Multi-Objective Energy Management and Charging Strategy for Electric Bus Fleets in Cities Using Various ECO Strategies
Abstract
1. Introduction
1.1. Electric Buses
1.2. Charging Infrastructure
1.3. Goals and Objectives of the Paper
2. Description of the Simulation Framework
2.1. Electric Bus Powertrain
2.2. Charging Model
2.3. Total Cost of Ownership
3. Details of the City Routes and Vehicle Types
3.1. City of Barcelona
3.2. City of Gothenburg
3.3. Types of E-Buses in the Fleet
4. ECO Features
4.1. ECO-Comfort
- A variable temperature setpoint that considers the energy consumption of the HVAC system and the comfort of the passengers. Instead of having one fixed setting of the temperature inside the bus, a variable setting can save energy required for conditioning the air inside the bus. Three settings are defined, as shown in Figure 12:
- ◦
- A lower comfortable temperature bound that defines the lowest temperature that will be bearable to the passengers in the bus. This setting is mostly applied during winter conditions with respect to energy consumption.
- ◦
- An upper comfortable temperature bound that defines the highest temperature that will be bearable to the passengers. This setting is mostly applied during summer conditions with respect to energy consumption.
- ◦
- The ideal temperature for comfort. This setting defines the temperature at which the comfort of a group of passengers is at its highest level.
- Variable air refresh rate: Depending on the temperature and humidity difference between the ambient conditions and the desired conditions inside the bus, it can require a large amount of energy to condition the air that is flowing into the bus from outside. Therefore, energy can be saved if the air inside the bus is recirculated, instead of taken from the outside. The functionality that is implemented in ECO-comfort is to optimize this fresh air flow, depending on the number of passengers that are inside the bus, instead of having one fixed value to cover most of the use conditions.
- Like the air refresh rate, the fan power can be adjusted to the number of passengers inside the bus. If there are fewer passengers inside the bus, the fan power and the corresponding air flow do not need to be at the maximum value. This will save energy that is required by the ventilation system.
- Vehicle preconditioning: The aim is to use the HVAC system to its full capacity only when the bus is connected to the charger, so the HVAC system draws the power from the charger, instead of its ESS. With preconditioning, the HVAC system will track the desired setpoint temperature, which is highly energy intensive, when the bus is charging. When the bus is not connected to the charger, the HVAC system will merely regulate the temperature around the desired setpoint, which requires minimal energy expenditure. With preconditioning, the capacity of ESS can be mostly directed toward increasing the distance that the vehicle can travel on a single charge.
4.2. ECO-Driving
- Avoid sudden acceleration and deceleration using a ramped approach.
- Limit the maximum acceleration to 1 m/s2.
- Limit the maximum velocity to 15 m/s.
- Ensure that the distances tracked by both velocity profiles (i.e., the original velocity profile and the eco velocity profile) are synchronized.
4.3. ECO-Charging
5. Multi-Objective Optimization Strategy
- Four types of buses, including two 12 m buses and two 18 m buses, are considered in this paper, while the buses in the previous research were all the same type.
- Unique charging durations are considered in this paper for each bus type, while in the previous study, a single charging duration was used for all buses.
- The previous research only considered one bus route in one city, while this paper studies two cities with completely different climates and two routes within a city that have different characteristics to each other in terms of the speed, grade, and bus schedules.
- The previous study considered only discrete power levels for opportunity and depot chargers, which limited the optimized results; therefore, in this paper, the power level of the charger is continuously varied within constraints.
- The previous research only considered optimization without considering the ECO-strategies, while this paper also studies the effect of ECO features on the optimization result.
