Meteorological and Hydrological Drought Analysis and Its Impact on Water Quality and Stream Integrity
Abstract
:1. Introduction
2. Materials and Methods
2.1. Study Area
2.2. Climatic and Streamflow Dataset
2.3. Computation of Meteorological and Hydrological Drought
2.4. Trend Analysis
2.4.1. Mann–Kendall Test
2.4.2. Sen’s Slope (SS)
2.5. Water Quality and Stream Integrity Data
3. Results and Discussion
3.1. Meteorological and Hydrological Drought Temporal Evolutions and Characteristics
3.2. Trend Analysis of Meteorological and Hydrological Drought
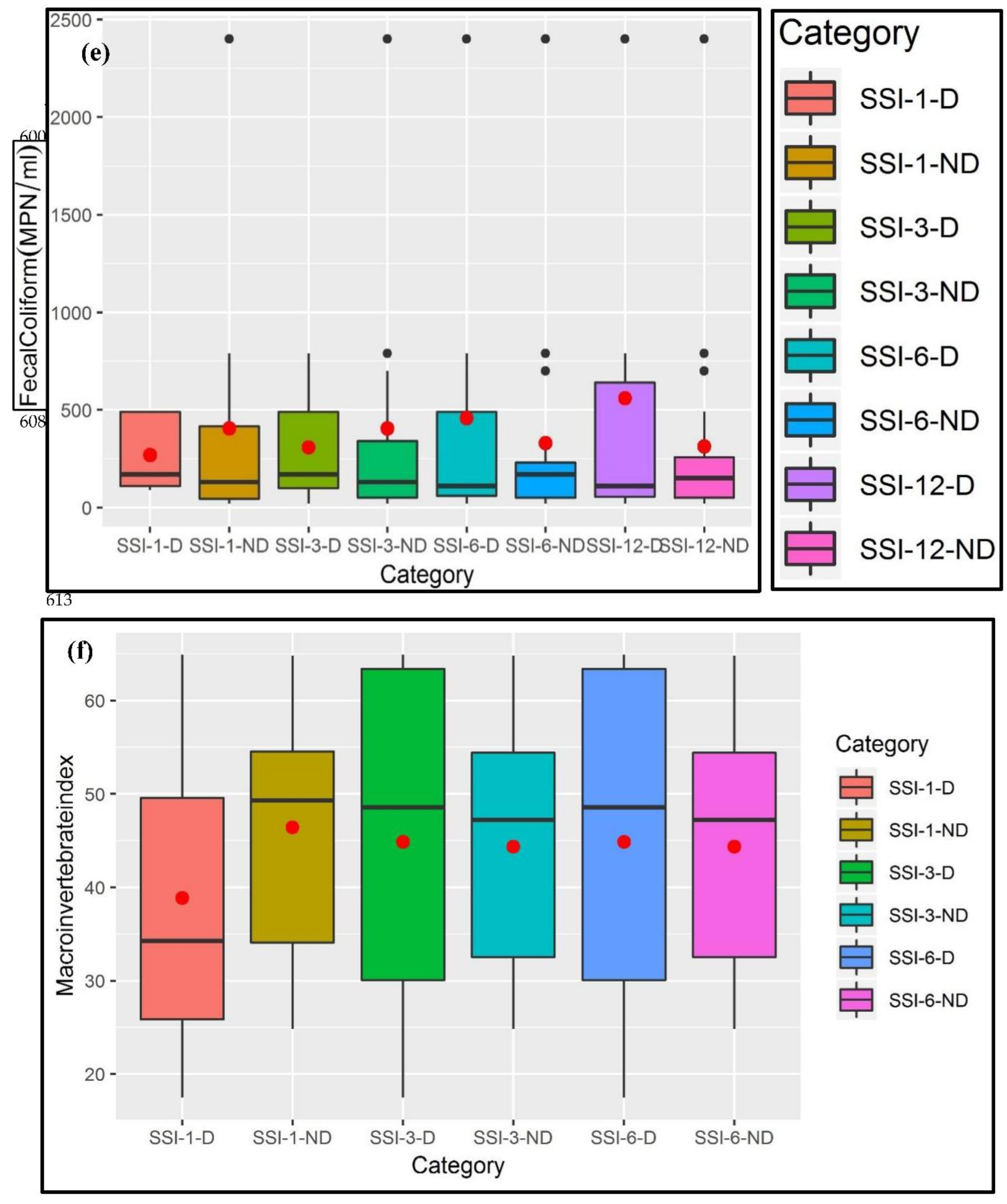
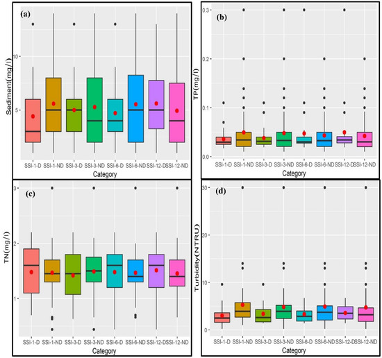
3.3. Understanding the Impacts of Hydrological Droughts and Non-Droughts on Water Quality and Stream Integrity
4. Conclusions
- Both SPI and SSI were able to identify historical drought events, including three drought emergency periods (1981, 1985, and 2001–2002), as well as the most recent drought-watch periods (2015 and 2016) in the basin. This demonstrates that both indices can be used to monitor future droughts events and develop early warning systems in the Basin. Out of all accumulation periods, historical drought events were prominent and notable based on 6-months and 12-months accumulation periods.
