Influence of Slope Gradient and Aspect on Soil Organic Carbon Content in the Region of Niš, Serbia
Abstract
1. Introduction
2. Materials and Methods
2.1. Study Area
2.2. Climate Characteristics
2.2.1. Temperature Characteristics
2.2.2. Precipitation Characteristics
2.3. Classifications of Topographic Factors
2.4. Soil Sampling
2.5. Laboratory Analysis
2.6. Statistical Analyses
3. Results and Discussion
3.1. Characteristics of the Soil
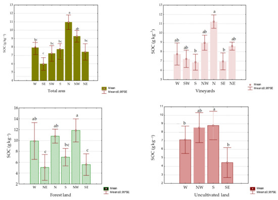
3.2. Effect of Slope Aspect on SOC Content
3.3. Effect of Slope Gradient on SOC Content
3.4. Correlation between Selected Soil Properties
4. Conclusions
Author Contributions
Funding
Institutional Review Board Statement
Informed Consent Statement
Data Availability Statement
Conflicts of Interest
References
- Bauer, A.; Black, A.L. Quantification of the Effect of Soil Organic Matter Content on Soil Productivity. Soil Sci. Soc. Am. J. 1994, 58, 185–193. [Google Scholar] [CrossRef]
- Loveland, P. Is There a Critical Level of Organic Matter in the Agricultural Soils of Temperate Regions: A Review. Soil Tillage Res. 2003, 70, 1–18. [Google Scholar] [CrossRef]
- Wang, D.; Liu, Y.; Wu, G.L.; Ding, L.M.; Yang, Z.; Hao, H.M. Effect of rest-grazing management on soil water and carbon storage in an arid grass-land. J. Hydrol. 2015, 527, 754–760. [Google Scholar]
- Griffiths, R.P.; Madritch, M.D.; Swanson, A.K. The effects of topography on forest soil characteristics in the Oregon Cascade Mountains (USA): Implications for the effects of climate change on soil properties. For. Ecol. Manag. 2009, 257, 1–7. [Google Scholar] [CrossRef]
- Jobbágy, E.G.; Jackson, R.B. The vertical distribution of soil organic carbon and its relation to climate and vegetation. Ecol. Appl. 2000, 10, 423–436. [Google Scholar] [CrossRef]
- Zhang, J.; Wang, X.; Wang, J. Impact of land use change on profile distributions of soil organic carbon fractions in the Yanqi Basin. Catena 2014, 115, 79–84. [Google Scholar] [CrossRef]
- Zheng, X.Y.; Liu, M.Z.; Zhao, X.; Li, A.; Chen, S.; Chen, S.; Han, X.; Huang, J. Topography and grazing effects on storage of soil organic carbon and nitrogen in the northern China grasslands. Ecol. Indic. 2018, 93, 45–53. [Google Scholar] [CrossRef]
- Ping, C.L.; Jastrow, J.D.; Jorgenson, M.T.; Michaelson, G.J.; Shur, Y.L. Permafrost soils and carbon cycling. Soil 2015, 1, 147–171. [Google Scholar] [CrossRef]
- Meier, I.C.; Leuschner, C. Variation of soil and biomass carbon pools in beech forests across a precipitation gradient. Glob. Change Biol. 2010, 16, 1035–1045. [Google Scholar] [CrossRef]
- Scowcroft, P.G.; Douglas, R.; Turner, P.; Vitousek, M. Decomposition of Metrosideros polymorpha leaf litter along elevational gradients in Hawaii. Glob. Change Biol. 2000, 6, 73–85. [Google Scholar] [CrossRef]
- Lozano-García, B.; Parras-Alcántara, L.; Brevik, E.C. Impact of topographic aspect and vegetation (native and reforested areas) on soil organic carbon and nitrogen budgets in Mediterranean natural areas. Sci. Tot. Environ. 2016, 544, 963–970. [Google Scholar] [CrossRef]
- Ajami, M.; Heidari, A.; Khormali, F. Environmental factors controlling soil organic carbon storage in loess soils of a subhumid region, northern Iran. Geoderma 2016, 281, 1–10. [Google Scholar] [CrossRef]
- Jia, S.; Li, F.; Su, J. Influence of terrain factors on soil organic carbon stock in Pinus kesiya var. langbianensis plantation. For. Res. 2016, 29, 424–429. [Google Scholar]
- Fan, Y.Q. An Analysis on the Differences of Carbon Storage of Phyllostachys Edulis Ecosystem under the Terrain Conditions and Management Intensity (in Chinese). In The Effect of Terrain Conditions on Carbon Storage of Phyllostachys Edulis; Zhejiang A&F University: Zhejiang, China, 2012; pp. 28–34. [Google Scholar]
- Jakšić, S.; Ninkov, J.; Milić, S.; Vasin, J.; Banjac, D.; Jakšić, D.; Živanov, M. The State of Soil Organic Carbon in Vineyards as Affected by Soil Types and Fertilization Strategies (Tri Morave Region, Serbia). Agronomy 2021, 11, 9. [Google Scholar] [CrossRef]
- Ivanišević, D.; Jakšić, D.; Korać, N. Vineyard Atlas; Republican Bureau of Statistics: Belgrade, Serbia, 2015.