5.1. Improved Simple Optimization Using a Novel Convergence Strategy
| LBi,m if xi,m,new < LBi,m
| xi,m,new otherwise
5.2. Monte Carlo
6. Results and Discussion
6.1. Use Case Results for Single Buses
6.2. Use Case Results for Bus Fleets
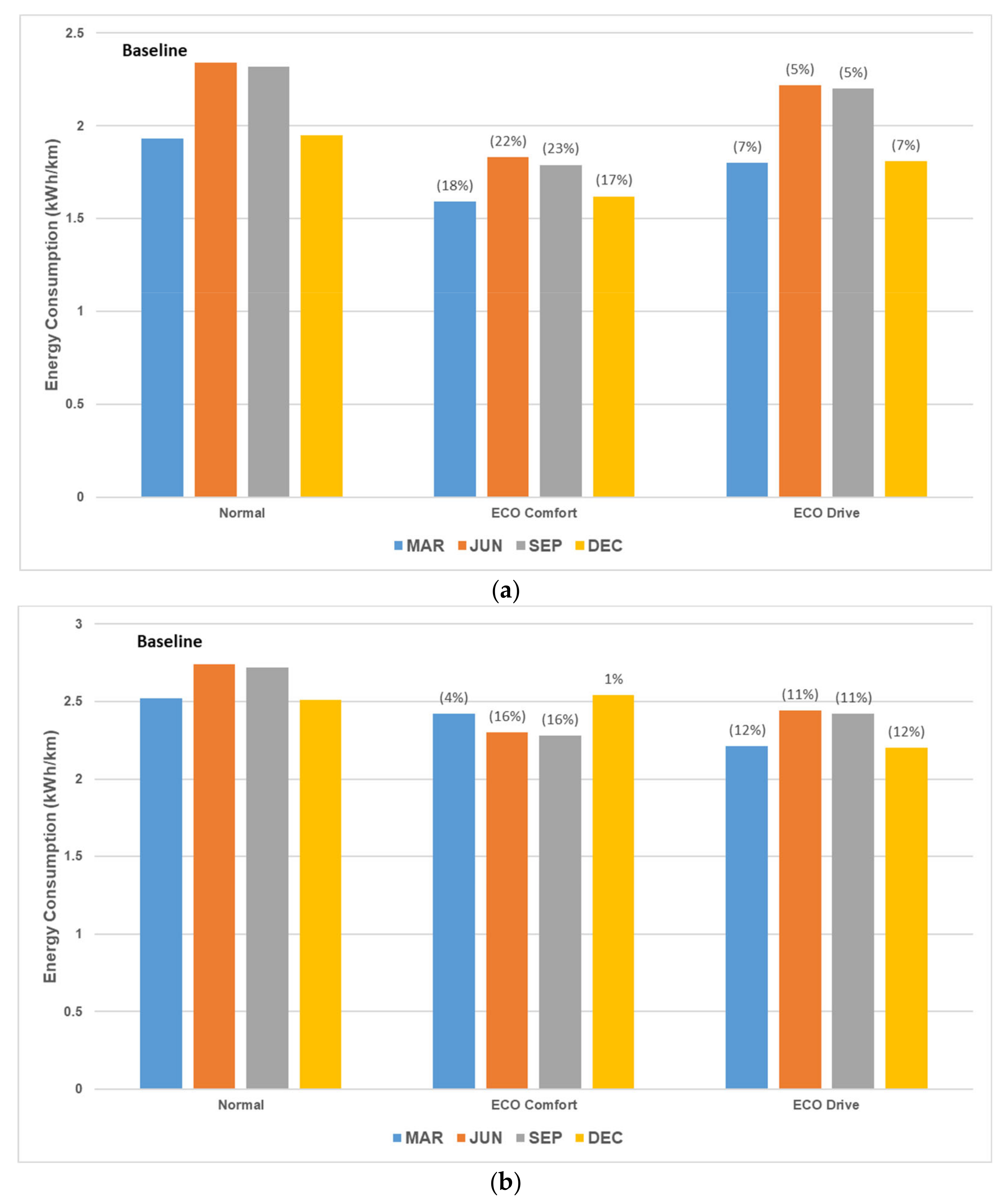
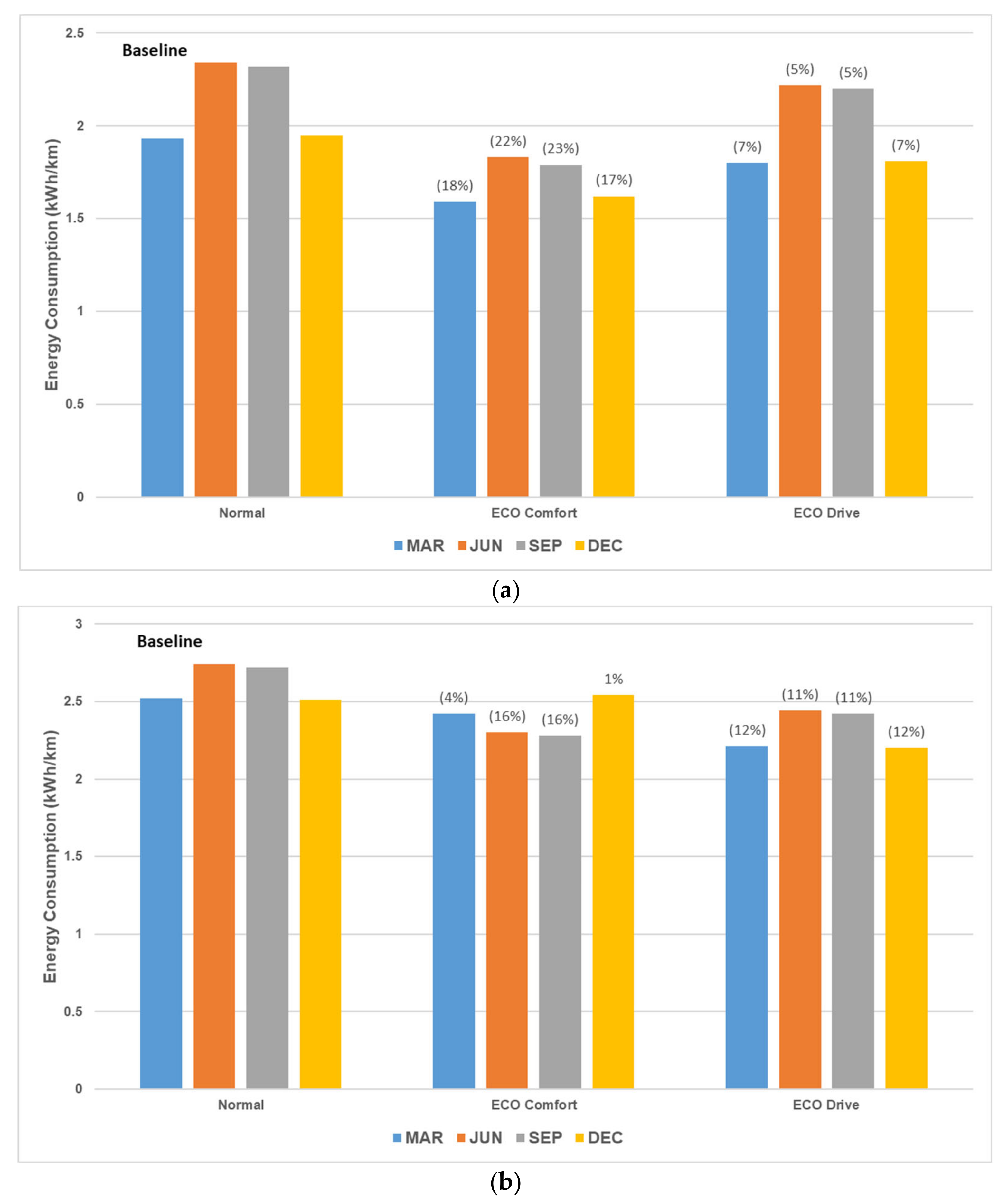
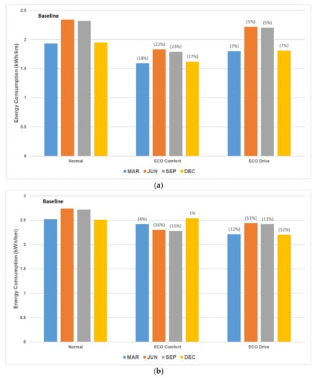
6.3. Effects of the ECO Features
6.4. Optimization Results
7. Conclusions
Author Contributions
Funding
Institutional Review Board Statement
Informed Consent Statement
Data Availability Statement
Acknowledgments
Conflicts of Interest
Abbreviations
| BEV | Battery electric vehicle |
| CBO | City bus operator |
| CC/CV | Constant current/constant voltage |
| CCS2 | Combined charging system v2 |
| CMS | Charging management system |
| CO2 | Carbon dioxide |
| c-rate | Charging rate |
| CS | Charging strategy |
| DoD | Depth of discharge |
| e-bus | Electric bus |
| ECO | Economy |
| EMS | Energy management system |
| ESS | Energy storage system |
| EV | Electric vehicle |
| GHG | Greenhouse gases |
| HD | Heavy duty |
| Hi-Fi | High fidelity |
| HV | High voltage |