- A significant positive meteorological drought trend was observed at the western side of the basin due to weaker storm track concomitant with minimal influence from the Atlantic Ocean. However, the impacts of meteorological drought were not translated into hydrological drought, which may be due to change in land cover (i.e., increase in forest cover). In the meantime, an increasing hydrological drought trend was observed in the eastern side of the Basin. This may be due to anthropogenic activities, such as withdrawal of water from the river for different purposes, as more urban areas are located in the eastern part of the Basin. Overall, a distinct increasing/decreasing trend was observed only in 12-months accumulation period both for meteorological and hydrological droughts.
- A clear trend between drought and non-drought period was observed only for the one-month accumulation period, where the mean pollutant concentration of the drought period was less than the non-drought period. Reduction of different processes, such as erosion and transport of sediment and nutrients into rivers and streams due to the reduction of surface runoff in the landscape during drought periods as opposed to non-drought periods, resulted in this type of trend.
- Lower stream integrity index values were observed during drought periods compared to non-drought periods, as measured for the one-month accumulation period, due to reduction of streamflow as well as loss of surface water and connectivity during drought period.
Author Contributions
Funding
Institutional Review Board Statement
Informed Consent Statement
Data Availability Statement
Acknowledgments
Conflicts of Interest
References
- Esfahanian, E.; Nejadhashemi, A.P.; Abouali, M.; Adhikari, U.; Zhang, Z.; Daneshvar, F.; Herman, M.R. Development and evaluation of a comprehensive drought index. J. Environ. Manag. 2017, 185, 31–43. [Google Scholar] [CrossRef] [PubMed] [Green Version]
- Kang, H.; Sridhar, V. Assessment of Future Drought Conditions in the Chesapeake Bay Watershed. JAWRA J. Am. Water Resour. Assoc. 2017, 54, 160–183. [Google Scholar] [CrossRef]
- Marini, G.; Fontana, N.; Mishra, A.K. Investigating drought in Apulia region, Italy using SPI and RDI. Theor. Appl. Clim. 2018, 137, 383–397. [Google Scholar] [CrossRef]
- Van Loon, A.F. Hydrological drought explained. Wiley Interdiscip. Rev. Water 2015, 2, 359–392. [Google Scholar] [CrossRef]
- Lioyd-Hughes, B. The impracticality of a universal drought definition. Theor. Appl. Climatol. 2014, 117, 607–611. [Google Scholar] [CrossRef] [Green Version]
- Byakatonda, J.; Parida, B.; Moalafhi, D.B.; Kenabatho, P.K. Analysis of long term drought severity characteristics and trends across semiarid Botswana using two drought indices. Atmos. Res. 2018, 213, 492–508. [Google Scholar] [CrossRef]
- Mukherjee, S.; Mishra, A.; Trenberth, K.E. Climate Change and Drought: A Perspective on Drought Indices. Curr. Clim. Chang. Rep. 2018, 4, 145–163. [Google Scholar] [CrossRef]
- Mukherjee, S.; Mishra, A.K. Increase in Compound Drought and Heatwaves in a Warming World. Geophys. Res. Lett. 2021, 48. [Google Scholar] [CrossRef]
- Kogan, F.; Guo, W.; Yang, W. Near 40-year drought trend during 1981–2019 earth warming and food security. Geomat. Nat. Hazards Risk 2020, 11, 469–490. [Google Scholar] [CrossRef]
- McCabe, G.J.; Wolock, D.M. Variability and trends in global drought. Earth Space Sci. 2015, 2, 223–228. [Google Scholar] [CrossRef]
- Song, X.; Song, Y.; Chen, Y. Secular trends of flobal drought since 1950. Environ. Res. Lett. 2020, 15, 094073. [Google Scholar] [CrossRef]
- Mishra, A.K.; Singh, V.P. A review of drought concepts. J. Hydrol. 2010, 391, 202–216. [Google Scholar] [CrossRef]
