||
| 12/72.06 | ||||||
| CGA | 16/127.87 | 6.1224/77.82 | 6.1473/77.73 | 0.236 | 0.97/20 | 257.23 |
| 9/30.43 | ||||||
| 12/73.22 | ||||||
| PSO | 16/128.99 | 6.1208/77.82 | 6.1471/77.73 | 1.243 | 0.97/20 | 257.22 |
| 60% Penetration | ||||||
| 9/93.33 | ||||||
| 12/107.48 | ||||||
| MVO | 16/148.16 | 2.7853/89.91 | 2.7854/89.91 | 0.002 | 0.98/20 | 137.56 |
| 9/93.09 | ||||||
| 12/108.49 | ||||||
| ALO | 16/147.38 | 2.7856/89.91 | 2.7876/89.90 | 0.044 | 0.98/20 | 137.57 |
| 9/91.48 | ||||||
| 12/110.59 | ||||||
| BH | 16/145.10 | 2.8154/89.80 | 3.0416/88.98 | 4.76 | 0.98/20 | 139.38 |
| 9/92.13 | ||||||
| 12/105.11 | ||||||
| CGA | 16/151.64 | 2.7902/89.89 | 2.8117/89.81 | 0.449 | 0.98/20 | 137.66 |
| 9/93.34 | ||||||
| 12/107.45 | ||||||
| PSO | 16/148.18 | 2.7853/89.91 | 2.8017/89.85 | 2.007 | 0.98/20 | 137.56 |
| 69-Node System | ||||||
|---|---|---|---|---|---|---|
| Power Losses | ||||||
| Method | Node /Power (kW) | Minimum (kW) /Reduction (%) | Average (kW) /Reduction (%) | STD (%) | Vworst (p.u) | Imax (A) |
| Without DGs | - - - | 153.85 | - - - | - - - | (0.9–1.1) | 335 |
| 20% Penetration | ||||||
| 26/5.74 × | ||||||
| 61/564.21 | ||||||
| MVO | 66/244.40 | 56.4856/63.29 | 56.4903/63.28 | 0.011 | 0.961/64 | 247.80 |
| 26/0 | ||||||
| 61/616.06 | ||||||
| ALO | 66/192.22 | 56.5594/63.24 | 57.3990/62.69 | 1.159 | 0.961/64 | 247.83 |
| 26/0.29 | ||||||
| 61/330.66 | ||||||
| BH | 66/471.60 | 57.8050/62.43 | 62.3316/59.49 | 4.494 | 0.962/61 | 248.38 |
| 26/1.60 | ||||||
| 61/560.06 | ||||||
| CGA | 66/246.25 | 56.5850/63.22 | 57.0826/62.90 | 0.418 | 0.961/64 | 247.86 |
| 26/8.15 × | ||||||
| 61/566.67 | ||||||
| PSO | 66/241.94 | 56.4856/63.29 | 56.7017/63.15 | 0.407 | 0.961/64 | 247.80 |
| Power Losses | ||||||
| Method | Node /Power (kW) | Minimum (kW) /Reduction (%) | Average (kW) /Reduction (%) | STD (%) | Vworst (p.u) | . Imax (A) |
| Without DGs | - - - | 153.85 | - - - | - - - | (0.9–1.1) | 335 |
| 40% Penetration | ||||||
| 26/157.93 | ||||||
| 61/1214.34 | ||||||
| MVO | 66/244.97 | 13.9923/90.91 | 13.9929/90.90 | 0.005 | 0.985/21 | 180.57 |
| 26/156.07 | ||||||
| 61/1234.42 | ||||||
| ALO | 66/226.40 | 14.0084/90.89 | 14.4271/90.62 | 2.378 | 0.985/21 | 180.60 |
| 26/141.05 | ||||||
| 61/1093.53 | ||||||
| BH | 66/369.47 | 14.6116/90.50 | 18.6515/87.88 | 12.623 | 0.984/21 | 181.66 |
| 26/156.56 | ||||||
| 61/1189.74 | ||||||
| CGA | 66/270.64 | 14.0101/90.89 | 14.1533/90.80 | 0.644 | 0.985/21 | 180.59 |
| 26/158 | ||||||
| 61/1211.24 | ||||||
| PSO | 66/247.99 | 13.9929/90.90 | 14.3129/90.70 | 5.936 | 0.985/21 | 180.57 |
| 60% Penetration | ||||||
| 26/375.11 | ||||||
| 61/1588.50 | ||||||
| MVO | 66/245.73 | 5.5558/96.39 | 5.5558/96.39 | 0.006 | 0.995/12 | 133.13 |
| 26/380.38 | ||||||
| 61/1584.26 | ||||||
| ALO | 66/250.89 | 5.5577/96.39 | 5.7315/96.27 | 6.332 | 0.995/12 | 132.64 |
| 26/401.27 | ||||||
| 61/1417.44 | ||||||
| BH | 66/343.43 | 5.8840/96.18 | 8.3247/94.59 | 21.543 | 0.995/12 | 136.89 |
| 26/373.60 | ||||||
| 61/1589.01 | ||||||
| CGA | 66/242.18 | 5.5565/96.39 | 5.5797/96.37 | 0.298 | 0.995/12 | 133.49 |
| 26/375.11 | ||||||
| 61/1588.47 | ||||||
| PSO | 66/245.74 | 5.5558/96.39 | 5.5558/96.39 | 5.86 × 10 | 0.995/12 | 133.13 |
Publisher’s Note: MDPI stays neutral with regard to jurisdictional claims in published maps and institutional affiliations. |
© 2021 by the authors. Licensee MDPI, Basel, Switzerland. This article is an open access article distributed under the terms and conditions of the Creative Commons Attribution (CC BY) license (https://creativecommons.org/licenses/by/4.0/).
Share and Cite
Rosales-Muñoz, A.A.; Grisales-Noreña, L.F.; Montano, J.; Montoya, O.D.; Perea-Moreno, A.-J. Application of the Multiverse Optimization Method to Solve the Optimal Power Flow Problem in Direct Current Electrical Networks. Sustainability 2021, 13, 8703. https://doi.org/10.3390/su13168703
Rosales-Muñoz AA, Grisales-Noreña LF, Montano J, Montoya OD, Perea-Moreno A-J. Application of the Multiverse Optimization Method to Solve the Optimal Power Flow Problem in Direct Current Electrical Networks. Sustainability. 2021; 13(16):8703. https://doi.org/10.3390/su13168703
Chicago/Turabian StyleRosales-Muñoz, Andrés Alfonso, Luis Fernando Grisales-Noreña, Jhon Montano, Oscar Danilo Montoya, and Alberto-Jesus Perea-Moreno. 2021. "Application of the Multiverse Optimization Method to Solve the Optimal Power Flow Problem in Direct Current Electrical Networks" Sustainability 13, no. 16: 8703. https://doi.org/10.3390/su13168703
APA StyleRosales-Muñoz, A. A., Grisales-Noreña, L. F., Montano, J., Montoya, O. D., & Perea-Moreno, A.-J. (2021). Application of the Multiverse Optimization Method to Solve the Optimal Power Flow Problem in Direct Current Electrical Networks. Sustainability, 13(16), 8703. https://doi.org/10.3390/su13168703