| HVAC | Heating, ventilation, and air conditioning |
| H/W | Hardware |
| ICE | Internal combustion engine |
| iSOPT | Improved simple optimization |
| LFP | Lithium ferro-phosphate |
| Lo-Fi | Low fidelity |
| LTO | Lithium titanate |
| LuT | Lookup table |
| MD | Medium duty |
| MV | Medium voltage |
| NMC | Nickel-manganese-cobalt |
| OCV | Open circuit voltage |
| OEM | Original equipment manufacturer |
| PF | Power factor |
| PMV | Predicted mean vote |
| POV | Point of view |
| PPD | Predicted percentage dissatisfied |
| RBS | Regenerative braking system |
| RCD | Relative capacity degradation |
| Rp | Polarization resistance |
| Rs | Series resistance |
| SoC | State of charge |
| Tc | Time constant |
| TCO | Total cost of ownership |
| TMS | Thermal management system |
| UC | Use case |
Appendix A
|TEM_MAX, if TEM_REQ ≥ TEM_MAX
| −TEM_MAX, if TEM_REQ ≤ −TEM_MAX
|IESS_MAX_CHG, if IESS_TOT ≤ IESS_MAX_CHG
|IEES_MAX_DSC, if IESS_TOT ≥ IESS_MAX_DSC
(SCCUR, CR, TESS), LuTRP (SCCUR, CR, TESS), LuTTC (SCCUR, CR, TESS))
References
- The 2 Degrees Institute. Available online: https://www.2degreesinstitute.org/ (accessed on 15 April 2021).