- Jakšić, D.; Petrović, V. Some Important Properties of the Terroir of the Vineyard Region of Niš. In Soil Properties of the Vineyard Region of Niš; Ninkov, J., Ed.; Institute of Field and Vegetable Crops: Novi Sad, Serbia, 2017; pp. 43–92. [Google Scholar]
- Nakalamić, A.; Marković, N. Opšte Vinogradarstvo; Poljoprivredni Fakultet Beograd; Zadužbina Svetog Manastira Hilandara: Belgrade, Serbia, 1993. [Google Scholar]
- Tonietto, J.; Carbonneau, A. A multicriteria climatic classification system for grape-growing regions worldwide. Agric. For. Meteorol. 2004, 124, 81–97. [Google Scholar] [CrossRef]
- Food and Agriculture Organization. Forest Survey Manual (Forstliche Standortsaufnahme), 7th ed.; FAO: Rome, Italy, 2016. [Google Scholar]
- ISO/IEC 17025:2017. General Requirements for the Competence of Testing and Calibration Laboratories; Institute for Standardization of Serbia: Belgrade, Serbia, 2017. [Google Scholar]
- ISO 11464:2006. Soil Quality—Pretreatment of Samples for Physico-Chemical Analysis; Institute for Standardization of Serbia: Belgrade, Serbia, 2006. [Google Scholar]
- ISO 10390:2005. Soil Quality—Determination of pH; Institute for Standardization of Serbia: Belgrade, Serbia, 2005. [Google Scholar]
- ISO 10693:1995. Soil Quality—Determination of Carbonate Content—Volumetric Method; Institute for Standardization of Serbia: Belgrade, Serbia, 1995. [Google Scholar]
- ISO 10694:1995. Soil Quality—Determination of Organic and Total Carbon After Dry Combustion (Elementary Analysis); Institute for Standardization of Serbia: Belgrade, Serbia, 1995. [Google Scholar]
- Egner, H.; Riehm, H. Die Untersuchung von Böden; Thun, R., Herrmann, R., Knickmann, E., Eds.; Neumann Verlag: Radebeul-Berlin, Germany, 1995; pp. 110–125. [Google Scholar]
- Van Reeuwijk, L.P. Procedures for Soil Analysis, 6th ed.; ISRIC FAO Technical Paper Volume 9; International Soil Reference and Information Centre Wageningen: Wageningen, The Netherlands, 2002. [Google Scholar]
- Belić, M.; Nešić, L.J.; Ćirić, V. Practicum in Pedology; Faculty of Agriculture: Novi Sad, Serbia, 2014; p. 90. [Google Scholar]
- Gücüyen, A. Manisa ili ve Çevresinde Bağcılıkta Mekanizasyon Durumu, Sorunları ve iyi Tarım Uygulamalarına Yönelik Çözüm Önerileri; Ege Üniversitesi Fen Bilimleri Enstitüsü: Bornova, Turkey, 2007; p. 146. (In Turkish) [Google Scholar]
- Antonović, M.; Mrvić, V. Zemljišta sliva Nišave; Institute of Soil Science: Belgrade, Serbia, 2008; p. 214. [Google Scholar]
- Zhu, M.; Feng, Q.; Qin, Y.; Mengxu, C.; Cao, J.; Zhang, M.; Liu, W. The role of topography in shaping the spatial patterns of soil organic carbon. Catena 2019, 176, 296–305. [Google Scholar] [CrossRef]
- Qin, Y.; Feng, Q.; Holden, N.M.; Cao, J.J. Variation in soil organic carbon by slope aspect in the middle of the Qilian mountains in the upper Heihe river basin, China. Catena 2016, 147, 308–314. [Google Scholar] [CrossRef]