- Bayissa, Y.; Maskey, S.; Tadesse, T.; Andel, S.J.V.; Moges, S.; Griensven, A.V.; Solomatine, D. Comparison of the performance of six drought indices in characterizing historical drought for the upper Blue Nile Basin, Ethiopia. Geosciences 2018, 8, 81. [Google Scholar] [CrossRef] [Green Version]
- Rajsekhar, D.; Singh, V.P.; Mishra, A.K. Integrated drought causality, hazard, and vulnerability assessment for future socioeconomic scenarios: An information theory perspective. J. Geophys. Res. Atmos. 2015, 120, 6346–6378. [Google Scholar] [CrossRef]
- Wilhite, A.; Svoboda, D.; Hayes, J. Understanding the complex impacts of drought: A key to enhancing drought mitigation and preparedness. Water Resour. Manag. 2007, 21, 763–774. [Google Scholar] [CrossRef] [Green Version]
- McKee, T.B.; Doesken, N.J.; Kleist, J. The relationship of drought frequency and duration to time scales. In Proceedings of the 8th Conference on Applied Climatology, Anaheim, CA, USA, 17–22 January 1993; American Meteorological Society: Boston, MA, USA, 1993; Volume 17, pp. 179–183. [Google Scholar]
- McKee, T.B.; Doesken, N.J.; Kleist, J. Drought Monitoring with Multiple Time Scales. In Proceedings of the 9th Conference on Applied Climatology, Dallas, TX, USA, 15–20 January 1995; American Meteorological Society: Boston, MA, USA, 1995. [Google Scholar]
- Edwards, D.C.; McKee, T.B. Characteristics of 20th Century Drought in the United States at Multiple Time Scales; Climo Report 97-2; Department of Atmospheric Science, Colorado State University: Fort Collins, CO, USA, 1997. [Google Scholar]
- Palmer, W.C. Meteorologic Drought; Research Paper No. 45; US Department of Commerce, Weather Bureau: Washington, DC, USA, 1965; p. 58. [Google Scholar]
- Alley, W.M. Palmer drought severity index: Limitations and assumptions. J. Clim. Appl. Meteorol. 1984, 23, 1100–1109. [Google Scholar] [CrossRef] [Green Version]
- Karl, T.R. The Sensitivity of the Palmer Drought Severity Index and Palmer’s Z-Index to their Calibration Coefficients Including Potential Evapotranspiration. J. Clim. Appl. Meteorol. 1986, 25, 77–86. [Google Scholar] [CrossRef] [Green Version]
- Vicente-Serrano, S.M.; Beguería, S.; Lopez-Moreno, I. A Multiscalar Drought Index Sensitive to Global Warming: The Standardized Precipitation Evapotranspiration Index. J. Clim. 2010, 23, 1696–1718. [Google Scholar] [CrossRef] [Green Version]
- Gibbs, W.J.; Maher, J.V. Rainfall deciles as drought indicators. Aust. Bureau Meteorol. Bull. 1967, 48, 37. [Google Scholar]
- Modarres, R. Streamflow drought time series forecasting. Stoch. Environ. Res. Risk Assess. 2007, 21, 223–233. [Google Scholar] [CrossRef]
- Wang, Y.; Duan, L.; Liu, T.; Li, J.; Feng, P. A Non-stationary Standardized Streamflow Index for hydrological drought using climate and human-induced indices as covariates. Sci. Total Environ. 2020, 699, 134278. [Google Scholar] [CrossRef]
- Shafer, B.A.; Dezman, L.E. Development of a surface water supply index (SWSI) to assess the severity of drought conditions in snowpack runoff areas. In Proceedings of the Western Snow Conference, Reno, NV, USA, 20–23 April 1982; Colorado State University: Fort Collins, CO, USA, 1982; pp. 164–175. [Google Scholar]
- Doesken, N.J.; McKee, T.B.; Kleist, J. Development of a Surface Water Supply Index for the Western United States; Climo Report 91-3; Department of Atmospheric Science, Colorado State University: Fort Collins, CO, USA, 1991; p. 80. [Google Scholar]
- Huang, J.; van den Dool, H.M.; Georgarakos, K.P. Analysis of Model-Calculated Soil Moisture over the United States (1931–1993) and Applications to Long-Range Temperature Forecasts. J. Clim. 1996, 9, 1350–1362. [Google Scholar] [CrossRef] [Green Version]
- Qian, T.; Dai, A.; Trenberth, K.E.; Oleson, K.W. Simulation of global land surface conditions from 1948–2004. Part I: Forcing data and evaluation. J. Hydrometeorol. 2006, 7, 953–975. [Google Scholar] [CrossRef]