- CO2 Emissions from Fuel Combustion: Overview—Analysis—IEA. Last Updated on July 2020. Available online: https://www.iea.org/reports/co2-emissions-from-fuel-combustion-overview (accessed on 15 April 2021).
- CO2 Emissions—Worldometer. Available online: https://www.worldometers.info/co2-emissions/ (accessed on 15 April 2021).
- Siddi, M. The European Green Deal: Assessing Its Current State and Future Implementation; Working paper # 114; Finnish Institute of International Affairs: Helsinki, Finland, 2020; ISBN 978-951-769-637-1. ISSN 2242-0444. [Google Scholar]
- Veugelers, R.; Cincera, M.; Frietsch, R.; Schubert, T.; Rammer, C.; Pelle, A.; Renda, A.; Leijten, J.; Montalvo, C. The impact of Horizon 2020 on innovation in Europe. Intereconomics 2015, 50, 1–30. [Google Scholar] [CrossRef]
- Home—ASSURED Project. Last Updated on 15 April 2021. Available online: https://assured-project.eu/ (accessed on 15 April 2021).
- Urban Mobility|Mobility and Transport. Last Updated on 7 June 2020. Available online: https://ec.europa.eu/transport/themes/urban/urban_mobility_en (accessed on 15 April 2021).
- Kallenius, O.; Brungger, R.J.; Schafer, M. Strategy|Livable Cities; Daimler Sustainability Report 2019; Daimler AG: Stuttgart, Germany, 2019; pp. 50–55. [Google Scholar]
- Hallmark, S.L.; Wang, B.; Qiu, Y.; Sperry, R. Evaluation of in-use fuel economy for hybrid and regular transit buses. J. Transp. Technol. 2013, 3, 52–57. [Google Scholar] [CrossRef]
- Graurs, I.; Laizans, A.; Rajekis, P.; Rubenis, A. Public Bus Energy Consumption Investigation for Transition to Electric Power and Semi Dynamic Charging. In Proceedings of the 14th International Scientific Conference Engineering for Rural Development, Jelgava, Latvia, 20–22 May 2015. [Google Scholar]
- Battery Bus Range—It’s all in the Math|Mass Transit Mag. Last Updated on 27 October 2015. Available online: https://www.masstransitmag.com/bus/article/12131451/battery-bus-range-its-all-in-the-math (accessed on 15 April 2021).
- Wikner, E.; Thiringer, T. Extending battery lifetime by avoiding high SoC. Appl. Sci. 2018, 8, 1825. [Google Scholar] [CrossRef]
- Bayes, K.; Kolk, M.; Carlot, F.; Merhaba, A.; Ito, Y. Future of Batteries, Winner Takes All? Arthur D. Little: Brussels, Belgium, 2018. [Google Scholar]
- Mathieu, L.; Poliscanova, J.; Ambel, C.C.; Muzi, N.; Alexandridou, S. Recharge EU: How Many Charge Points Will Europe and Its Member States Need in the 2020s; European Federation for Transport and Environment: Brussels, Belgium, 2020. [Google Scholar]
- Hasan, M.M.; El Baghdadi, M.; Hegazy, O. Energy Management and ECO-Strategies Modeling of Electric Bus Fleets in Cities. In Proceedings of the 23rd European Conference of Power Electronics and Applications, EPE 2021, Ghent, Belgium. under peer review.
- Hasan, M.M.; Maas, J.; el Baghdadi, M.; de Groot, R.; Hegazy, O. Thermal Management Strategy of Electric Buses Towards ECO-Comfort. In Proceedings of the 8th Transport Research Arena Conference, TRA 2020, Helsinki, Finland, 27–30 April 2020. [Google Scholar]
- Quak, H.; Koffrie, R.; van Rooijen, T.; Nesterova, N. Economics of EVs for City Logistics; FREVUE Deliverable report D3.2; Society of Automotive Engineers of Japan: Tokyo, Japan, 2017. [Google Scholar]
- Nicholas, M. Estimating Electric Vehicle Charging Infrastructure Costs across Major U.S. Metropolitan Areas; International Council on Clean Transportation: San Francisco, CA, USA, 2019; Volume 14. [Google Scholar]
- Buchmann, I. Batteries in a Portable World: A Handbook on Rechargeable Batteries for Non-Engineer, 4th ed.; Cadex Electronics: Richmond, BC, Canada, 2017; ISBN 978-0968211847. [Google Scholar]
- Hasan, M.M.; Ranta, M.; El Baghdadi, M.; Hegazy, O. Charging Management Strategy Using ECO-Charging for Electric Bus Fleets in Cities. In Proceedings of the 2020 IEEE Vehicle Power and Propulsion Conference, VPPC 2020, Gijon, Spain, 26–29 October 2020. [Google Scholar]
- Barcelona Bus Map 2021|Transports Metropolitans de Barcelona. Available online: https://www.tmb.cat/en/barcelona-transport/map/bus (accessed on 15 April 2021).