- Lenka, S.; Patnaik, U.S. Soil carbon sequestration as affected by slope aspect under restoration treatments of a degraded alfisol in the Indian sub-tropics. Geoderma 2013, 204–205, 102–110. [Google Scholar] [CrossRef]
- Tamene, G.M.; Adiss, H.K.; Alemu, M.Y. Effect of Slope Aspect and Land Use Types on Selected Soil Physicochemical Properties in North Western Ethiopian Highlands. Appl. Environ. Soil Sci. 2020, 2020, 8463259. [Google Scholar] [CrossRef]
- Sharma, C.M.; Gairola, S.; Baduni, N.P.; Ghildiyal, S.K.; Suyal, S. Variation in carbon stocks in different slope aspects in seven forest types of temperate region of Garhwal Himalaya, India. J. Biol. Sci. 2011, 36, 701–708. [Google Scholar] [CrossRef] [PubMed]
- Sigua, G.C.; Coleman, S.W. Spatial distribution of soil organic carbon in pastures with cow-calf operations: Effect of slope aspect and slope position. J. Soils Sediments 2010, 10, 240–247. [Google Scholar] [CrossRef]
- Yohannes, H.; Soromessa, T.; Argaw, M. Carbon Stock Analysis along Slope and Slope Aspect Gradient in Gedo Forest: Implications for Climate Change Mitigation. J. Earth Sci. Clim. Chang. 2015, 6, 305. [Google Scholar] [CrossRef]
- Holland, P.G.; Steyn, D.G. Vegetational responses to latitudinal variations in slope angle and aspect. J. Biogeogr. 1975, 2, 179–183. [Google Scholar] [CrossRef]
- Begum, F.; Bajracharya, R.M.; Sharma, S.; Sitaula, B.K. Influence of slope aspect on soil physico-chemical and biological Properties in the mid hills of central Nepal. Int. J. Sustain. Dev. World Ecol. 2010, 17, 438–443. [Google Scholar] [CrossRef]
- Abebe, G.; Tsunekawa, A.; Haregeweyn, N.; Takeshi, T.; Wondie, M.; Adgo, E.; Masunaga, T.; Tsubo, M.; Ebabu, K.; Berihun, M.L.; et al. Effects of Land Use and Topographic Position on Soil Organic Carbon and Total Nitrogen Stocks in Different Agro-Ecosystems of the Upper Blue Nile Basin. Sustainability 2020, 12, 2425. [Google Scholar] [CrossRef]
- Schöning, I.; Totsche, K.U.; Kögel-Knabner, I. Small Scale Spatial Variability of Organic Carbon Stocks in Litter and Solum of a Forested Luvisol. Geoderma 2006, 136, 631–642. [Google Scholar] [CrossRef]
- Rhanor, T. Topographic Position and Land Cover Effects on Soil Organic Carbon Distribution of Loess-Veneered Hillslopes in the Central United States; Southern Illinois University Carbondale: Carbondale, IL, USA, 2013. [Google Scholar]
- Dortzbach, D.; Assunção, S.A.; Pereira, M.G.; Carvalho da Silva, E. Fractions of soil organic matter in the vineyards of altitude regions in Santa Catarina. Ciênc. Agrár. Londrina 2017, 38, 1799–1812. [Google Scholar] [CrossRef][Green Version]
- Liu, T.; Yang, L.; Hu, Z.; Xue, J.; Lu, Y.; Chen, X.; Liu, M.; Griffiths, B.S.; Whalen, J.K. Biochar exerts negative effects on soil fauna across multiple trophic levels in a cultivated acidic soil. Biol. Fertil. Soils 2020, 56, 597–606. [Google Scholar] [CrossRef]
