Early Bird Scheme for Parking Management: How Does Parking Play a Role in the Morning Commute Problem
Abstract
1. Introduction
- How can the early bird parking strategy result in a more efficient use of parking resources?
- How can the early bird parking strategy reduce traffic congestion?
- How can the early bird parking strategy increase the revenue of parking management?
2. Review of the Literature
2.1. Measuring Traffic Congestion: Vickrey’s Bottleneck Mode
2.2. Parking Management Problem of Different Optimal Perspective
3. Model Framework
3.1. Notations
| Model parameters (all positive scalars) | |
| Value of time | |
| Unit cost of early arrival penalty | |
| Unit cost of late arrival penalty | |
| Parking fee of EBPs | |
| Parking fee of RPs | |
| Penetration rate of early bird parking commuters | |
| Desired working time | |
| Desired pickup time | |
| The schedule gap between early bird parkers and regular parkers | |
| The parking pricing gap between early bird parkers and regular parkers | |
| Capacity of the bottleneck (veh/h) | |
| Total commuting demand | |
| Time-varying variables | |
| Queue length at the bottleneck at time t | |
| The total travel time for commuters departing at time | |
| Queuing time in bottleneck departing at time | |
| The equilibrium departure rate of EBPs | |
| The equilibrium departure rate of RPs early for work | |
| The equilibrium departure rate of RPs late for work | |
| The travel cost of EBPs departing from home at time | |
| The travel cost of RPs departing from home at time | |
| Intermediate notations | |
| The earliest departure time for EBPs and RPs, respectively | |
| The latest departure time for EBPs and RPs, respectively | |
| The punctual departure time of RPs for work | |
| Travel demand for EBPs and RPs, respectively | |
3.2. Model Description and Mainly Assumption
- (i)
- Without loss of generality, assuming , , we can regard the length of bottleneck as the distances of OD pair in the single corridor; meanwhile, the departure time from the origin is equal to the arrival time at bottleneck, and the exiting time of the bottleneck is equivalent to the arrival time at CBD.
- (ii)
- The walking time from parking spaces to workplace and the cruise time in park is ignored without loss of generality. Traffic departure and arrival take place over the interval . According to Assumption (i), , is also the earliest and the last time for commute entering the bottleneck, respectively.