- What Are the 5 Koppen Climate Classification Types?—Earth How. Updated on 19 January 2021. Available online: https://earthhow.com/koppen-climate-classification/ (accessed on 15 April 2021).
- Teknikgatan, 417 56 Göteborg, Sweden to Sven Hultins Plats—Google Maps. Available online: https://www.google.com/maps/dir/Teknikgatan,+417+56+G%C3%B6teborg,+Sweden/Sven+Hultins+Plats,+412+58+G%C3%B6teborg,+Sweden (accessed on 15 April 2021).
- Eriksbergstorget to Sahlgrenska Sjukhuset—Google Maps. Available online: https://www.google.com/maps/dir/Eriksbergstorget,+417+64+G%C3%B6teborg,+Sweden/Sahlgrenska+Sjukhuset,+Bl%C3%A5+str%C3%A5ket,+Gothenburg,+Sweden (accessed on 15 April 2021).
- ISO 7730:2005. Ergonomic of Thermal Environment—Analytical Determine & Interpret of Thermal Comfort Using Calc of PMV/PPD Indices & Thermal Comfort Criteria, 3rd ed.; ISO/TC 159/SC 5 working group under 13.180; Ergonomic: London, UK, 2005. [Google Scholar]
- Hasan, M.M.; el Baghdadi, M.; Hegazy, O. Energy Management Strategy in Electric Buses for Public Transport Using ECO-Driving. In Proceedings of the 15th International Conference on Ecological Vehicles and Renewable Energies, EVER 2020, Monte-Carlo, Monaco, 28–30 May 2020. [Google Scholar]
- Topic, J.; Soldo, J.; Maletic, F.; Skugor, B.; Deur, J. Virtual Simulation of Electric Bus Fleets for City Bus Transport Electrification Planning. Energies 2020, 13, 3410. [Google Scholar] [CrossRef]
- Barraza, O.; Estrada, M. Battery electric bus network: Efficient design and cost comparison of different powertrains. Sustainability 2021, 13, 4745. [Google Scholar] [CrossRef]
- Thomas, J.; Mahapatra, S.S. Improved simple optimization (SOPT) algorithm for unconstrained non-linear optimization problems. Perspect. Sci. 2016, 8, 159–161. [Google Scholar] [CrossRef][Green Version]
- Tolkunov, D.; Morozov, A. Single temperature for Monte Carlo optimization on complex landscapes. Phys. Rev. Lett. 2012, 108, 250602. [Google Scholar] [CrossRef] [PubMed]



























| Component | Type of LuT | Dependency |
|---|---|---|
| Transformer | Efficiency map | Load (VA) PF (-) |
| Off board charger | Efficiency map | Load (kW) Output voltage (V) |
| PF map | Load (kW) | |
| Main DC-DC converter | Efficiency map | Output voltage (V) Output current (A) |
| Auxiliary DC-DC converter | Efficiency map | Load (kW) |
| Electric machine and inverter | Efficiency map | Angular speed (rad/s) Output torque (Nm) |
| Torque-speed map | Angular speed (rad/s) | |
| Energy storage system | OCV map | SoC (%) Temperature (°C) |
| RCD map | Charging rate (C) Equivalent charge/discharge cycles (-) Temperature (°C) | |
| Series resistance map | Charging rate (C) SoC (%) Temperature (°C) | |
| Polarization resistance map | Charging rate (C) SoC (%) Temperature (°C) | |
| Time constant | Charging rate (C) SoC (%) Temperature (°C) |
| City | Month | ||||||||||||
|---|---|---|---|---|---|---|---|---|---|---|---|---|---|
| JAN | FEB | MAR | APR | MAY | JUN | JUL | AUG | SEP | OCT | NOV | DEC | ||
| Barcelona | Hi (°C) | 15 | 15 | 17 | 20 | 23 | 27 | 29 | 29 | 26 | 23 | 18 | 15 |
| Lo (°C) | 9 | 8 | 10 | 13 | 16 | 20 | 23 | 23 | 20 | 17 | 12 | 9 | |