- Wang, A.; Bohn, T.; Mahanama, S.P.; Koster, R.; Lettenmaier, D.P. Multimodel Ensemble Reconstruction of Drought over the Continental United States. J. Clim. 2009, 22, 2694–2712. [Google Scholar] [CrossRef]
- Barker, L.J.; Hannaford, J.; Chiverton, A.; Svensson, C. From meteorological to hydrological drought using standardized indicators. Hydrol. Earth Syst. Sci. 2016, 20, 2483–2505. [Google Scholar] [CrossRef] [Green Version]
- Bacanli, G. Trend analysis of precipitation and drought in the Aegean region, Turkey. Meteorol. Appl. 2017, 24, 239–249. [Google Scholar] [CrossRef]
- Wu, H.; Svoboda, M.D.; Hayes, M.J.; Wilhite, D.A.; Wen, F. Appropriate application of the standardized precipitation index in arid locations and dry seasons. Int. J. Clim. 2007, 27, 65–79. [Google Scholar] [CrossRef]
- Vicente-Serrano, S.M.; Lopez-Moreno, I.; Beguería, S.; Lorenzo-Lacruz, J.; Azorin-Molina, C.; Morán-Tejeda, E. Accurate Computation of a Streamflow Drought Index. J. Hydrol. Eng. 2012, 17, 318–332. [Google Scholar] [CrossRef] [Green Version]
- Hayes, M.J.; Svoboda, M.; Wall, N.A.; Widhalm, M. The Lincoln Declaration on Drought Indices: Universal Meteorological Drought Index Recommended. Bull. Am. Meteorol. Soc. 2011, 92, 485–488. [Google Scholar] [CrossRef] [Green Version]
- Aryal, Y.; Zhu, J. On bias correction in drought frequency analysis based on climate models. Clim. Chang. 2016, 140, 361–374. [Google Scholar] [CrossRef]
- New Jersey Department of Environmental Protection (NJDEP). New Jersey Water Supply Plan 2017–2022. 2017. Available online: http://www.nj.gov/dep/watersupply/wsp.html (accessed on 25 December 2020).
- Giri, S.; Krasnuk, D.; Lathrop, R.G.; Malone, S.J.; Herb, J. State of the Raritan Report, Volume 1, Sustainable Raritan River Initiative; Rutgers University: New Brunswick, NJ, USA, 2016; Available online: http://raritan.rutgers.edu/wp-content/uploads/2017/01/SORFinal2017-01-30.pdf (accessed on 10 November 2020).
- Giri, S.; Arbab, N.N.; Lathrop, R.G. Assessing the potential impacts of climate and land use change on water fluxes and sediment transport in aloosely coupled system. J. Hydrol. 2019, 577, 123955. [Google Scholar] [CrossRef]
- Mishra, A.; Alnahit, A.; Campbell, B. Impact of land uses, drought, flood, wildfire, and cascading events on water quality and microbial communities: A review and analysis. J. Hydrol. 2021, 596, 125707. [Google Scholar] [CrossRef]
- Peña-Guerrero, M.D.; Nauditt, A.; Muñoz-Robles, C.; Ribbe, L.; Meza, F. Drought impacts on water quality and potential implications for agricultural production in the Maipo River Basin, Central Chile. Hydrol. Sci. J. 2020, 65, 1005–1021. [Google Scholar] [CrossRef] [Green Version]
- Mosley, L. Drought impacts on the water quality of freshwater systems; review and integration. Earth-Sci. Rev. 2015, 140, 203–214. [Google Scholar] [CrossRef]
- Van Vliet, M.T.H.; Zwolsman, J.J.G. Impact of summer droughts on the water quality of the Meuse river. J. Hydrol. 2008, 353, 1–17. [Google Scholar] [CrossRef]
- Herbst, D.B.; Cooper, S.D.; Medhurst, R.B.; Wiseman, S.W.; Hunsaker, C.T. Drought ecohydrology alters the structure and function of benthic invertebrate communities in mountain streams. Freshw. Biol. 2019, 64, 886–902. [Google Scholar] [CrossRef]
- NJ State Climatologist. Historical Monthly Station Data. 2020. Available online: https://climate.rutgers.edu/stateclim_v1/monthlydata/index.php?stn=287301&elem=pcpn (accessed on 20 August 2020).
- United States Geological Survey (USGS). National Water Information Systems. USGS 01403060 Raritan River below Calco Dam at Bround Brook. 2020. Available online: https://waterdata.usgs.gov/nwis/uv?site_no=01403060 (accessed on 20 August 2020).