- Islam, K.K.; Anusontpornperm, S.; Kheoruenromne, I.; Thanachit, S. Relationship between Carbon Sequestration and Physico-Chemical Properties of Soils in Salt-Affected Areas, Northeast Thailand. Kasetsart J. Nat. Sci. 2014, 48, 560–576. [Google Scholar]
- Ayaz, M.; Akhtar, M.; Rukh, S.; Imran, M.; Hassan, A.; Abbasi, K.; Qayyum, A. Soil Organic Carbon Stock Variation with Climate and Land Use in Shale Derived Soils. J. Serbian Chem. Soc. 2018, 83, 785–793. [Google Scholar]
- Abidela Hussein, M.; Muche, H.; Schmitter, P.; Nakawuka, P.; Tilahun, S.A.; Langan, S.; Barron, J.; Steenhuis, T.S. Deep Tillage Improves Degraded Soils in the (Sub) Humid Ethiopian Highlands. Land 2019, 8, 159. [Google Scholar] [CrossRef]
- Yimer, F.; Ledin, S.; Abdelkadir, A. Soil organic carbon and total nitrogen stocks as affected by topographic aspect and vegetation in the Bale Mountains, Ethiopia. Geoderma 2006, 135, 335–344. [Google Scholar] [CrossRef]
- Wiesmeier, M.; Urbanski, L.; Hobley, E.; Lang, B.; von Lützow, M.; Marin-Spiotta, E.; van Wesemael, B. Soil Organic Carbon Storage as a Key Function of Soils—A Review of Drivers and Indicators at Various Scales. Geoderma 2019, 333, 149–162. [Google Scholar] [CrossRef]
- Augustin, C.; Cihacek, L. Relationships Between Soil Carbon and Soil Texture in the Northern Great Plains. Soil Sci. 2016, 181, 1. [Google Scholar] [CrossRef]
- Prasad, R.; Power, J.F. Soil Fertility Management for Sustainable Agriculture; CRC Press: Boca Raton, FL, USA, 1997; p. 243. [Google Scholar]
- Vos, C.; Don, A.; Hobley, E.U.; Prietz, R.; Heidkamp, A.; Freibauer, A. Factors Controlling the Variation in Organic Carbon Stocks in Agricultural Soils of Germany. Eur. J. Soil Sci. 2019, 70, 550–564. [Google Scholar] [CrossRef]
- Meersmans, J.; De Ridder, F.; Canters, F.; De Baets, S.; Van Molle, M. A Multiple Regression Approach to Assess the Spatial Distribution of Soil Organic Carbon (SOC) at the Regional Scale (Flanders, Belgium). Geoderma 2008, 143, 1–13. [Google Scholar] [CrossRef]
- Meersmans, J.; Martin, M.P.; Lacarce, E.; De Baets, S.; Jolivet, C.; Boulonne, L.; Lehmann, S.; Philippe, N.; Saby, A.; Bispo, A.; et al. A High Resolution Map of French Soil Organic Carbon. Agron. Sustain. Dev. 2012, 32, 841–851. [Google Scholar] [CrossRef]
- Hassink, J.; Whitmore, A.P. A Model of the Physical Protection of Organic Matter in Soils. Soil Sci. Soc. Am. J. 1997, 61, 131–139. [Google Scholar] [CrossRef]
- Plante, A.F.; Conant, R.T.; Stewart, C. Impact of Soil Texture on the Distribution of Soil Organic Matter in Physical and Chemical Fractions. Soil Sci. Soc. Am. J. 2006, 70, 287–296. [Google Scholar] [CrossRef]
- Gulde, S.C.; Chung, H.; Amelung, W.; Chan, C.U. Soil Carbon Saturation Controls Labile and Stable Carbon Pool Dynamics. Soil Sci. Soc. Am. J. 2008, 72, 605–612. [Google Scholar] [CrossRef]
- Li, Y.; Wang, X.; Niu, Y.; Lian, J.; Luo, Y.; Chen, Y.; Gong, X.; Yang, H.; Yu, P. Spatial Distribution of Soil Organic Carbon in the Ecologically Fragile Horqin Grassland of Northeastern China. Geoderma 2018, 325, 102–109. [Google Scholar] [CrossRef]