- (iii)
- Assume that is the penetration rate of RD commuters, then is the number of RD commuters; is the number of SD commuters, and always holds. Notably, and denote two extreme patterns in which the mixed-commute system includes only STDs or only EBDs, respectively.
3.3. Estimating Queuing Properties: Vickrey’s Point-Queue Delay Model
3.4. Estimating Trip Cost: Vickrey’s Continuous-Time Schedule Penalty Model
4. Benchmark Departure Patterns for Two Extreme Patterns
4.1. Pattern 1: Departure Scenarios of DUE with Only EBDs
4.2. Pattern 2: Departure Scenarios of DUE with Only SWDs
5. Departure Scenarios with Mixed Commuters
5.1. Parking Schedule Gap Coordination
5.2. Parking Fee Gap Coordination
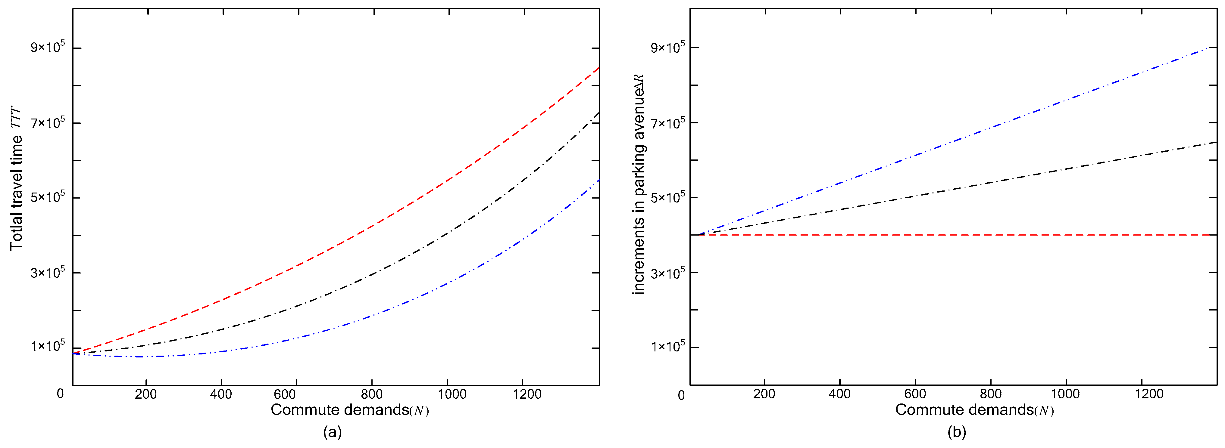
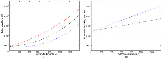
6. Numerical Analysis
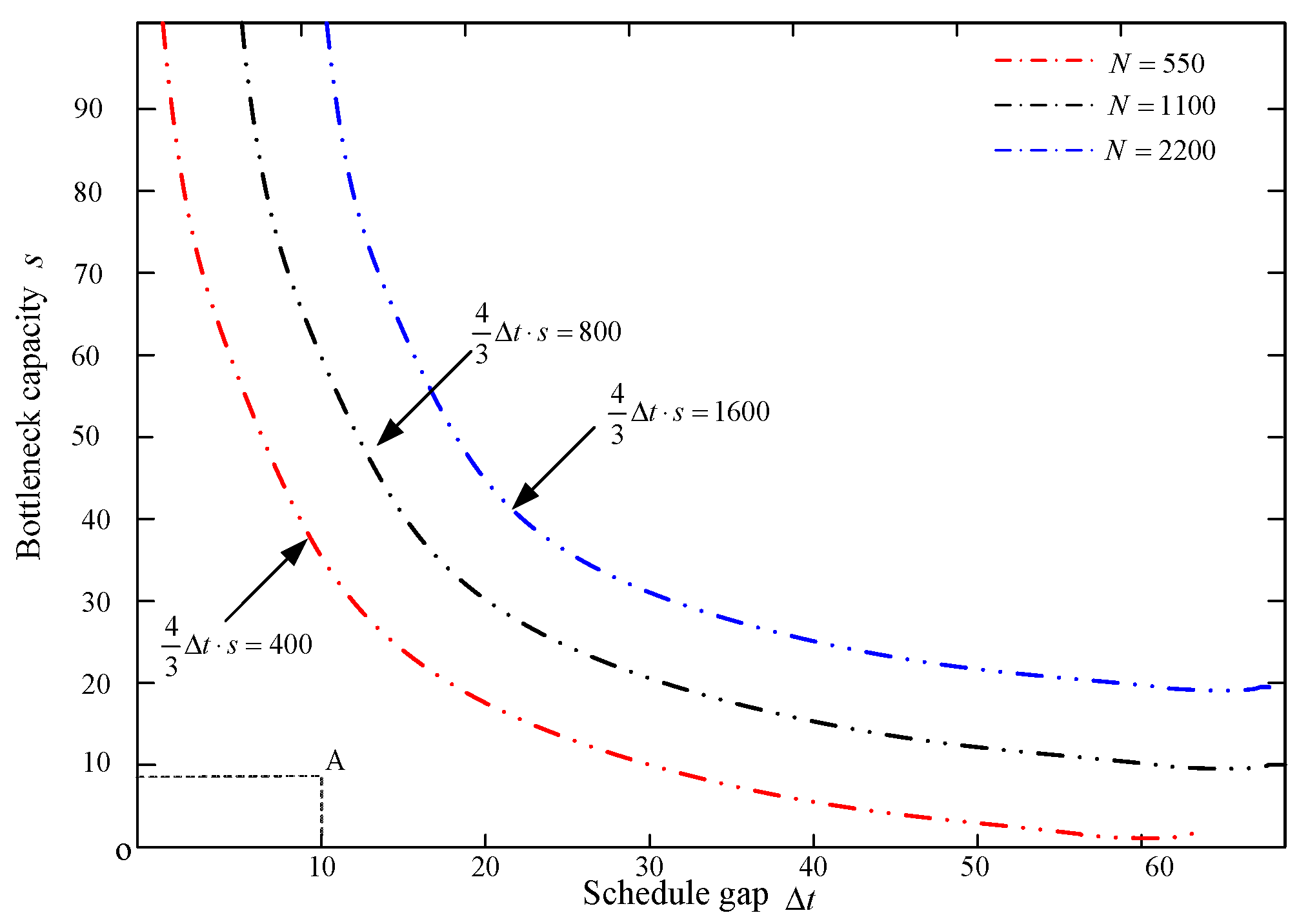
6.1. The Occurrence Domains of () When System Achieve UE in Different Cases
6.2. The Occurrence Domains of () When System Achieve UE in Different Cases
6.3. The Occurrence Domains of () When System Achieve UE in Different Cases
7. Conclusions
Author Contributions
Funding
Institutional Review Board Statement
Informed Consent Statement
Data Availability Statement
Conflicts of Interest
Appendix A. The Feature of Commuting Equilibriums

Appendix B. User Equilibrium Pattern When Parking Demand Is Larger Than Standard Case
Appendix C. User Equilibrium Pattern When Parking Demand Is Smaller Than Standard Case
References
- Mingardo, G.; van Wee, B.; Rye, T. Urban parking policy in Europe: A conceptualization of past and possible future trends. Transp. Res. Part A Policy Pract. 2015, 74, 268–281. [Google Scholar] [CrossRef]
- Rosenblum, J.; Hudson, A.W.; Ben-Joseph, E. Parking futures: An international review of trends and speculation. Land Use Policy 2020, 91. [Google Scholar] [CrossRef]
- Thanh, T.T.M.; Friedrich, H. Legalizing the illegal parking, a solution for parking scarcity in developing countries. Transp. Res. Procedia 2017, 25, 4950–4965. [Google Scholar] [CrossRef]
- Xu, Z.; Yin, Y.; Zha, L. Optimal parking provision for ride-sourcing services. Transp. Res. Part B Methodol. 2017, 105, 559–578. [Google Scholar] [CrossRef]