- Mcdaniel, R. Crop and Location Specific Drought Index for Agricultural Water Management: Development, Evaluation, and Forecasting. Ph.D. Thesis, Texas A&M University, College Station, TX, USA, 2015. [Google Scholar]
- Li, P.; Omani, N.; Chaubey, I.; Wei, X. Evaluation of Drought Implications on Ecosystem Services: Freshwater Provisioning and Food Provisioning in the Upper Mississippi River Basin. Int. J. Environ. Res. Public Health 2017, 14, 496. [Google Scholar] [CrossRef] [Green Version]
- Mishra, A.K.; Desai, V.R. Spatial and temporal drought analysis in the Kansabati river basin, India. Int. J. River Basin Manag. 2005, 3, 31–41. [Google Scholar] [CrossRef]
- Narasimhan, B.; Srinivasan, R. Development and evaluation of soil moisture deficit index (SMDI) and evaporation deficit index (ETDI) for agricultural drought monitoring. Agric. For. Meteorol. 2005, 133, 69–88. [Google Scholar] [CrossRef]
- Begueria, S.; Vicente-Serrano, S.M. Package SPEI, Calculation of the Standardized Precipitation-Evaporation Index. 2017. Available online: https://cran.r-project.org/web/packages/SPEI/SPEI.pdf (accessed on 6 December 2019).
- Telesca, L.; Lovallo, M.; Lopez-Moreno, I.; Vicente-Serrano, S.M. Investigation of scaling properties in monthly streamflow and Standardized Streamflow Index (SSI) time series in the Ebro basin (Spain). Phys. A Stat. Mech. Appl. 2012, 391, 1662–1678. [Google Scholar] [CrossRef]
- Mann, H.B. Nonparametric Tests Against Trend. Econometrica 1945, 13, 245–259. [Google Scholar] [CrossRef]
- Kendall, M.G. Rank Correlation Methods, 4th ed.; Charles Griffin: London, UK, 1975; ISBN 978-0-19520-837-5. [Google Scholar]
- Sen, P.K. Estimates of the regression coefficient based on Kendall’s tau. J. Am. Stat. Assoc. 1968, 63, 1379–1389. [Google Scholar] [CrossRef]
- Caruso, B.S. Temporal and spatial patterns of extreme low flows and effects on stream ecosystems in Ontago, New Zealand. J. Hydrol. 2002, 257, 115–133. [Google Scholar] [CrossRef]
- Delacre, M.; Lakens, D.D.; Leys, C. Why Psychologists Should by Default Use Welch’s t-test Instead of Student’s t-test. Int. Rev. Soc. Psychol. 2017, 30, 92. [Google Scholar] [CrossRef] [Green Version]
- Zheng, L.; Diamond, J.M.; Denton, D.L. Evaluation of whole effluent toxicity data characteristics and use of Welch’s T-test in the test of significant toxicity analysis. Environ. Toxicol. Chem. 2013, 32, 468–474. [Google Scholar] [CrossRef]
- Welch, B. The significance of the difference between two means when the population variances are unequal. Biometrika 1938, 29, 350–362. [Google Scholar] [CrossRef]
- Hoffman, J.L.; Domber, S.E. Development of Streamflow and Groundwater Drought Indicators for New Jersey. New Jersey Geological Survey, OFR 04-2. 2004. Available online: https://www.state.nj.us/dep/njgs/pricelst/ofreport/ofr04-2.pdf (accessed on 6 December 2019).
- NJ State Climatologist. NJ Climate Overview. 2019. Available online: https://climate.rutgers.edu/stateclim_v1/njclimoverview.html (accessed on 6 December 2019).
- Ludlum, D. New Jersey Weather; Rutgers University Press: New Brunswick, NJ, USA, 1983. [Google Scholar]