- Wubie, M.A.; Assen, M. Effects of land cover changes and slope gradient on soil quality in the Gumara watershed, Lake Tana basin of North–West Ethiopia. Model. Earth Syst. Environ. 2020, 6, 85–97. [Google Scholar] [CrossRef]











| Locality | GPS (E) | GPS (N) | Soil Type (FAO–WRB) |
|---|---|---|---|
| Jasenje | 21.575951 | 43.629562 | Haplic Vertisol (Ochric), VR-ha-oh |
| Šurić | 21.644822 | 43.453924 | Haplic Vertisol (Ochric), VR-ha-oh |
| Beli Breg | 21.814915 | 43.478903 | Haplic Vertisol (Ochric), VR-ha-oh |
| Beli Potok | 21.859135 | 43.674641 | Haplic Vertisol (Ochric), VR-ha-oh |
| Vele Polje | 21.827743 | 43.450464 | Haplic Vertisol (Ochric), VR-ha-oh |
| Svrljig | 22.069715 | 43.414675 | Abruptic Luvisol (Clayic), LV-ap-ce |
| Jasenovik | 22.030862 | 43.355521 | Haplic Vertisol (Ochric), VR-ha-oh |
| Malča | 22.010568 | 43.316971 | Haplic Vertisol, VR-ha-oh |
| Sićevo | 22.081987 | 43.346480 | Skeletic, Dolomitic, Eutric Leptosol (Clayic, Ochric), LP-sk.do.eu-ce.oh |
| Gornji Barbeš | 21.950723 | 43188976 | Vertic, Eutric Cambisol (Ochric), CM-vr.eu-oh |
| Soil Properties | Vineyard | Forest | Uncultivated Land |
|---|---|---|---|
| 0–30 cm | |||
| pH (in H2O) | 6.64 ± 0.96; (4.99–8.23) 1 | 6.76 ± 1.16; (4.31–8.29) | 6.39 ± 0.95; (5.19–7.96) |
| CaCO3 (%) | 2.73 ± 6.42; (0.00–23.06) | 2.48 ± 10.48; (0.00–11.32) | 1.92 ±5.98; (0.00–18.87) |
| N (%) | 0.12 ± 0.02; (0.09–0.17) | 0.15 ± 0.06; (0.08–0.30) | 0.14 ±0.07; (0.08–0.30) |
| Clay (%) | 37.94 ± 9.12; (21.44–61.88) | 34.12 ± 9.92; (23.80–56.32) | 33.16 ± 11.43; (25.64–44.84) |
| Silt (%) | 22.07 ± 4.40; (15.36–31.08) | 22.82 ± 4.93; (18.40–32.72) | 22.24 ± 7.26; (17.76–32.36) |
| Fine sand (%) | 27.67 ± 5.58; (11.04–37.09) | 30.45 ± 7.35; (17.27–38.87) | 32.03 ± 10.11; (26.00–43.00) |
| Coarse sand (%) | 12.37 ± 9.89; (2.34–38.88) | 12.60 ± 8.32; (4.57–20.21) | 12.58 ± 5.05; (5.32–19.37) |
| AP (P2O5) (ppm) | 47.00 ± 3.63; (12.00–130.00) | 55.00 ± 4.15; (11.00–229.00) | 53.80 ± 7.90; (5.00–232.00) |
| AK (K2O) (ppm) | 300 ± 10.67; (209.00–635.00) | 290.00 ± 10.40; (136.00–545.00) | 313.50 ± 2.54; (205.00–570.00) |
| 30–60 cm | |||
| pH (in H2O) | 6.47 ± 0.99;(5.42–8.34) | 7.07 ± 1.36; (5.11–8.43) | 6.96 ± 1.17; (5.55–8.49) |
| CaCO3 (%) | 4.30 ± 9.83; (0.00–36.60) | 6.43 ± 10.92; (0.00–41.09) | 3.45 ± 16.89; (0.00–46.96) |
| N (%) | 0.10 ± 0.02; (0.04–0.15) | 0.11 ± 0.08; (0.04–0.32) | 0.07 ± 0.04; (0.05–0.14) |
| Clay (%) | 40.34 ± 7.79; (21.56–51.82) | 39.09 ± 6.32; (28.80–46.84) | 37.92 ± 9.93; (21.76–55.88) |
| Silt (%) | 20.84 ± 4.80; (14.24–30.48) | 22.36 ± 5.80; (15.80–33.84) | 18.41 ± 6.15; (13.76–34.96) |
| Fine sand (%) | 26.54 ± 5.26; (14.66–37.78) | 27.05 ± 5.31; (16.44–33.89) | 29.69 ± 9.24; (18.15–40.71) |
| Coarse sand (%) | 12.28 ± 9.80; (3.36–33.11) | 11.50 ± 4.70; (4.99–17.71) | 13.98 ± 4.09; (5.08–17.92) |
| AP (P2O5) (ppm) | 27.00 ± 2.34; (0.50–90.00) | 20.00 ± 4.15; (6.00–69.00) | 28.70 ± 3.59; (60.00–119.00) |