| Hum (%) | 69 | 66 | 73 | 69 | 68 | 67 | 67 | 72 | 74 | 74 | 72 | 70 | |
| Day (h) | 9.5 | 10.5 | 12 | 13.5 | 14.5 | 15 | 15 | 14 | 12.5 | 11 | 10 | 9.5 | |
| Sun (%) | 87 | 86 | 84 | 80 | 87 | 90 | 97 | 94 | 87 | 81 | 83 | 90 | |
| Gothenburg | Hi (°C) | 2 | 3 | 6 | 11 | 17 | 20 | 22 | 21 | 17 | 12 | 7 | 4 |
| Lo (°C) | −2 | −2 | 0 | 3 | 8 | 12 | 14 | 13 | 10 | 6 | 2 | 0 | |
| Hum (%) | 85 | 82 | 77 | 71 | 66 | 69 | 73 | 74 | 79 | 81 | 86 | 86 | |
| Day (h) | 7.5 | 9.5 | 11.5 | 14.5 | 16.5 | 18 | 17.5 | 15.5 | 13 | 10.5 | 8 | 7 | |
| Sun (%) | 68 | 71 | 74 | 73 | 74 | 73 | 71 | 68 | 67 | 65 | 60 | 62 | |
| CBAT | CVEH | CCHAR |
|---|---|---|
| NMC: 420 €/kWh LFP: 580 €/kWh LTO: 1005 €/kWh | 12 m bus: €300 k 18 m bus: €450 k | 100 kW: €48,273 150 kW: €68,472 290 kW: €113,615 450 kW: €144,613 600 kW: €153,721 |
| Charger/Site | 100 kW Charger | 150 kW Charger | 290 kW Charger | 450 kW Charger | 600 kW Charger |
|---|---|---|---|---|---|
| 1 | €42,064 | €43,622 | €53,510 | €74,783 | €104,387 |
| 2 | €33,269 | €34,375 | €42,349 | €60,267 | €85,594 |
| 3–5 | €24,925 | €25,848 | €31,706 | €44,309 | €61,847 |
| 6 and above | €22,035 | €16,960 | €20,804 | €29,074 | €40,582 |
| Parameters | Route 1 | Route 2 |
|---|---|---|
| Route | L33 | H16 |
| Max. acceleration on flat ground (m/s2) | 1.5 | 1.5 |
| Operational time per day (h, kms) | 15.33 h, 155 km | 17.33 h, 165 km |
| Bus frequency (peak hours) | Every 7 min | Every 8 min |
| Number of stops per bus line | 27 | 35 |
| Average speed of the bus during peak hour (km/h) | 11.64 | 9.52 |
| Return trip distance (km) | 19.4 | 23.8 |
| Number of return trips per day | 8 | 7 |
| Total number of buses in route (-) | 16 | 20 |
| Type of buses in route T | 4 × each type | 5 × each type |
| Ambient temperature (°C) | Min: 8 °C, Max: 29 °C | |
| Charger | ||
| Charging Scenario | Opportunity, AC/DC, CCS 2 | |
| Max. Number of Intermediate Charging Instances per Cycle | 1 | |
| Max. Charging Power for On-road Superfast Charging (kW) | 600 | |
| Available Superfast Charging at Terminals or Stops (mins) | 3–8 | |
| Power Charging for Overnight Stations (kW) | 100 | |
| Overnight Charging Time Available (h) | 2–5 | |
| Grid Capacity (kVA) | 300–600 | |
| Cost of Connection of Charger to Grid (€/charger) | 200,000 | |
| Lifetime of Charger (years) | 15 | |
| Parameters | Route 1 | Route 2 |
|---|---|---|
| Route | R55 | EL16 |
| Max. acceleration on flat ground (m/s2) | 1.5 | 1.5 |
| Operational time per day (h, kms) | 13 h, 167 km | 20 h, 396 km |
| Bus frequency (peak hours) | Every 10 min | Every 5 min |
| Number of stops per bus line | 13 | 22 |
| Average speed of the bus during peak hour (km/h) | 18.24 | 23.57 |
| Return trip distance (km) | 15.2 | 22 |
| Number of return trips per day | 11 | 18 |
| Total number of buses in route (-) | 7 | 13 |
| Type of buses in route 7 | All the buses are of type 2 | |
| Ambient temperature (°C) | Min: −2, Max: 22 | |
| Charger | ||
| Charging Scenario | Opp, AC/DC CCS2 | Opp, AC/DC CCS2 |
| Max. Number of Intermediate Charging Instances per Cycle | 2 | 2 |
| Max. Charging Power for On-road Superfast Charging (kW) | 290 | 450 |
| Available Superfast Charging at Terminals or Stops (mins) | 8–10 | 4–5 |