- Ilstedt, U.; Tobella, A.B.; Bazie, H.R.; Bayala, J.; Verbeeten, E.; Nyberg, G.; Sanou, J.; Benegas, L.; Murdiyarso, D.; Laudon, H.; et al. Intermediate tree cover can maximize groundwater recharge in the seasonally dry topics. Sci. Rep. 2016, 6, 21930. [Google Scholar] [CrossRef]
- Mosley, L.M.; Zammit, B.; Leyden, E.; Heneker, T.M.; Hipsey, M.; Skinner, D.; Aldridge, K.T. The Impact of Extreme Low Flows on the Water Quality of the Lower Murray River and Lakes (South Australia). Water Resour. Manag. 2012, 26, 3923–3946. [Google Scholar] [CrossRef]








| Station | Threshold | Accumulation Period (Months) | Total Number of Drought Events | Mean Duration (Months) | Mean Severity |
|---|---|---|---|---|---|
| Flemington | −0.5 to −1.49 | 1 | 70 | 1 | −1.31 |
| 3 | 58 | 2 | −1.54 | ||
| 6 | 35 | 3 | −2.50 | ||
| 12 | 24 | 3 | −3.06 | ||
| −1.5 to −1.99 | 1 | 17 | 2 | −3.00 | |
| 3 | 13 | 3 | −3.27 | ||
| 6 | 13 | 2 | −2.41 | ||
| 12 | 7 | 3 | −2.97 | ||
| ≤−2.0 | 1 | 4 | 1 | −2.33 | |
| 3 | 5 | 2 | −5.50 | ||
| 6 | 6 | 3 | −9.23 | ||
| 12 | 3 | 7 | −22.72 | ||
| New Brunswick | −0.5 to −1.49 | 1 | 89 | 1 | −1.14 |
| 3 | 56 | 2 | −1.87 | ||
| 6 | 47 | 2 | −2.05 | ||
| 12 | 38 | 3 | −2.49 | ||
| −1.5 to −1.99 | 1 | 12 | 1 | −1.78 | |
| 3 | 15 | 1 | −1.69 | ||
| 6 | 14 | 2 | −1.71 | ||
| 12 | 17 | 1 | −1.71 | ||
| ≤−2.0 | 1 | 13 | 1 | −2.31 | |
| 3 | 5 | 1 | −2.35 | ||
| 6 | 6 | 1 | −2.19 | ||
| 12 | 5 | 2 | −2.27 | ||
| Highstown | −0.5 to −1.49 | 1 | 82 | 1 | −1.12 |
| 3 | 55 | 2 | −1.93 | ||
| 6 | 39 | 2 | −2.06 | ||
| 12 | 30 | 4 | −3.31 | ||
| −1.5 to −1.99 | 1 | 16 | 1 | −1.80 | |
| 3 | 16 | 1 | −1.93 | ||
| 6 | 20 | 2 | −2.64 | ||
| 12 | 13 | 2 | −2.97 | ||
| ≤−2.0 | 1 | 14 | 1 | −2.87 | |
| 3 | 9 | 1 | −3.00 | ||
| 6 | 7 | 1 | −3.55 | ||
| 12 | 3 | 3 | −7.69 | ||
| Pottersville | −0.5 to −1.49 | 1 | 68 | 1 | −1.17 |
| 3 | 60 | 2 | −1.56 | ||
| 6 | 42 | 2 | −1.83 | ||
| 12 | 30 | 3 | −2.92 | ||
| −1.5 to −1.99 | 1 | 23 | 1 | −1.76 | |
| 3 | 15 | 1 | −1.86 | ||
| 6 | 15 | 1 | −2.25 | ||
| 12 | 10 | 2 | −2.70 | ||
| ≤−2.0 | 1 | 8 | 1 | −3.10 | |
| 3 | 11 | 1 | −2.74 | ||
| 6 | 10 | 1 | −2.99 | ||
| 12 | 5 | 2 | −4.73 | ||
| Bound Brook | −0.5 to −1.49 | 1 | 76 | 1 | −1.22 |
| 3 | 56 | 2 | −1.66 | ||
| 6 | 45 | 2 | −1.99 | ||
| 12 | 32 | 3 | −2.75 | ||
| −1.5 to −1.99 | 1 | 24 | 1 | −1.80 | |
| 3 | 16 | 1 | −2.02 | ||
| 6 | 17 | 1 | −2.30 | ||
| 12 | 12 | 2 | −3.53 | ||
| ≤−2.0 | 1 | 9 | 1 | −2.50 | |
| 3 | 11 | 1 | −3.08 | ||
| 6 | 10 | 1 | −2.99 | ||
| 12 | 6 | 2 | −3.97 |
| Station | Threshold | Accumulation Period (Months) | Total Number of Drought Events | Mean Duration (Months) | Mean Severity |
|---|---|---|---|---|---|
| USGS−01397000 | −0.5 to −1.49 | 1 | 70 | 2 | −1.49 |
| 3 | 35 | 3 | −2.88 | ||
| 6 | 23 | 5 | −5.89 | ||
| 12 | 14 | 7 | −6.89 | ||
| −1.5 to −1.99 | 1 | 9 | 1 | −1.69 | |
| 3 | 6 | 2 | −3.12 | ||
| 6 | 7 | 1 | −2.20 | ||
| 12 | 8 | 3 | −4.13 | ||
| ≤−2.0 | 1 | 5 | 1 | −2.23 | |
| 3 | 2 | 2 | −4.66 | ||
| 6 | 4 | 3 | −5.26 | ||
| 12 | 2 | 7 | −14.51 | ||