- Shen, T.; Hong, Y.; Thompson, M.M.; Liu, J.; Huo, X.; Wu, L. How does parking availability interplay with the land use and affect traffic congestion in urban areas? The case study of Xi’an, China. Sustain. Cities Soc. 2020, 57, 102126. [Google Scholar] [CrossRef]
- Dale, S.; Frost, M.; Ison, S.; Quddus, M.; Warren, P. Evaluating the impact of a workplace parking levy on local traffic congestion: The case of Nottingham UK. Transp. Policy 2017, 59, 153–164. [Google Scholar] [CrossRef]
- Franco, S.F. Downtown parking supply, work-trip mode choice and urban spatial structure. Transp. Res. Part B Methodol. 2017, 101, 107–122. [Google Scholar] [CrossRef]
- Qian, Z.S.; Xiao, F.E.; Zhang, H.M. Managing morning commute traffic with parking. Transp. Res. Part B Methodol. 2012, 46, 894–916. [Google Scholar] [CrossRef]
- Zhang, Z.; Zhang, N. The morning commute problem with ridesharing when meet stochastic bottleneck. Sustainability 2021, 13, 6040. [Google Scholar] [CrossRef]
- Arnott, R.; Inci, E. An integrated model of downtown parking and traffic congestion. J. Urban Econ. 2006, 60, 418–442. [Google Scholar] [CrossRef]
- Vickrey, W.S. Congestion Theory and transport investment. Am. Econ. Rev. 1969, 59, 251–260. [Google Scholar]
- Arnott, R.; De Palma, A.; Lindsey, R. Properties of dynamic traffic equilibrium involving bottlenecks, including a paradox and metering. Transp. Sci. 1993, 27, 148–160. [Google Scholar] [CrossRef]
- Arnott, R.; de Palma, A.; Lindsey, R. A temporal and spatial equilibrium analysis of commuter parking. J. Public Econ. 1991, 45, 301–335. [Google Scholar] [CrossRef]
- Fosgerau, M.; de Palma, A. The dynamics of urban traffic congestion and the price of parking. J. Public Econ. 2013, 105, 106–115. [Google Scholar] [CrossRef]
- Arnott, R.; Rowse, J. Downtown parking in auto city. Reg. Sci. Urban Econ. 2009, 39, 1–14. [Google Scholar] [CrossRef]
- Albert, G.; Mahalel, D. Congestion tolls and parking fees: A comparison of the potential effect on travel behavior. Transp. Policy 2006, 13, 496–502. [Google Scholar] [CrossRef]
- Fosgerau, M.; de Palma, A. Congestion in a city with a central bottleneck. J. Urban Econ. 2012, 71, 269–277. [Google Scholar] [CrossRef][Green Version]
- Zhang, X.; Huang, H.-J.; Zhang, H. Integrated daily commuting patterns and optimal road tolls and parking fees in a linear city. Transp. Res. Part B Methodol. 2008, 42, 38–56. [Google Scholar] [CrossRef]