| Power Charging for Overnight Stations (kW) | 150 | 150 |
| Available Overnight Charging Time (h) | 1–10 | 1–10 |
| Grid Capacity (kVA) | >350 | >350 |
| Cost of Connection of Charger to Grid (€/charger) | 200,000 | 200,000 |
| Lifetime of Charger (years) | 15 | 15 |
| Parameters | Type I | Type II | Type III | Type IV |
|---|---|---|---|---|
| Vehicle | ||||
| Dimensions (m) | 17.97 × 3.35 × 2.55 | 12 × 3.3 × 2.55 | 18.73 × 3.4 × 2.55 | 12 × 3.51 × 2.55 |
| Empty mass (t) | 19 | 11.9 | 18.7 | 12.9 |
| Maximum mass (t) | 30 | 19 | 28 | 19.1 |
| Gearbox | ||||
| Final gear ratio | 5:75 | 5:77 | 1:6 | 1:4 |
| Gear efficiency (%) | 92 | 97 | 95 | 96 |
| Electric Machine | ||||
| Motor type | Induction | Permanent magnet | AC synchronous | Permanent magnet |
| Cont. power (kW) | 170 | 185 | 235 | 153 |
| Base speed (rpm) | 4075 | 4200 | 1000 | 600 |
| Max. torque (Nm) | 400 | 425 | 2300 | 2500 |
| Efficiency (%) | LuT | LuT | LuT | LuT |
| Max. DC Link (V) | 780 | 660 | 700 | 690 |
| Min. DC Link (V) | 520 | 420 | 700 | 470 |
| ESS | ||||
| Cell technology | LTO | LFP | LTO | NMC |
| Capacity (Ah) | 160 | 336 | 180 | 300 |
| Max. SoC (%) | 100 | 90 | 100 | 90 |
| Min. SoC (%) | 15 | 10 | 15 | 10 |
| Usable energy (kWh) | 90 | 160 | 108 | 138 |
| Max. Voltage (V) | 780 | 768 | 700 | 680 |
| Min. Voltage (V) | 520 | 422 | 700 | 470 |
| Max. charge rate | 5C | 3.75C | 5C | 2.5C |
| Max. discharge rate | 10C | 7.5C | 10C | 5C |
| Lifetime (years) | 15 | 8 | 15 | 8 |
| Mass (kg) | 1340 | 1440 | 1575 | 1980 |
| Auxiliary | ||||
| Voltage (V) | 24 | 600 | 24 | 24 |
| Power (kW) | 25 | 28 | 44 (heat), 39 (cool) | 25 |
| Operational | ||||
| Max. speed (km/h) | 50 | 80 | 50 | 40 |
| Annual distance (km) | 45,000 | 45,000 | 45,000 | 45,000 |
| Vehicle lifetime (years) | 15 | 15 | 15 | 15 |
| Parameter | Lower Bound | Upper Bound | Parameter | Lower Bound | Upper Bound |
|---|---|---|---|---|---|
| Barcelona Nopt_L33 | 1 | 2 | Gothenburg Nopt_R55 | 1 | 2 |
| Nopt_H16 | 1 | 2 | Nopt_EL16 | 1 | 2 |
| Popt_L33 | 200 kW | 600 kW | Popt_R55 | 200 kW | 600 kW |
| Popt_H16 | 200 kW | 600 kW | Popt_EL16 | 200 kW | 600 kW |
| Pdep | 50 kW | 150 kW | Pdep | 50 kW | 150 kW |
| pls | 5 s | 45 s | pls | 5 s | 45 s |
| Dopt_L33_Type1 | 60 s | 420 s | Dopt_R55 | 60 s | 600 s |
| Dopt_L33_Type2 | 60 s | 420 s | Dopt_EL16 | 60 s | 300 s |
| Dopt_L33_Type3 | 60 s | 420 s | |||
| Dopt_L33_Type4 | 60 s | 420 s | SoC constraints | ||
| Dopt_H16_Type1 | 60 s | 480 s | Barcelona | 15% | 100% |
| Dopt_H16_Type2 | 60 s | 480 s | Gothenburg | 10% | 90% |
| Dopt_H16_Type3 | 60 s | 480 s | |||
| Dopt_H16_Type4 | 60 s | 480 s |
| Bus | Barcelona | Gothenburg | |
|---|---|---|---|
| Summer | Route L33 | Route H16 | Route R55 |
| Type 1 | 2.26 | 2.56 | -- |
| Type 2 | 1.50 | 1.54 | 1.46 |
| Type 3 | 2.32 | 2.62 | -- |
| Type 4 | 1.37 | 1.47 | -- |
| Winter | |||
| Type 1 | 1.83 | 1.94 | -- |
| Type 2 | 1.37 | 1.39 | 1.92 |
| Type 3 | 1.98 | 2.13 | -- |
| Type 4 | 1.16 | 1.20 | -- |
| Bus | Barcelona | Gothenburg | |
|---|---|---|---|
| Summer | Route L33 | Route H16 | Route R55 |
| Type 1 | 1.77 | 1.78 | -- |
| Type 2 | 1.32 | 1.21 | 1.29 |
| Type 3 | 1.53 | 1.41 | -- |
| Type 4 | 1.41 | 1.41 | -- |
| Winter | |||