| USGS−01405400 | −0.5 to −1.49 | 1 | 69 | 2 | −1.51 |
| 3 | 34 | 3 | −2.91 | ||
| 6 | 21 | 5 | −4.61 | ||
| 12 | 21 | 4 | −4.24 | ||
| −1.5 to −1.99 | 1 | 11 | 1 | −1.74 | |
| 3 | 10 | 1 | −1.72 | ||
| 6 | 10 | 2 | −1.72 | ||
| 12 | 11 | 2 | −1.66 | ||
| ≤−2.0 | 1 | 2 | 1 | −2.43 | |
| 3 | 4 | 3 | −6.24 | ||
| 6 | 3 | 3 | −7.25 | ||
| 12 | 2 | 5 | −12.00 | ||
| USGS−01402000 | −0.5 to −1.49 | 1 | 73 | 2 | −1.468 |
| 3 | 46 | 3 | −2.39 | ||
| 6 | 34 | 3 | −2.79 | ||
| 12 | 20 | 5 | −4.80 | ||
| −1.5 to −1.99 | 1 | 9 | 1 | −1.93 | |
| 3 | 9 | 1 | −2.46 | ||
| 6 | 10 | 2 | −3.07 | ||
| 12 | 9 | 2 | −4.14 | ||
| ≤−2.0 | 1 | 3 | 1 | −2.48 | |
| 3 | 2 | 5 | −10.36 | ||
| 6 | 3 | 4 | −9.09 | ||
| 12 | 3 | 4 | −8.82 | ||
| USGS−01400000 | −0.5 to −1.49 | 1 | 70 | 2 | −1.66 |
| 3 | 45 | 3 | −2.56 | ||
| 6 | 33 | 4 | −3.36 | ||
| 12 | 24 | 5 | −4.33 | ||
| −1.5 to −1.99 | 1 | 5 | 1 | −2.02 | |
| 3 | 6 | 2 | −3.07 | ||
| 6 | 7 | 2 | −3.75 | ||
| 12 | 11 | 2 | −2.85 | ||
| ≤−2.0 | 1 | 1 | 1 | −2.59 | |
| 3 | 1 | 3 | −7.4 | ||
| 6 | 1 | 5 | −12.11 | ||
| 12 | 4 | 3 | −6.25 |
| Station | SPI | Kendall’s Tau | p Value | Sen’s Slope | Trend |
|---|---|---|---|---|---|
| Bound Brook | SPI-1 | 0.034 | 0.275 | 0 | NS |
| SPI-3 | 0.045 | 0.151 | 0.001 | NS | |
| SPI-6 | 0.047 | 0.130 | 0.001 | NS | |
| SPI-12 | 0.069 | 0.027 * | 0.001 | S | |
| Flemington | SPI-1 | 0.085 | 0.006 * | 0.001 | S |
| SPI-3 | 0.1 | 0.001 * | 0.001 | S | |
| SPI-6 | 0.132 | 0.000 * | 0.002 | S | |
| SPI-12 | 0.165 | 0.000 * | 0.002 | S | |
| Highstown | SPI-1 | 0.036 | 0.249 | 0 | NS |
| SPI-3 | 0.049 | 0.121 | 0.001 | NS | |
| SPI-6 | 0.054 | 0.087 | 0.001 | NS | |
| SPI-12 | 0.064 | 0.041 * | 0.001 | S | |
| New Brunswick | SPI-1 | 0.041 | 0.182 | 0 | NS |
| SPI-3 | 0.053 | 0.089 | 0.001 | NS | |
| SPI-6 | 0.058 | 0.062 | 0.001 | NS | |
| SPI-12 | 0.033 | 0.283 | 0 | NS | |
| Pottersville | SPI-1 | 0.03 | 0.327 | 0 | NS |
| SPI-3 | 0.052 | 0.095 | 0.001 | NS | |
| SPI-6 | 0.051 | 0.102 | 0.001 | NS | |
| SPI-12 | 0.118 | 0 * | 0.002 | S |
| Station | SPI | Kendall’s Tau | p Value | Sen’s Slope | Trend |
|---|---|---|---|---|---|
| USGS-01397000 | SSI-1 | −0.030 | 0.345 | 0 | NS |
| SSI-3 | −0.087 | 0.006 * | −0.001 | S | |
| SSI-6 | −0.100 | 0.002 * | −0.001 | S | |
| SSI-12 | −0.111 | 0.001 * | −0.001 | S | |
| USGS-01402000 | SSI-1 | 0.048 | 0.122 | 0 | NS |
| SSI-3 | 0.018 | 0.563 | 0 | NS | |
| SSI-6 | 0.012 | 0.713 | 0 | NS | |
| SSI-12 | 0.020 | 0.528 | 0 | NS | |
| USGS-01405400 | SSI-1 | 0.053 | 0.088 | 0.001 | NS |
| SSI-3 | 0.077 | 0.015 * | 0.001 | S | |
| SSI-6 | 0.094 | 0.003 * | 0.001 | S | |
| SSI-12 | 0.116 | 0.000 * | 0.001 | S | |
| USGS-01400000 | SSI-1 | 0.013 | 0.677 | 0 | NS |
| SSI-3 | −0.022 | 0.487 | 0 | NS | |
| SSI-6 | −0.052 | 0.102 | −0.001 | NS | |
| SSI-12 | −0.063 | 0.048 * | −0.001 | S |
| Parameter | Group Name | Mean1 (Drought) | Mean 2 (Non-Drought) | Df | t-Stat | p-Value |
|---|---|---|---|---|---|---|
| Sediment | SSI-1-Drought vs. Non-Drought | 4.412 | 5.594 | 35.400 | −1.182 | 0.245 |
| SSI-3-Drought vs. Non-Drought | 5.000 | 5.273 | 35.383 | −0.275 | 0.785 | |