- Zhang, X.; Liu, W.; Waller, S.T.; Yin, Y. Modelling and managing the integrated morning-evening commuting and parking patterns under the fully autonomous vehicle environment. Transp. Res. Part B Methodol. 2019, 128, 380–407. [Google Scholar] [CrossRef]
- Inci, E. A review of the economics of parking. Econ. Transp. 2015, 4, 50–63. [Google Scholar] [CrossRef]
- Arnott, R.; Inci, E. The stability of downtown parking and traffic congestion. J. Urban Econ. 2010, 68, 260–276. [Google Scholar] [CrossRef]
- Parmar, J.; Das, P.; Dave, S.M. Study on demand and characteristics of parking system in urban areas: A review. J. Traffic Transp. Eng. 2020, 7, 111–124. [Google Scholar] [CrossRef]
- Bifulco, G.N. A stochastic user equilibrium assignment model for the evaluation of parking policies. Eur. J. Oper. Res. 1993, 71, 269–287. [Google Scholar] [CrossRef]
- Geroliminis, N. Cruising-for-parking in congested cities with an MFD representation. Econ. Transp. 2015, 4, 156–165. [Google Scholar] [CrossRef]
- Arnott, R.; Rowse, J. Modeling parking. J. Urban Econ. 1999, 45, 97–124. [Google Scholar] [CrossRef]
- Du, Y.; Yu, S.; Meng, Q.; Jiang, S. Allocation of street parking facilities in a capacitated network with equilibrium constraints on drivers’ trav-eling and cruising for parking. Transp. Res. Part C Emerg. Technol. 2019, 101, 181–207. [Google Scholar] [CrossRef]
- Liu, W.; Geroliminis, N. Modeling the morning commute for urban networks with cruising-for-parking: An MFD ap-proach. Transp. Res. Part B Methodol. 2016, 93, 470–494. [Google Scholar] [CrossRef]
- Millard-Ball, A.; Hampshire, R.C.; Weinberger, R. Parking behaviour: The curious lack of cruising for parking in San Francisco. Land Use Policy 2020, 91, 103918. [Google Scholar] [CrossRef]
- Nourinejad, M.; Roorda, M.J. Impact of hourly parking pricing on travel demand. Transp. Res. Part A Policy Pract. 2017, 98, 28–45. [Google Scholar] [CrossRef]
- Azari, K.A.; Arintono, S.; Hamid, H.; Rahmat, R.A.O. Modelling demand under parking and cordon pricing policy. Transp. Policy 2013, 25, 1–9. [Google Scholar] [CrossRef]
- Brueckner, J.K.; Franco, S.F. Employer-paid parking, mode choice, and suburbanization. J. Urban Econ. 2018, 104, 35–46. [Google Scholar] [CrossRef]
- Soto, J.J.; Márquez, L.; Macea, L.F. Accounting for attitudes on parking choice: An integrated choice and latent variable approach. Transp. Res. Part A Policy Pract. 2018, 111, 65–77. [Google Scholar] [CrossRef]