| AK (K2O) (ppm) | 243.00 ± 6.97; (145.00–460.00) | 214.00 ± 10.13; (141.00–291.00) | 211.50 ± 6.81; (86.00–345.00) |
| Slope Gradient (°) | Soil Depth (cm) | Vineyard | Forest | Uncultivated Land |
|---|---|---|---|---|
| 1–2 | 0–30 | 8.29–12.47 1 | 12.41–13.47 | 9.30–15.00 |
| 10.02 ± 2.22 2 | 12.94 ± 2.70 | 12.15 ± 3.70 | ||
| 30–60 | 3.89–9.16 | 6.36–10.61 | 3.80–10.40 | |
| 5.99 ± 2.32 | 8.49 ± 2.17 | 7.10 ± 3.80 | ||
| 2–5 | 0–30 | 8.12–12.24 | 7.66–14.11 | 6.30–10.40 |
| 9.55 ± 2.44 | 11.55 ± 2.34 | 8.67 ± 3.60 | ||
| 30–60 | 5.34–11.66 | 3.48–9.63 | 2.60–6.70 | |
| 7.91 ± 2.27 | 6.32 ± 2.33 | 4.40 ± 2.60 | ||
| 5–10 | 0–30 | 6.49–14.07 | 7.55–15.49 | 10.40–10.70 |
| 9.70 ± 2.52 | 11.52 ± 2–90 | 10.50 ± 3.40 | ||
| 30–60 | 3.74–8.99 | 2.55–7.31 | 3.80–4.70 | |
| 6.58 ± 2.42 | 4.93 ± 1.70 | 4.25 ± 2.00 |
| SOC | pH | CC | TN | CL | ST | FS | CS | AP | AK | |
|---|---|---|---|---|---|---|---|---|---|---|
| Vineyards | ||||||||||
| SOC | – | 0.12 | 0.19 | 0.89 * | 0.33 * | 0.38 * | −0.13 | −0.39 * | 0.45 * | 0.70 * |
| SL | 0.03 | 0.16 | 0.39 | 0.11 | −0.21 | 0.18 | −0.06 | 0.16 | 0.43 * | −0.05 |
| Forest land | ||||||||||
| SOC | – | 0.12 | 0.34 | 0.95 * | −0.05 | 0.74 * | 0.10 | −0.24 | 0.42 * | 0.19 |
| SL | 0.35 | −0.17 | 0.20 | 0.28 | −0.31 | 0.60 | 0.06 | 0.03 | −0.69 * | −0.72 * |
| Uncultivated land | ||||||||||
| SOC | – | 0.14 | 0.11 | 0.97 * | 0.16 | 0.39 * | −0.28 | −0.17 | 0.48 * | 0.68 * |
| SL | 0.41 | 0.15 | 0.35 | 0.30 | −0.28 | 0.43 | −0.07 | 0.26 | −0.54 * | −0.59 * |
Publisher’s Note: MDPI stays neutral with regard to jurisdictional claims in published maps and institutional affiliations. |
© 2021 by the authors. Licensee MDPI, Basel, Switzerland. This article is an open access article distributed under the terms and conditions of the Creative Commons Attribution (CC BY) license (https://creativecommons.org/licenses/by/4.0/).
Share and Cite
Jakšić, S.; Ninkov, J.; Milić, S.; Vasin, J.; Živanov, M.; Jakšić, D.; Komlen, V. Influence of Slope Gradient and Aspect on Soil Organic Carbon Content in the Region of Niš, Serbia. Sustainability 2021, 13, 8332. https://doi.org/10.3390/su13158332
Jakšić S, Ninkov J, Milić S, Vasin J, Živanov M, Jakšić D, Komlen V. Influence of Slope Gradient and Aspect on Soil Organic Carbon Content in the Region of Niš, Serbia. Sustainability. 2021; 13(15):8332. https://doi.org/10.3390/su13158332
Chicago/Turabian StyleJakšić, Snežana, Jordana Ninkov, Stanko Milić, Jovica Vasin, Milorad Živanov, Darko Jakšić, and Vedrana Komlen. 2021. "Influence of Slope Gradient and Aspect on Soil Organic Carbon Content in the Region of Niš, Serbia" Sustainability 13, no. 15: 8332. https://doi.org/10.3390/su13158332
APA StyleJakšić, S., Ninkov, J., Milić, S., Vasin, J., Živanov, M., Jakšić, D., & Komlen, V. (2021). Influence of Slope Gradient and Aspect on Soil Organic Carbon Content in the Region of Niš, Serbia. Sustainability, 13(15), 8332. https://doi.org/10.3390/su13158332