| Type 1 | 1.76 | 1.77 | -- |
| Type 2 | 1.32 | 1.21 | 1.30 |
| Type 3 | 1.52 | 1.40 | -- |
| Type 4 | 1.40 | 1.40 | -- |
| Barcelona | Gothenburg | |||
|---|---|---|---|---|
| Winter | Summer | Winter | Summer | |
| Grid Impact (MWh) | 10.7 | 13.5 | 15.2 | 12.3 |
| Energy Usage Rate (kWh/km/bus) | 1.65 | 2.07 | 1.88 | 1.47 |
| TCO (€/km/bus) | 0.93 | 0.94 | 0.90 | 0.89 |
| City of Barcelona | Normal Mode | All ECO Mode | ||
| Monte Carlo | L33 | H16 | L33 | H16 |
| Opportunity chargers (-) | 2 | 2 | 2 | 2 |
| Charging duration (s): | ||||
| -Type 2 Bus -Type 4 Bus -Type 3 Bus -Type 1 Bus | 112 391 385 380 | 353 261 477 360 | 80 97 354 368 | 80 258 265 347 |
| Opportunity charger power (kW) | 296 | 409 | 279 | 277 |
| Overnight charger power (kW) | 90 | 125 | ||
| Improved Simple Optimization | ||||
| Opportunity chargers (-) | 2 | 2 | 2 | 2 |
| Charging duration (s): | ||||
| -Type 2 Bus -Type 4 Bus -Type 3 Bus -Type 1 Bus | 91 420 353 270 | 132 331 449 480 | 60 370 215 176 | 217 461 311 480 |
| Opportunity charger power (kW) | 267 | 235 | 247 | 200 |
| Overnight charger power (kW) | 101 | 109 | ||
| City of Gothenburg | Normal Mode | All ECO Mode | ||
| Monte Carlo | R55 | EL16 | R55 | EL16 |
| Opportunity chargers (-) | 2 | 2 | 1 | 2 |
| Charging duration (s):-Type 2 Bus | 265 | 289 | 356 | 270 |
| Opportunity charger power (kW) | 279 | 277 | 203 | 237 |
| Overnight charger power (kW) | 125 | 79 | ||
| Improved Simple Optimization | ||||
| Opportunity chargers (-) | 1 | 2 | 1 | 2 |
| Charging duration (s):-Type 2 Bus | 314 | 292 | 181 | 300 |
| Opportunity charger power (kW) | 200 | 258 | 209 | 204 |
| Overnight charger power (kW) | 137 | 86 | ||
Publisher’s Note: MDPI stays neutral with regard to jurisdictional claims in published maps and institutional affiliations. |
© 2021 by the authors. Licensee MDPI, Basel, Switzerland. This article is an open access article distributed under the terms and conditions of the Creative Commons Attribution (CC BY) license (https://creativecommons.org/licenses/by/4.0/).
Share and Cite
Hasan, M.M.; Avramis, N.; Ranta, M.; Saez-de-Ibarra, A.; El Baghdadi, M.; Hegazy, O. Multi-Objective Energy Management and Charging Strategy for Electric Bus Fleets in Cities Using Various ECO Strategies. Sustainability 2021, 13, 7865. https://doi.org/10.3390/su13147865
Hasan MM, Avramis N, Ranta M, Saez-de-Ibarra A, El Baghdadi M, Hegazy O. Multi-Objective Energy Management and Charging Strategy for Electric Bus Fleets in Cities Using Various ECO Strategies. Sustainability. 2021; 13(14):7865. https://doi.org/10.3390/su13147865
Chicago/Turabian StyleHasan, Mohammed Mahedi, Nikos Avramis, Mikaela Ranta, Andoni Saez-de-Ibarra, Mohamed El Baghdadi, and Omar Hegazy. 2021. "Multi-Objective Energy Management and Charging Strategy for Electric Bus Fleets in Cities Using Various ECO Strategies" Sustainability 13, no. 14: 7865. https://doi.org/10.3390/su13147865
APA StyleHasan, M. M., Avramis, N., Ranta, M., Saez-de-Ibarra, A., El Baghdadi, M., & Hegazy, O. (2021). Multi-Objective Energy Management and Charging Strategy for Electric Bus Fleets in Cities Using Various ECO Strategies. Sustainability, 13(14), 7865. https://doi.org/10.3390/su13147865