- Leurent, F.; Boujnah, H. Traffic equilibrium in a network model of parking and route choice, with search circuits and cruising flows. Procedia Soc. Behav. Sci. 2012, 54, 808–821. [Google Scholar] [CrossRef]
- Małecki, K. A computer simulation of traffic flow with on-street parking and drivers’ behaviour based on cellular automata and a multi-agent system. J. Comput. Sci. 2018, 28, 32–42. [Google Scholar] [CrossRef]
- Glazer, A.; Niskanen, E. Parking fees and congestion. Reg. Sci. Urban Econ. 1992, 22, 123–132. [Google Scholar] [CrossRef]
- Chu, C.; Wang, C.; Hu, S. Application of e-tag in pricing road tolls and parking fees for traffic congestion mitigation. Transp. Res. Procedia 2017, 25, 2913–2922. [Google Scholar] [CrossRef]
- Qian, Z.S.; Rajagopal, R. Optimal dynamic parking pricing for morning commute considering expected cruising time. Transp. Res. Part C Emerg. Technol. 2014, 48, 468–490. [Google Scholar] [CrossRef]
- Wang, J.; Wang, H.; Zhang, X. A hybrid management scheme with parking pricing and parking permit for a many-to-one park and ride network. Transp. Res. Part C Emerg. Technol. 2020, 112, 153–179. [Google Scholar] [CrossRef]
- Yang, H.; Liu, W.; Wang, X.; Zhang, X. On the morning commute problem with bottleneck congestion and parking space constraints. Transp. Res. Part B Methodol. 2013, 58, 106–118. [Google Scholar] [CrossRef]
- Liu, W.; Yang, H.; Yin, Y.; Zhang, F. A novel permit scheme for managing parking competition and bottleneck congestion. Transp. Res. Part C Emerg. Technol. 2014, 44, 265–281. [Google Scholar] [CrossRef]
- Xiao, L.-L.; Liu, T.-L.; Huang, H.-J. On the morning commute problem with carpooling behavior under parking space constraint. Transp. Res. Part B Methodol. 2016, 91, 383–407. [Google Scholar] [CrossRef]
- Tian, L.-J.; Sheu, J.-B.; Huang, H.-J. The morning commute problem with endogenous shared autonomous vehicle penetration and parking space constraint. Transp. Res. Part B Methodol. 2019, 123, 258–278. [Google Scholar] [CrossRef]
- Lam, W.H.; Li, Z.-C.; Huang, H.-J.; Wong, S. Modeling time-dependent travel choice problems in road networks with multiple user classes and multiple parking facilities. Transp. Res. Part B Methodol. 2006, 40, 368–395. [Google Scholar] [CrossRef]