| SSI-6-Drought vs. Non-Drought | 4.714 | 5.536 | 46.697 | −0.851 | 0.399 | |
| SSI-12-Drought vs. Non-Drought | 5.611 | 4.935 | 41.846 | 0.697 | 0.489 | |
| TP | SSI-1-Drought vs. Non-Drought | 0.036 | 0.050 | 68.286 | −1.664 | 0.101 |
| SSI-3-Drought vs. Non-Drought | 0.038 | 0.048 | 72.678 | −1.210 | 0.230 | |
| SSI-6-Drought vs. Non-Drought | 0.048 | 0.043 | 39.359 | 0.367 | 0.716 | |
| SSI-12-Drought vs. Non-Drought | 0.050 | 0.042 | 34.152 | 0.613 | 0.544 | |
| TN | SSI-1-Drought vs. Non-Drought | 1.479 | 1.468 | 35.454 | 0.097 | 0.923 |
| SSI-3-Drought vs. Non-Drought | 1.420 | 1.491 | 31.440 | −0.598 | 0.554 | |
| SSI-6-Drought vs. Non-Drought | 1.480 | 1.466 | 43.629 | 0.127 | 0.899 | |
| SSI-12-Drought vs. Non-Drought | 1.513 | 1.454 | 33.960 | 0.502 | 0.619 | |
| Turbidity | SSI-1-Drought vs. Non-Drought | 3.005 | 5.277 | 41.191 | −2.095 | 0.04241 * |
| SSI-3-Drought vs. Non-Drought | 3.382 | 4.834 | 49.066 | −1.397 | 0.169 | |
| SSI-6-Drought vs. Non-Drought | 3.322 | 4.909 | 43.480 | −1.562 | 0.126 | |
| SSI-12-Drought vs. Non-Drought | 3.571 | 4.743 | 45.580 | −1.167 | 0.250 | |
| Fecal Coliform | SSI-1-Drought vs. Non-Drought | 270.000 | 405.304 | 22.617 | −0.807 | 0.428 |
| SSI-3-Drought vs. Non-Drought | 308.571 | 405.333 | 24.545 | −0.519 | 0.609 | |
| SSI-6-Drought vs. Non-Drought | 458.182 | 331.294 | 18.637 | 0.503 | 0.621 | |
| SSI-12-Drought vs. Non-Drought | 551.250 | 313.100 | 9.663 | 0.777 | 0.456 | |
| Stream Integrity | SSI-1-Drought vs. Non-Drought | 38.8721 | 46.4100 | 2.5136 | −0.5125 | 0.6499 |
| SSI-3-Drought vs. Non-Drought | 44.8675 | 44.3575 | 4.1817 | 0.0406 | 0.9695 | |
| SSI-6-Drought vs. Non-Drought | 44.8675 | 44.3575 | 4.1817 | 0.0406 | 0.9695 |
Publisher’s Note: MDPI stays neutral with regard to jurisdictional claims in published maps and institutional affiliations. |
© 2021 by the authors. Licensee MDPI, Basel, Switzerland. This article is an open access article distributed under the terms and conditions of the Creative Commons Attribution (CC BY) license (https://creativecommons.org/licenses/by/4.0/).
Share and Cite
Giri, S.; Mishra, A.; Zhang, Z.; Lathrop, R.G.; Alnahit, A.O. Meteorological and Hydrological Drought Analysis and Its Impact on Water Quality and Stream Integrity. Sustainability 2021, 13, 8175. https://doi.org/10.3390/su13158175
Giri S, Mishra A, Zhang Z, Lathrop RG, Alnahit AO. Meteorological and Hydrological Drought Analysis and Its Impact on Water Quality and Stream Integrity. Sustainability. 2021; 13(15):8175. https://doi.org/10.3390/su13158175
Chicago/Turabian StyleGiri, Subhasis, Ashok Mishra, Zhen Zhang, Richard G. Lathrop, and Ali O. Alnahit. 2021. "Meteorological and Hydrological Drought Analysis and Its Impact on Water Quality and Stream Integrity" Sustainability 13, no. 15: 8175. https://doi.org/10.3390/su13158175
APA StyleGiri, S., Mishra, A., Zhang, Z., Lathrop, R. G., & Alnahit, A. O. (2021). Meteorological and Hydrological Drought Analysis and Its Impact on Water Quality and Stream Integrity. Sustainability, 13(15), 8175. https://doi.org/10.3390/su13158175