- Shao, S.; Xu, S.X.; Yang, H.; Huang, G.Q. Parking reservation disturbances. Transp. Res. Part B Methodol. 2020, 135, 83–97. [Google Scholar] [CrossRef]
- Mei, Z.; Feng, C.; Ding, W.; Zhang, L.; Wang, D. Better lucky than rich? Comparative analysis of parking reservation and parking charge. Transp. Policy 2019, 75, 47–56. [Google Scholar] [CrossRef]
- Mei, Z.; Zhang, W.; Zhang, L.; Wang, D. Optimization of reservation parking space configurations in city centers through an agent-based simulation. Simul. Model. Pract. Theory 2020, 99, 102020. [Google Scholar] [CrossRef]
- Wang, X.; Wang, Z. Flexible parking reservation system and pri cing: A continuum approximation approach. Trans-Portation Res. Part B Methodol. 2019, 128, 408–434. [Google Scholar] [CrossRef]
- Carvalho, E.; Ferreira, D.; de Abreu, J.; Silva, E. Tackling cruising for parking with an online system of curb parking space reservations. Case Stud. Transp. Policy 2017, 5, 179–187. [Google Scholar] [CrossRef]
- Su, Q.; Wang, D.Z. Morning commute problem with supply management considering parking and ride-sourcing. Transp. Res. Part C Emerg. Technol. 2019, 105, 626–647. [Google Scholar] [CrossRef]
- Wadud, Z. An examination of the effects of ride-hailing services on airport parking demand. J. Air Transp. Manag. 2020, 84, 101783. [Google Scholar] [CrossRef]
- Ma, R.; Zhang, H. The morning commute problem with ridesharing and dynamic parking charges. Transp. Res. Part B Methodol. 2017, 106, 345–374. [Google Scholar] [CrossRef]
- Nourinejad, M.; Bahrami, S.; Roorda, M.J. Designing parking facilities for autonomous vehicles. Transp. Res. Part B Methodol. 2018, 109, 110–127. [Google Scholar] [CrossRef]
- Liu, W. An equilibrium analysis of commuter parking in the era of autonomous vehicles. Transp. Res. Part C Emerg. Technol. 2018, 92, 191–207. [Google Scholar] [CrossRef]








| Supply Paradigm | Management Paradigm | |
|---|---|---|
| Reason of UPM problem | Inadequate parking supply | Imbalance between supply and demand; unjustified pricing strategy; asymmetrical parking information |
| Attitude of parking supply | Sufficient parking supply | Bayesian paradox in parking supply |
| Attitude of parking fees | Free or inexpensive parking fees | Reasonable fees as one of congestion control |
| Attitude of parking priority | First-come principle | Higher priority conducive to efficiency improvement |
| Attitude of parking requirements | Strict application | Flexible |
| Attitude of parking innovation | Under-proven and widely accepted | Encouraged |
| Attitude of parking management | Allowed only when increasing supply is infeasible | Widely applied as a primary role in UPM |
| Land-use strategy | Acceptable or even desirable | Automobile-oriented development is undesirable |
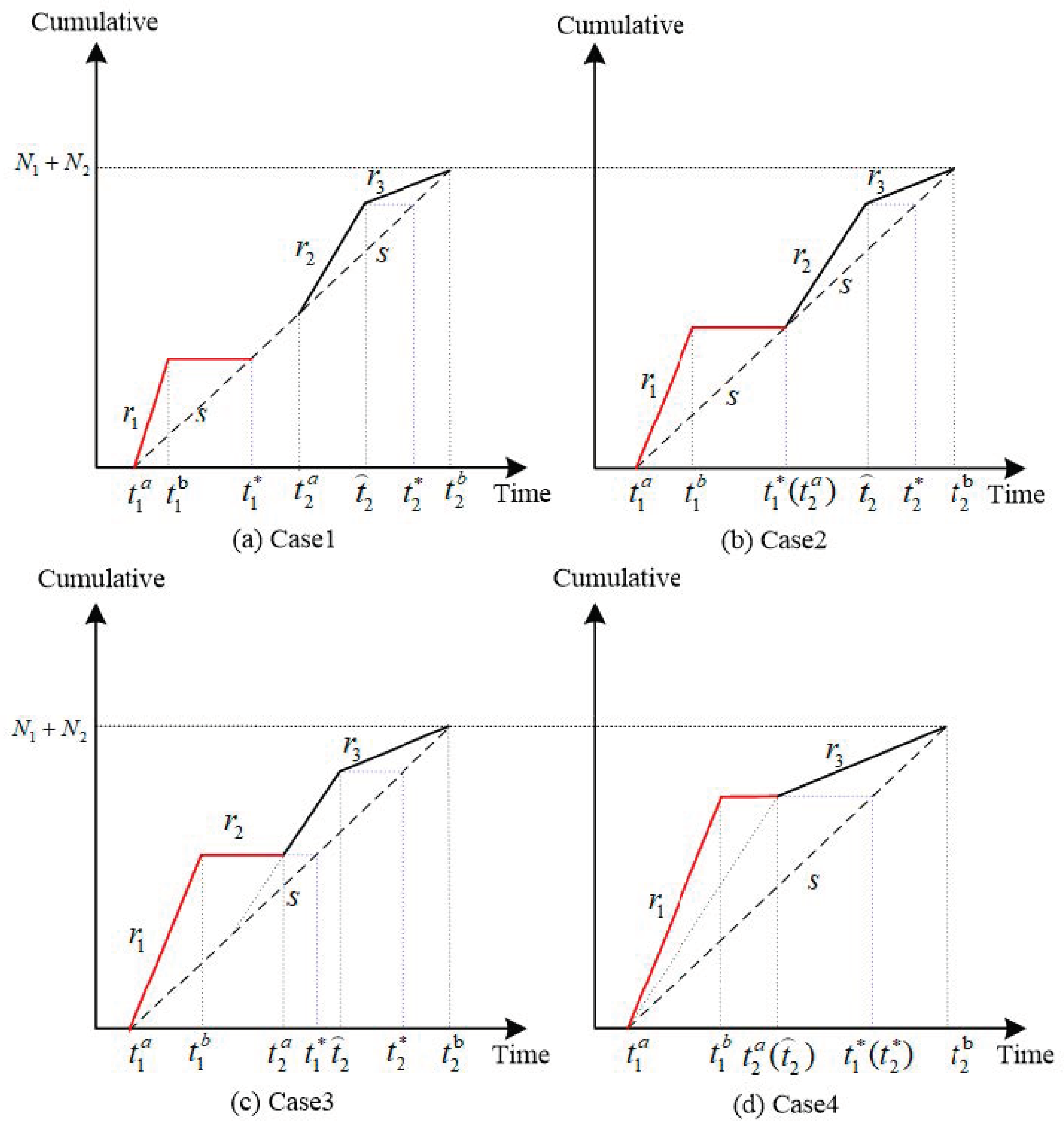
| Cases | Conditions | Figures | ||||
|---|---|---|---|---|---|---|
| Case 1 | Figure 3a | |||||
| Case 2 | Figure 3b | |||||
| Case 3 | Figure 3c | |||||
| Case 4 | Figure 3d |
| Segment NO. | Description | Length | Number of Lanes |
|---|---|---|---|
| 1 | Houhai Overpass (A) and Keyuan Overpass (B) | 458 m | 3 |
| 2 | Keyuan Overpass (B) and West Shahe Overpass (C) | 770 m | 3 |
| 3 | West Shahe Overpass (C) and East Shahe Overpass (D) | 995 m | 3 |
| 4 | East Shahe Overpass (D) and Shenwan Overpass (E) | 1560 m | 3 |
| 5 | Shenwan Overpass (E) and East Qiaocheng Overpass (F) | 1200 m | 3 |
| 6 | East Qiaocheng Overpass (F) and Zhuzilin Overpass (G) | 2200 m | 3 |
| Cases | Condition | Total Travel Time | Increases in Parking Revenue |
|---|---|---|---|
| 0 | |||
| 0 | |||
| Where , , , | |||
Publisher’s Note: MDPI stays neutral with regard to jurisdictional claims in published maps and institutional affiliations. |
© 2021 by the authors. Licensee MDPI, Basel, Switzerland. This article is an open access article distributed under the terms and conditions of the Creative Commons Attribution (CC BY) license (https://creativecommons.org/licenses/by/4.0/).
Share and Cite
Zhang, Z.; Zhang, N. Early Bird Scheme for Parking Management: How Does Parking Play a Role in the Morning Commute Problem. Sustainability 2021, 13, 8531. https://doi.org/10.3390/su13158531
Zhang Z, Zhang N. Early Bird Scheme for Parking Management: How Does Parking Play a Role in the Morning Commute Problem. Sustainability. 2021; 13(15):8531. https://doi.org/10.3390/su13158531
Chicago/Turabian StyleZhang, Zipeng, and Ning Zhang. 2021. "Early Bird Scheme for Parking Management: How Does Parking Play a Role in the Morning Commute Problem" Sustainability 13, no. 15: 8531. https://doi.org/10.3390/su13158531
APA StyleZhang, Z., & Zhang, N. (2021). Early Bird Scheme for Parking Management: How Does Parking Play a Role in the Morning Commute Problem. Sustainability, 13(15), 8531. https://doi.org/10.3390/su13158531

